Effect of Different Lead and Cadmium Salts on the Photolytic Degradation of Two Typical Fluoroquinolones under Natural Sunlight Irradiation
Abstract
1. Introduction
2. Materials and Methods
2.1. Materials and Chemicals
2.2. Standard Curve of FQs
2.3. Determination of Complexation Ratio
2.4. Photolytic Degradation of FQs with or without Metal Salts
3. Results and Discussion
3.1. Complexation Ratio Determination
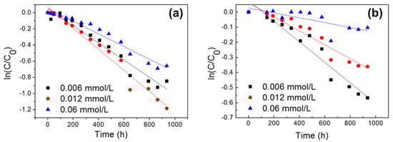
3.2. Effects of Initial FQ Concentrations
3.3. Effects of Lead and Cadmium Salts on the Photolytic Degradation of Two FQs
4. Conclusions
Supplementary Materials
Author Contributions
Funding
Institutional Review Board Statement
Informed Consent Statement
Data Availability Statement
Conflicts of Interest
References
- Riaz, L.; Mahmood, T.; Khalid, A.; Rashid, A.; Siddique, M.B.A.; Kamal, A.; Coyne, M. Fluoroquinolones (FQs) in the environment: A review on their abundance, sorption and toxicity in soil. Chemosphere 2017, 191, 704–720. [Google Scholar] [CrossRef] [PubMed]
- Van Doorslaer, X.; Dewulf, J.; Van Langenhove, H.; Demeestere, K. Fluoroquinolone antibiotics: An emerging class of environmental micropollutants. Sci. Total Environ. 2014, 500, 250–269. [Google Scholar] [CrossRef] [PubMed]
- Danner, M.C.; Robertson, A.; Behrends, V.; Reiss, J. Antibiotic pollution in surface fresh waters: Occurrence and effects. Sci. Total Environ. 2019, 664, 793–804. [Google Scholar] [CrossRef] [PubMed]
- Li, Z.; Li, M.; Zhang, Z.Y.; Li, P.; Zang, Y.G.; Liu, X. Antibiotics in aquatic environments of China: A review and meta-analysis. Ecotox. Environ. Saf. 2020, 199, 110668. [Google Scholar] [CrossRef]
- Du, J.; Zhao, H.X.; Liu, S.S.; Xie, H.J.; Wang, Y.; Chen, J.W. Antibiotics in the coastal water of the South Yellow Sea in China: Occurrence, distribution and ecological risks. Sci. Total Environ. 2017, 595, 521–527. [Google Scholar] [CrossRef]
- Zhang, R.L.; Kang, Y.R.; Zhang, R.J.; Han, M.W.; Zeng, W.B.; Wang, Y.H.; Yu, K.F.; Yang, Y. Occurrence, source, and the fate of antibiotics in mariculture ponds near the Maowei Sea, South China: Storm caused the increase of antibiotics usage. Sci. Total Environ. 2021, 752, 141882. [Google Scholar] [CrossRef]
- Jia, J.; Guan, Y.J.; Cheng, M.Q.; Chen, H.; He, J.F.; Wang, S.; Wang, Z.Z. Occurrence and distribution of antibiotics and antibiotic resistance genes in Ba River, China. Sci. Total Environ. 2018, 642, 1136–1144. [Google Scholar] [CrossRef]
- Liu, K.; Zhang, D.L.; Xiao, X.T.; Cui, L.J.; Zhang, H.L. Occurrence of quinotone antibiotics and their impacts on aquatic environment in typical river-estuary system of Jiaozhou Bay, China. Ecotox. Environ. Saf. 2020, 190, 109993. [Google Scholar] [CrossRef]
- Li, L.; Liu, D.; Zhang, Q.; Song, K.; Zhou, X.H.; Tang, Z.; Zhou, X. Occurrence and ecological risk assessment of selected antibiotics in the freshwater lakes along the middle and lower reaches of Yangtze River Basin. J. Environ. Manag. 2019, 249, 109396. [Google Scholar] [CrossRef]
- Zhao, B.; Xu, J.M.; Zhang, G.D.; Lu, S.Y.; Liu, X.H.; Li, L.X.; Li, M. Occurrence of antibiotics and antibiotic resistance genes in the Fuxian Lake and antibiotic source analysis based on principal component analysis-multiple linear regression model. Chemosphere 2021, 262, 127741. [Google Scholar] [CrossRef]
- Boy-Roura, M.; Mas-Pla, J.; Petrovic, M.; Gros, M.; Soler, D.; Brusi, D.; Mencio, A. Towards the understanding of antibiotic occurrence and transport in groundwater: Findings from the Baix Fluvia alluvial aquifer (NE Catalonia, Spain). Sci. Total Environ. 2018, 612, 1387–1406. [Google Scholar] [CrossRef] [PubMed]
- Yao, L.L.; Wang, Y.X.; Tong, L.; Deng, Y.M.; Li, Y.G.; Gan, Y.Q.; Guo, W.; Dong, C.J.; Duan, Y.H.; Zhao, K. Occurrence and risk assessment of antibiotics in surface water and groundwater from different depths of aquifers: A case study at Jianghan Plain, central China. Ecotox. Environ. Saf. 2017, 135, 236–242. [Google Scholar] [CrossRef] [PubMed]
- Langbehn, R.K.; Michels, C.; Soares, H.M. Antibiotics in wastewater: From its occurrence to the biological removal by environmentally conscious technologies. Environ. Pollut. 2021, 275, 116603. [Google Scholar] [CrossRef]
- Spataro, F.; Ademollo, N.; Pescatore, T.; Rauseo, J.; Patrolecco, L. Antibiotic residues and endocrine disrupting compounds in municipal wastewater treatment plants in Rome, Italy. Microchem. J. 2019, 148, 634–642. [Google Scholar] [CrossRef]
- Yang, Q.; Gao, Y.; Ke, J.; Show, P.L.; Ge, Y.; Liu, Y.; Guo, R.; Chen, J. Antibiotics: An overview on the environmental occurrence, toxicity, degradation, and removal methods. Bioengineered. 2021, 12, 7376–7416. [Google Scholar] [CrossRef]
- Li, Y.; Niu, J.F.; Wang, W.L. Photolysis of Enrofloxacin in aqueous systems under simulated sunlight irradiation: Kinetics, mechanism and toxicity of photolysis products. Chemosphere 2011, 85, 892–897. [Google Scholar] [CrossRef]
- Ge, L.K.; Chen, J.W.; Wei, X.X.; Zhang, S.Y.; Qiao, X.L.; Cai, X.Y.; Xie, Q. Aquatic photochemistry of fluoroquinolone antibiotics: Kinetics, pathways, and multivariate effects of main water constituents. Environ. Sci. Technol. 2010, 44, 2400–2405. [Google Scholar] [CrossRef] [PubMed]
- Ge, L.K.; Halsall, C.; Chen, C.E.; Zhang, P.; Dong, Q.Q.; Yao, Z.W. Exploring the aquatic photodegradation of two ionisable fluoroquinolone antibiotics-Gatifloxacin and balofloxacin: Degradation kinetics, photobyproducts and risk to the aquatic environment. Sci. Total Environ. 2018, 633, 1192–1197. [Google Scholar] [CrossRef]
- Sturini, M.; Speltini, A.; Maraschi, F.; Profumo, A.; Pretali, L.; Fasani, E.; Albini, A. Photochemical degradation of marbofloxacin and enrofloxacin in natural waters. Environ. Sci. Technol. 2010, 44, 4564–4569. [Google Scholar] [CrossRef]
- Sturini, M.; Speltini, A.; Maraschi, F.; Pretali, L.; Profumo, A.; Fasani, E.; Albini, A.; Migliavacca, R.; Nucleo, E. Photodegradation of fluoroquinolones in surface water and antimicrobial activity of the photoproducts. Water Res. 2012, 46, 5575–5582. [Google Scholar] [CrossRef]
- Wammer, K.H.; Korte, A.R.; Lundeen, R.A.; Sundberg, J.E.; McNeill, K.; Arnold, W.A. Direct photochemistry of three fluoroquinolone antibacterials: Norfloxacin, ofloxacin, and enrofloxacin. Water. Res. 2013, 47, 439–448. [Google Scholar] [CrossRef] [PubMed]
- Geng, C.; Liang, Z.J.; Cui, F.Y.; Zhao, Z.W.; Yuan, C.; Du, J.Y.; Wang, C. Energy-saving photo-degradation of three fluoroquinolone antibiotics under VUV/UV irradiation: Kinetics, mechanism, and antibacterial activity reduction. Chem. Eng. J. 2020, 383, 123145. [Google Scholar] [CrossRef]
- Pan, B.; Qiu, M.; Wu, M.; Zhang, D.; Peng, H.; Wu, D.; Xing, B. The opposite impacts of Cu and Mg cations on dissolved organic matter–ofloxacin interaction. Environ. Pollut. 2012, 161, 76–82. [Google Scholar] [CrossRef] [PubMed]
- Wu, D.; Li, H.; Liao, S.; Sun, X.; Peng, H.; Zhang, D.; Pan, B. Cosorption of ofloxacin and Cu(II) in soils before and after organic matter removal. Sci. Total Environ. 2014, 481, 209–216. [Google Scholar] [CrossRef] [PubMed]
- Cuprys, A.; Pulicharla, R.; Brar, S.K.; Drogui, P.; Verma, M.; Surampalli, R.Y. Fluoroquinolones metal complexation and its environmental impacts. Coordin. Chem. Rev. 2018, 376, 46–61. [Google Scholar] [CrossRef]
- Sciscenko, I.; Arques, A.; Varga, Z.; Bouchonnet, S.; Monfort, O.; Brigante, M.; Mailhot, G. Significant role of iron on the fate and photodegradation of enrofloxacin. Chemosphere 2021, 270, 129791. [Google Scholar] [CrossRef]
- Xu, J.; Zhang, Y.; Zhou, C.B.; Guo, C.S.; Wang, D.M.; Du, P.; Luo, Y.; Wan, J.; Meng, W. Distribution, sources and composition of antibiotics in sediment, overlying water and pore water from Taihu Lake, China. Sci. Total Environ. 2014, 497, 267–273. [Google Scholar] [CrossRef]
- Lu, G.H.; Yang, X.F.; Li, Z.H.; Zhao, H.Z.; Wang, C. Contamination by metals and pharmaceuticals in northern Taihu Lake (China) and its relation to integrated biomarker response in fish. Ecotoxicology 2013, 22, 50–59. [Google Scholar] [CrossRef]
- Chen, L.; Zhou, S.; Shi, Y.; Wang, C.; Li, B.; Li, Y.; Wu, S. Heavy metals in food crops, soil, and water in the Lihe River Watershed of the Taihu region and their potential health risks when ingested. Sci. Total Environ. 2018, 615, 141–149. [Google Scholar] [CrossRef]
- Zuo, J.X.; Fan, W.H.; Wang, X.L.; Ren, J.; Zhang, Y.; Wang, X.; Zhang, Y.; Yu, T.; Li, X. Trophic transfer of Cu, Zn, Cd, and Cr, and biomarker response for food webs in Taihu Lake, China. RSC Adv. 2018, 8, 3410–3417. [Google Scholar] [CrossRef]
- Kumar, V.; Parihar, R.D.; Sharma, A.; Bakshi, P.; Sidhu, G.P.S.; Bali, A.S.; Karaouzas, I.; Bhardwaj, R.; Thukral, A.K.; Gyasi-Agyei, Y.; et al. Global evaluation of heavy metal content in surface water bodies: A meta-analysis using heavy metal pollution indices and multivariate statistical analyses. Chemosphere 2019, 236, 124364. [Google Scholar] [CrossRef] [PubMed]
- Niu, X.Z.; Busetti, F.; Langsa, M.; Croué, J.P. Roles of singlet oxygen and dissolved organic matter in self-sensitized photo-oxidation of antibiotic norfloxacin under sunlight irradiation. Water Res. 2016, 106, 214–222. [Google Scholar] [CrossRef] [PubMed]
- Cuquerella, M.C.; Belvedere, A.; Catalfo, A.; Miranda, M.A.; Scaiano, J.C.; de Guidi, G. Effects of bio-compatible metal ions on rufloxacin photochemistry, photophysics and photosensitization: Copper(II). J. Photoch. Photobio. B 2010, 101, 295–303. [Google Scholar] [CrossRef] [PubMed]
- Wei, X.X.; Chen, J.W.; Xie, Q.; Zhang, S.Y.; Li, Y.J.; Zhang, Y.F.; Xie, H.B. Photochemical behavior of antibiotics impacted by complexation effects of concomitant metals: A case for ciprofloxacin and Cu(II). Environ. Sci. Process. Impacts 2015, 17, 1220–1227. [Google Scholar] [CrossRef] [PubMed]
- Hubicka, U.; Krzek, J.; Zuromska, B.; Walczak, M.; Zylewski, M.; Pawłowski, D. Determination of photostability and photodegradation products of moxifloxacin in the presence of metal ions in solutions and solid phase. Kinetics and identification of photoproducts. Photochem. Photobiol. Sci. 2012, 11, 351–357. [Google Scholar] [CrossRef] [PubMed]
- Hu, H.; Chen, Y.; Ye, J.S.; Zhuang, L.; Zhang, H.L.; Ou, H. Degradation of ciprofloxacin by 185/254 nm vacuum ultraviolet: Kinetics, mechanism and toxicology. Environ. Sci. Wat. Res. 2019, 5, 564–576. [Google Scholar] [CrossRef]
- Li, Y.; Niu, J.F.; Shang, E.X.; Zheng, M.Y.; Luan, T.L. Effects of nitrate and humic acid on enrofloxacin photolysis in an aqueous system under three light conditions: Kinetics and mechanism. Environ. Chem. 2014, 11, 333–340. [Google Scholar] [CrossRef][Green Version]
- Morimura, T.; Kohno, K.; Nobuhara, Y.; Matsukura, H. Photoreaction and active oxygen generation by photosensitization of a new antibacterial fluoroquinolone derivative, orbifloxacin, in the presence of chloride ion. Chem. Pharm. Bull. 1997, 45, 1828–1832. [Google Scholar] [CrossRef][Green Version]
- Fisher, J.M.; Reese, J.G.; Pellechia, P.J.; Moeller, P.L.; Ferry, J.L. Role of Fe(III), phosphate, dissolved organic matter, and nitrate during the photodegradation of domoic acid in the marine environment. Environ. Sci. Technol. 2006, 40, 2200–2205. [Google Scholar] [CrossRef]
- Grannas, A.M.; Pagano, L.P.; Pierce, B.C.; Bobby, R.; Fede, A. Role of dissolved organic matter in ice photochemistry. Environ. Sci. Technol. 2014, 48, 10725–10733. [Google Scholar] [CrossRef]
- Mack, J.; Bolton, J.R. Photochemistry of nitrite and nitrate in aqueous solution: A review. J. Photochem. Photobiol. A 1999, 128, 1–13. [Google Scholar] [CrossRef]
- Walse, S.S.; Morgan, S.L.; Kong, L.; Ferry, J.L. Role of dissolved organic matter, nitrate, and bicarbonate in the photolysis of aqueous fipronil. Environ. Sci. Technol. 2004, 38, 3908–3915. [Google Scholar] [CrossRef] [PubMed]
- Zhang, H.; Song, X.; Liu, J.; Hao, C. Photophysical and photochemical insights of the photodegradation of norfloxacin: The rate-limiting step and the influence of Ca2+ ion. Chemosphere 2019, 219, 236–242. [Google Scholar] [CrossRef] [PubMed]
- Li, S.; Huang, T.; Du, P.; Liu, W.; Hu, J. Photocatalytic transformation fate and toxicity of ciprofloxacin related to dissociation species: Experimental and theoretical evidences. Water Res. 2020, 185, 116286. [Google Scholar] [CrossRef]
- Wu, Z.; Yu, J.; Wang, W.; Xin, C.; Yu, X.; Tang, Y. High-performance photodegradation of norfloxacin enabled by AgI@Ag3PO4 nanostructures. J. Alloys Compd. 2022, 891, 161877. [Google Scholar] [CrossRef]
- Zhou, Y.; Gao, Y.; Jiang, J.; Shen, Y.-M.; Pang, S.-Y.; Song, Y.; Guo, Q. A comparison study of levofloxacin degradation by peroxymonosulfate and permanganate: Kinetics, products and effect of quinone group. J. Hazard. Mater. 2021, 403, 123834. [Google Scholar] [CrossRef]
- Tang, L.; Wang, J.; Zeng, G.; Liu, Y.; Deng, Y.; Zhou, Y.; Tang, J.; Wang, J.; Guo, Z. Enhanced photocatalytic degradation of norfloxacin in aqueous Bi2WO6 dispersions containing nonionic surfactant under visible light irradiation. J. Hazard. Mater. 2016, 306, 295–304. [Google Scholar] [CrossRef]
- Sturini, M.; Speltini, A.; Maraschi, F.; Profumo, A.; Tarantino, S.; Gualtieri, A.F.; Zema, M. Removal of fluoroquinolone contaminants from environmental waters on sepiolite and its photo-induced regeneration. Chemosphere 2016, 150, 686–693. [Google Scholar] [CrossRef]
- Santos, L.V.; Meireles, A.M.; Lange, L.C. Degradation of antibiotics norfloxacin by Fenton, UV and UV/H2O2. J. Environ. Manag. 2015, 154, 8–12. [Google Scholar] [CrossRef]
- Serna-Galvis, E.A.; Ferraro, F.; Silva-Agredo, J.; Torres-Palma, R.A. Degradation of highly consumed fluoroquinolones, penicillins and cephalosporins in distilled water and simulated hospital wastewater by UV254 and UV254/persulfate processes. Water Res. 2017, 122, 128–138. [Google Scholar] [CrossRef]
- Ao, X.; Liu, W.; Sun, W.; Cai, M.; Ye, Z.; Yang, C.; Lu, Z.; Li, C. Medium pressure UV-activated peroxymonosulfate for ciprofloxacin degradation: Kinetics, mechanism, and genotoxicity. Chem. Eng. J. 2018, 345, 87–97. [Google Scholar] [CrossRef]
- Niu, J.; Zhang, L.; Li, Y.; Zhao, J.; Lv, S.; Xiao, K. Effects of environmental factors on sulfamethoxazole photodegradation under simulated sunlight irradiation: Kinetics and mechanism. J. Environ. Sci. 2013, 25, 1098–1106. [Google Scholar] [CrossRef] [PubMed]





Disclaimer/Publisher’s Note: The statements, opinions and data contained in all publications are solely those of the individual author(s) and contributor(s) and not of MDPI and/or the editor(s). MDPI and/or the editor(s) disclaim responsibility for any injury to people or property resulting from any ideas, methods, instructions or products referred to in the content. |
© 2022 by the authors. Licensee MDPI, Basel, Switzerland. This article is an open access article distributed under the terms and conditions of the Creative Commons Attribution (CC BY) license (https://creativecommons.org/licenses/by/4.0/).
Share and Cite
Duan, L.; Yang, H.; Wang, F. Effect of Different Lead and Cadmium Salts on the Photolytic Degradation of Two Typical Fluoroquinolones under Natural Sunlight Irradiation. Int. J. Environ. Res. Public Health 2023, 20, 323. https://doi.org/10.3390/ijerph20010323
Duan L, Yang H, Wang F. Effect of Different Lead and Cadmium Salts on the Photolytic Degradation of Two Typical Fluoroquinolones under Natural Sunlight Irradiation. International Journal of Environmental Research and Public Health. 2023; 20(1):323. https://doi.org/10.3390/ijerph20010323
Chicago/Turabian StyleDuan, Lunchao, Hao Yang, and Fenghe Wang. 2023. "Effect of Different Lead and Cadmium Salts on the Photolytic Degradation of Two Typical Fluoroquinolones under Natural Sunlight Irradiation" International Journal of Environmental Research and Public Health 20, no. 1: 323. https://doi.org/10.3390/ijerph20010323
APA StyleDuan, L., Yang, H., & Wang, F. (2023). Effect of Different Lead and Cadmium Salts on the Photolytic Degradation of Two Typical Fluoroquinolones under Natural Sunlight Irradiation. International Journal of Environmental Research and Public Health, 20(1), 323. https://doi.org/10.3390/ijerph20010323
