The Influence of Low Energy Availability on Bone Mineral Density and Trabecular Bone Microarchitecture of Pubescent Female Athletes: A Preliminary Study
Abstract
1. Introduction
2. Materials and Methods
2.1. Participants
2.2. Study Design
2.3. Evaluation of Maturity Status
2.4. Evaluation of LEA
2.5. Evaluation of BMD and Trabecular Bone Microarchitecture
2.6. Statistical Analysis
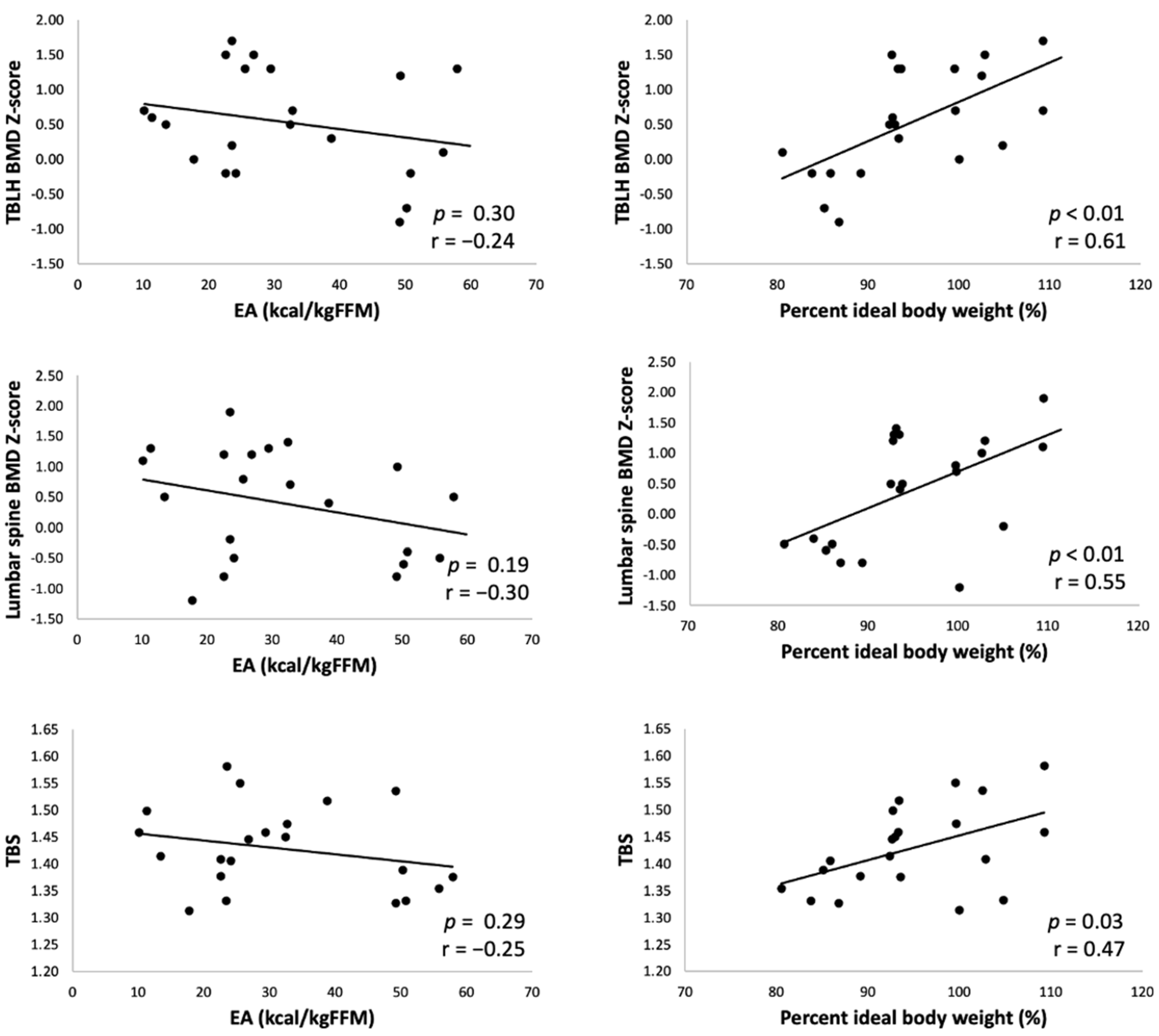
3. Results
4. Discussion
5. Conclusions
Author Contributions
Funding
Institutional Review Board Statement
Informed Consent Statement
Data Availability Statement
Acknowledgments
Conflicts of Interest
References
- Heikura, I.A.; Uusitalo, A.L.T.; Stellingwerff, T.; Bergland, D.; Mero, A.A.; Burke, L.M. Low Energy Availability Is Difficult to Assess but Outcomes Have Large Impact on Bone Injury Rates in Elite Distance Athletes. Int. J. Sport Nutr. Exerc. Metab. 2018, 28, 403–411. [Google Scholar] [CrossRef]
- Melin, A.; Tornberg, A.B.; Skouby, S.; Faber, J.; Ritz, C.; Sjödin, A.; Sundgot-Borgen, J. The LEAF Questionnaire: A Screening Tool for the Identification of Female Athletes at Risk for the Female Athlete Triad. Br. J. Sports Med. 2014, 48, 540–545. [Google Scholar] [CrossRef]
- Melin, A.; Tornberg, Å.B.; Skouby, S.; Møller, S.S.; Sundgot-Borgen, J.; Faber, J.; Sidelmann, J.J.; Aziz, M.; Sjödin, A. Energy Availability and the Female Athlete Triad in Elite Endurance Athletes. Scand. J. Med. Sci. Sports 2015, 25, 610–622. [Google Scholar] [CrossRef]
- De Souza, M.J.; Nattiv, A.; Joy, E.; Misra, M.; Williams, N.I.; Mallinson, R.J.; Gibbs, J.C.; Olmsted, M.; Goolsby, M.; Matheson, G. 2014 Female Athlete Triad Coalition Consensus Statement on Treatment and Return to Play of the Female Athlete Triad: 1st International Conference Held in San Francisco, California, May 2012 and 2nd International Conference Held in Indianapolis, Indiana, May 2013. Br. J. Sports Med. 2014, 48, 289. [Google Scholar] [CrossRef]
- Nattiv, A.; Loucks, A.B.; Manore, M.M.; Sanborn, C.F.; Sundgot-Borgen, J.; Warren, M.P.; American College of Sports Medicine. American College of Sports Medicine Position Stand. The Female Athlete Triad. Med. Sci. Sports Exerc. 2007, 39, 1867–1882. [Google Scholar] [CrossRef]
- Mountjoy, M.; Burke, L.; Ackerman, K.E.; Blauwet, C.; Lebrun, C.; Melin, A.; Meyer, N.; Sherman, R.; Tenforde, A.S.; Budgett, R. International Olympic Committee. (IOC) Consensus Statement on Relative Energy Deficiency in Sport (RED-S): 2018 Update. Br. J. Sports Med. 2018, 52, 687–697. [Google Scholar] [CrossRef]
- Ihle, R.; Loucks, A.B. Dose–Response Relationships between Energy Availability and Bone Turnover in Young Exercising Women. J. Bone Miner. Res. 2004, 19, 1231–1240. [Google Scholar] [CrossRef]
- Loucks, A.B.; Thuma, J.R. Luteinizing Hormone Pulsatility Is Disrupted at a Threshold of Energy Availability in Regularly Menstruating Women. J. Clin. Endocrinol. Metab. 2003, 88, 297–311. [Google Scholar] [CrossRef]
- Papageorgiou, M.; Elliott-Sale, K.J.; Parsons, A.; Tang, J.C.Y.; Greeves, J.P.; Fraser, W.D.; Sale, C. Effects of Reduced Energy Availability on Bone Metabolism in Women and Men. Bone 2017, 105, 191–199. [Google Scholar] [CrossRef]
- Barrack, M.T.; Gibbs, J.C.; De Souza, M.J.; Williams, N.I.; Nichols, J.F.; Rauh, M.J.; Nattiv, A. Higher Incidence of Bone Stress Injuries With Increasing Female Athlete Triad-Related Risk Factors: A Prospective Multisite Study of Exercising Girls and Women. Am. J. Sports Med. 2014, 42, 949–958. [Google Scholar] [CrossRef]
- Gibbs, J.C.; Nattiv, A.; Barrack, M.T.; Williams, N.I.; Rauh, M.J.; Nichols, J.F.; De Souza, M.J. Low Bone Density Risk Is Higher in Exercising Women With Multiple Triad Risk Factors. Med. Sci. Sports Exerc. 2014, 46, 167–176. [Google Scholar] [CrossRef] [PubMed]
- Nose-Ogura, S.; Yoshino, O.; Dohi, M.; Kigawa, M.; Harada, M.; Hiraike, O.; Onda, T.; Osuga, Y.; Fujii, T.; Saito, S. Risk Factors of Stress Fractures due to the Female Athlete Triad: Differences in Teens and Twenties. Scand. J. Med. Sci. Sports 2019, 29, 1501–1510. [Google Scholar] [CrossRef] [PubMed]
- Tenforde, A.S.; Fredericson, M.; Sayres, L.C.; Cutti, P.; Sainani, K.L. Identifying Sex-Specific Risk Factors for Low Bone Mineral Density in Adolescent Runners. Am. J. Sports Med. 2015, 43, 1494–1504. [Google Scholar] [CrossRef] [PubMed]
- Sabatier, J.P.; Guaydier-Souquières, G.; Laroche, D.; Benmalek, A.; Fournier, L.; Guillon-Metz, F.; Delavenne, J.; Denis, A.Y. Bone Mineral Acquisition During Adolescence and Early Adulthood: A Study in 574 Healthy Females 10–24 Years of Age. Osteoporos. Int. 1996, 6, 141–148. [Google Scholar] [CrossRef] [PubMed]
- Sabatier, J.P.; Guaydier-Souquières, G.; Benmalek, A.; Marcelli, C. Evolution of Lumbar Bone Mineral Content during Adolescence and Adulthood: A Longitudinal Study in 395 Healthy Females 10–24 Years of Age and 206 Premenopausal Women. Osteoporos. Int. 1999, 9, 476–482. [Google Scholar] [CrossRef]
- Takamatsu, K.; Kitawaki, J. Annual Report of the Women’s Health Care Committee, Japan Society of Obstetrics and Gynecology, 2016. J. Obstet. Gynaecol. Res. 2016, 42, 1419–1438. [Google Scholar] [CrossRef]
- Iki, M.; Tamaki, J.; Kadowaki, E.; Sato, Y.; Dongmei, N.; Winzenrieth, R.; Kagamimori, S.; Kagawa, Y.; Yoneshima, H. Trabecular Bone Score (TBS) Predicts Vertebral Fractures in Japanese Women Over 10 Years Independently of Bone Density and Prevalent Vertebral Deformity: The Japanese Population-Based Osteoporosis (JPOS) Cohort Study. J. Bone Miner. Res. 2014, 29, 399–407. [Google Scholar] [CrossRef]
- Silva, B.C.; Broy, S.B.; Boutroy, S.; Schousboe, J.T.; Shepherd, J.A.; Leslie, W.D. Fracture Risk Prediction by non-BMD DXA Measures: The 2015 ISCD Official Positions Part 2: Trabecular Bone Score. J. Clin. Densitom. 2015, 18, 309–330. [Google Scholar] [CrossRef]
- Bredella, M.A.; Misra, M.; Miller, K.K.; Madisch, I.; Sarwar, A.; Cheung, A.; Klibanski, A.; Gupta, R. Distal Radius in Adolescent Girls With Anorexia Nervosa: Trabecular Structure Analysis With High-Resolution Flat-Panel Volume CT. Radiology 2008, 249, 938–946. [Google Scholar] [CrossRef]
- Walsh, C.J.; Phan, C.M.; Misra, M.; Bredella, M.A.; Miller, K.K.; Fazeli, P.K.; Bayraktar, H.H.; Klibanski, A.; Gupta, R. Women With Anorexia Nervosa: Finite Element and Trabecular Structure Analysis by Using Flat-Panel Volume CT. Radiology 2010, 257, 167–174. [Google Scholar] [CrossRef][Green Version]
- Mirwald, R.L.; Baxter-Jones, A.D.; Bailey, D.A.; Beunen, G.P. An Assessment of Maturity from Anthropometric Measurements. Med. Sci. Sports Exerc. 2002, 34, 689–694. [Google Scholar] [CrossRef] [PubMed]
- Piasecki, J.; Ireland, A.; Piasecki, M.; Cameron, J.; McPhee, J.S.; Degens, H. The Strength of Weight-Bearing Bones Is Similar in Ammenorrheic and Eumenorrheic Elite Long-Distance Runners. Scand. J. Med. Sci. Sports 2018, 28, 1559–1568. [Google Scholar] [CrossRef] [PubMed]
- Ainsworth, B.E.; Haskell, W.L.; Herrmann, S.D.; Meckes, N.; Bassett, D.R.; Tudor-Locke, C.; Greer, J.L.; Vezina, J.; Whitt-Glover, M.C.; Leon, A.S. 2011 Compendium of Physical Activities: A Second Update of Codes and MET Values. Med. Sci. Sports Exerc. 2011, 43, 1575–1581. [Google Scholar] [CrossRef] [PubMed]
- Kalkwarf, H.J.; Zemel, B.S.; Gilsanz, V.; Lappe, J.M.; Horlick, M.; Oberfield, S.; Mahboubi, S.; Fan, B.; Frederick, M.M.; Winer, K.; et al. The Bone Mineral Density in Childhood Study: Bone Mineral Content and Density According to Age, Sex, and Race. J. Clin. Endocrinol. Metab. 2007, 92, 2087–2099. [Google Scholar] [CrossRef] [PubMed]
- Lewiecki, E.M.; Gordon, C.M.; Baim, S.; Leonard, M.B.; Bishop, N.J.; Bianchi, M.L.; Kalkwarf, H.J.; Langman, C.B.; Plotkin, H.; Rauch, F.; et al. International Society for Clinical Densitometry 2007 Adult and Pediatric Official Positions. Bone 2008, 43, 1115–1121. [Google Scholar] [CrossRef]
- Hans, D.; Barthe, N.; Boutroy, S.; Pothuaud, L.; Winzenrieth, R.; Krieg, M.A. Correlations Between Trabecular Bone Score, Measured Using Anteroposterior Dual-Energy X-Ray Absorptiometry Acquisition, and 3-Dimensional Parameters of Bone Microarchitecture: An Experimental Study on Human Cadaver Vertebrae. J. Clin. Densitom. 2011, 14, 302–312. [Google Scholar] [CrossRef]
- Barrack, M.T.; Rauh, M.J.; Nichols, J.F. Prevalence of and Traits Associated With Low BMD among Female Adolescent Runners. Med. Sci. Sports Exerc. 2008, 40, 2015–2021. [Google Scholar] [CrossRef]
- Loucks, A.B. The Response of Luteinizing Hormone Pulsatility to 5 Days of Low Energy Availability Disappears by 14 Years of Gynecological Age. J. Clin. Endocrinol. Metab. 2006, 91, 3158–3164. [Google Scholar] [CrossRef]
- Pothuaud, L.; Carceller, P.; Hans, D. Correlations between Grey-Level Variations in 2D Projection Images (TBS) and 3D Microarchitecture: Applications in the Study of Human Trabecular Bone Microarchitecture. Bone 2008, 42, 775–787. [Google Scholar] [CrossRef]
- Silva, B.C.; Leslie, W.D.; Resch, H.; Lamy, O.; Lesnyak, O.; Binkley, N.; McCloskey, E.V.; Kanis, J.A.; Bilezikian, J.P. Trabecular Bone Score: A Noninvasive Analytical Method Based Upon the DXA Image. J. Bone Miner. Res. 2014, 29, 518–530. [Google Scholar] [CrossRef]
- Del Rio, L.M.; Winzenrieth, R.; Cormier, C.; Di Gregorio, S. Is Bone Microarchitecture Status of the Lumbar Spine Assessed by TBS Related to Femoral Neck Fracture? A Spanish Case-Control Study. Osteoporos. Int. 2013, 24, 991–998. [Google Scholar] [CrossRef] [PubMed]
- Tenforde, A.S.; Carlson, J.L.; Sainani, K.L.; Chang, A.O.; Kim, J.H.; Diaz, R.; Golden, N.H.; Fredericson, M. Lower Trabecular Bone Score and Spine Bone Mineral Density Are Associated With Bone Stress Injuries and Triad Risk Factors in Collegiate Athletes. PM R. 2021, 13, 945–953. [Google Scholar] [CrossRef] [PubMed]
- Heiniö, L.; Nikander, R.; Sievänen, H. Association Between Long-Term Exercise Loading and Lumbar Spine Trabecular Bone Score (TBS) in Different Exercise Loading Groups. J. Musculoskelet. Neuronal Interact. 2015, 15, 279–285. [Google Scholar] [PubMed]
- Glüer, C.C. Monitoring Skeletal Changes by Radiological Techniques. J. Bone Miner. Res. 1999, 14, 1952–1962. [Google Scholar] [CrossRef]
- Barrack, M.T.; Van Loan, M.D.; Rauh, M.J.; Nichols, J.F. Body Mass, Training, Menses, and Bone in Adolescent Runners: A 3-yr Follow-Up. Med. Sci. Sports Exerc. 2011, 43, 959–966. [Google Scholar] [CrossRef]
- Jackowski, S.A.; Erlandson, M.C.; Mirwald, R.L.; Faulkner, R.A.; Bailey, D.A.; Kontulainen, S.A.; Cooper, D.M.L.; Baxter-Jones, A.D.G. Effect of Maturational Timing on Bone Mineral Content Accrual From Childhood to Adulthood: Evidence from 15Years of Longitudinal Data. Bone 2011, 48, 1178–1185. [Google Scholar] [CrossRef]
- Bailey, D.A.; McKay, H.A.; Mirwald, R.L.; Crocker, P.R.E.; Faulkner, R.A. A Six-Year Longitudinal Study of the Relationship of Physical Activity to Bone Mineral Accrual in Growing Children: The University of Saskatchewan Bone Mineral Accrual Study. J. Bone Miner. Res. 1999, 14, 1672–1679. [Google Scholar] [CrossRef]
- Baxter-Jones, A.D.G.; Kontulainen, S.A.; Faulkner, R.A.; Bailey, D.A. A Longitudinal Study of the Relationship of Physical Activity to Bone Mineral Accrual from Adolescence to Young Adulthood. Bone 2008, 43, 1101–1107. [Google Scholar] [CrossRef]
- Nose-Ogura, S.; Yoshino, O.; Dohi, M.; Kigawa, M.; Harada, M.; Kawahara, T.; Osuga, Y.; Saito, S. Low Bone Mineral Density in Elite Female Athletes with a History of Secondary Amenorrhea in Their Teens. Clin. J. Sports Med. Clin. J. Sport Med. 2020, 30, 245–250. [Google Scholar] [CrossRef]
- Jürimäe, J.; Gruodyte-Raciene, R.; Baxter-Jones, A.D.G. Effects of Gymnastics Activities on Bone Accrual during Growth: A Systematic Review. J. Sports Sci. Med. 2018, 17, 245–258. [Google Scholar]

| Parameter | Mean | SD | Med | Min | Max |
|---|---|---|---|---|---|
| Age (years) | 14.26 | 0.73 | 14.29 | 12.66 | 15.56 |
| Height (cm) | 157.13 | 6.01 | 156.50 | 147.80 | 167.90 |
| Weight (kg) | 46.65 | 6.86 | 44.50 | 34.00 | 61.20 |
| Percent of ideal body weight (%) | 94.80 | 8.17 | 93.30 | 80.00 | 110.00 |
| Body fat (%) | 19.11 | 3.53 | 19.70 | 14.00 | 24.90 |
| Fat free mass (kg) | 35.50 | 4.01 | 35.07 | 29.09 | 44.45 |
| Maturity offset (years) | 1.42 | 0.65 | 1.42 | −0.46 | 2.79 |
| Training year (years) | 7.36 | 2.32 | 7.00 | 4.50 | 11.00 |
| Energy intake (kcal) | 2046.28 | 346.78 | 2092.00 | 1470.00 | 2918.00 |
| Exercise energy expenditure (kcal) | 951.74 | 247.51 | 917.70 | 530.25 | 1593.90 |
| Energy availability (kcal/kg FFM) | 31.80 | 14.96 | 26.86 | 10.14 | 57.89 |
| EAT 26 score | 9.67 | 6.33 | 8.00 | 0.00 | 24.00 |
| Bone mineral content: TBLH (g) | 1398.51 | 191.69 | 1385.58 | 1075.75 | 1736.86 |
| Bone mineral content: TBLH (g/cm2) | 0.95 | 0.06 | 0.95 | 0.82 | 1.05 |
| Bone mineral density Z-score: TBLH | 0.53 | 0.75 | 0.50 | −0.90 | 1.70 |
| Bone mineral content: lumbar spine (g) | 42.07 | 6.66 | 42.04 | 31.18 | 55.11 |
| Bone mineral density: lumbar spine (g/cm2) | 1.01 | 0.10 | 1.00 | 0.85 | 1.18 |
| Bone mineral density Z-score: lumbar spine | 0.40 | 0.90 | 0.50 | −1.20 | 1.90 |
| Trabecular bone score | 1.43 | 0.08 | 1.41 | 1.31 | 1.58 |
| Parameter | <90% Ideal Body Weight (n = 6) | ≥90% Ideal Body Weight (n = 15) | p-Value | <30 kcal/kg FFM (n = 12) | ≥30 kcal/kg FFM (n = 9) | p-Value | ||||
|---|---|---|---|---|---|---|---|---|---|---|
| Age (years) | 13.67 | (0.52) | 13.73 | (0.88) | 0.87 | 13.83 | (0.94) | 13.56 | (0.53) | 0.44 |
| Height (cm) | 153.53 | (4.34) | 158.57 | (6.10) | 0.08 | 159.63 | (5.86) | 153.80 | (4.63) | 0.02 * |
| Weight (kg) | 39.93 | (3.78) | 49.33 | (5.93) | <0.01 * | 49.67 | (6.58) | 42.62 | (5.14) | 0.02 * |
| Percent of ideal body weight (%) | 0.85 | (0.03) | 0.99 | (0.06) | <0.01 * | 0.98 | (0.08) | 0.91 | (0.08) | 0.06 |
| Body fat (%) | 17.77 | (2.58) | 19.65 | (3.78) | 0.28 | 20.43 | (3.48) | 17.34 | (2.89) | 0.04 * |
| FFM (kg) | 31.48 | (1.94) | 37.10 | (3.46) | <0.01 * | 36.98 | (3.97) | 33.52 | (3.29) | 0.05 |
| Maturity offset (yeas) | 1.14 | (0.23) | 1.54 | (0.73) | 0.22 | 1.59 | (0.79) | 1.21 | (0.33) | 0.19 |
| Energy intake (kcal) | 2107.73 | (363.04) | 2021.70 | (349.93) | 0.62 | 1832.93 | (226.81) | 2330.74 | (265.68) | <0.01 * |
| Exercise energy expenditure (kcal) | 791.43 | (114.56) | 1015.86 | (259.64) | 0.06 | 1073.89 | (241.28) | 788.86 | (144.52) | 0.01 * |
| EA (kcal/kg FFM) | 42.11 | (14.72) | 27.67 | (13.35) | 0.04 * | 20.89 | (6.27) | 46.33 | (9.43) | <0.01 * |
| EAT 26 score | 6.00 | (3.95) | 11.13 | (6.60) | 0.15 | 11.17 | (7.16) | 7.67 | (4.66) | 0.38 |
| TBLH BMD Z-score | −0.35 | (0.37) | 0.89 | (0.54) | <0.01 * | 0.74 | (0.70) | 0.26 | (0.77) | 0.15 |
| Lumbar BMD Z-score | −0.60 | (0.17) | 0.79 | (0.75) | <0.01 * | 0.55 | (0.99) | 0.19 | (0.79) | 0.38 |
| TBS | 1.36 | (0.03) | 1.45 | (0.08) | 0.01 * | 1.44 | (0.08) | 1.42 | (0.08) | 0.58 |
| Parameter | TBLH BMD Z-Score | Lumbar BMD Z-Score | TBS |
|---|---|---|---|
| Weight (kg) | 0.45 * | 0.45 * | 0.39 |
| Fat mass (kg) | 0.32 | 0.19 | 0.24 |
| Fat free mass (kg) | 0.47 * | 0.57 * | 0.45 * |
| Maturity offset (years) | 0.04 | 0.20 | 0.27 |
| Energy intake (kcal) | −0.05 | −0.09 | −0.12 |
| Exercise energy expenditure (kcal) | 0.16 | 0.21 | 0.09 |
| EAT-26 | −0.05 | −0.07 | 0.34 |
Publisher’s Note: MDPI stays neutral with regard to jurisdictional claims in published maps and institutional affiliations. |
© 2022 by the authors. Licensee MDPI, Basel, Switzerland. This article is an open access article distributed under the terms and conditions of the Creative Commons Attribution (CC BY) license (https://creativecommons.org/licenses/by/4.0/).
Share and Cite
Ikegami, N.; Samukawa, M.; Sakamaki-Sunaga, M.; Sugawara, M.; Torashima, S.; Ishida, T.; Kasahara, S.; Tohyama, H. The Influence of Low Energy Availability on Bone Mineral Density and Trabecular Bone Microarchitecture of Pubescent Female Athletes: A Preliminary Study. Int. J. Environ. Res. Public Health 2022, 19, 5580. https://doi.org/10.3390/ijerph19095580
Ikegami N, Samukawa M, Sakamaki-Sunaga M, Sugawara M, Torashima S, Ishida T, Kasahara S, Tohyama H. The Influence of Low Energy Availability on Bone Mineral Density and Trabecular Bone Microarchitecture of Pubescent Female Athletes: A Preliminary Study. International Journal of Environmental Research and Public Health. 2022; 19(9):5580. https://doi.org/10.3390/ijerph19095580
Chicago/Turabian StyleIkegami, Nodoka, Mina Samukawa, Mikako Sakamaki-Sunaga, Makoto Sugawara, Shizuka Torashima, Tomoya Ishida, Satoshi Kasahara, and Harukazu Tohyama. 2022. "The Influence of Low Energy Availability on Bone Mineral Density and Trabecular Bone Microarchitecture of Pubescent Female Athletes: A Preliminary Study" International Journal of Environmental Research and Public Health 19, no. 9: 5580. https://doi.org/10.3390/ijerph19095580
APA StyleIkegami, N., Samukawa, M., Sakamaki-Sunaga, M., Sugawara, M., Torashima, S., Ishida, T., Kasahara, S., & Tohyama, H. (2022). The Influence of Low Energy Availability on Bone Mineral Density and Trabecular Bone Microarchitecture of Pubescent Female Athletes: A Preliminary Study. International Journal of Environmental Research and Public Health, 19(9), 5580. https://doi.org/10.3390/ijerph19095580

