Changes in the Dissolved Organic Matter Characteristics Released from Sediment According to Precipitation in the Namhan River with Weirs: A Laboratory Experiment
Abstract
:1. Introduction
2. Materials and Methods
2.1. Site Description
2.2. Sampling and Sample Preparation
2.3. Analytical Methods
2.4. Statistical Analyses
3. Results and Discussion
3.1. Physical and Chemical Characteristics of the Study Area
3.2. Dissolved Organic Carbon (DOC)
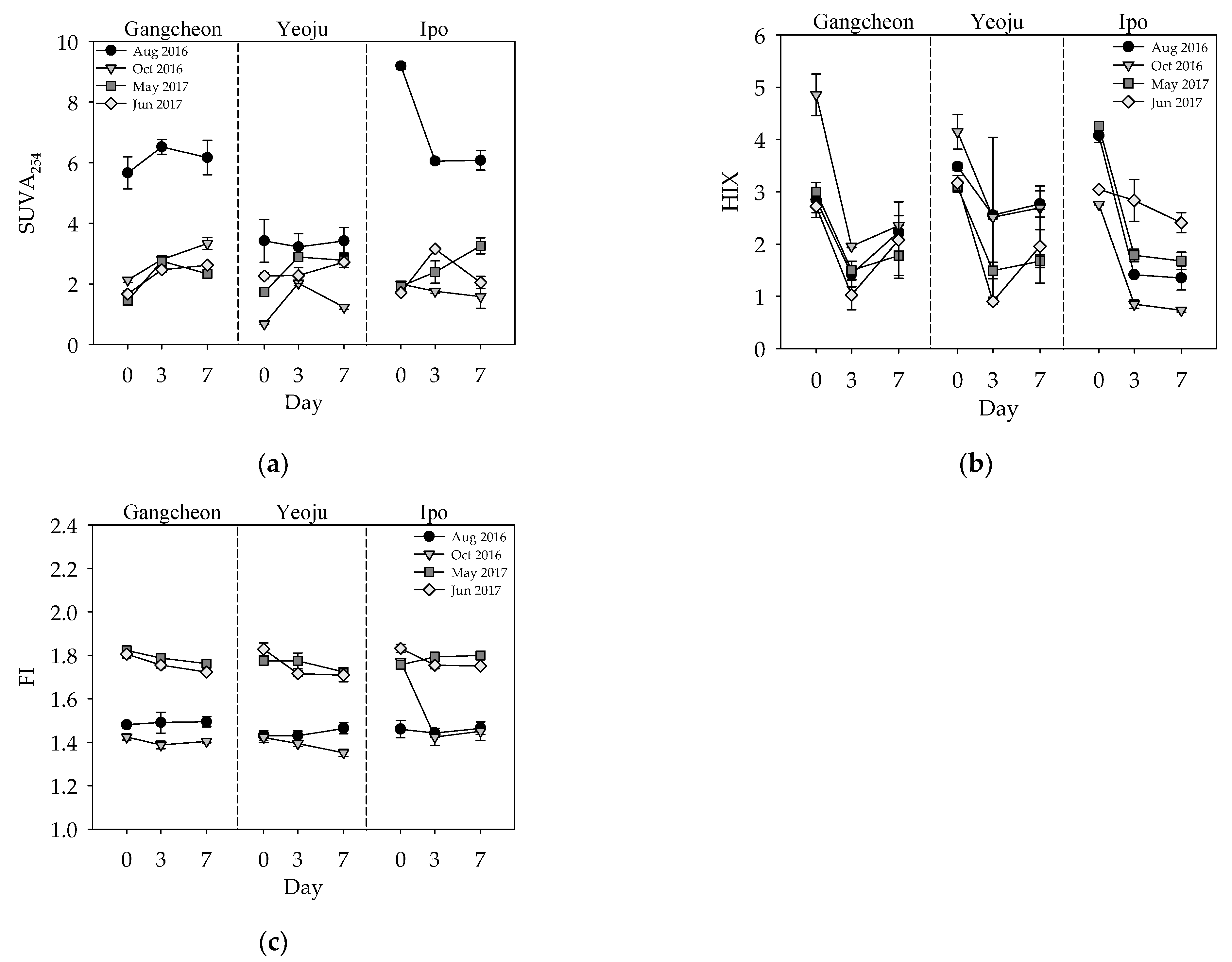
3.3. Optical Properties of DOM
3.4. Relationship between DOM and Environmental Factors
4. Conclusions
Supplementary Materials
Author Contributions
Funding
Institutional Review Board Statement
Informed Consent Statement
Data Availability Statement
Acknowledgments
Conflicts of Interest
References
- Fovet, O.; Cooper, D.M.; Jones, D.L.; Jones, T.G.; Evans, C.D. Dynamics of dissolved organic matter in headwaters: Comparison of headwater streams with contrasting DOM and nutrient composition. Aquat. Sci. 2020, 82, 29. [Google Scholar] [CrossRef]
- Panton, A.; Couceiro, F.; Fones, G.R.; Purdie, D.A. The impact of rainfall events, catchment characteristics and estuarine processes on the export of dissolved organic matter from two lowland rivers and their shared estuary. Sci. Total Environ. 2020, 735, 139481. [Google Scholar] [CrossRef] [PubMed]
- Meyer, J.L.; Edwards, R.T.; Risley, R. Bacterial growth on dissolved organic carbon from a blackwater river. Microb. Ecol. 1987, 13, 13–29. [Google Scholar] [CrossRef] [PubMed]
- Toming, K.; Tuvikene, L.; Vilbaste, S.; Agasild, H.; Viik, M.; Kisand, A.; Nõges, T. Contributions of autochthonous and allochthonous sources to dissolved organic matter in a large, shallow, eutrophic lake with a highly calcareous catchment. Limnol. Oceanogr. 2013, 58, 1259–1270. [Google Scholar] [CrossRef]
- Tranvik, L.J. Allochthonous dissolved organic matter as an energy source for pelagic bacteria and the concept of the microbial loop. In Dissolved Organic Matter in Lacustrine Ecosystems; Springer: Dordrecht, The Netherlands, 1992; Volume 73, pp. 107–114. [Google Scholar] [CrossRef]
- D’Andrilli, J.; Junker, J.R.; Smith, H.J.; Scholl, E.A.; Foreman, C.M. DOM composition alters ecosystem function during microbial processing of isolated sources. Biogeochemistry 2019, 142, 281–298. [Google Scholar] [CrossRef] [Green Version]
- Mineau, M.M.; Wollheim, W.M.; Buffam, I.; Findlay, S.E.; Hall Jr, R.O.; Hotchkiss, E.R.; Parr, T.B. Dissolved organic carbon uptake in streams: A review and assessment of reach-scale measurements. J. Geophys. Res.-Biogeosci. 2016, 121, 2019–2029. [Google Scholar] [CrossRef]
- Ask, J.; Karlsson, J.; Persson, L.; Ask, P.; Byström, P.; Jansson, M. Terrestrial organic matter and light penetration: Effects on bacterial and primary production in lakes. Limnol. Oceanogr. 2009, 54, 2034–2040. [Google Scholar] [CrossRef]
- Devesa-Rey, R.; Barral, M.T. Allochthonous versus autochthonous naturally occurring organic matter in the Anllóns river bed sediments (Spain). Environ. Earth Sci. 2012, 66, 773–782. [Google Scholar] [CrossRef]
- Thurman, E.M. Organic Geochemistry of Natural Waters; Developments in Biogeochemistry; Springer: New York, NY, USA, 1985. [Google Scholar]
- Ramos, T.B.; Gonçalves, M.C.; Branco, M.A.; Brito, D.; Rodrigues, S.; Sánchez-Pérez, J.M.; Pires, F.P. Sediment and nutrient dynamics during storm events in the Enxoé temporary river, southern Portugal. Catena 2015, 127, 177–190. [Google Scholar] [CrossRef]
- Lee, K.Y.; Lee, K.C.; Kim, J.E.; Kim, S.; Ahn, J.M.; Im, T.H. A study on the nutrient release characteristics from sediments in nak-dong river. J. Korean Soc. Water Environ. 2015, 31, 644–652. [Google Scholar] [CrossRef] [Green Version]
- Yu, S.J.; Ha, S.R.; Hwang, J.Y.; Kim, C.S. Characteristics of Aqueous Organic Matter and Disinfection By-products (DBPs) Formation Potentials in Geum River. J. Korean Soc. Water Environ. 2003, 19, 707–713. [Google Scholar]
- Leenheer, J.A.; Croué, J.P. Peer reviewed: Characterizing aquatic dissolved organic matter. Environ. Sci. Technol. 2003, 37, 18A–26A. [Google Scholar] [CrossRef] [PubMed] [Green Version]
- Shin, Y.; Lee, E.J.; Jeon, Y.J.; Hur, J.; Oh, N.H. Hydrological changes of DOM composition and biodegradability of rivers in temperate monsoon climates. J. Hydrol. 2016, 540, 538–548. [Google Scholar] [CrossRef]
- Hakanson, L.; Jansson, M. Principles of Lake Sedimentology; Springer: Berlin, Germany, 1983. [Google Scholar]
- Yang, L.; Hur, J.; Lee, S.; Chang, S.W.; Shin, H.S. Dynamics of dissolved organic matter during four storm events in two forest streams: Source, export, and implications for harmful disinfection byproduct formation. Environ. Sci. Pollut. Res. 2015, 22, 9173–9183. [Google Scholar] [CrossRef] [PubMed]
- Chen, M.; He, W.; Choi, I.; Hur, J. Tracking the monthly changes of dissolved organic matter composition in a newly constructed reservoir and its tributaries during the initial impounding period. Environ. Sci. Pollut. Res. 2016, 23, 1274–1283. [Google Scholar] [CrossRef] [PubMed]
- Inamdar, S.; Singh, S.; Dutta, S.; Levia, D.; Mitchell, M.; Scott, D.; McHale, P. Fluorescence characteristics and sources of dissolved organic matter for stream water during storm events in a forested mid-Atlantic watershed. J. Geophys. Res.-Biogeosci. 2011, 116, G03043. [Google Scholar] [CrossRef] [Green Version]
- Ritson, J.P.; Graham, N.J.D.; Templeton, M.R.; Clark, J.M.; Gough, R.; Freeman, C. The impact of climate change on the treatability of dissolved organic matter (DOM) in upland water supplies: A UK perspective. Sci. Total Environ. 2014, 73, 714–730. [Google Scholar] [CrossRef] [Green Version]
- Tao, S. Spatial and temporal variation in DOC in the Yichun River, China. Water Res. 1998, 32, 2205–2210. [Google Scholar] [CrossRef]
- Chen, M.; Hur, J. Pre-treatments, characteristics, and biogeochemical dynamics of dissolved organic matter in sediments: A review. Water Res. 2015, 79, 10–25. [Google Scholar] [CrossRef]
- Coble, P.G. Characterization of marine and terrestrial DOM in seawater using excitation-emission matrix spectroscopy. Mar. Chem. 1996, 51, 325–346. [Google Scholar] [CrossRef]
- Hudson, N.; Baker, A.; Reynolds, D. Fluorescence analysis of dissolved organic matter in natural, waste and polluted waters—A review. River Res. Appl. 2007, 23, 631–649. [Google Scholar] [CrossRef]
- McKnight, D.M.; Boyer, E.W.; Westerhoff, P.K.; Doran, P.T.; Kulbe, T.; Andersen, D.T. Spectrofluorometric characterization of dissolved organic matter for indication of precursor organic material and aromaticity. Limnol. Oceanogr. 2001, 46, 38–48. [Google Scholar] [CrossRef]
- Hur, J.; Shin, J.K.; Park, S.W. Characterizing Fluorescence Properties of Dissolved Organic Matter for Water Quality Management of Rivers and Lakes. J. Korean Soc. Environ. Eng. 2006, 28, 940–948. [Google Scholar]
- Li, F.; Yuasa, A.; Muraki, Y.; Matsui, Y. Impacts of a heavy storm of rain upon dissolved and particulate organic C, N, and P in the main river of a vegetation-rich basin area in Japan. Sci. Total Environ. 2005, 345, 99–113. [Google Scholar] [CrossRef] [PubMed]
- Bin, L.; Shu, T.; Xiaohang, L. Relese kinetics of water soluble organic compounds from soil and sediments. Acta Sci. Circumstantiae 1997, 17, 8–13. [Google Scholar]
- Lefrançois, J.; Grimaldi, C.; Gascuel-Odoux, C.; Gilliet, N. Suspended sediment and discharge relationships to identify bank degradation as a main sediment source on small agricultural catchments. Hydrol. Process. 2007, 21, 2923–2933. [Google Scholar] [CrossRef]
- Chang, C.J.; Huang, C.P.; Chen, C.Y.; Wang, G.S. Assessing the potential effect of extreme weather on water quality and disinfection by-product formation using laboratory simulation. Water Res. 2020, 170, 115296. [Google Scholar] [CrossRef]
- Jin, M.Y.; Oh, H.J.; Shin, K.H.; Jang, M.H.; Kim, H.W.; Choi, B.; Chang, K.H. The Response of Dissolved Organic Matter during Monsoon and Post-Monsoon Periods in the Regulated River for Sustainable Water Supply. Sustainability 2020, 12, 5310. [Google Scholar] [CrossRef]
- Lee, J.E.; Choi, J.W.; An, G.G. Influence of Landuse Pattern and Seasonal Precipitation on the Long-term Physico-chemical Water Quality in Namhan River Watershed. J. Environ. Sci. 2012, 21, 1115–1129. [Google Scholar] [CrossRef] [Green Version]
- Park, H.K.; Byeon, M.S.; Choi, M.J.; Kim, Y.J. The Effect Factors on the Growth of Phytoplankton and the Sources of Organic Matters in Downstream of Namhan-river. J. Korean Soc. Water Environ. 2008, 24, 556–562. [Google Scholar]
- Korea Water Resources Corporation. My Water. Available online: http://water.or.kr (accessed on 7 January 2022).
- Korea Meteorological Administration. Available online: https://www.weather.go.kr/w/index.do (accessed on 7 January 2022).
- Lee, M.H.; Jung, H.J.; Kim, S.H.; An, S.U.; Choi, J.H.; Lee, H.J.; Hur, J. Potential linkage between sediment oxygen demand and pore water chemistry in weir-impounded rivers. Sci. Total Environ. 2018, 619, 1608–1617. [Google Scholar] [CrossRef]
- Correll, D.L.; Jordan, T.E.; Weller, D.E. Effects of precipitation, air temperature, and land use on organic carbon discharges from Rhode River watersheds. Water Air Soil Pollut. 2001, 128, 139–159. [Google Scholar] [CrossRef]
- Cho, K.J.; Jung, H.Y.; Shin, J.K. Assessment of environment, nutrient dissolution and internal load contribution of low-grade sediments in the lower part of the Nakdong River. Nakdong River 2002, 62, 2–13. [Google Scholar]
- Kalbitz, K.; Schmerwitz, J.; Schwesig, D.; Matzner, E. Biodegradation of soil-derived dissolved organic matter as related to its properties. Geoderma 2003, 113, 273–291. [Google Scholar] [CrossRef]
- Luek, J.L.; Thompson, K.E.; Larsen, R.K.; Heyes, A.; Gonsior, M. Sulfate Reduction in Sediments Produces High Levels of Chromophoric Dissolved Organic Matter. Sci. Rep. 2017, 7, 8829. [Google Scholar] [CrossRef] [PubMed]
- Cho, Y.C.; Chung, S.W. Sediment release rate of nutrients from Namyang reservoir. J. Korean Soc. Environ. Eng. 2007, 29, 1345–1352. [Google Scholar]
- Kaplan, L.A.; Newbold, J.D. Biogeochemistry of dissolved organic carbon entering streams. In Aquatic Microbiology: An Ecological Approach; Blackwell Scientific Publications: Oxford, UK, 1993; pp. 139–165. [Google Scholar]
- Ates, N.; Kitis, M.; Yetis, U. Formation of chlorination by-products in waters with low SUVA—Correlations with SUVA and differential UV spectroscopy. Water Res. 2007, 41, 4139–4148. [Google Scholar] [CrossRef]
- Zsolnay, A.; Baigar, E.; Jimenez, M.; Steinweg, B.; Saccomandi, F. Differentiating with fluorescence spectroscopy the sources of dissolved organic matter in soils subjected to drying. Chemosphere 1999, 38, 45–50. [Google Scholar] [CrossRef]
- Andersen, C.M.; Bro, R. Practical aspects of PARAFAC modeling of fluorescence excitation-emission data. J. Chemometr. 2003, 17, 200–215. [Google Scholar] [CrossRef]
- JØRGENSEN, S.E. The application of models to find the relevance of residence time in lake and reservoir management. J. Limnol. 2003, 62, 16–20. [Google Scholar] [CrossRef]
- Fonseca, A.L.D.S.; Bianchini, I., Jr.; Pimenta, C.M.; Soares, C.B.; Mangiavacchi, N. The effect of hydrostatic pressure on the decomposition of inundated terrestrial plant detritus of different quality in simulated reservoir formation. Lake Reserv. Manag. 2016, 21, 216–223. [Google Scholar] [CrossRef]
- Zhao, Z.; Liu, G.; Liu, Q.; Huang, C.; Li, H. Studies on the spatiotemporal variability of river water quality and its relationships with soil and precipitation: A case study of the Mun River Basin in Thailand. Int. J. Environ. Res. Public Health 2018, 15, 2466. [Google Scholar] [CrossRef] [PubMed] [Green Version]
- Wang, G.; Huang, W.; Xia, Y.; Xiong, Z.; Ai, L. Cholesterol-lowering potentials of Lactobacillus strain overexpression of bile salt hydrolase on high cholesterol diet-induced hypercholesterolemic mice. Food Funct. 2019, 10, 1684–1695. [Google Scholar] [CrossRef] [PubMed]
- Anzano, J.; Bonilla, B.; Montull-Ibor, B.; Casas-González, J. Plastic identification and comparison by multivariate techniques with laser-induced breakdown spectroscopy. J. Appl. Polym. Sci. 2011, 121, 2710–2716. [Google Scholar] [CrossRef]
- Amy, G.L.; Debroux, J.; Sinha, S.; Brandhuber, P.; Cho, J. Occurrence of disinfection by-products precursors in source water and DBPs in finished waters. In Proceedings of the Fourth International Workshop on Drinking Water Quality Management and Treatment Technology; 1986; pp. 59–70. [Google Scholar]
- Jung, C.W.; Son, H.J. The relationship between disinfection by-products formation and characteristics of natural organic matter in raw water. Korean J. Chem. Eng. 2008, 25, 714–720. [Google Scholar] [CrossRef]
- Sieczko, A.; Peduzzi, P. Origin, enzymatic response and fate of dissolved organic matter during flood and non-flood conditions in a river-floodplain system of the Danube (Austria). Aquat. Sci. 2014, 76, 115–129. [Google Scholar] [CrossRef] [Green Version]
- Stedmon, C.A.; Markager, S. Resolving the variability in dissolved organic matter fluorescence in a temperate estuary and its catchment using PARAFAC analysis. Limnol. Oceanogr. 2005, 50, 686–697. [Google Scholar] [CrossRef]
- Sanchez, N.P.; Skeriotis, A.T.; Miller, C.M. Assessment of dissolved organic matter fluorescence PARAFAC components before and after coagulation-filtration in a full scale water treatment plant. Water Res. 2013, 47, 1679–1690. [Google Scholar] [CrossRef]
- Kim, E.A.; Nguyen, H.V.M.; Oh, H.S.; Hur, J.; Choi, J.H. Influence of soil conditions on dissolved organic matter leached from forest and wetland soils: A controlled growth chamber study. Environ. Sci. Pollut. Res. 2016, 23, 5203–5213. [Google Scholar] [CrossRef]
- Cookson, W.R.; Abaye, D.A.; Marschner, P.; Murphy, D.V.; Stockdale, E.A.; Goulding, K.W. The contribution of soil organic matter fractions to carbon and nitrogen mineralization and microbial community size and structure. Soil Biol. Biochem. 2005, 37, 1726–1737. [Google Scholar] [CrossRef]
- Wang, S.; Jiao, L.; Yang, S.; Jin, X.; Liang, H.; Wu, F. Organic matter compositions and DOM release from the sediments of the shallow lakes in the middle and lower reaches of Yangtze River region, China. Appl. Geochem. 2011, 26, 1458–1463. [Google Scholar] [CrossRef]
- Brailsford, F.L.; Glanville, H.C.; Golyshin, P.N.; Johnes, P.J.; Yates, C.A.; Jones, D.L. Microbial uptake kinetics of dissolved organic carbon (DOC) compound groups from river water and sediments. Sci. Rep. 2019, 9, 11229. [Google Scholar] [CrossRef] [PubMed]
- Kamjunke, N.; Hertkorn, N.; Harir, M.; Schmitt-Kopplin, P.; Griebler, C.; Brauns, M.; Herzsprung, P. Molecular change of dissolved organic matter and patterns of bacterial activity in a stream along a land-use gradient. Water Res. 2019, 164, 114919. [Google Scholar] [CrossRef] [PubMed]
- Wilske, C.; Herzsprung, P.; Lechtenfeld, O.J.; Kamjunke, N.; von Tuempling, W. Photochemically induced changes of dissolved organic matter in a humic-rich and forested stream. Water 2020, 12, 331. [Google Scholar] [CrossRef] [Green Version]
- Calleja, M.L.; Al-Otaibi, N.; Morán, X.A.G. Dissolved organic carbon contribution to oxygen respiration in the central Red Sea. Sci. Rep. 2019, 9, 4690. [Google Scholar] [CrossRef]
- Hishi, T.; Hirobe, M.; Tateno, R.; Takeda, H. Spatial and temporal patterns of water-extractable organic carbon (WEOC) of surface mineral soil in a cool temperate forest ecosystem. Soil Biol. Biochem. 2004, 36, 1731–1737. [Google Scholar] [CrossRef]
- Li, Z.; Shengrui, W.; Haichao, Z.; Yanping, L.; Shouliang, H.; Weibin, Q.; Jie, C. Using multiple combined analytical techniques to characterize water extractable organic nitrogen from Lake Erhai sediment. Sci. Total Environ. 2016, 542, 344–353. [Google Scholar] [CrossRef]
- Zhang, P.; Cao, C.; Wang, Y.H.; Yu, K.; Liu, C.; He, C.; Wang, J.J. Chemodiversity of water-extractable organic matter in sediment columns of a polluted urban river in South China. Sci. Total Environ. 2021, 777, 146127. [Google Scholar] [CrossRef]
- Hansen, A.M.; Kraus, T.E.; Pellerin, B.A.; Fleck, J.A.; Downing, B.D.; Bergamaschi, B.A. Optical properties of dissolved organic matter (DOM): Effects of biological and photolytic degradation. Limnol. Oceanogr. 2016, 61, 1015–1032. [Google Scholar] [CrossRef] [Green Version]







| Water Depth (m) | Surface Temp. (°C) | Bottom Temp. (°C) | Surface DO (mg/L) | Bottom DO (mg/L) | ||
|---|---|---|---|---|---|---|
| Gangcheon | range | 2.60–5.70 | 15.90–23.50 | 15.50–22.00 | 7.60–10.10 | 6.30–9.90 |
| average | 3.60 ± 1.46 | 20.66 ± 3.29 | 20.05 ± 3.06 | 8.88 ± 1.26 | 8.15 ± 1.51 | |
| Yeoju | range | 1.70–2.20 | 19.30–25.70 | 18.50–27.60 | 7.70–9.80 | 6.80–10.20 |
| average | 2.03 ± 0.24 | 22.75 ± 2.87 | 22.93 ± 3.94 | 8.68 ± 0.90 | 8.46 ± 1.63 | |
| Ipo | range | 1.00–3.50 | 18.20–25.60 | 18.10–25.70 | 7.50–11.40 | 7.50–11.50 |
| average | 2.25 ± 1.04 | 21.30 ± 3.71 | 21.33 ± 3.84 | 9.20 ± 1.66 | 8.95 ± 1.87 | |
| Rainy season | range | 2.20–3.50 | 21.90–25.70 | 22.00–27.60 | 7.50–8.90 | 7.60–9.50 |
| average | 2.77 ± 0.67 | 24.40 ± 2.17 | 25.10 ± 2.85 | 8.00 ± 0.78 | 8.57 ± 0.95 | |
| Non-rainy Season | range | 1.00–5.70 | 15.90–24.40 | 15.50–24.40 | 7.70–11.40 | 6.30–11.50 |
| average | 2.58 ± 1.35 | 20.61 ± 2.88 | 20.21 ± 2.86 | 9.22 ± 1.19 | 8.51 ± 1.76 | |
| DOC | SUVA | HIX | FI | C1 | C2 | ||
|---|---|---|---|---|---|---|---|
| Nutrient | Pore-water TDN | 0.812 ** | 0.173 | −0.116 | 0.333 | −0.448 | −0.632 |
| Pore-water DON | 0.617 * | 0.128 | −0.263 | 0.341 | −0.117 | −0.24 | |
| Oxygen | Surface sediment TOC | 0.594 * | 0.639 * | 0.471 | 0.444 | −0.756 ** | −0.522 |
| Surface water DO | 0.037 | 0.534 * | 0.651 * | 0.052 | −0.369 | −0.103 | |
| Bottom DO | 0.066 | 0.311 | 0.591 * | 0.243 | −0.074 | 0.238 |
Publisher’s Note: MDPI stays neutral with regard to jurisdictional claims in published maps and institutional affiliations. |
© 2022 by the authors. Licensee MDPI, Basel, Switzerland. This article is an open access article distributed under the terms and conditions of the Creative Commons Attribution (CC BY) license (https://creativecommons.org/licenses/by/4.0/).
Share and Cite
Oh, H.; Choi, J.-H. Changes in the Dissolved Organic Matter Characteristics Released from Sediment According to Precipitation in the Namhan River with Weirs: A Laboratory Experiment. Int. J. Environ. Res. Public Health 2022, 19, 4958. https://doi.org/10.3390/ijerph19094958
Oh H, Choi J-H. Changes in the Dissolved Organic Matter Characteristics Released from Sediment According to Precipitation in the Namhan River with Weirs: A Laboratory Experiment. International Journal of Environmental Research and Public Health. 2022; 19(9):4958. https://doi.org/10.3390/ijerph19094958
Chicago/Turabian StyleOh, Haeseong, and Jung-Hyun Choi. 2022. "Changes in the Dissolved Organic Matter Characteristics Released from Sediment According to Precipitation in the Namhan River with Weirs: A Laboratory Experiment" International Journal of Environmental Research and Public Health 19, no. 9: 4958. https://doi.org/10.3390/ijerph19094958
APA StyleOh, H., & Choi, J.-H. (2022). Changes in the Dissolved Organic Matter Characteristics Released from Sediment According to Precipitation in the Namhan River with Weirs: A Laboratory Experiment. International Journal of Environmental Research and Public Health, 19(9), 4958. https://doi.org/10.3390/ijerph19094958

