Sloping Farmlands Conversion to Mixed Forest Improves Soil Carbon Pool on the Loess Plateau
Abstract
:1. Introduction
2. Materials and Methods
2.1. Study Area
2.2. Experimental Design and Soil Sampling
2.3. Laboratory Assay
2.4. Statistical Analysis
3. Results
3.1. SOC and Soil N and P Nutrients in Different Vegetation Restoration Types
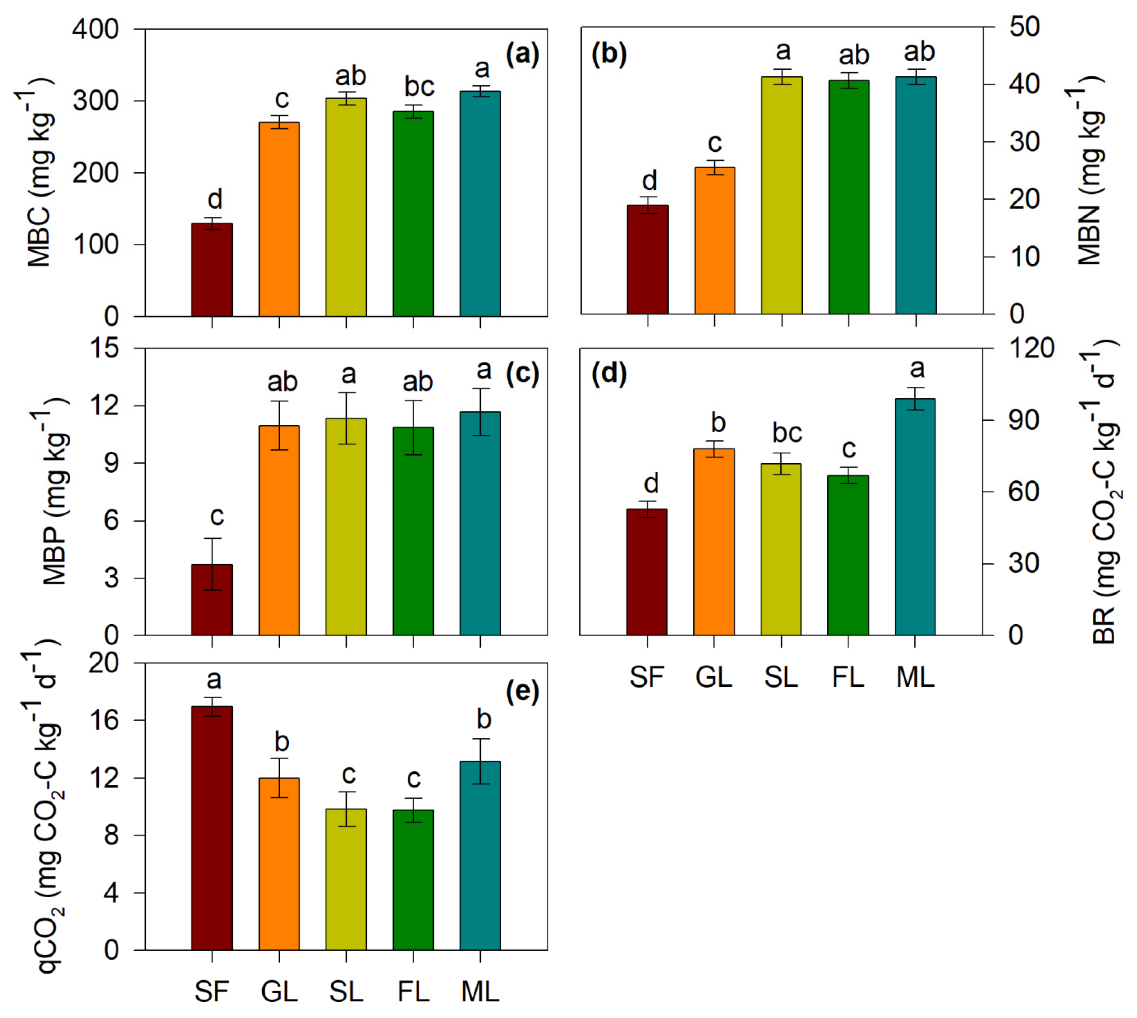
3.2. Soil Microbial Activities in Different Vegetation Restoration Types
3.3. Factor Effects on SOC
4. Discussion
4.1. Vegetation Restoration Types Affect SOC and Soil N and P Properties
4.2. Effects of Vegetation Restoration Type on Soil Microbial Activities
4.3. Factor Effects on SOC since Vegetation Restoration
5. Conclusions
Author Contributions
Funding
Institutional Review Board Statement
Informed Consent Statement
Data Availability Statement
Acknowledgments
Conflicts of Interest
References
- Schlesinger, W.H.; Andrews, J.A. Controls on soil respiration: Implications for climate change. Biogeochemistry 2000, 48, 7–20. [Google Scholar] [CrossRef]
- Degryze, S.; Six, J.; Paustian, K.; Morris, S.J.; Paul, E.A.; Merckx, R. Soil organic carbon pool changes following land-use conversions. Glob. Change Biol. 2004, 10, 1120–1132. [Google Scholar] [CrossRef] [Green Version]
- Van der Werf, G.R.; Morton, D.C.; DeFries, R.S.; Olivier, J.G.J.; Kasibhatla, P.S.; Jackson, R.B.; Collatz, G.J.; Randerson, J.T. CO2 emissions from forest loss. Nat. Geosci. 2009, 2, 737–738. [Google Scholar] [CrossRef]
- Schoenholtz, S.H.; van Miegroet, H.; Burger, J.A. A review of chemical and physical properties as indicators of forest soil quality: Challenges and opportunities. For. Ecol. Manag. 2000, 138, 335–356. [Google Scholar] [CrossRef]
- Deng, L.; Kim, D.G.; Li, M.Y.; Huang, C.B.; Liu, Q.Y.; Cheng, M.; Shangguan, Z.P.; Peng, C.H. Land-use changes driven by ‘Grain for Green’ Program reduced carbon loss induced by soil erosion on the Loess Plateau of China. Glob. Planet. Chang. 2019, 177, 101–115. [Google Scholar] [CrossRef]
- Deng, L.; Peng, C.H.; Huang, C.B.; Wang, K.B.; Liu, Q.Y.; Liu, Y.L.; Hai, X.Y.; Shangguan, Z.P. Drivers of soil microbial metabolic limitation changes along a vegetation restoration gradient on the Loess Plateau, China. Geoderma 2019, 353, 188–200. [Google Scholar] [CrossRef]
- Wasof, S.; De Schrijver, A.; Schelfhout, S.; Perring, M.P.; Remy, E.; Mertens, J.; De La Pena, E.; De Sutter, N.; Viaene, N.; Verheyen, K. Linkages between aboveground and belowground community compositions in grasslands along a historical land-use intensity gradient. Plant Soil 2019, 434, 289–304. [Google Scholar] [CrossRef]
- Post, W.M.; Kwon, K.C. Soil carbon sequestration and land-use change: Processes and potential. Glob. Change Biol. 2000, 6, 317–327. [Google Scholar] [CrossRef] [Green Version]
- Deng, L.; Shangguan, Z.P. Afforestation drives soil carbon and nitrogen changes in China. Land Degrad. Dev. 2017, 28, 151–165. [Google Scholar] [CrossRef] [Green Version]
- Brown, J.; Angerer, J.; Salley, S.W.; Blaisdell, R.; Stuth, J.W. Improving estimates of rangeland carbon sequestration potential in the US Southwest. Rangeland. Ecol. Manag. 2010, 63, 147–154. [Google Scholar] [CrossRef]
- Li, D.J.; Niu, S.L.; Luo, Y.Q. Global patterns of the dynamics of soil carbon and nitrogen stocks following afforestation: A meta-analysis. New Phytol. 2012, 195, 172–181. [Google Scholar] [CrossRef] [PubMed]
- Zhao, N.N.; Guggenberger, G.; Shibistova, O.; Thao, D.T.; Shi, W.J.; Li, X.G. Aspect-vegetation complex effects on biochemical characteristics and decomposability of soil organic carbon on the eastern Qinghai-Tibetan Plateau. Plant Soil 2014, 384, 289–301. [Google Scholar] [CrossRef]
- Zhang, C.; Xue, S.; Liu, G.B.; Song, Z.L. A comparison of soil qualities of different revegetation types in the Loess Plateau, China. Plant Soil 2011, 347, 163–178. [Google Scholar] [CrossRef]
- Demisie, W.; Liu, Z.Y.; Zhang, M.K. Effect of biochar on carbon fractions and enzyme activity of red soil. Catena 2014, 121, 214–221. [Google Scholar] [CrossRef]
- Lopez, R.; Burgos, P.; Hermoso, J.M.; Hormaza, J.L.; Gonzalez-Fernandez, J.J. Long term changes in soil properties and enzyme activities after almond shell mulching in avocada organic production. Soil Till Res. 2014, 143, 155–163. [Google Scholar] [CrossRef] [Green Version]
- Wang, X.X.; Dong, S.K.; Gao, Q.Z.; Zhou, H.K.; Liu, S.L.; Su, X.K.; Li, Y.Y. Effects of short-term and long-term warming on soil nutrients, microbial biomass and enzyme activities in an alpine meadow on the Qinghai-Tibet Plateau of China. Soil Biol. Biochem. 2014, 76, 140–142. [Google Scholar] [CrossRef]
- Liang, C.H.; Yin, Y.; Chen, Q. Dynamics o soil organic carbon fractions and aggregates in vegetable cropping systems. Pedosphere 2014, 24, 605–612. [Google Scholar] [CrossRef]
- Silveira, M.L.; Xu, S.T.; Adewopo, J.; Franzluebbers, A.J.; Buonadio, G. Grazing land intensification effects on soil C dynamics in aggregate size fractions of a Spodosol. Geoderma 2014, 230, 185–193. [Google Scholar] [CrossRef]
- Parfit, R.L.; Salt, G.J. Carbon and nitrogen mineralization in sand, silt, and clay fractions of soils under maize and pasture. Aust. J. Soil Res. 2001, 39, 361–371. [Google Scholar] [CrossRef]
- Li, J.W.; Dong, L.B.; Liu, Y.L.; Wu, J.Z.; Wang, J.; Shangguan, Z.P.; Deng, L. Soil organic carbon variation determined by biogeographic patterns of microbial carbon and nutrient limitations across a 3000-km humidity gradient in China. Catena 2022, 209, 105849. [Google Scholar] [CrossRef]
- Liu, Y.; Shang, G.; Zhou, P.; Deng, L. Vegetation Type and Soil Moisture Drive Variations in Leaf Litter Decomposition Following Secondary Forest Succession. Forests 2021, 12, 1195. [Google Scholar] [CrossRef]
- Deng, L.; Liu, G.B.; Shangguan, Z.P. Land use conversion and changing soil carbon stocks in China’s ‘Grain-for-Green’ Program: A synthesis. Glob. Change Biol. 2014, 20, 3544–3556. [Google Scholar] [CrossRef] [PubMed]
- Deng, L.; Shangguan, Z.P. High quality developmental approach for soil and water conservation and ecological protection on the Loess Plateau. Front. Agric. Sci. Eng. 2021, 8, 501–511. [Google Scholar] [CrossRef]
- Wang, B.; Liu, G.B.; Xue, S.; Zhu, B.B. Changes in soil physico-chemical and microbiological properties during natural succession on abandoned farmland in the Loess Plateau. Environ. Earth Sci. 2011, 62, 915–925. [Google Scholar] [CrossRef]
- Kalembasa, S.J.; Jenkinson, D.S. A comparative study of titrimetric and gravimetric methods for the determination of organic carbon in soil. J. Sci. Food Agric. 1973, 24, 10852–11090. [Google Scholar] [CrossRef]
- Bremner, J.M. Nitrogen-total. In Methods of Soil Analysis, Part 3; Sparks, D.L., Ed.; SSSA Book Series: 5; America Society of Agronomy: Madison, WI, USA, 1996; pp. 1085–1121. [Google Scholar]
- Cornfield, A.H. Ammonia released on treating soils with N sodium hydroxide as a possible means of predicting the nitrogen-supplying power of soils. Nature 1960, 187, 260–261. [Google Scholar] [CrossRef]
- Olsen, S.R.; Sommers, L.E. Phosphorous. In Methods of Soil Analysis, Part 2, Chemical and Microbial Properties. Agronomy Monograph; Page, A.L., Miller, R.H., Keeney, D.R., Eds.; Agronomy Society of America: Madison, WI, USA, 1982; Volume 9, pp. 403–430. [Google Scholar]
- Vieira, F.; Bayer, C.; Zanatta, J.A.; Dieckow, J.; Mielniczuk, J.; He, Z.L. Carbon management index based on physical fractionation of soil organic matter in an Acrisol under long-term no-till cropping systems. Soil Tillage Res. 2007, 96, 195–204. [Google Scholar] [CrossRef]
- Guan, S.Y.; Zhang, D.S.; Zhang, Z.M. Methods of Soil Enzyme Activities Analysis; Agriculture: Beijing, China, 1991; pp. 263–271. (In Chinese) [Google Scholar]
- Jin, K.; Sleutel, S.; Buchan, D.; Neve, S.D.; Cai, D.X.; Gabriels, D.; Jin, J.Y. Changes of soil enzyme activities under different tillage practices in the Chinese Loess Plateau. Soil Tillage Res. 2009, 104, 115–120. [Google Scholar] [CrossRef]
- Gong, C.; Tan, Q.Y.; Xu, M.X.; Liu, G.B. Mixed-species plantations can alleviate water stress on the Loess Plateau. For. Ecol. Manag. 2020, 458, 117767. [Google Scholar] [CrossRef]
- Lyu, M.K.; Li, X.J.; Xie, J.S.; Homyak, P.M.; Ukonmaanaho, L.; Yang, Z.J.; Liu, X.F.; Ruan, C.Y.; Yang, Y.S. Root-microbial interaction accelerates soil nitrogen depletion but not soil carbon after increasing litter inputs to a coniferous forest. Plant Soil 2019, 444, 153–164. [Google Scholar] [CrossRef]
- Bui, E.N.; Henderson, E.N. C:N:P stoichiometry in Australian soils with respect to vegetation and environmental factors. Plant Soil 2013, 373, 553–568. [Google Scholar] [CrossRef]
- Novara, A.; Rühl, J.; La Mantia, T.; Gristina, L.; La Bella, S.; Tuttolomondo, T. Litter contribution to soil organic carbon in the processes of agriculture abandon. Solid Earth 2015, 6, 425–432. [Google Scholar] [CrossRef] [Green Version]
- Raiesi, F.; Salek-Gilani, S. The potential activity of soil extracellular enzymes as an indicator for ecological restoration of rangeland soils after agricultural abandonment. Appl. Soil Ecol. 2018, 126, 140–147. [Google Scholar] [CrossRef]
- Acosta-Martinez, V.; Cruz, L.; Sotomayor-Ramirez, D.; Pérez-Alegría, L. Enzyme activities as affected by soil properties and land use in a tropical watershed. 2007 Applied. Soil Ecol. 2007, 35, 35–45. [Google Scholar] [CrossRef]
- Ren, C.J.; Kang, D.; Wu, J.P.; Zhao, F.Z.; Yang, G.H.; Han, X.H.; Feng, Y.Z.; Ren, G.X. Temporal variation in soil enzyme activities after afforestation in the Loess Plateau, China. Geoderma 2016, 282, 103–111. [Google Scholar] [CrossRef]
- Allison, V.J.; Condron, L.M.; Peltzer, D.A.; Richardson, S.J.; Turner, B.L. Changes in enzyme activities and soil microbial community composition along carbon and nutrient gradients at the Franz Josef chronosequence, New Zealand. Soil Biol. Biochem. 2007, 39, 1770–1781. [Google Scholar] [CrossRef]
- Lin, X.G.; Yin, R.; Zhang, H.Y.; Huang, J.F.; Chen, R.R.; Cao, Z.H. Changes of soil microbiological properties caused by land use changing from rice-w heat rotation to vegetable cultivation. Environ. Geochem. Health 2004, 26, 119–128. [Google Scholar] [CrossRef]
- Luo, Y.Q.; Su, B.; Currie, W.S.; Dukes, J.S.; Finzi, A.; Hartwig, U.; Hungate, B.; Mcmurtrie, R.E.; Oren, R.; Parton, W.J.; et al. Progressive nitrogen limitation of ecosystem responses to rising atmospheric carbon dioxide. Bioscience 2004, 54, 731–739. [Google Scholar] [CrossRef] [Green Version]
- Deng, L.; Wang, K.B.; Chen, M.L.; Shangguan, Z.P.; Sweeney, S. Soil organic carbon storage capacity positively related to forest succession on the Loess Plateau, China. Catena 2013, 110, 1–7. [Google Scholar] [CrossRef]
- Qiao, N.; Schaefer, D.; Blagodatskaya, E.; Zou, X.M.; Xu, X.L.; Kuzyakov, Y. Labile carbon retention compensates for CO2 released by priming in forest soils. Glob. Change Biol. 2014, 20, 1943–1954. [Google Scholar] [CrossRef]
- Badiane, N.N.Y.; Chotte, J.L.; Pate, E.; Masse, D.; Rouland, C. Use of soil enzyme activities to monitor soil quality in natural and improved fallows in semi-arid tropical regions. Appl. Soil Ecol. 2001, 18, 229–238. [Google Scholar] [CrossRef]
- Jiang, J.P.; Xiong, Y.C.; Jiang, H.M.; Ye, D.Y.; Song, Y.J.; Li, F.M. Soil microbial activity during secondary vegetation succession in semiarid abandoned lands of Loess Plateau. Pedosphere 2009, 19, 735–747. [Google Scholar] [CrossRef]
- Jia, G.M.; Cao, J.; Wang, C.Y.; Wang, G. Microbial biomass and nutrients in soil at the different stages of secondary forest succession in Ziwuling, Northwest China. For. Ecol. Manag. 2005, 217, 117–125. [Google Scholar] [CrossRef]
- Hurisso, T.T.; Norton, J.B.; Norton, U. Labile soil organic carbon and nitrogen within a gradient of dryland agricultural land-use intensity in Wyoming, USA. Geoderma 2014, 226, 1–7. [Google Scholar] [CrossRef]
- Bastida, F.; Moreno, J.L.; Hernandez, T.; Garcia, C. Microbiological degradation index of soils in a semiarid climate. Soil Biol. Biochem. 2006, 38, 3463–3473. [Google Scholar] [CrossRef]




| Land Use Types | Slope (°) | Altitude (m) | pH | BD (g cm−3) | Soil Fractions (%) | Primary Undergrowth Vegetations | ||
|---|---|---|---|---|---|---|---|---|
| Sand (>0.2 mm) | Silt (0.2–0.002 mm) | Clay (<0.002 mm) | ||||||
| SF (Farmlands) | 20–22 | 1165–1178 | 8.7 ± 0.2 a | 1.27 ± 0.12 a | 82.1 ± 0.2 | 14.8 ± 0.1 c | 3.1 ± 0.1 c | Setaria italica |
| GL (Grasslands) | 20–23 | 1189–1202 | 8.7 ± 0.1 a | 1.18 ± 0.12 bc | 81.1 ± 0.4 | 15.9 ± 0.3 b | 3.0 ± 0.2 c | Artemisia sacrorum |
| SL (Shrublands) | 24–27 | 1039–1089 | 8.7 ± 0.1 a | 1.19 ± 0.12 b | 82.1 ± 0.3 | 14.6 ± 0.5 c | 3.3 ± 0.2 c | Artemisia sacrorum, Stipa bungeana |
| FL (Forestlands) | 22–25 | 1119–1234 | 8.7 ± 0.1 a | 1.08 ± 0.12 d | 78.6 ± 0.3 | 17.7 ± 0.4 a | 3.7 ± 0.1 a | Lespedeza bicolor, Stipa bungeana |
| MF (Mixed forests) | 23–27 | 1087–1165 | 8.6 ± 0.1 b | 1.15 ± 0.12 c | 80.8 ± 0.3 | 16.0 ± 0.2 b | 3.2 ± 0.1 b | Artemisia sacrorum |
| Land Use Types | Saccharase (mg Glucose g−1 h−1) | Cellulase (mg Glucose g−1 h−1) | Urease (mg NH4+-N g−1 h−1) | Amylase (mg Maltcose g−1 h−1) | Phosphatase (mg Phenol g−1 h−1) | Polyphenol Oxidase (mL 0.01 N I2 g−1) | Catalase (mL 0.1 N KMnO4 g−1) |
|---|---|---|---|---|---|---|---|
| SF | 1.05 ± 0.09 c | 1.44 ± 0.19 b | 0.57 ± 0.14 d | 1.23 ± 0.12 ab | 0.32 ± 0.13 c | 2.81 ± 0.19 a | 0.49 ± 0.17 d |
| GL | 2.49 ± 0.18 b | 2.13 ± 0.19 a | 0.40 ± 0.12 e | 1.01 ± 0.12 bc | 1.29 ± 0.22 b | 2.16 ± 0.19 b | 0.64 ± 0.18 c |
| SL | 2.17 ± 0.27 b | 1.95 ± 0.19 a | 1.77 ± 0.21 a | 0.90 ± 0.23 c | 1.32 ± 0.27 b | 2.11 ± 0.23 b | 0.69 ± 0.09 c |
| FL | 3.27 ± 0.34 a | 1.97 ± 0.18 a | 1.27 ± 0.11 b | 0.85 ± 0.22 c | 1.18 ± 0.21 b | 2.12 ± 0.20 b | 0.96 ± 0.21 a |
| ML | 2.54 ± 0.24 b | 1.95 ± 0.26 a | 0.60 ± 0.17 d | 1.05 ± 0.18 bc | 1.56 ± 0.27 a | 1.98 ± 0.27 b | 0.80 ± 0.19 ab |
| Factors | Soil Properties | Pearson Correlation Coefficient | Relative Contribution Rate (%) | p |
|---|---|---|---|---|
| Total | 81.6 ## | |||
| Error | 18.4 # | |||
| C fractions | LOC | 0.976 ** | 6.0 | <0.01 |
| Soil nutrients | TN | 0.937 ** | 5.8 | <0.01 |
| AN | 0.969 ** | 6.0 | <0.01 | |
| TP | 0.833 ** | 5.2 | <0.01 | |
| AP | 0.818 ** | 5.1 | <0.01 | |
| Soil physical properties | pH | −0.477 | 4.2 | >0.05 |
| BD | −0.097 | 0.6 | >0.05 | |
| Sand | 0.039 | 0.2 | >0.05 | |
| Silt | 0.370 | 2.3 | >0.05 | |
| Clay | 0.180 | 1.1 | >0.05 | |
| Soil microbial activities | Urease | −0.089 | 0.6 | >0.05 |
| Amylase | −0.213 | 1.3 | >0.05 | |
| Phosphatase | 0.916 ** | 5.7 | <0.01 | |
| Saccharase | 0.615 * | 3.8 | <0.05 | |
| Cellulase | 0.693 ** | 4.3 | <0.01 | |
| Polyphenol oxidase | −0.872 ** | 5.4 | <0.01 | |
| Catalase | 0.587 * | 3.6 | <0.05 | |
| MBC | 0.841 ** | 5.2 | <0.01 | |
| MBN | 0.353 | 2.2 | >0.05 | |
| MBP | 0.813 ** | 5.0 | <0.01 | |
| BR | 0.894 ** | 5.5 | <0.01 | |
| qCO2 | −0.411 | 2.5 | >0.05 |
Publisher’s Note: MDPI stays neutral with regard to jurisdictional claims in published maps and institutional affiliations. |
© 2022 by the authors. Licensee MDPI, Basel, Switzerland. This article is an open access article distributed under the terms and conditions of the Creative Commons Attribution (CC BY) license (https://creativecommons.org/licenses/by/4.0/).
Share and Cite
Li, B.; Shen, X.; Zhao, Y.; Cong, P.; Wang, H.; Wang, A.; Chang, S. Sloping Farmlands Conversion to Mixed Forest Improves Soil Carbon Pool on the Loess Plateau. Int. J. Environ. Res. Public Health 2022, 19, 5157. https://doi.org/10.3390/ijerph19095157
Li B, Shen X, Zhao Y, Cong P, Wang H, Wang A, Chang S. Sloping Farmlands Conversion to Mixed Forest Improves Soil Carbon Pool on the Loess Plateau. International Journal of Environmental Research and Public Health. 2022; 19(9):5157. https://doi.org/10.3390/ijerph19095157
Chicago/Turabian StyleLi, Binbin, Xuejian Shen, Yongjun Zhao, Peijuan Cong, Haiyan Wang, Aijuan Wang, and Shengwei Chang. 2022. "Sloping Farmlands Conversion to Mixed Forest Improves Soil Carbon Pool on the Loess Plateau" International Journal of Environmental Research and Public Health 19, no. 9: 5157. https://doi.org/10.3390/ijerph19095157
APA StyleLi, B., Shen, X., Zhao, Y., Cong, P., Wang, H., Wang, A., & Chang, S. (2022). Sloping Farmlands Conversion to Mixed Forest Improves Soil Carbon Pool on the Loess Plateau. International Journal of Environmental Research and Public Health, 19(9), 5157. https://doi.org/10.3390/ijerph19095157
