Research on Co-Opetition Mechanism between Pharmaceutical Enterprises and Third-Party Logistics in Drug Distribution of Medical Community
Abstract
1. Introduction
2. Literature Review
3. Model Construction
Construction of Co-Opetition Model between Pharmaceutical Enterprises and 3PL Enterprises
4. Model Analysis
4.1. Analysis of the Evolution Stability of Pharmaceutical Enterprise Strategy
- (1)
- When , , at this point, the system is in a stable state for any value of .
- (2)
- When , ; therefore, . In this case, is an evolutionarily stable strategy—that is, the pharmaceutical enterprises eventually evolve to display cooperative behavior.
- (3)
- When , ; therefore, . At this time, is an evolutionarily stable strategy—that is, the pharmaceutical enterprise will eventually evolve to display competitive behavior.
4.2. Evolution Stability Analysis of 3PL Enterprise Strategy
- (1)
- When . At this point, regardless of the value that y takes, the system is stable.
- (2)
- When therefore, . In this case, y = 1 is the evolutionarily stable strategy, and the 3PL enterprise finally evolves to display cooperative behavior.
- (3)
- When ; therefore, . In this case, y = 0 is the evolutionarily stable strategy, and the 3PL enterprise finally evolves to display competitive behavior.
4.3. Evolutionary Stability Analysis of the System
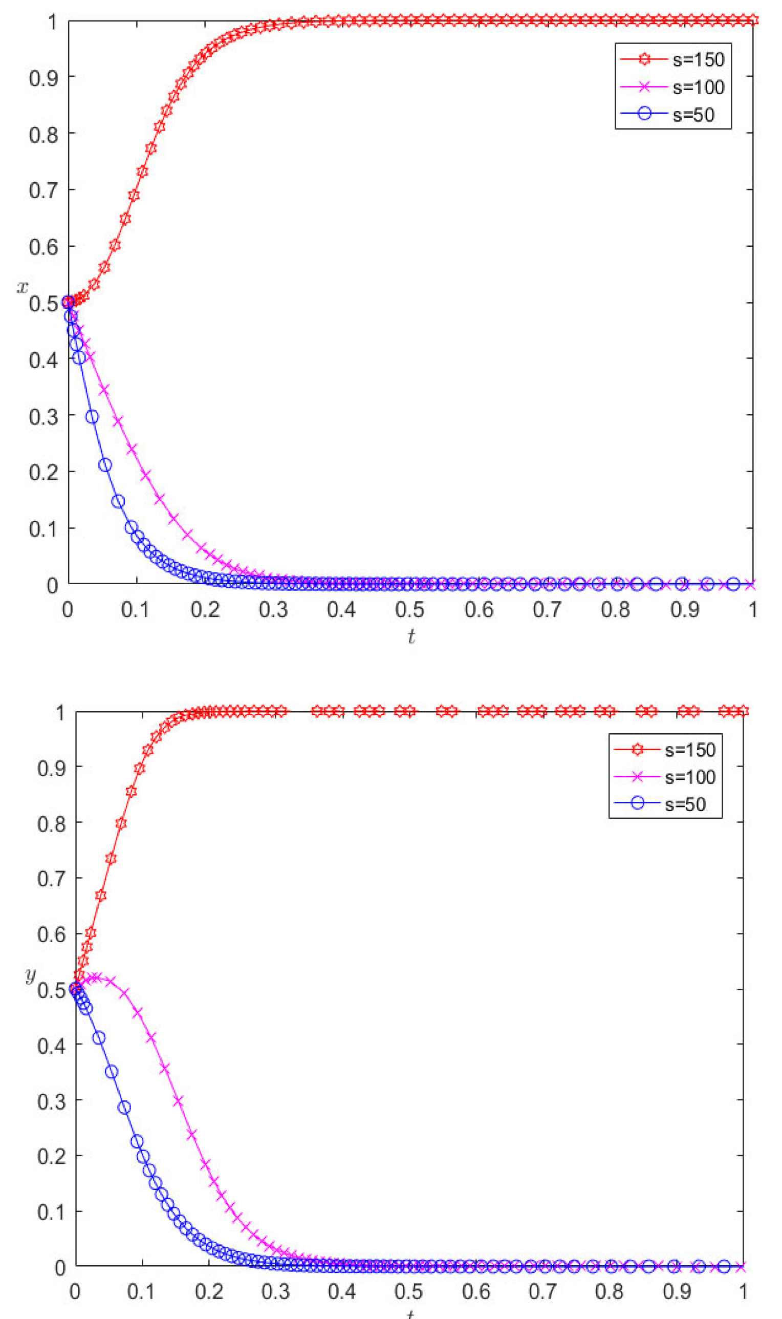
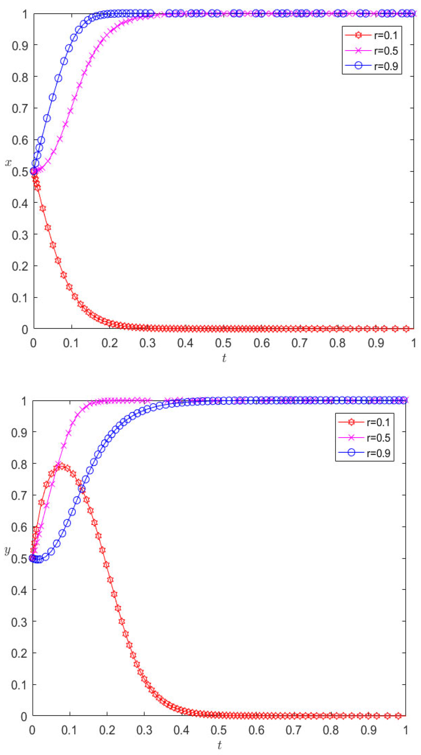
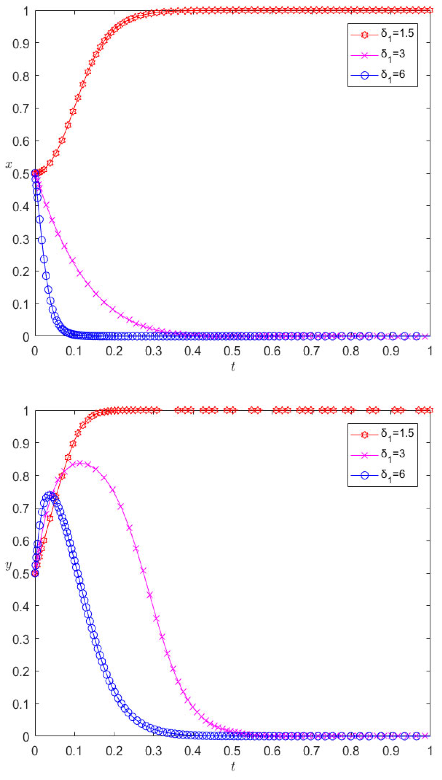
5. Numerical Simulation
5.1. Initial Evolution Path Analysis
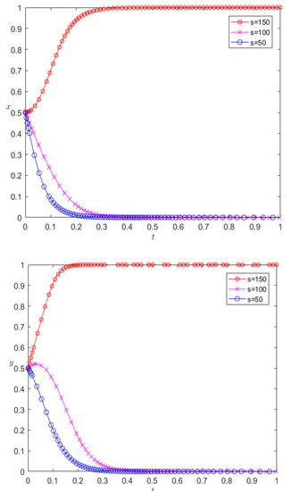
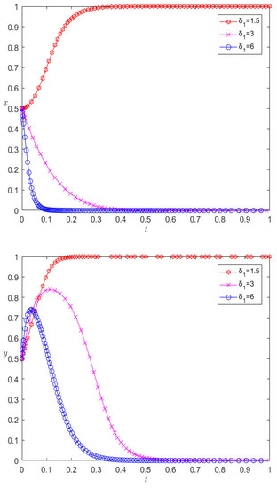
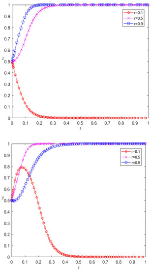
5.2. Sensitivity Analysis of Important Parameters of Evolutionary Stability of Pharmaceutical Enterprises and 3PL Enterprises
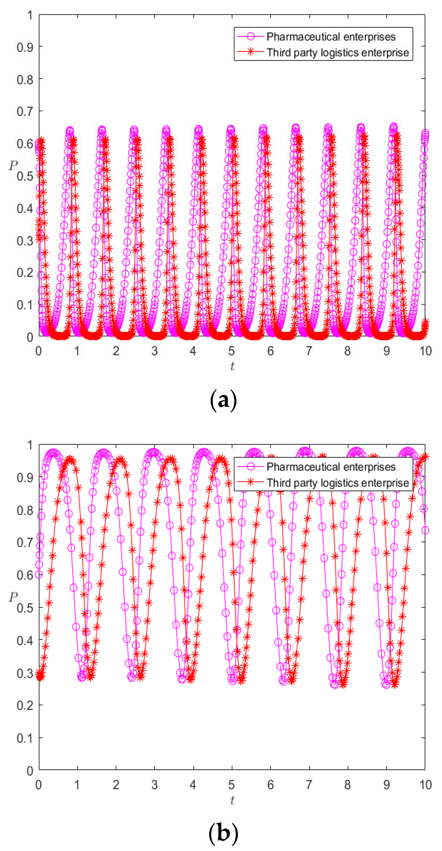
6. Evolutionary System Optimization of Pharmaceutical Enterprises and 3PL Enterprises
6.1. Static Premium and Penalty Mechanism
6.2. Dynamic Premium and Penalty Mechanism
7. Conclusions
- (1)
- The cooperation and stability strategy of the drug distribution system of the county medical community is positively correlated with the incremental income of the cooperation between the two parties, liquidated damages and the degree of incentive and restraint. For pharmaceutical enterprises, cooperative incremental benefits are more sensitive, while 3PL enterprises are more sensitive to liquidated damages.
- (2)
- The income distribution ratio needs to be set reasonably in order to achieve a “win–win cooperation” situation. Values that are too high or too low will cause competition between pharmaceutical enterprises and 3PL enterprises.
- (3)
- Numerical simulations intuitively reveal the different evolution paths of pharmaceutical enterprises and 3PL enterprises and further verify the correctness of the theoretical analysis.
- (4)
- The static premium and penalty mechanism fails to dynamically adjust according to the behaviors of pharmaceutical enterprises and 3PL enterprises, thus failing to provide a stability control strategy for the system, while the dynamic premium and penalty mechanism links the behavior of the subject with the intensity of rewards and punishments and effectively controls the system’s stability.
Author Contributions
Funding
Institutional Review Board Statement
Informed Consent Statement
Data Availability Statement
Acknowledgments
Conflicts of Interest
References
- Dai, H.; Lin, B. Expert consensus on the regulation of pharmaceutical affairs management and pharmaceutical care in China’s county medical community. Chin. J. Mod. Appl. Pharm. 2021, 38, 2049–2052. [Google Scholar] [CrossRef]
- Shi, H.; Li, Z.; Xiao, M.; Wang, S.; Huang, L. Promoting healthy village construction: Challenges and countermeasures. Strateg. Study Chin. Acad. Eng. 2021, 23, 157–162. [Google Scholar] [CrossRef]
- The State Council of The People’s Republic of China. The State Council Printed and Distributed the Decision on the Second Batch of Cancellation of 152 Items of Administrative Examination and Approval Implemented by Central Designated Places. Available online: http://www.gov.cn/xinwen/2016-02/19/content_5043935.htm (accessed on 12 October 2022).
- The State Council of The People’s Republic of China. The General Office of the State Council Issued the Guiding Opinions on Promoting the Healthy Development of the Pharmaceutical Industry. Available online: http://www.gov.cn/xinwen/2016-03/11/content_5052336.htm (accessed on 12 October 2022).
- National Health Commission of the People’s Republic of China. A Circular on Promoting the Construction of a Compact County Medical and Health Community. Available online: http://www.gov.cn/zhengce/zhengceku/2019-10/08/content_5437020.htm (accessed on 20 December 2022).
- National Health Commission of the People’s Republic of China. Notice on the Issuance of the Evaluation Criteria and Monitoring Index System for the Construction of a Tight County Medical and Health Community (Trial). Available online: http://www.gov.cn/zhengce/zhengceku/2020-09/18/content_5544471.htm (accessed on 20 December 2022).
- Department of Market Operation and Consumption Promotion (National Cocoon and Silk Coordination Office). Guideline of Ministry of Commerce on Promoting High-Quality Development of Drug Circulation Industry during the 14th Five-Year Plan Period. Available online: http://scyxs.mofcom.gov.cn/article/jsc/202110/20211003212444.shtml (accessed on 20 December 2022).
- Brandenburger, A.M.; Nalebuff, B.J. Coopetition: A Revolutionary Mindset That Combines Competition and Cooperation in the Marketplace; Doubleday Press: New York, NY, USA, 1996; pp. 151–186. [Google Scholar]
- Dorn, S.; Schweiger, B.; Albers, S. Levels, phases and themes of coopetition: A systematic literature review and research agenda. Eur. Manag. J. 2016, 34, 484–500. [Google Scholar] [CrossRef]
- Klimas, P. Multifaceted nature of coopetition inside an aviation supply chain—The case of the aviation valley. J. Econ. Manag. 2014, 17, 95–119. [Google Scholar]
- Loebecke, C.; Van Fenema, P.C.; Powell, P. Co-opetition and knowledge transfer. ACM SIGMIS Database DATABASE Adv. Inf. Syst. 1999, 30, 14–25. [Google Scholar] [CrossRef]
- Gnyawali, D.R.; Park, B.-J. Co-opetition between giants: Collaboration with competitors for technological innovation. Res. Policy 2011, 40, 650–663. [Google Scholar] [CrossRef]
- Hu, X. The establishment of supply chain with game model of competition and cooperation. J. Softw. 2012, 7, 670–677. [Google Scholar] [CrossRef][Green Version]
- Okura, M. Coopetitive strategies of Japanese insurance firms a game-theory approach. Int. Stud. Manag. Organ. 2007, 37, 53–69. [Google Scholar] [CrossRef]
- Guo, S.; Choi, T.-M.; Shen, B. Green product development under competition: A study of the fashion apparel industry. Eur. J. Oper. Res. 2020, 280, 523–538. [Google Scholar] [CrossRef]
- Zhao, L.; Liu, X.; Ji, N. Complexity analysis of a triopoly cooperation-competition game model in convergence product market. Math. Probl. Eng. 2017, 2017, 5292494. [Google Scholar] [CrossRef]
- Yang, W.; Wu, Y.; Gou, Q.; Zhang, W. Co-opetition strategies in supply chains with strategic customers. Prod. Oper. Manag. 2022. [Google Scholar] [CrossRef]
- Li, X.; Huang, G.; Chu, J.; Zheng, B.; Huang, K. How retailer co-opetition impacts pricing, collecting and coordination in a closed-loop supply chain. Sustainability 2021, 13, 10025. [Google Scholar] [CrossRef]
- Malmir, B.; Dehghani, S.; Jahantigh, F.F.; Najjartabar, M. A new model for supply chain quality management of hospital medical equipment through game theory. In Proceedings of the 6th International Conference on Information Systems, Logistics and Supply Chain, Bordeaux, France, 1–4 June 2016. [Google Scholar]
- Yuan, Z.; Gao, J. Dynamic uncertainty study of multi-center location and route optimization for medicine logistics company. Mathematics 2022, 10, 953. [Google Scholar] [CrossRef]
- Campelo, P.; Neves-Moreira, F.; Amorim, P.; Almada-Lobo, B. Consistent vehicle routing problem with service level agreements: A case study in the pharmaceutical distribution sector. Eur. J. Oper. Res. 2019, 273, 131–145. [Google Scholar] [CrossRef]
- Sabouhi, F.; Pishvaee, M.S.; Jabalameli, M.S. Resilient supply chain design under operational and disruption risks considering quantity discount: A case study of pharmaceutical supply chain. Comput. Ind. Eng. 2018, 126, 657–672. [Google Scholar] [CrossRef]
- Lawrence, J.-M.; Ibne Hossain, N.U.; Jaradat, R.; Hamilton, M. Leveraging a Bayesian network approach to model and analyze supplier vulnerability to severe weather risk: A case study of the U.S. pharmaceutical supply chain following Hurricane Maria. Int. J. Disaster Risk Reduct. 2020, 49, 101607. [Google Scholar] [CrossRef]
- Hamdan, B.; Diabat, A. Robust design of blood supply chains under risk of disruptions using Lagrangian relaxation. Transp. Res. Part E Logist. Transp. Rev. 2020, 134, 101764. [Google Scholar] [CrossRef]
- Dewi, E.K.; Dahlui, M.; Chalidyanto, D.; Rochmah, T.N. Achieving cost-efficient management of drug supply via economic order quantity and minimum-maximum stock level. Expert Rev. Pharm. Outcomes Res. 2020, 20, 289–294. [Google Scholar] [CrossRef]
- Acosta, A.; Vanegas, E.P.; Rovira, J.; Godman, B.; Bochenek, T. Medicine shortages: Gaps between countries and global perspectives. Front. Pharmacol. 2019, 10, 763. [Google Scholar] [CrossRef]
- Sarnola, K.; Linnolahti, J. A regulatory perspective on the availability of medicines and medicine shortages in outpatient care: Case Finland. Int. J. Clin. Pharm. 2019, 41, 825–830. [Google Scholar] [CrossRef]
- Marasco, A. Third-party logistics: A literature review. Int. J. Prod. Econ. 2008, 113, 127–147. [Google Scholar] [CrossRef]
- Grabowski, H. The effect of pharmacoeconomics on company research and development decisions. PharmacoEconomics 1997, 11, 389–397. [Google Scholar] [CrossRef] [PubMed]
- Jin, Z.; Yu, L. Study on the strategy for pharmaceutical enterprises to improve the Third-Party Logistics development levels. In Proceedings of the 2010 International Conference on Logistics Systems and Intelligent Management, Harbin, China, 9–10 January 2010. [Google Scholar]
- Zhai, Y.; Li, Y. The research on influencing factors of medical logistics cost based on ISM Model. In Proceedings of the 13th Global Congress on Manufacturing and Management, Zhengzhou, China, 28–30 November 2016. [Google Scholar]
- Kramer, R.; Cordeau, J.-F.; Iori, M. Rich vehicle routing with auxiliary depots and anticipated deliveries: An application to pharmaceutical distribution. Transp. Res. Part E Logist. Transp. Rev. 2019, 129, 162–174. [Google Scholar] [CrossRef]
- El Mokrini, A.; Dafaoui, E.; Berrado, A.; El Mhamedi, A. An approach to risk assessment for outsourcing logistics: Case of pharmaceutical industry. IFAC PapersOnLine 2016, 49, 1239–1244. [Google Scholar] [CrossRef]
- Liu, Z.; Lang, L.; Li, L.; Zhao, Y.; Shi, L. Evolutionary game analysis on the recycling strategy of household medical device enterprises under government dynamic rewards and punishments. Math. Biosci. Eng. 2021, 18, 6434–6451. [Google Scholar] [CrossRef] [PubMed]
- Zhang, Z.; Wang, X.; Su, C.; Sun, L. Evolutionary game analysis of shared manufacturing quality synergy under dynamic reward and punishment mechanism. Appl. Sci. 2022, 12, 6792. [Google Scholar] [CrossRef]













| Parameter | Definition | Range |
|---|---|---|
| Basic income of pharmaceutical enterprises in logistics distribution | ||
| Basic income of 3PL enterprises in logistics distribution | ||
| Excess return of cooperation between pharmaceutical enterprises and 3PL enterprises | ||
| Cost of maintaining cooperation between pharmaceutical enterprises and 3PL enterprises | ||
| Profit distribution ratio of pharmaceutical enterprises in cooperation with 3PL | ||
| Competition income of pharmaceutical enterprises when they compete and cooperate with 3PL enterprises | ||
| Cost of competition default of pharmaceutical enterprises or 3PL enterprises | ||
| Third-party logistics enterprises bear the cost of cooperation maintenance when pharmaceutical enterprises compete and 3PLenterprises cooperate | ||
| The 3PL enterprises’ competitive income when pharmaceutical enterprises cooperate and 3PL enterprises compete | ||
| The 3PL bear the cost of cooperation maintenance when pharmaceutical enterprises cooperate and 3PL enterprises compete | ||
| Incentive coefficient of pharmaceutical enterprises to 3PL enterprises | ||
| Incentive cost of pharmaceutical enterprises to 3PL enterprises | ||
| Restriction coefficient for pharmaceutical enterprises to compete with 3PL enterprises | ||
| Restriction cost of pharmaceutical enterprises to 3PL enterprises | ||
| Probability of pharmaceutical enterprises choosing cooperation | ||
| Probability of pharmaceutical enterprises choosing competition | ||
| Probability of 3PL enterprises choosing cooperation | ||
| Probability of 3PL enterprises choosing competition | ||
| Expected benefits of pharmaceutical enterprises cooperation | ||
| Expected benefits of pharmaceutical enterprises competition | ||
| Average income of pharmaceutical enterprises adopting mixed strategy | ||
| Expected benefits of 3PL enterprises to choose cooperation | ||
| Expected benefits of 3PL enterprises to choose competition | ||
| Average income of 3PL enterprises adopting mixed strategy | ||
| Replication dynamic equation for pharmaceutical enterprises to choose cooperation strategies | ||
| Replication dynamic equation for 3PL enterprises to choose cooperation strategies |
| Pharmaceutical Enterprise | 3PL Enterprise | |
|---|---|---|
| cooperation | , | |
| competition | , | |
| Equilibrium Point | ||
|---|---|---|
| 0 |
Disclaimer/Publisher’s Note: The statements, opinions and data contained in all publications are solely those of the individual author(s) and contributor(s) and not of MDPI and/or the editor(s). MDPI and/or the editor(s) disclaim responsibility for any injury to people or property resulting from any ideas, methods, instructions or products referred to in the content. |
© 2022 by the authors. Licensee MDPI, Basel, Switzerland. This article is an open access article distributed under the terms and conditions of the Creative Commons Attribution (CC BY) license (https://creativecommons.org/licenses/by/4.0/).
Share and Cite
Li, Z.; Xia, T.; Shen, W.; Chen, S. Research on Co-Opetition Mechanism between Pharmaceutical Enterprises and Third-Party Logistics in Drug Distribution of Medical Community. Int. J. Environ. Res. Public Health 2023, 20, 609. https://doi.org/10.3390/ijerph20010609
Li Z, Xia T, Shen W, Chen S. Research on Co-Opetition Mechanism between Pharmaceutical Enterprises and Third-Party Logistics in Drug Distribution of Medical Community. International Journal of Environmental Research and Public Health. 2023; 20(1):609. https://doi.org/10.3390/ijerph20010609
Chicago/Turabian StyleLi, Zhao, Tie Xia, Wanzhi Shen, and Sheng Chen. 2023. "Research on Co-Opetition Mechanism between Pharmaceutical Enterprises and Third-Party Logistics in Drug Distribution of Medical Community" International Journal of Environmental Research and Public Health 20, no. 1: 609. https://doi.org/10.3390/ijerph20010609
APA StyleLi, Z., Xia, T., Shen, W., & Chen, S. (2023). Research on Co-Opetition Mechanism between Pharmaceutical Enterprises and Third-Party Logistics in Drug Distribution of Medical Community. International Journal of Environmental Research and Public Health, 20(1), 609. https://doi.org/10.3390/ijerph20010609

