Depression, Anxiety, Stress, and Suicidality Levels in Young Adults Increased Two Years into the COVID-19 Pandemic
Abstract
1. Introduction
2. Materials and Methods
2.1. Study Design and Participants
2.2. Assessment Tools
2.3. Statistical Analysis
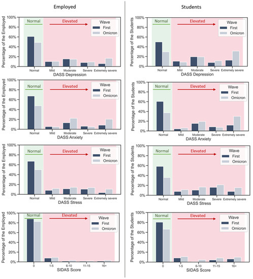
3. Results
3.1. Descriptive Statistics
3.2. Comparison between Waves
3.3. Comparison between the Respondents Who Had Tested Positive for COVID-19 and the Respondents Who Had Not
3.4. Comparison of Respondents Who Did Not Test Positive for COVID-19 between the First and the Omicron Wave
4. Discussion
4.1. Main Findings
4.2. Previous Research and Possible Explanations
4.2.1. Strengths and Limitations
4.2.2. Clinical Implications
5. Conclusions
Author Contributions
Funding
Institutional Review Board Statement
Informed Consent Statement
Data Availability Statement
Conflicts of Interest
References
- Kola, L.; Kohrt, B.A.; Hanlon, C.; Naslund, J.A.; Sikander, S.; Balaji, M.; Benjet, C.; Cheung, E.Y.L.; Eaton, J.; Gonsalves, P.; et al. COVID-19 mental health impact and responses in low-income and middle-income countries: Reimagining global mental health. Lancet Psychiatry 2021, 8, 535–550. [Google Scholar] [CrossRef]
 - Jain, A.; Jolly, T.S. Omicron (B.1.1.529) COVID-19 Variant: A Mental Health Perspective on Lessons Learned and Future Challenges. Prim. Care Companion CNS Disord. 2021, 23, 3206. [Google Scholar] [CrossRef]
 - Chen, J.; Wang, R.; Gilby, N.B.; Wei, G.-W. Omicron Variant (B.1.1.529): Infectivity, Vaccine Breakthrough, and Antibody Resistance. J. Chem. Inf. Model. 2022, 62, 412–422. [Google Scholar] [CrossRef]
 - Lusida, M.A.P.; Salamah, S.; Jonatan, M.; Wiyogo, I.O.; Asyari, C.H.; Ali, N.D.; Asmara, J.; Wahyuningtyas, R.I.; Triyono, E.A.; Ratnadewi, N.K.; et al. Prevalence of and Risk Factors for Depression, Anxiety, and Stress in Non-Hospitalized Asymptomatic and Mild COVID-19 Patients in East Java Province, Indonesia. PLoS ONE 2022, 17, e0270966. [Google Scholar] [CrossRef]
 - Daly, M.; Robinson, E. Anxiety Reported by US Adults in 2019 and during the 2020 COVID-19 Pandemic: Population-Based Evidence from Two Nationally Representative Samples. J. Affect. Disord. 2021, 286, 296–300. [Google Scholar] [CrossRef]
 - Carrà, G.; Crocamo, C.; Bartoli, F.; Riboldi, I.; Sampogna, G.; Luciano, M.; Albert, U.; Carmassi, C.; Cirulli, F.; Dell’Osso, B.; et al. Were anxiety, depression and psychological distress associated with local mortality rates during COVID-19 outbreak in Italy? Findings from the COMET study. J. Psychiatr. Res. 2022, 152, 242–249. [Google Scholar] [CrossRef]
 - Chang, J.-J.; Ji, Y.; Li, Y.-H.; Pan, H.-F.; Su, P.-Y. Prevalence of anxiety symptom and depressive symptom among college students during COVID-19 pandemic: A meta-analysis. J. Affect. Disord. 2021, 292, 242–254. [Google Scholar] [CrossRef] [PubMed]
 - Deng, J.; Zhou, F.; Hou, W.; Silver, Z.; Wong, C.Y.; Chang, O.; Drakos, A.; Zuo, Q.K.; Huang, E. The prevalence of depressive symptoms, anxiety symptoms and sleep disturbance in higher education students during the COVID-19 pandemic: A systematic review and meta-analysis. Psychiatry Res. 2021, 301, 113863. [Google Scholar] [CrossRef]
 - Almalki, A.H.; Alzahrani, M.S.; Alshehri, F.S.; Alharbi, A.; Alkhudaydi, S.F.; Alshahrani, R.S.; Alzaidi, A.H.; Algarni, M.A.; Alsaab, H.O.; Alatawi, Y.; et al. The Psychological Impact of COVID-19 on Healthcare Workers in Saudi Arabia: A Year Later into the Pandemic. Front. Psychiatry 2021, 12, 2303. [Google Scholar] [CrossRef]
 - Goodwin, R.D.; Weinberger, A.H.; Kim, J.H.; Wu, M.; Galea, S. Trends in Anxiety among Adults in the United States, 2008-2018: Rapid Increases among Young Adults. J. Psychiatr. Res. 2020, 130, 441–446. [Google Scholar] [CrossRef]
 - Ettman, C.; Abdala, C.; Cohen, G.; Sampson, L.; Vivier, P.M.; Galea, S. Prevalence of Depression Symptoms in US Adults before and during the COVID-19 Pandemic. JAMA Netw. Open 2020, 3, e2019686. [Google Scholar] [CrossRef] [PubMed]
 - Knopf, A. Prepare for increased depression, anxiety in youth due to COVID-19 lockdown. Brown Univ. Child Adolesc. Psychopharmacol. Update 2020, 22, 1–4. [Google Scholar] [CrossRef]
 - Liang, L.; Ren, H.; Cao, R.; Hu, Y.; Qin, Z.; Li, C.; Mei, S. The Effect of COVID-19 on Youth Mental Health. Psychiatr. Q. 2020, 91, 841–852. [Google Scholar] [CrossRef] [PubMed]
 - Rus Prelog, P.; Matić, T.; Pregelj, P.; Sadikov, A. Risk of Depression, Anxiety, and Stress During the Second Wave of COVID-19 in Slovenia. Front. Psychiatry 2022, 12, 2550. [Google Scholar] [CrossRef]
 - O’Connor, R.C.; Wetherall, K.; Cleare, S.; McClelland, H.; Melson, A.J.; Niedzwiedz, C.L.; O’Carroll, R.E.; O’Connor, D.B.; Platt, S.; Scowcroft, E.; et al. Mental Health and Well-Being during the COVID-19 Pandemic: Longitudinal Analyses of Adults in the UK COVID-19 Mental Health & Wellbeing Study. Br. J. Psychiatry J. Ment. Sci. 2021, 218, 326–333. [Google Scholar] [CrossRef]
 - Twenge, J.M.; Cooper, A.B.; Joiner, T.E.; Duffy, M.E.; Binau, S.G. Age, Period, and Cohort Trends in Mood Disorder Indicators and Suicide-Related Outcomes in a Nationally Representative Dataset, 2005–2017. J. Abnorm. Psychol. 2019, 128, 185–199. [Google Scholar] [CrossRef]
 - Graupensperger, S.; Calhoun, B.H.; Patrick, M.E.; Lee, C.M. Longitudinal Effects of COVID-19-Related Stressors on Young Adults’ Mental Health and Wellbeing. Appl. Psychol. Health Well-Being 2022, 14, 734–756. [Google Scholar] [CrossRef]
 - Hawes, M.T.; Szenczy, A.K.; Klein, D.N.; Hajcak, G.; Nelson, B.D. Increases in Depression and Anxiety Symptoms in Adolescents and Young Adults during the COVID-19 Pandemic. Psychol. Med. 2021, 52, 3222–3230. [Google Scholar] [CrossRef]
 - Glowacz, F.; Schmits, E. Psychological Distress during the COVID-19 Lockdown: The Young Adults Most at Risk. Psychiatry Res. 2020, 293, 113486. [Google Scholar] [CrossRef]
 - Klaser, K.; Thompson, E.J.; Nguyen, L.H.; Sudre, C.H.; Antonelli, M.; Murray, B.; Canas, L.S.; Molteni, E.; Graham, M.S.; Kerfoot, E.; et al. Anxiety and depression symptoms after COVID-19 infection: Results from the COVID Symptom Study app. J. Neurol. Neurosurg. Psychiatry 2021, 92, 1254–1258. [Google Scholar] [CrossRef]
 - Renaud-Charest, O.; Lui, L.M.W.; Eskander, S.; Ceban, F.; Ho, R.; Di Vincenzo, J.D.; Rosenblat, J.D.; Lee, Y.; Subramaniapillai, M.; McIntyre, R.S. Onset and frequency of depression in post-COVID-19 syndrome: A systematic review. J. Psychiatr. Res. 2021, 144, 129–137. [Google Scholar] [CrossRef] [PubMed]
 - Postolache, T.T.; Benros, M.E.; Brenner, L.A. Targetable Biological Mechanisms Implicated in Emergent Psychiatric Conditions Associated with SARS-CoV-2 Infection. JAMA Psychiatry 2021, 78, 353–354. [Google Scholar] [CrossRef]
 - Mazza, C.; Ricci, E.; Biondi, S.; Colasanti, M.; Ferracuti, S.; Napoli, C.; Roma, P. A Nationwide Survey of Psychological Distress among Italian People during the COVID-19 Pandemic: Immediate Psychological Responses and Associated Factors. Int. J. Environ. Res. Public. Health 2020, 17, 3165. [Google Scholar] [CrossRef] [PubMed]
 - Hammen, C.; Kim, E.Y.; Eberhart, N.K.; Brennan, P.A. Chronic and Acute Stress and the Prediction of Major Depression in Women. Depress. Anxiety 2009, 26, 718–723. [Google Scholar] [CrossRef] [PubMed]
 - Giallonardo, V.; Sampogna, G.; Del Vecchio, V.; Luciano, M.; Albert, U.; Carmassi, C.; Carrà, G.; Cirulli, F.; Dell’Osso, B.; Nanni, M.G.; et al. The Impact of Quarantine and Physical Distancing Following COVID-19 on Mental Health: Study Protocol of a Multicentric Italian Population Trial. Front. Psychiatry 2020, 11, 533. [Google Scholar] [CrossRef]
 - Lovibond, S.H.; Lovibond, P.F. Psychology Foundation of Australia. Manual for the Depression Anxiety Stress Scales; Psychology Foundation of Australia: Sydney, Australia, 1995. [Google Scholar]
 - Van Spijker, B.A.J.; Batterham, P.J.; Calear, A.L.; Farrer, L.; Christensen, H.; Reynolds, J.; Kerkhof, A.J.F.M. The suicidal ideation attributes scale (SIDAS): Community-based validation study of a new scale for the measurement of suicidal ideation. Suicide Life. Threat. Behav. 2014, 44, 408–419. [Google Scholar] [CrossRef]
 - Efstathiou, V.; Papadopoulou, A.; Pomini, V.; Yotsidi, V.; Kalemi, G.; Chatzimichail, K.; Michopoulos, I.; Kaparoudaki, A.; Papadopoulou, M.; Smyrnis, N.; et al. A one-year longitudinal study on suicidal ideation, depression and anxiety during the COVID-19 pandemic. Asian J. Psychiatry 2022, 73, 103175. [Google Scholar] [CrossRef]
 - Leung, C.; Bharwani, A.A.; Cogo-Moreira, H.; Wang, Y.; Chow, M.S.; Fan, X.; Galea, S.; Leung, G.M.; Ni, M.Y. Mental disorders following COVID-19 and other epidemics: A systematic review and meta-analysis. Transl. Psychiatry 2022, 12, 205. [Google Scholar] [CrossRef]
 - Wan Mohd Yunus, W.M.A.; Badri, S.K.Z.; Panatik, S.A.; Mukhtar, F. The Unprecedented Movement Control Order (Lockdown) and Factors Associated with the Negative Emotional Symptoms, Happiness, and Work-Life Balance of Malaysian University Students during the Coronavirus Disease (COVID-19) Pandemic. Front. Psychiatry 2020, 11, 566221. [Google Scholar] [CrossRef]
 - Mekonen, E.G.; Workneh, B.S.; Ali, M.S.; Muluneh, N.Y. The Psychological Impact of COVID-19 Pandemic on Graduating Class Students at the University of Gondar, Northwest Ethiopia. Psychol. Res. Behav. Manag. 2021, 14, 109–122. [Google Scholar] [CrossRef]
 - Sivertsen, B.; Knapstad, M.; Petrie, K.; O’Connor, R.; Lønning, K.J.; Hysing, M. Changes in mental health problems and suicidal behaviour in students and their associations with COVID-19-related restrictions in Norway: A national repeated cross-sectional analysis. BMJ Open 2022, 12, e057492. [Google Scholar] [CrossRef] [PubMed]
 - Khan, A.H.; Sultana, M.S.; Hossain, S.; Hasan, M.T.; Ahmed, H.U.; Sikder, M.T. The impact of COVID-19 pandemic on mental health & wellbeing among home-quarantined Bangladeshi students: A cross-sectional pilot study. J. Affect. Disord. 2020, 277, 121–128. [Google Scholar] [CrossRef] [PubMed]
 - Troyer, E.A.; Kohn, J.N.; Hong, S. Are we facing a crashing wave of neuropsychiatric sequelae of COVID-19? Neuropsychiatric symptoms and potential immunologic mechanisms. Brain. Behav. Immun. 2020, 87, 34–39. [Google Scholar] [CrossRef] [PubMed]
 - Passavanti, M.; Argentieri, A.; Barbieri, D.M.; Lou, B.; Wijayaratna, K.; Foroutan Mirhosseini, A.S.; Wang, F.; Naseri, S.; Qamhia, I.; Tangerås, M.; et al. The psychological impact of COVID-19 and restrictive measures in the world. J. Affect. Disord. 2021, 283, 36–51. [Google Scholar] [CrossRef] [PubMed]
 - Bourmistrova, N.W.; Solomon, T.; Braude, P.; Strawbridge, R.; Carter, B. Long-term effects of COVID-19 on mental health: A systematic review. J. Affect. Disord. 2022, 299, 118–125. [Google Scholar] [CrossRef]
 - Hajek, A.; Sabat, I.; Neumann-Böhme, S.; Schreyögg, J.; Barros, P.P.; Stargardt, T.; König, H.-H. Prevalence and determinants of probable depression and anxiety during the COVID-19 pandemic in seven countries: Longitudinal evidence from the European COvid Survey (ECOS). J. Affect. Disord. 2022, 299, 517–524. [Google Scholar] [CrossRef] [PubMed]
 - Brooks, S.K.; Webster, R.K.; Smith, L.E.; Woodland, L.; Wessely, S.; Greenberg, N.; Rubin, G.J. The psychological impact of quarantine and how to reduce it: Rapid review of the evidence. Lancet 2020, 395, 912–920. [Google Scholar] [CrossRef] [PubMed]
 - Yu, J.; Chai, P.; Ge, S.; Fan, X. Recent Understandings Toward Coronavirus Disease 2019 (COVID-19): From Bench to Bedside. Front. Cell Dev. Biol. 2020, 8, 476. [Google Scholar] [CrossRef] [PubMed]
 - Dubey, S.; Biswas, P.; Ghosh, R.; Chatterjee, S.; Dubey, M.J.; Chatterjee, S.; Lahiri, D.; Lavie, C.J. Psychosocial impact of COVID-19. Diabetes Metab. Syndr. 2020, 14, 779–788. [Google Scholar] [CrossRef]
 - Vindegaard, N.; Benros, M.E. COVID-19 pandemic and mental health consequences: Systematic review of the current evidence. Brain. Behav. Immun. 2020, 89, 531–542. [Google Scholar] [CrossRef]
 - World Health Organization. Mental Health and COVID-19: Early Evidence of the Pandemic’s Impact: Scientific Brief; WHO: Geneva, Switzerland, 2022. [Google Scholar]
 - Everyone Included: Social Impact of COVID-19. DISD. Available online: https://www.un.org/development/desa/dspd/everyone-included-covid-19.html (accessed on 7 October 2022).
 - Knudsen, A.K.; Hotopf, M.; Skogen, J.C.; Overland, S.; Mykletun, A. The health status of nonparticipants in a population-based health study: The Hordaland Health Study. Am. J. Epidemiol. 2010, 172, 1306–1314. [Google Scholar] [CrossRef] [PubMed]
 




| Wave 1 | Wave 2 | ||
|---|---|---|---|
| Marital status (distribution)  | Married/Living with partner | 52.6% | 27.6% | 
| In a relationship and not living with partner | 20.3% | 25.6% | |
| Single | 26.9% | 46.6% | |
| Divorced | 0.2% | 0.2% | |
| Employment status (distribution)  | Students | 24.5% | 64.0% | 
| Employed | 70.2% | 31.7% | |
| Education (distribution)  | Ph.D./Specialization | 4.4% | 3.1% | 
| Master’s degree | 27.0% | 24.9% | |
| Graduate degree | 29.0% | 16.4% | |
| High school | 29.5% | 55.6% | |
| Elementary school | 0.2% | 0.0% | |
| Number of people in the household | Mean (±SD) | 3.1 (±1.5) | 3.5 (±1.6) | 
| Has children | % Yes | 16.4 | 6.7 | 
| Has a physical illness | % Yes | 10.2 | 9.2 | 
| Has a mental illness | % Yes | 6.8 | 13.5 | 
| Has tested positive for COVID-19 | % Yes | 7.3 | 48.3 | 
| Has been hospitalized for COVID-19 | % Yes | 4.7 | 0.0 | 
| Has had pneumonia caused by COVID-19 | % Yes | 0.0 | 1.6 | 
| Has been in isolation due to COVID-19 | % Yes | 17.5 | 58.9 | 
| Has been in isolation due to contact with a person infected with COVID-19 | % Yes | 13.6 | 48.3 | 
| Close person has had COVID-19 | % Yes | 17.9 | 80.6 | 
| Close person died of COVID-19 | % Yes | 0.3 | 6.7 | 
| Pregnant women or newborn in the household | % Yes | 6.6 | 4.3 | 
| Elderly or chronically ill person in the household | % Yes | 22.8 | 25.2 | 
| Wave 1 | Wave 2 | ||
|---|---|---|---|
| DASS Depression (0–42)  | Mean (±SD) | 10.1 (±9.6) | 16.9 (±12.5) | 
| Median | 8 (normal) | 16 (moderate) | |
| DASS Anxiety (0–42)  | Mean (±SD) | 6.7 (±7.9) | 12.3 (±10.7) | 
| Median | 4 (normal) | 10 (moderate) | |
| DASS Stress (0–42)  | Mean (±SD) | 12.5 (±10.7) | 18.7 (±11.9) | 
| Median | 10 (normal) | 18 (mild) | |
| SIDAS (0–50)  | Mean (±SD) | 1.2 (±4.5) | 3.5 (±7.9) | 
| Median | 0 (normal) | 0 (normal) | 
| Wave 1 (%) | Wave 2 (%) | ||
|---|---|---|---|
| DASS Depression | Normal (0–9) | 56.7 | 36.0 | 
| Mild (10–12) | 10.4 | 9.2 | |
| Moderate (13–20) | 17.4 | 17.8 | |
| Severe (21–27) | 8.2 | 10.4 | |
| Extremely Severe (28–42) | 7.3 | 26.6 | |
| DASS Anxiety | Normal (0–6) | 65.4 | 40.5 | 
| Mild (7–9) | 4.8 | 5.7 | |
| Moderate (10–14) | 13.6 | 20.4 | |
| Severe (15–19) | 6.5 | 6.7 | |
| Extremely Severe (20–42) | 9.7 | 26.8 | |
| DASS Stress | Normal (0–10) | 64.2 | 39.9 | 
| Mild (11–18) | 8.0 | 11.4 | |
| Moderate (19–26) | 11.2 | 15.9 | |
| Severe (27–34) | 11.9 | 19.8 | |
| Extremely Severe (35–42) | 4.6 | 13.9 | |
| SIDAS | Low (0) | 86.0 | 71.6 | 
| High (1 or more) | 14.0 | 28.4 | 
Disclaimer/Publisher’s Note: The statements, opinions and data contained in all publications are solely those of the individual author(s) and contributor(s) and not of MDPI and/or the editor(s). MDPI and/or the editor(s) disclaim responsibility for any injury to people or property resulting from any ideas, methods, instructions or products referred to in the content.  | 
© 2022 by the authors. Licensee MDPI, Basel, Switzerland. This article is an open access article distributed under the terms and conditions of the Creative Commons Attribution (CC BY) license (https://creativecommons.org/licenses/by/4.0/).
Share and Cite
Matić, T.; Pregelj, P.; Sadikov, A.; Rus Prelog, P. Depression, Anxiety, Stress, and Suicidality Levels in Young Adults Increased Two Years into the COVID-19 Pandemic. Int. J. Environ. Res. Public Health 2023, 20, 339. https://doi.org/10.3390/ijerph20010339
Matić T, Pregelj P, Sadikov A, Rus Prelog P. Depression, Anxiety, Stress, and Suicidality Levels in Young Adults Increased Two Years into the COVID-19 Pandemic. International Journal of Environmental Research and Public Health. 2023; 20(1):339. https://doi.org/10.3390/ijerph20010339
Chicago/Turabian StyleMatić, Teodora, Peter Pregelj, Aleksander Sadikov, and Polona Rus Prelog. 2023. "Depression, Anxiety, Stress, and Suicidality Levels in Young Adults Increased Two Years into the COVID-19 Pandemic" International Journal of Environmental Research and Public Health 20, no. 1: 339. https://doi.org/10.3390/ijerph20010339
APA StyleMatić, T., Pregelj, P., Sadikov, A., & Rus Prelog, P. (2023). Depression, Anxiety, Stress, and Suicidality Levels in Young Adults Increased Two Years into the COVID-19 Pandemic. International Journal of Environmental Research and Public Health, 20(1), 339. https://doi.org/10.3390/ijerph20010339
        
