A Training Programme for Developing Social and Personal Resources and Its Effects on the Perceived Stress Level in Adults in Daily Life—Study Protocol for a Prospective Cohort Study
Abstract
1. Introduction
Study Objectives
2. Materials and Methods
2.1. Theoretical Background of the Training
2.1.1. Logical Categories of Learning
2.1.2. Five-Roles Model
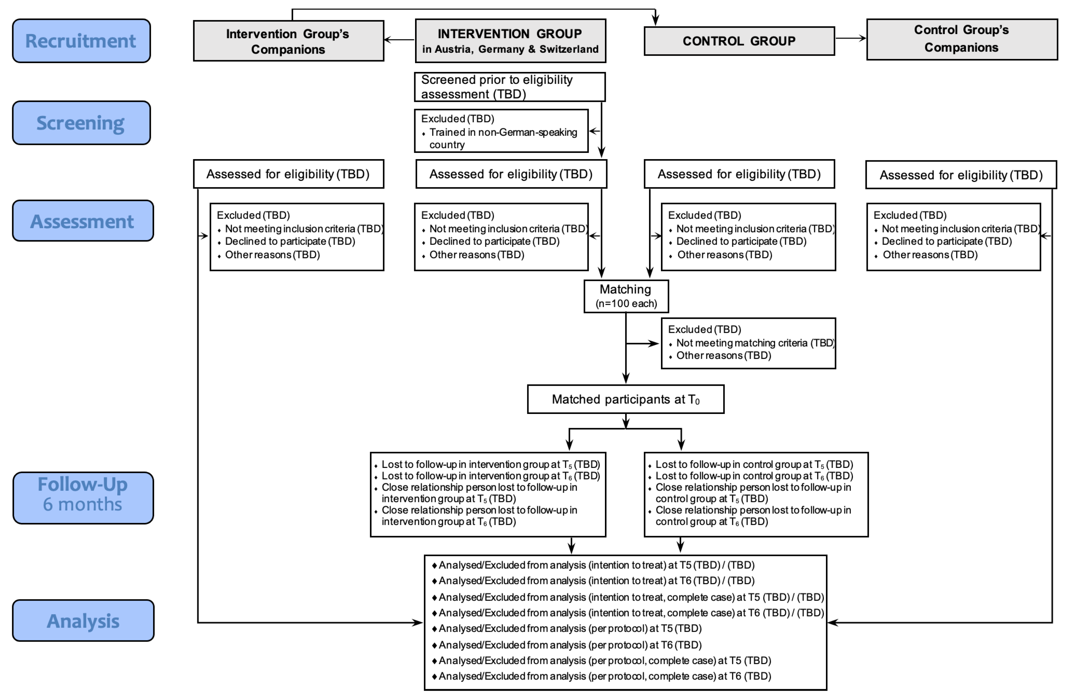
2.2. Study Design
2.3. Outcome Measures
2.3.1. Primary Outcome
2.3.2. Secondary Outcomes
2.3.3. Measurements
2.4. Sample Size
2.5. Intervention
2.5.1. Intervention Group
2.5.2. Control Group
2.6. Intervention Fidelity
2.7. Data and Statistical Analysis
2.8. Ethics Approval and Dissemination
3. Discussion
4. Conclusions
Supplementary Materials
Author Contributions
Funding
Institutional Review Board Statement
Informed Consent Statement
Data Availability Statement
Acknowledgments
Conflicts of Interest
Appendix A
| Session | Day 1 | Day 2 | Day 3 | Day 4 | Day 5 |
|---|---|---|---|---|---|
| Module 1. Finding meaning and developing your personality | Group exercise (GE): Power of Thoughts Individual exercise (IE): Search for holistic symbols [40] p. 473 GE: 3-part outcome frame [40] p. 474, [41] p. 35 | GE: Leading and being lead [40] p. 344 Presentation (P): Source of inspiration [40] p. 195 P + GE: Energy Patterns [41] p. 45, [40] p. 464 GE: Behaviour Flexibility [40] p. 455 GE: Windshield wiper [40] p. 399 | GE: Presentation in groups GE: Resource Transfer [41] p. 36 IE: Integrative meditation-repetition of all the highlights of the module | ||
| Module 2. Improving quality of life with others | P: Introduction to the module topic P: A good conversation [40] p. 235 P: Values [40] p. 79 GE: Power of thoughts (arm test) | P: 5 roles for equal relationship [40] p. 83 GE: Filter [40] p. 259 GE: Meta-model of language [40] p. 411 P + GE: Reframing [67] p. 195 P: Changeability of beliefs [40] p. 255 IE: Tree ritual [40] p. 475 | GE: Presentation in groups P + GE: Collecting information in a conversation [41] p. 89 GE: ABC dance-loosen old anchors [68] p. 267 IE: Integrative meditation | ||
| Module 3. Solving conflicts respectfully | P: Introduction to the module topic GE: Train the senses-calibration exercise [40] p. 386 P: 5 roles for equal relationship in detail [40] p. 83 | GE: Walking in each other’s shoes [40] p. 348 P+GE: 4 positions [41] p. 70 P+GE: Representation systems [67] p. 94 [41] p. 28 | IE: Book presentation GE: Presentation in groups P: Communication skills IE: Integrative meditation | ||
| Module 4. Finding meaning and discovering your own strengths and weaknesses in a group | P: Introduction to the module topic GE: Fast Life-Mission Exercise [40] p. 473 IE: Collecting goals for personal/private/professional life | P: Categories of learning [69] p. 771 P+GE: Motivation strategy [40] p. 299 GE: Moment of Excellence [67] p. 202 P + GE: Timelines concept [40] p. 93, p. 449 GE: Indian game [40] p. 456 | GE: Fairy tale game [40] p. 477 | P: Chunking [40] p. 442 GE: Chaining for problem solving [40] p. 320 GE: City game [68] p. 205 GE: Sketches p. 464 | GE: Presentation in groups GE: Outcome bar [40] p. 328 GE: Medicine wheel [67] p. 299 IE: Integrative meditation |
| Module 5. Systemic understanding of change | P: Introduction to the module topic GE: Collecting habitual behaviour P: 4 reasons for anger [40] p. 40 P + GE: Milton model of language [69] p. 825 + [40] p. 416 | P + GE: Basic Skills for Conflict [41] p. 63 + [40] p. 37. GE: Negotiation reframing [40] p. 66 P + GE: Reframing [40] p. 419 GE: Huna [40] p. 42 GE: Mutual feedback [41] p. 127 | GE: Presentation in groups IE: Literature presentation GE: Waterfall [40] p. 322 GE: Behaviour Generator [40] p. 324 IE: Integrative meditation | ||
| Module 6. Summary and integration | P: Introduction to the schedule GE: Repetition of training content | GE: Conversation simulation GE: Evolution game [67] p. 261 | GE: Application of what has been learned (in pairs) | GE: Walk with Power and Grace [40] p. 202 | GE: Medicine wheel [67] p. 299 IE: Integrative meditation |
References
- Psychische Erkrankungen Kosten Jährlich 7 Mrd Euro. Available online: https://www.wko.at/site/profitness/Entspannung.html (accessed on 9 January 2022).
- Executive Agency for Health and Consumers. Economic Analysis of Workplace Mental Health Promotion and Mental Disorder Prevention Programmes and of Their Potential Contribution to EU Health, Social and Economic Policy Objectives; Executive Agency for Health and Consumers: Luxembourg, 2013; p. 135. [Google Scholar]
- Gudsnuk, K.; Champagne, F.A. Epigenetic influence of stress and the social environment. ILAR J. 2012, 53, 279–288. [Google Scholar] [CrossRef] [PubMed]
- Daskalakis, N.P.; Bagot, R.C.; Parker, K.J.; Vinkers, C.H.; de Kloet, E.R. The three-hit concept of vulnerability and resilience: Toward understanding adaptation to early-life adversity outcome. Psychoneuroendocrinology 2013, 38, 1858–1873. [Google Scholar] [CrossRef] [PubMed]
- Romeo, R.D. Perspectives on stress resilience and adolescent neurobehavioral function. Neurobiol. Stress 2015, 1, 128–133. [Google Scholar] [CrossRef] [PubMed]
- Stein, K.V.; Rutz, W.; Hladschik-Kermer, B.; Dorner, T.E. Tapping the Potential of Resilience to Support an Integrated and Person-Centred Approach to Health and Wellbeing-Developing a Simple Assessment Tool for Practice. Int. J. Environ. Res. Public Health 2022, 19, 2679. [Google Scholar] [CrossRef] [PubMed]
- Zautra, A.J.; Hall, J.S.; Murray, K.E. Resilience: A new definition of health for people and communities. In Handbook of Adult Resilience; The Guilford Press: New York, NY, USA, 2010; pp. 3–29. [Google Scholar]
- Kobasa, S.C. Stressful life events, personality, and health: An inquiry into hardiness. J. Pers. Soc. Psychol. 1979, 37, 1–11. [Google Scholar] [CrossRef]
- Hanssen, L.M.; Schutte, N.S.; Malouff, J.M.; Epel, E.S. The Relationship Between Childhood Psychosocial Stressor Level and Telomere Length: A Meta-Analysis. Health Psychol. Res. 2017, 5, 6378. [Google Scholar] [CrossRef]
- Schaakxs, R.; Wielaard, I.; Verhoeven, J.E.; Beekman, A.T.; Penninx, B.W.; Comijs, H.C. Early and recent psychosocial stress and telomere length in older adults. Int. Psychogeriatr. 2016, 28, 405–413. [Google Scholar] [CrossRef]
- Epel, E.S.; Blackburn, E.H.; Lin, J.; Dhabhar, F.S.; Adler, N.E.; Morrow, J.D.; Cawthon, R.M. Accelerated telomere shortening in response to life stress. Proc. Natl. Acad. Sci. USA 2004, 101, 17312–17315. [Google Scholar] [CrossRef]
- Cohen, S.; Tyrrell, D.A.; Smith, A.P. Negative life events, perceived stress, negative affect, and susceptibility to the common cold. J. Pers. Soc. Psychol. 1993, 64, 131–140. [Google Scholar] [CrossRef]
- Henry, J.P.; Stephens, P.M. Stress, Health, and the Social Environment. In Proceedings of the Topics in Environmental Physiology and Medicine; Springer: New York, NY, USA, 1977. [Google Scholar]
- World Health Organization. Promoting Mental Health: Concepts, Emerging Evidence, Practice; Summary report; WHO: Geneva, Switzerland, 2004. [Google Scholar]
- Yusufov, M.; Nicoloro-SantaBarbara, J.; Grey, N.E.; Moyer, A.; Lobel, M. Meta-analytic evaluation of stress reduction interventions for undergraduate and graduate students. Int. J. Stress Manag. 2019, 26, 132–145. [Google Scholar] [CrossRef]
- Seligman, M.E.P.; Csikszentmihalyi, M. Positive Psychology: An Introduction. In Flow and the Foundations of Positive Psychology: The Collected Works of Mihaly Csikszentmihalyi; Springer: Dordrecht, The Netherlands, 2014; pp. 279–298. [Google Scholar]
- Joseph, S. Positive Psychology in Practice: Promoting Human Flourishing in Work, Health, Education, and Everyday Life, Second Edition; John Wiley & Sons, Inc.: Hoboken, NJ, USA, 2015. [Google Scholar]
- Trivette, C.; Dunst, C.; Hamby, D.W. Characteristics and Consequences of Adult Learning Methods and Strategies; Citeseer: Princeton, NJ, USA, 2009. [Google Scholar]
- Schneiderman, N.; Ironson, G.; Siegel, S.D. Stress and health: Psychological, behavioral, and biological determinants. Annu. Rev. Clin. Psychol. 2005, 1, 607–628. [Google Scholar] [CrossRef]
- Ng, D.M.; Jeffery, R.W. Relationships between perceived stress and health behaviors in a sample of working adults. Health Psychol. 2003, 22, 638–642. [Google Scholar] [CrossRef]
- Glise, K.; Ahlborg, G., Jr.; Jonsdottir, I.H. Prevalence and course of somatic symptoms in patients with stress-related exhaustion: Does sex or age matter. BMC Psychiatry 2014, 14, 118. [Google Scholar] [CrossRef]
- Abolghasemi, A.; Varaniyab, S.T. Resilience and perceived stress: Predictors of life satisfaction in the students of success and failure. Procedia Soc. Behav. Sci. 2010, 5, 748–752. [Google Scholar] [CrossRef]
- Umberson, D.; Montez, J.K. Social relationships and health: A flashpoint for health policy. J. Health Soc. Behav. 2010, 51, S54–S66. [Google Scholar] [CrossRef]
- Carpi, M.; Milanese, A.; Cattaruzza, M.S.; Ferrara, C.; Liuccio, M.; Vestri, A. Well-being, Perceived Stress and Their Relations with Health-Relevant Behaviours Among Italian Medical Students: A Cross-Sectional Study at Sapienza University of Rome. Trends Psychol. 2021, 30, 425–441. [Google Scholar] [CrossRef]
- Schippers, M.C.; Ziegler, N. Life Crafting as a Way to Find Purpose and Meaning in Life. Front. Psychol. 2019, 10, 2778. [Google Scholar] [CrossRef]
- Ostafin, B.D.; Proulx, T. Meaning in life and resilience to stressors. Anxiety Stress Coping 2020, 33, 603–622. [Google Scholar] [CrossRef]
- Richardson, C.G.; Ratner, P.A. Sense of coherence as a moderator of the effects of stressful life events on health. J. Epidemiol. Community Health 2005, 59, 979–984. [Google Scholar] [CrossRef]
- Gray-Stanley, J.A.; Muramatsu, N. Work stress, burnout, and social and personal resources among direct care workers. Res. Dev. Disabil. 2011, 32, 1065–1074. [Google Scholar] [CrossRef]
- Reed, P.G.; Haugan, G. Self-Transcendence: A Salutogenic Process for Well-Being. In Health Promotion in Health Care—Vital Theories and Research; Haugan, G., Eriksson, M., Eds.; Springer: Cham, Switzerland, 2021; pp. 103–115. [Google Scholar]
- Rustipa, K. Suggestopedia: How Does It Accelerate Language Learning. LitE 2011, 7, 1–7. [Google Scholar]
- Lozanov, G. Suggestology and Outlines of Suggestopedy; Krippner, S., Ed.; Taylor & Francis: London, UK, 2005; Volume 2, p. 339. [Google Scholar]
- Pekrun, R.; Götz, T.; Titz, W.; Perry, R.P. Positive Emotions in Education. In Beyond Coping: Meeting Goals, Visions, and Challenges; Oxford University Press: Oxford, UK, 2002; pp. 149–173. [Google Scholar]
- Hernández-López, M.; Mendoza-Jiménez, J. Using Superlearning Methodologies to Improve Student’s Satisfaction at the University. In Proceedings of the 8th International Conference on Education and New Learning Technologies, Barcelona, Spain, 4–6 July 2016; pp. 1288–1296. [Google Scholar]
- Schüler, J. Arousal of Flow Experience in a Learning Setting and Its Effects on Exam Performance and Affect. Z. Für Pädagogische Psychol. 2007, 21, 217–227. [Google Scholar] [CrossRef]
- Arulselvi, E. Desuggestopedia in Language Learning. Excell. Educ. J. 2017, 6, 24–33. [Google Scholar]
- Timmermans, A.C.; Rubie-Davies, C.M.; Rjosk, C. Pygmalion’s 50th anniversary: The state of the art in teacher expectation research. Educ. Res. Eval. 2018, 24, 91–98. [Google Scholar] [CrossRef]
- Tosey, P.; Langley, D.; Mathison, J. Bateson’ s Levels of Learning as a Conceptual Framework for Workplace Learning. In Workplace Learning-Concepts, Measurement and Application; Routledge: London, UK, 2010. [Google Scholar]
- Sandu, A. Using the Pyramid of Neurological Levels in the Human Resources Motivation Management. Rev. Rom. Pentru Educ. Multidimens. 2016, 8, 31–44. [Google Scholar] [CrossRef]
- Necşoi, D.V.; Porumbu, D.; Beldianu, I.F. Self-reflexivity—Transversal Competence in Teachers’ Training. Procedia Soc. Behav. Sci. 2013, 82, 186–191. [Google Scholar] [CrossRef]
- Kutschera, G. Tanz Zwischen Bewusst-Sein und Unbewusst-Sein; Junfermann: Paderborn, Germany, 1995. [Google Scholar]
- Kutschera, G.; Hoffmann, A. Theorie Sozialkompetenz in der Resonanzmethode®; Project Report for “Sozialkompetenz in Oberösterreich”; on behalf of Education Highway Oberösterreich: Vienna, Austria, 2008. [Google Scholar]
- Technikerkrankenkasse. Stress—Belastungen Besser Bewältigen; Techniker Krankenkasse: Passau, Germany, 2017; p. 59. [Google Scholar]
- Dlugosch, G.E.K.W. Fragebogen zur Erfassung des Gesundheitsverhaltens: (FEG); Swets Test Services: Frankfurt, Germany, 1995. [Google Scholar]
- Klusmann, U.; Trautwein, U.; Lüdtke, O. Intrinsische und extrinsische Lebensziele. Diagnostica 2005, 51, 40–51. [Google Scholar] [CrossRef]
- Steger, M.F.; Frazier, P.; Oishi, S.; Kaler, M. The meaning in life questionnaire: Assessing the presence of and search for meaning in life. J. Couns. Psychol. 2006, 53, 80–93. [Google Scholar] [CrossRef]
- Klein, E.M.; Brahler, E.; Dreier, M.; Reinecke, L.; Muller, K.W.; Schmutzer, G.; Wolfling, K.; Beutel, M.E. The German version of the Perceived Stress Scale—Psychometric characteristics in a representative German community sample. BMC Psychiatry 2016, 16, 159. [Google Scholar] [CrossRef]
- Tagay, S.; Düllmann, S.; Repic, N.; Schlottbohm, E.; Fünfgeld, F.; Senf, W. Das Essener Ressourcen-Inventar (ERI)—Entwicklung und Validierung. Trauma Z. Psychotraumatologie Ihre Anwend. 2014, 12, 72–87. [Google Scholar]
- Aguilar-Raab, C.; Grevenstein, D.; Schweitzer, J. Measuring Social Relationships in Different Social Systems: The Construction and Validation of the Evaluation of Social Systems (EVOS) Scale. PLoS ONE 2015, 10, e0133442. [Google Scholar] [CrossRef]
- Hunger, C.; Bornhauser, A.; Link, L.; Geigges, J.; Voss, A.; Weinhold, J.; Schweitzer, J. The Experience in Personal Social Systems Questionnaire (EXIS.pers): Development and Psychometric Properties. Fam. Process 2017, 56, 154–170. [Google Scholar] [CrossRef]
- Koivumaa-Honkanen, H.; Honkanen, R.; Viinamäki, H.; Heikkilä, K.; Kaprio, J.; Koskenvuo, M. Self-reported life satisfaction and 20-year mortality in healthy Finnish adults. Am. J. Epidemiol. 2000, 152, 983–991. [Google Scholar] [CrossRef]
- Schumacher, J.; Wilz, G.; Gunzelmann, T.; Brähler, E. Die Sense of Coherence Scale von Antonovsky. Psychother. Psychosom. Med. Psychol. 2000, 50, 472–482. [Google Scholar] [CrossRef]
- Ruch, W.; Martínez-Martí, M.L.; Proyer, R.T.; Harzer, C. The Character Strengths Rating Form (CSRF): Development and initial assessment of a 24-item rating scale to assess character strengths. Pers. Individ. Dif. 2014, 68, 53–58. [Google Scholar] [CrossRef]
- Topp, C.W.; Østergaard, S.D.; Søndergaard, S.; Bech, P. The WHO-5 Well-Being Index: A systematic review of the literature. Psychother. Psychosom. 2015, 84, 167–176. [Google Scholar] [CrossRef]
- Wild, D.; Grove, A.; Martin, M.; Eremenco, S.; McElroy, S.; Verjee-Lorenz, A.; Erikson, P. Principles of Good Practice for the Translation and Cultural Adaptation Process for Patient-Reported Outcomes (PRO) Measures: Report of the ISPOR Task Force for Translation and Cultural Adaptation. Value Health 2005, 8, 94–104. [Google Scholar] [CrossRef]
- Institut Kutschera. Resonanz® Practitioner. Available online: https://kutschera.org/ausbildungen/practitioner/ (accessed on 10 September 2022).
- Institut Kutschera GmbH. Available online: https://www.kutschera.org (accessed on 11 January 2022).
- Steinbeis. Training Courses. Available online: https://www.steinbeis-plus-akademie.de/Lehrgaenge/praxis/Uebersicht-der-Lehrgaenge# (accessed on 10 September 2022).
- Donaldson, S.I.; Lee, J.Y.; Donaldson, S.I. Evaluating Positive Psychology Interventions at Work: A Systematic Review and Meta-Analysis. Int. J. Appl. Posit. Psychol. 2019, 4, 113–134. [Google Scholar] [CrossRef]
- Meyers, M.C.; van Woerkom, M.; Bakker, A.B. The added value of the positive: A literature review of positive psychology interventions in organizations. Eur. J. Work. Organ. Psychol. 2013, 22, 618–632. [Google Scholar] [CrossRef]
- Cohn, M.A.; Fredrickson, B.L. In search of durable positive psychology interventions: Predictors and consequences of long-term positive behavior change. J. Posit. Psychol. 2010, 5, 355–366. [Google Scholar] [CrossRef]
- Grossman, P.; Niemann, L.; Schmidt, S.; Walach, H. Mindfulness-based stress reduction and health benefits. A meta-analysis. J. Psychosom. Res. 2004, 57, 35–43. [Google Scholar] [CrossRef] [PubMed]
- Ho, H.C.Y.; Yeung, D.Y.; Kwok, S.Y.C.L. Development and evaluation of the positive psychology intervention for older adults. J. Posit. Psychol. 2014, 9, 187–197. [Google Scholar] [CrossRef]
- O’Connell, B.H.; O’Shea, D.; Gallagher, S. Enhancing social relationships through positive psychology activities: A randomised controlled trial. J. Posit. Psychol. 2015, 11, 149–162. [Google Scholar] [CrossRef]
- Dishman, R.K.; Nakamura, Y.; Garcia, M.E.; Thompson, R.W.; Dunn, A.L.; Blair, S.N. Heart rate variability, trait anxiety, and perceived stress among physically fit men and women. Int. J. Psychophysiol. 2000, 37, 121–133. [Google Scholar] [CrossRef]
- Eck, M.; Nicolson, N. Perceived stress and salivary cortisol in daily life. Ann. Behav. Med. 1994, 16, 221–227. [Google Scholar]
- Colliander, H.; Fejes, A. The re-emergence of Suggestopedia: Teaching a second language to adult migrants in Sweden. Lang. Cult. Curric. 2020, 34, 51–64. [Google Scholar] [CrossRef]
- Luther, M.; Maaß, E. Spiele-Spectrum—Basisarbeit; Junfermann: Paderborn, Germany, 2006. [Google Scholar]
- Maaß, E.; Ritschl, K. Teamgeist—Spiele und Übungen für die Teamentwicklung; Junfermann: Paderborn, Germany, 2008; p. 295. [Google Scholar]
- Mohl, A. Der große Zauberlehrling—Teilband 2; Junfermann: Paderborn, Germany, 2010. [Google Scholar]





Training Modules, AP1–3:
Assessment Points.
Training Modules, AP1–3:
Assessment Points.
| Concepts | Description |
|---|---|
| Perceived stress | Perceived stress is a subjective measure of the degree to which a person feels overwhelmed or unable to cope with the demands of a situation. It is a key predictor of a range of negative health outcomes, including physical and mental health problems [19]. |
| Health behaviour | Health behaviour refers to the actions that individuals take to maintain or improve their health. This includes engaging in healthy behaviours such as regular physical activity and a healthy diet, as well as avoiding unhealthy behaviours such as smoking and excessive alcohol consumption [20]. |
| Presence of common somatic symptoms | Common somatic symptoms are physical complaints that are commonly experienced by individuals, such as headache, fatigue, and sleep disturbances. These symptoms can be influenced by a range of factors, including stress [21]. |
| Satisfaction with life | Satisfaction with life refers to an individual’s overall evaluation of their life and their level of contentment with various aspects of their life. It is a key predictor of overall wellbeing and has been found to be negatively affected by high levels of perceived stress [22]. |
| Quality of social relationships | Quality of social relationships refers to the positive and negative interactions that individuals have with others, as well as the overall quality of their relationships. Strong social relationships are associated with better mental and physical health outcomes, while poor social relationships can have negative effects on health and wellbeing [23]. |
| Wellbeing | Wellbeing is a broad concept that refers to an individual’s overall sense of physical, mental, and emotional health and happiness. It is influenced by a range of factors, including perceived stress, social relationships, and health behaviours [24]. |
| Life goals | Life goals are the long-term aspirations that individuals have for their lives. They can include career goals, family goals, and personal goals and can play a role in an individual’s overall sense of meaning and purpose in life [25]. |
| Meaning in life | Meaning in life refers to an individual’s sense of purpose and the goals and values that give their life meaning. It has been found to be a key predictor of overall wellbeing and has been found to be negatively affected by high levels of perceived stress [26]. |
| Sense of coherence | Sense of coherence refers to an individual’s ability to make sense of their life and the world around them. It is characterised by a sense of understanding, meaning, and predictability and has been found to be protective against the negative effects of perceived stress [27]. |
| Social and personal resources | Social and personal resources refer to the internal and external resources that individuals have at their disposal to cope with stress and challenges. These can include things such as strong social support networks, an internal locus of control, and a problem-solving attitude [28]. |
| Transcendence | Transcendence refers to the ability to find meaning and purpose beyond oneself. It has been found to be a protective factor against the negative effects of perceived stress and has been linked to overall wellbeing [29]. |
| Inclusion Criteria: | Exclusion Criteria: |
|---|---|
|
|
| Domain | Tool |
|---|---|
| Daily stressors | Evaluated using a list of the most frequent hassles and stressors encountered every day; created by Techniker Krankenkasse (37 items) [42]. |
| Health behaviour | Evaluated using the FEG—Questionnaire for the Assessment of Health Behavior [43]. Covers the behaviours that are pertinent to this study: exercise, sleep, and psychological stress (43 items). The total sum is used for further calculations. |
| Life goals | Assessed by the Aspiration Index that evaluates internal and extrinsic ambitions, which can be viewed as life goals [44] (35 items). Further calculations are based on the value ratio between presence and searching. |
| Meaning in life | Assessed by the MLQ—Meaning in Life Questionnaire [45], which distinguishes between presence of meaning and searching for meaning (10 items). |
| Perceived stress | Assessed by the PSS-10—Perceived Stress Scale [46] (10 items). |
| Personal and social skills | Personal, societal, and structural resources are assessed by the ERI—Essener Ressourceninventar [47] (33 items). The total mean value is utilised for further calculations. |
| Presence of common somatic symptoms | Assessed by the FEG—Questionnaire for the Assessment of Health Behavior [43] (5 items). The total mean value is used for further calculations. |
| Quality of relationships | Assessed by EVOS—Evaluation of Social Systems [48] and EXIS—Experience of Social Systems questionnaires [49] (68 items in total). The total sum is utilised for further calculations. |
| Satisfaction with life | Assessed by the LS-4—Life Satisfaction questionnaire [50] (4 items). |
| Sense of coherence | Assessed by the SOC-L9—Sense of Coherence Scale [51] (9 items). |
| Transcendence | Assessed by the CSRF—Character Strength and Rating Form (Transcendence part only) [52] (5 items). |
| Wellbeing | Assessed by the WHO-5 (by World Health Organisation) questionnaire for psychological wellbeing [53]. |
| Domain | Assessment Items |
|---|---|
| Coverage of training costs (self, other) | Single question developed by the researcher to assess the impact of cost coverage on the training effect (1 item). |
| Desire to improve social relationships | Single question developed by the researcher to assess the effects of the desire to strengthen social interactions on the training effect and to classify it as a confounder when there is a difference between the intervention and control groups. “Yes”, “sometimes”, and “no, I’m totally satisfied” are the response possibilities (1 item). |
| Expectations for the training programme | Assessed by a table where participants rate the effect they believe a training programme can have on the outcome parameters and the training aims. |
| Feeling of belonging to a group | Single question developed by the researcher to assess the impact of group identification on the training effect and to categorise it as a confounder when there is a difference between the intervention and control groups (1 item). |
| Frequency of application of trained content | Single question formulated by the researcher to evaluate the influence on the sustainability of the training effect. There are 6 response options representing increasing frequency (1 item). |
| Intention to complete the whole training programme | Single question developed by the researcher to assess the participants’ intention to complete the full training. “Yes”, “not sure yet”, “definitely not”, and “I have already attended other modules” are the response possibilities (1 item). |
| Medication | A single question is asked about the number of different medications that are taken. |
| Socio-demographic data | Age, gender, education, income, family status, relationship status, employment status, and earlier trainings (14 items). |
| Stressful life events within the last 3 months | Single question developed by the researcher to assess the impact of a stressful life experience that is still viewed as unpleasant on the training effect and to serve as a matching criterion (1 item). |
| Module | Title | Duration |
|---|---|---|
| Module 1 | Finding meaning and developing your personality | 3 days |
| Module 2 | Improving quality of life with others | 3 days |
| Module 3 | Solving conflicts respectfully | 3 days |
| Module 4 | Finding meaning and discovering your own strengths and weaknesses in a group | 5 days |
| Module 5 | Systemic understanding of change | 3 days |
| Module 6 | Summary and integration | 5 days |
Disclaimer/Publisher’s Note: The statements, opinions and data contained in all publications are solely those of the individual author(s) and contributor(s) and not of MDPI and/or the editor(s). MDPI and/or the editor(s) disclaim responsibility for any injury to people or property resulting from any ideas, methods, instructions or products referred to in the content. |
© 2022 by the authors. Licensee MDPI, Basel, Switzerland. This article is an open access article distributed under the terms and conditions of the Creative Commons Attribution (CC BY) license (https://creativecommons.org/licenses/by/4.0/).
Share and Cite
Janka, C.; Stamm, T.; Heinze, G.; Dorner, T.E. A Training Programme for Developing Social and Personal Resources and Its Effects on the Perceived Stress Level in Adults in Daily Life—Study Protocol for a Prospective Cohort Study. Int. J. Environ. Res. Public Health 2023, 20, 523. https://doi.org/10.3390/ijerph20010523
Janka C, Stamm T, Heinze G, Dorner TE. A Training Programme for Developing Social and Personal Resources and Its Effects on the Perceived Stress Level in Adults in Daily Life—Study Protocol for a Prospective Cohort Study. International Journal of Environmental Research and Public Health. 2023; 20(1):523. https://doi.org/10.3390/ijerph20010523
Chicago/Turabian StyleJanka, Christoph, Tanja Stamm, Georg Heinze, and Thomas E. Dorner. 2023. "A Training Programme for Developing Social and Personal Resources and Its Effects on the Perceived Stress Level in Adults in Daily Life—Study Protocol for a Prospective Cohort Study" International Journal of Environmental Research and Public Health 20, no. 1: 523. https://doi.org/10.3390/ijerph20010523
APA StyleJanka, C., Stamm, T., Heinze, G., & Dorner, T. E. (2023). A Training Programme for Developing Social and Personal Resources and Its Effects on the Perceived Stress Level in Adults in Daily Life—Study Protocol for a Prospective Cohort Study. International Journal of Environmental Research and Public Health, 20(1), 523. https://doi.org/10.3390/ijerph20010523

