Change in University Student Health Behaviours after the Onset of the COVID-19 Pandemic
Abstract
1. Introduction
2. Methods
2.1. Study Design
2.2. Data Collection
2.2.1. Socio-Demographic Characteristics
2.2.2. Mental Health
2.2.3. COVID-19 Infection
2.2.4. Health Behaviours
2.3. Statistical Analysis
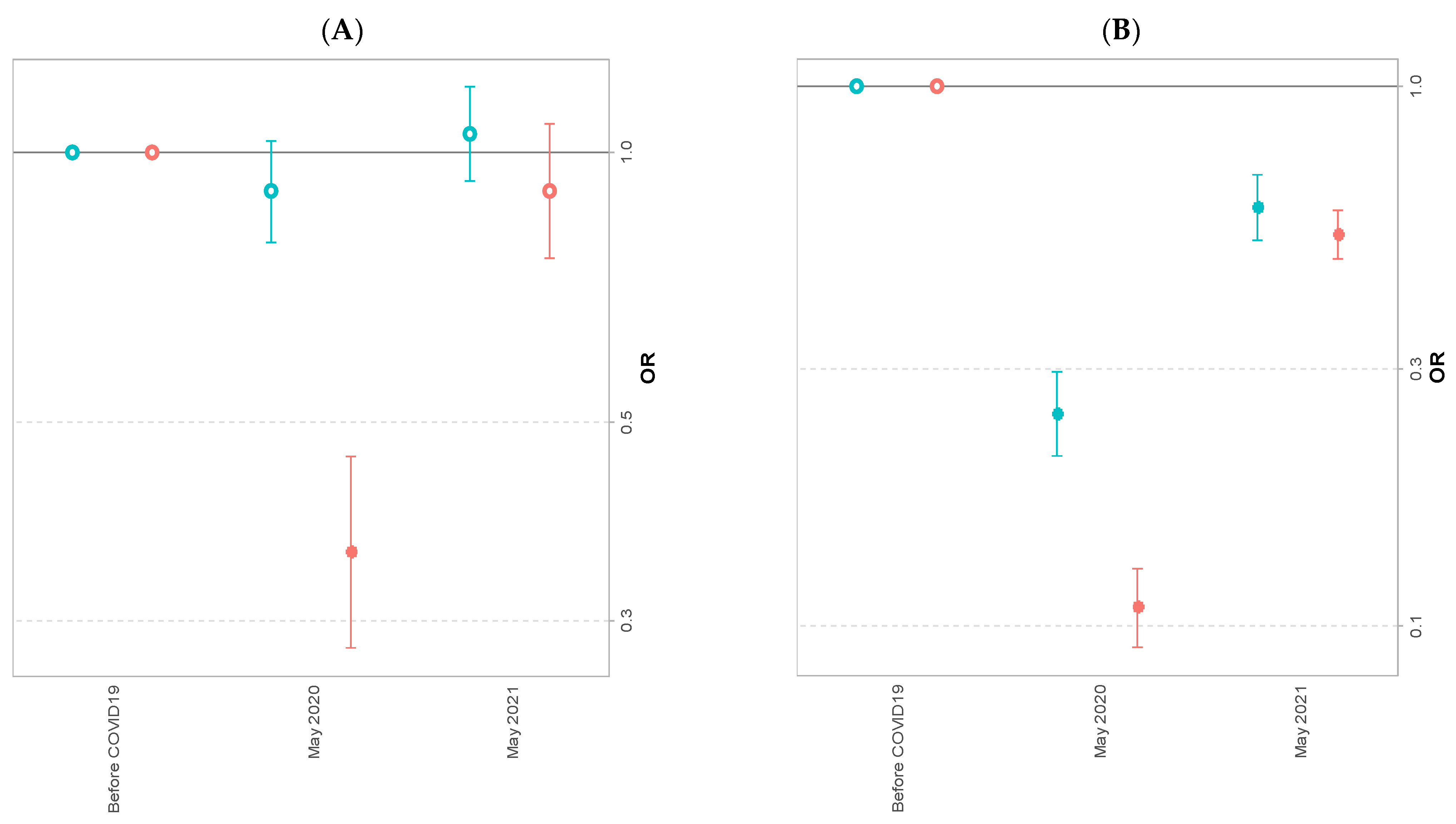
3. Results
4. Discussion
5. Conclusions
Author Contributions
Funding
Institutional Review Board Statement
Informed Consent Statement
Data Availability Statement
Acknowledgments
Conflicts of Interest
References
- WHO Director-General’s Opening Remarks at the Media Briefing on COVID-19—11 March 2020. Available online: https://www.who.int/director-general/speeches/detail/who-director-general-s-opening-remarks-at-the-media-briefing-on-covid-19---11-march-2020 (accessed on 20 May 2022).
- Décret n° 2020-260 du 16 mars 2020 Portant Réglementation des Déplacements dans le Cadre de la Lutte Contre la Propagation du Virus COVID-19. 2020-260. Available online: https://www.legifrance.gouv.fr/loda/id/JORFTEXT000041728476 (accessed on 16 March 2020).
- Wang, C.; Pan, R.; Wan, X.; Tan, Y.; Xu, L.; McIntyre, R.S.; Choo, F.N.; Tran, B.; Ho, R.; Sharma, V.K.; et al. A longitudinal study on the mental health of general population during the COVID-19 epidemic in China. Brain Behav. Immun. 2020, 87, 40–48. [Google Scholar] [CrossRef] [PubMed]
- Van de Velde, S.; Buffel, V.; van der Heijde, C.; Çoksan, S.; Bracke, P.; Abel, T.; Busse, H.; Zeeb, H.; Rabiee-Khan, F.; Stathopoulou, T.; et al. Depressive symptoms in higher education students during the first wave of the COVID-19 pandemic. An examination of the association with various social risk factors across multiple high- and middle-income countries. SSM-Popul. Health. 2021, 16, 100936. [Google Scholar] [PubMed]
- Clare, P.J.; Aiken, A.; Yuen, W.S.; Upton, E.; Kypri, K.; Degenhardt, L.; Bruno, R.; McCambridge, J.; McBride, N.; Hutchinson, D.; et al. Alcohol use among young Australian adults in May–June 2020 during the COVID-19 pandemic: A prospective cohort study. Addiction 2021, 116, 3398–3407. [Google Scholar] [CrossRef] [PubMed]
- Rogés, J.; Bosque-Prous, M.; Colom, J.; Folch, C.; Barón-Garcia, T.; González-Casals, H.; Fernández, E.; Espelt, A. Consumption of Alcohol, Cannabis, and Tobacco in a Cohort of Adolescents before and during COVID-19 Confinement. Int. J. Environ. Res. Public Health 2021, 18, 7849. [Google Scholar]
- Tavolacci, M.P.; Wouters, E.; Van de Velde, S.; Buffel, V.; Déchelotte, P.; Van Hal, G.; Ladner, J. The Impact of COVID-19 Lockdown on Health Behaviors among Students of a French University. Int. J. Environ. Res. Public Health 2021, 18, 4346. [Google Scholar] [CrossRef]
- Busse, H.; Buck, C.; Stock, C.; Zeeb, H.; Pischke, C.R.; Fialho, P.M.M.; Wendt, C.; Helmer, S.M. Engagement in Health Risk Behaviours before and during the COVID-19 Pandemic in German University Students: Results of a Cross-Sectional Study. Int. J. Environ. Res. Public Health 2021, 18, 1410. [Google Scholar] [CrossRef]
- Stanton, R.; To, Q.G.; Khalesi, S.; Williams, S.L.; Alley, S.J.; Thwaite, T.L.; Fenning, A.S.; Vandelanotte, C. Depression, Anxiety and Stress during COVID-19: Associations with Changes in Physical Activity, Sleep, Tobacco and Alcohol Use in Australian Adults. Int. J. Environ. Res. Public Health 2020, 17, 4065. [Google Scholar] [CrossRef]
- Ammar, A.; Brach, M.; Trabelsi, K.; Chtourou, H.; Boukhris, O.; Masmoudi, L.; Bouaziz, B.; Bentlage, E.; How, D.; Ahmed, M.; et al. Effects of COVID-19 Home Confinement on Eating Behaviour and Physical Activity: Results of the ECLB-COVID19 International Online Survey. Nutrients 2020, 12, 1583. [Google Scholar] [CrossRef]
- Romero-Blanco, C.; Rodríguez-Almagro, J.; Onieva-Zafra, M.D.; Parra-Fernández, M.L.; Prado-Laguna, M.d.C.; Hernández-Martínez, A. Physical Activity and Sedentary Lifestyle in University Students: Changes during Confinement Due to the COVID-19 Pandemic. Int. J. Environ. Res. Public Health 2020, 17, 6567. [Google Scholar]
- Constandt, B.; Thibaut, E.; De Bosscher, V.; Scheerder, J.; Ricour, M.; Willem, A. Exercising in Times of Lockdown: An Analysis of the Impact of COVID-19 on Levels and Patterns of Exercise among Adults in Belgium. Int. J. Environ. Res. Public Health 2020, 17, 4144. [Google Scholar] [CrossRef]
- Dwyer, M.J.; Pasini, M.; De Dominicis, S.; Righi, E. Physical activity: Benefits and challenges during the COVID-19 pandemic. Scand. J. Med. Sci. Sports 2020, 30, 1291–1294. [Google Scholar] [CrossRef]
- Delamaire, C.; Sarda, B.; Ducrot, P.; Verdot, C.; Deschamps, V.; Serry, A.J. Comportements alimentaires et déterminants de la prise de poids des adultes en France pendant le confinement lié à la Covid-19: Évolutions perçues (CoviPrev, 2020). Bull. Epidémiol. Hebd. 2021, 7, 2–11. [Google Scholar]
- Van de Velde, S.; Levecque, K.; Bracke, P. Measurement equivalence of the CES-D 8 in the general population in Belgium: A gender perspective. Arch. Public Health 2009, 67, 15. [Google Scholar] [CrossRef]
- Bade, R.; Simpson, B.S.; Ghetia, M.; Nguyen, L.; White, J.M.; Gerber, C. Changes in alcohol consumption associated with social distancing and self-isolation policies triggered by COVID-19 in South Australia: A wastewater analysis study. Addiction 2021, 116, 1600–1605. [Google Scholar] [CrossRef] [PubMed]
- Richter, L. The Effects of the COVID-19 Pandemic on the Risk of Youth Substance Use. J. Adolesc. Health Off. Publ. Soc. Adolesc. Med. 2020, 67, 467–468. [Google Scholar] [CrossRef]
- Rolland, B.; Haesebaert, F.; Zante, E.; Benyamina, A.; Haesebaert, J.; Franck, N. Global Changes and Factors of Increase in Caloric/Salty Food Intake, Screen Use, and Substance Use During the Early COVID-19 Containment Phase in the General Population in France: Survey Study. JMIR Public Health Surveill 2020, 6, e19630. [Google Scholar] [CrossRef]
- Allen, H.K.; Cohen-Winans, S.; Armstrong, K.; Clark, N.C.; Ford, M.A. COVID-19 exposure and diagnosis among college student drinkers: Links to alcohol use behavior, motives, and context. Transl. Behav. Med. 2021, 11, 1348–1353. [Google Scholar] [CrossRef]
- Jackson, K.M.; Merrill, J.E.; Stevens, A.K.; Hayes, K.L.; White, H.R. Changes in Alcohol Use and Drinking Context due to the COVID-19 Pandemic: A Multimethod Study of College Student Drinkers. Alcohol Clin. Exp. Res. 2021, 45, 752–764. [Google Scholar] [CrossRef]
- Hawke, L.D.; Barbic, S.P.; Voineskos, A.; Szatmari, P.; Cleverley, K.; Hayes, E.; Relihan, J.; Daley, M.; Courtney, D.; Cheung, A.; et al. Impacts of COVID-19 on Youth Mental Health, Substance Use, and Well-being: A Rapid Survey of Clinical and Community Samples: Répercussions de la COVID-19 sur la santé mentale, l’utilisation de substances et le bien-être des adolescents: Un sondage rapide d’échantillons cliniques et communautaires. Can. J. Psychiatry 2020, 65, 701–709. [Google Scholar]
- Dumas, T.M.; Ellis, W.E.; Van Hedger, S.; Litt, D.M.; MacDonald, M. Lockdown, bottoms up? Changes in adolescent substance use across the COVID-19 pandemic. Addict. Behav. 2022, 131, 107326. [Google Scholar] [CrossRef]
- Jaffe, A.E.; Kumar, S.A.; Ramirez, J.J.; DiLillo, D. Is the COVID-19 Pandemic a High-Risk Period for College Student Alcohol Use? A Comparison of Three Spring Semesters. Alcohol Clin. Exp. Res. 2021, 45, 854–863. [Google Scholar] [CrossRef] [PubMed]
- Chodkiewicz, J.; Talarowska, M.; Miniszewska, J.; Nawrocka, N.; Bilinski, P. Alcohol Consumption Reported during the COVID-19 Pandemic: The Initial Stage. Int. J. Environ. Res. Public Health 2020, 17, 4677. [Google Scholar] [CrossRef] [PubMed]
- Castañeda-Babarro, A.; Arbillaga-Etxarri, A.; Gutiérrez-Santamaría, B.; Coca, A. Physical Activity Change during COVID-19 Confinement. Int. J. Environ. Res. Public Health 2020, 17, 6878. [Google Scholar] [CrossRef] [PubMed]
- Wolf, S.; Seiffer, B.; Zeibig, J.M.; Welkerling, J.; Brokmeier, L.; Atrott, B.; Ehring, T.; Schuch, F.B. Is Physical Activity Associated with Less Depression and Anxiety During the COVID-19 Pandemic? A Rapid Systematic Review. Sports Med. 2021, 51, 1771–1783. [Google Scholar] [CrossRef]
- Université de Rouen Normandie. Available online: https://www.univ-rouen.fr/ (accessed on 22 April 2022).
- Podstawski, R.; Finn, K.J.; Borysławski, K.; Omelan, A.A.; Podstawska, A.M.; Skrzypczak, A.R.; Pomianowski, A. The Influence of COVID-19 on University Students’ Well-Being, Physical Activity, Body Composition, and Strength Endurance. Int. J. Environ. Res. Public Health 2022, 19, 15680. [Google Scholar] [CrossRef] [PubMed]
- Bollen, Z.; Pabst, A.; Creupelandt, C.; Fontesse, S.; Lannoy, S.; Pinon, N.; Maurage, P. Prior drinking motives predict alcohol consumption during the COVID-19 lockdown: A cross-sectional online survey among Belgian college students. Addict. Behav. 2021, 115, 106772. [Google Scholar] [CrossRef] [PubMed]
- Bao, X.; Chen, D.; Shi, L.; Xia, Y.; Shi, Z.; Wang, D. The relationship between COVID-19-related prevention cognition and healthy lifestyle behaviors among university students: Mediated by e-health literacy and self-efficacy. J. Affect Disord. 2022, 309, 236–241. [Google Scholar] [CrossRef]





| Characteristics | Study May 2020 (n = 3483) | Study May 2021 (n = 3508) | p | ||
|---|---|---|---|---|---|
| Living accommodation: with parents, n (%) | 2418 | (69.4) | 1788 | (51.0) | <0.001 |
| COVID-19 infection, n (%) | 274 | (7.9) | 648 | (18.5) | <0.001 |
| CESD-8 scale, mean (SD) | 8.6 | (5.06) | 11.1 | (5.94) | <0.001 |
| Stressed with changes in teaching methods, n (%) | <0.001 | ||||
| Totally agree and agree | 2488 | (71.4) | 2479 | (70.8) | |
| Do not agree, do not disagree | 643 | (18.5) | 513 | (14.6) | |
| Totally disagree and disagree | 352 | (10.1) | 512 | (14.6) | |
| Increased academic workload, n (%) | <0.001 | ||||
| Totally agree and agree | 2030 | (58.3) | 1998 | (57.0) | |
| Do not agree, do not disagree | 962 | (27.6) | 973 | (27.8) | |
| Totally disagree and disagree | 491 | (14.1) | 533 | (15.2) | |
| Worried about not completing the academic year, n (%) | <0.001 | ||||
| Totally agree and agree | 2240 | (64.3) | 1773 | (50.6) | |
| Do not agree, do not disagree | 735 | (21.1) | 596 | (17.0) | |
| Totally disagree and disagree | 508 | (14.6) | 1135 | (32.4) | |
| Worry COVID-19 infection, mean (SD) | 3.6 | (3.31) | 3.6 | (3.26) | 0.97 |
| COVID-19 infection concern for a loved one, mean (SD) | 7.0 | (2.97) | 7.8 | (2.66) | <0.001 |
Disclaimer/Publisher’s Note: The statements, opinions and data contained in all publications are solely those of the individual author(s) and contributor(s) and not of MDPI and/or the editor(s). MDPI and/or the editor(s) disclaim responsibility for any injury to people or property resulting from any ideas, methods, instructions or products referred to in the content. |
© 2022 by the authors. Licensee MDPI, Basel, Switzerland. This article is an open access article distributed under the terms and conditions of the Creative Commons Attribution (CC BY) license (https://creativecommons.org/licenses/by/4.0/).
Share and Cite
Patin, A.; Ladner, J.; Tavolacci, M.-P. Change in University Student Health Behaviours after the Onset of the COVID-19 Pandemic. Int. J. Environ. Res. Public Health 2023, 20, 539. https://doi.org/10.3390/ijerph20010539
Patin A, Ladner J, Tavolacci M-P. Change in University Student Health Behaviours after the Onset of the COVID-19 Pandemic. International Journal of Environmental Research and Public Health. 2023; 20(1):539. https://doi.org/10.3390/ijerph20010539
Chicago/Turabian StylePatin, Alex, Joel Ladner, and Marie-Pierre Tavolacci. 2023. "Change in University Student Health Behaviours after the Onset of the COVID-19 Pandemic" International Journal of Environmental Research and Public Health 20, no. 1: 539. https://doi.org/10.3390/ijerph20010539
APA StylePatin, A., Ladner, J., & Tavolacci, M.-P. (2023). Change in University Student Health Behaviours after the Onset of the COVID-19 Pandemic. International Journal of Environmental Research and Public Health, 20(1), 539. https://doi.org/10.3390/ijerph20010539

