Tailoring Tofacitinib Oral Therapy in Rheumatoid Arthritis: The TuTOR App
Abstract
:1. Introduction
2. Materials and Methods
2.1. Patients Characteristics
2.1.1. Inclusion Criteria
2.1.2. Exclusion Criteria
2.2. Study Design
2.3. Data Analysis
3. Results
3.1. Adherence to Therapy
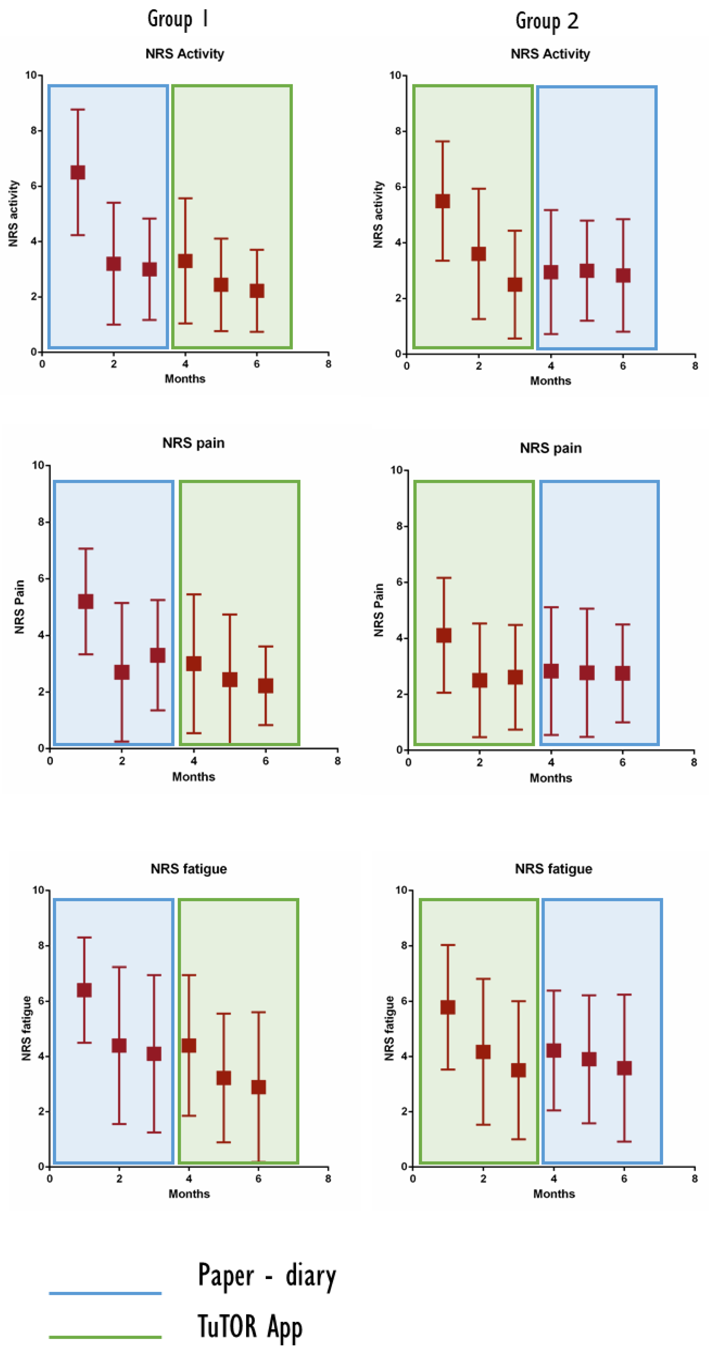
3.2. DAS28 and NRS Scales
3.3. HAQ
3.4. Satisfaction Questionnaire
4. Discussion
5. Conclusions
Supplementary Materials
Author Contributions
Funding
Institutional Review Board Statement
Informed Consent Statement
Data Availability Statement
Conflicts of Interest
References
- Uhlig, T.; Moe, R.H.; Kvien, T.K. The Burden of Disease in Rheumatoid Arthritis. PharmacoEconomics 2014, 32, 841–851. [Google Scholar] [CrossRef] [PubMed]
- Kvien, T.K. Epidemiology and burden of illness of rheumatoid arthritis. PharmacoEconomics 2004, 22, 1–12. [Google Scholar] [CrossRef] [PubMed]
- Muravyev, Y.V. Extra-articular manifestations of rheumatoid arthritis. Rheumatol. Sci. Pr. 2018, 56, 356–362. [Google Scholar] [CrossRef]
- Del Rincón, I.; Williams, K.; Stern, M.P.; Freeman, G.L.; Escalante, A. High incidence of cardiovascular events in a rheumatoid arthritis cohort not explained by traditional cardiac risk factors. Arthritis Rheum. Off. J. Am. Coll. Rheumatol. 2001, 44, 2737–2745. [Google Scholar] [CrossRef]
- Aletaha, D.; Smolen, J.S. Diagnosis and Management of Rheumatoid Arthritis: A Review. JAMA 2018, 320, 1360–1372. [Google Scholar] [CrossRef] [PubMed]
- Singh, J.A.; Hossain, A.; Mudano, A.S.; Ghogomu, E.T.; Suarez-Almazor, M.E.; Buchbinder, R.; Maxwell, L.J.; Tugwell, P.; Wells, G.A. Biologics or tofacitinib for people with rheumatoid arthritis naive to methotrexate: A systematic review and network meta-analysis. Cochrane Database Syst. Rev. 2017, 5, CD012657. [Google Scholar] [CrossRef] [PubMed]
- O’Shea, J.J.; Laurence, A.; McInnes, I. Back to the future: Oral targeted therapy for RA and other autoimmune diseases. Nat. Rev. Rheumatol. 2013, 9, 173–182. [Google Scholar] [CrossRef]
- Fleischmann, R.; Kremer, J.; Cush, J.; Schulze-Koops, H.; Connell, C.A.; Bradley, J.D.; Gruben, D.; Wallenstein, G.V.; Zwillich, S.H.; Kanik, K.S. Placebo-Controlled Trial of Tofacitinib Monotherapy in Rheumatoid Arthritis. N. Engl. J. Med. 2012, 367, 495–507. [Google Scholar] [CrossRef] [Green Version]
- Burmester, G.R.; Blanco, R.; Charles-Schoeman, C.; Wollenhaupt, J.; Zerbini, C.; Benda, B.; Gruben, D.; Wallenstein, G.; Krishnaswami, S.; Zwillich, S.H.; et al. Tofacitinib (CP-690,550) in combination with methotrexate in patients with active rheumatoid arthritis with an inadequate response to tumour necrosis factor inhibitors: A randomised phase 3 trial. Lancet 2013, 381, 451–460. [Google Scholar] [CrossRef]
- Bemt, B.J.F.V.D.; Zwikker, H.E.; Ende, C.H.M.V.D. Medication adherence in patients with rheumatoid arthritis: A critical appraisal of the existing literature. Expert Rev. Clin. Immunol. 2012, 8, 337–351. [Google Scholar] [CrossRef] [Green Version]
- Herschman, J.; Kasenberg, T.; Levy, D.; Ruth, N.; Taberner, C.; Kaufman, M.; Regina, A. Development of a smartphone app for adolescents with lupus: A collaborative meeting-based methodology inclusive of a wide range of stakeholders. Rev. Panam. De Salud Pública 2014, 35, 471–476, Available online: http://www.ncbi.nlm.nih.gov/pubmed/25211579 (accessed on13 July 2021). [Google Scholar]
- Cho, M.J.; Sim, J.L.; Hwang, S.Y. Development of Smartphone Educational Application for Patients with Coronary Artery Disease. Health Inform. Res. 2014, 20, 117–124. [Google Scholar] [CrossRef] [PubMed]
- Sciascia, S.; Radin, M.; Cecchi, I.; Di Nunzio, P.; Buccarano, N.; Di Gregorio, F.; Valeria, M.; Osella, S.; Crosasso, P.; Favuzzi, M.D.; et al. Tailoring Tofacitinib Oral Therapy in Rheumatoid Arthritis: The TuTORApp—A Usability Study. Int. J. Environ. Res. Public Health 2020, 17, 3469. [Google Scholar] [CrossRef] [PubMed]
- Aletaha, D.; Neogi, T.; Silman, A.J.; Funovits, J.; Felson, D.T.; Bingham, C.O., 3rd; Birnbaum, N.S.; Burmester, G.R.; Bykerk, V.P.; Cohen, M.D.; et al. 2010 Rheumatoid arthritis classification criteria: An American College of Rheumatology/European League Against Rheumatism collaborative initiative. Arthritis Rheum. 2010, 62, 2569–2581. [Google Scholar] [CrossRef]
- Hochberg, M.C.; Chang, R.W.; Dwosh, I.; Lindsey, S.; Pincus, T.; Wolfe, F. The american college of rheumatology 1991 revised criteria for the classification of global functional status in rheumatoid arthritis. Arthritis Care Res. 1992, 35, 498–502. [Google Scholar] [CrossRef]
- Minnock, P.; Kirwan, J.; Bresnihan, B. Fatigue is a reliable, sensitive and unique outcome measure in rheumatoid arthritis. Rheumatology 2009, 48, 1533–1536. [Google Scholar] [CrossRef] [Green Version]
- Fransen, J.; van Riel, P.L. The Disease Activity Score and the EULAR Response Criteria. Rheum. Dis. Clin. N. Am. 2009, 35, 745–757. [Google Scholar] [CrossRef]
- Bruce, B.; Fries, J.F. The Stanford Health Assessment Questionnaire: Dimensions and Practical Applications. Health Qual. Life Outcomes 2003, 1, 20. [Google Scholar] [CrossRef] [Green Version]
- Krishnan, E.; Sokka, T.; Häkkinen, A.; Hubert, H.; Hannonen, P. Normative values for the Health Assessment Questionnaire Disability Index: Benchmarking disability in the general population. Arthritis Care Res. 2004, 50, 953–960. [Google Scholar] [CrossRef]
- Rogers, P.G.; Bullman, R. Prescription medication compliance: A review of the baseline of knowledge. A report of the national council on patient information and patient education. J. Pharmacoepidemiol. Drug Saf. 1995, 3, 3–36. [Google Scholar] [CrossRef]
- Brown, M.T.; Bussell, J.K. Medication Adherence: WHO Cares? Mayo Clin. Proc. 2011, 86, 304–314. [Google Scholar] [CrossRef] [PubMed] [Green Version]
- Marengo, M.F.; Suarez-Almazor, M.E. Improving treatment adherence in patients with rheumatoid arthritis: What are the options? Int. J. Clin. Rheumatol. 2015, 10, 345–356. [Google Scholar] [CrossRef] [PubMed] [Green Version]
- De Machado, M.A.; Moura, C.S.; Guerra, S.F.; Curtis, J.R.; Abrahamowicz, M.; Bernatsky, S. Effectiveness and safety of tofacitinib in rheumatoid arthritis: A cohort study. Arthritis Res. Ther. 2018, 20, 1–9. [Google Scholar] [CrossRef] [Green Version]






| Patients with RA (N = 17) | |
|---|---|
| DEMOGRAPHICS | |
| Age (mean ± S.D.) | 59.4 ± 13.5 |
| Sex (n; %) | M (2; 11.8). F (15; 88.2) |
| Ethnicity (Caucasian; n; %) | 16; 94 |
| Ethnicity (Hispanic; n; %) | 1; 6 |
| CLINICAL CHARACTERISTICS | |
| Age at diagnosis (mean ± S.D.) | 44.7 ± 14.47 |
| Follow-up length (years; mean ± S.D.) | 6.33 ± 5.17 |
| Positive rheumatoid factor (n; %) | 17; 100 |
| Positive anti-cyclic citrullinated peptides (n;%) | 15; 88.2 |
| Structural articular damage at radiography (n; %) | 11; 7 |
Publisher’s Note: MDPI stays neutral with regard to jurisdictional claims in published maps and institutional affiliations. |
© 2022 by the authors. Licensee MDPI, Basel, Switzerland. This article is an open access article distributed under the terms and conditions of the Creative Commons Attribution (CC BY) license (https://creativecommons.org/licenses/by/4.0/).
Share and Cite
Radin, M.; Arbrile, M.; Cecchi, I.; Di Nunzio, P.; Buccarano, N.; Di Gregorio, F.; Milone, V.; Osella, S.; Crosasso, P.; Favuzzi, M.D.; et al. Tailoring Tofacitinib Oral Therapy in Rheumatoid Arthritis: The TuTOR App. Int. J. Environ. Res. Public Health 2022, 19, 5379. https://doi.org/10.3390/ijerph19095379
Radin M, Arbrile M, Cecchi I, Di Nunzio P, Buccarano N, Di Gregorio F, Milone V, Osella S, Crosasso P, Favuzzi MD, et al. Tailoring Tofacitinib Oral Therapy in Rheumatoid Arthritis: The TuTOR App. International Journal of Environmental Research and Public Health. 2022; 19(9):5379. https://doi.org/10.3390/ijerph19095379
Chicago/Turabian StyleRadin, Massimo, Marta Arbrile, Irene Cecchi, Pierluigi Di Nunzio, Nicola Buccarano, Federico Di Gregorio, Valeria Milone, Sara Osella, Paola Crosasso, Marika Denise Favuzzi, and et al. 2022. "Tailoring Tofacitinib Oral Therapy in Rheumatoid Arthritis: The TuTOR App" International Journal of Environmental Research and Public Health 19, no. 9: 5379. https://doi.org/10.3390/ijerph19095379
APA StyleRadin, M., Arbrile, M., Cecchi, I., Di Nunzio, P., Buccarano, N., Di Gregorio, F., Milone, V., Osella, S., Crosasso, P., Favuzzi, M. D., Barinotti, A., Baldovino, S., Menegatti, E., Rossi, D., Sciascia, S., & Roccatello, D. (2022). Tailoring Tofacitinib Oral Therapy in Rheumatoid Arthritis: The TuTOR App. International Journal of Environmental Research and Public Health, 19(9), 5379. https://doi.org/10.3390/ijerph19095379

