Next Article in Journal
Low-Carbon Action in Full Swing: A Study on Satisfaction with Wise Medical Development
Previous Article in Journal
Working Environment, Personal Protective Equipment, Personal Life Changes, and Well-Being Perceived in Spanish Nurses during COVID-19 Pandemic: A Cross-Sectional Study
 
 
Font Type:
Arial Georgia Verdana
Font Size:
Aa Aa Aa
Line Spacing:
Column Width:
Background:
Article

Validation of the German Version of the Moral Injury Symptom and Support Scale for Health Professionals (G-MISS-HP) and Its Correlation to the Second Victim Phenomenon

by
Milena Trifunovic-Koenig
1,†,
Reinhard Strametz
2,†,
Bianka Gerber
3,
Sneha Mantri
4 and
Stefan Bushuven
1,5,6,*
1
Institute for Infection Control and Infection Prevention, Health Care Association District of Constance, 78315 Konstanz, Germany
2
Wiesbaden Institute for Healthcare Economics and Patient Safety, Wiesbaden Business School, RheinMain University of Applied Sciences, 65183 Wiesbaden, Germany
3
Institute for Anesthesiology, Intensive Care, Emergency Medicine and Pain Therapy, Hegau Bodensee Hospital Singen, 78224 Singen, Germany
4
Department of Neurology and Trent Center for Bioethics, Humanities, and History of Medicine, Duke, University School of Medicine, Durham, NC 27710, USA
5
Hegau-Jugendwerk Hospital Gailingen, Health Care Association District of Constance, 78262 Konstanz, Germany
6
Institute for Medical Education, University Hospital, Ludwig Maximilian University of Munich, 80331 Munich, Germany
*
Author to whom correspondence should be addressed.
These authors contributed equally to this work.
Int. J. Environ. Res. Public Health 2022, 19(8), 4857; https://doi.org/10.3390/ijerph19084857
Submission received: 26 February 2022 / Revised: 12 April 2022 / Accepted: 14 April 2022 / Published: 16 April 2022

Abstract

:
Introduction: Comparable to second victim phenomenon (SVP), moral injury (MI) affects health professionals (HP) working in stressful environments. Information on how MI and SVP intercorrelate and their part in a psychological trauma complex is limited. We tested and validated a German version of the Moral Injury Symptom and Support Scale for Health Professionals (G-MISS-HP) instrument, screening for MI and correlated it with the recently developed German version of the Second Victim Experience and Support Tool (G-SVESTR) instrument, testing for SVP. Methods: After translating Moral Injury Symptom and Support Scale for Health Professionals (MISS-HP), we conducted a cross-sectional online survey providing G-MISS-HP and G-SVEST-R to HP. Statistics included Pearson’s interitem correlation, reliability analysis, principal axis factoring and principal components analysis with Promax rotation, confirmatory factor and ROC analyses. Results: A total of 244 persons responded, of whom 156 completed the survey (33% nurses, 16% physicians, 9% geriatric nurses, 7.1% speech and language therapists). Interitem and corrected item-scale correlations did not measure for one item sufficiently. It was, therefore, excluded from further analyses. The nine-item score revealed good reliability (Guttman’s lambda 2 = 0.80; Cronbach’s alpha = 0.79). Factor validity was demonstrated, indicating that a three-factor model from the original study might better represent the data compared with our two-factor model. Positive correlations between G-MISS-HP and G-SVESTR subscales demonstrated convergent validity. ROC revealed sensitivity of 89% and specificity of 63% for G-MISS-HP using a nine-item scale with cutoff value of 28.5 points. Positive and negative predictive values were 62% and 69%, respectively. Subgroup analyses did not reveal any differences. Conclusion: G-MISS-HP with nine items is a valid and reliable testing instrument for moral injury. However, strong intercorrelations of MI and SVP indicate the need for further research on the distinction of these phenomena.

1. Introduction

1.1. Background

Patient safety includes safe working environments for health professionals (HP) [1]. Post-traumatic stress disorder (PTSD), especially during the COVID-19 pandemic [2], and burnout as an occupational phenomenon [3] are well-known results of stressful, toxic, and unsafe workplaces. This affects specialized post-graduates as well as undergraduates [4]. PTSD alone does not account for all adverse psychological reactions. Moreover, other psychological phenomena could be identified to significantly impact HPs’ well-being. These are moral injury (MI) [5] and the second victim phenomenon (SVP) [6]. Aside from these, other entities, such as “moral stress”, “moral distress”, “moral conflict”, “moral tension”, “moral constraint”, and other terms are used [7,8], and may have comparable effects on HPs, such as PTSD [9].
MI was originally described in the psychological and medical care of military veterans with PTSD [10]. In contrast to PTSD, MI relates to a deep violation of own moral beliefs due to actions which someone has taken or not taken in distinct situations. It comprises emotions and feelings such as shame and the feeling of betrayal by others previously trusted [11]. Compared with moral distress, MI is an acute phenomenon [12]. In contrast, PTSD mainly refers to the experience of life-threatening events, helplessness, extreme anxiety, and existential fear [13]. HPs, such as soldiers, may be exposed to conditions with possible violation of their moral beliefs resulting in harm to physical, psychological, spiritual, and religious integrity, and effects on the well-being of persons themselves and their families. Examples of stressful situations may be found in ethical frontier zones of medicine [14]. This includes end-of-life decisions in critical care [15], triage [16], transplantation [17], abortions [18], decision making in emergency situations, and involvement in economically driven medical practices.
To identify MI among HPs, Mantri et al. developed a screening and detection instrument [19] derived from the original military scale by Koenig et al. [20]. They were able to show that about 23.9% of 181 HPs had MI symptoms and at least moderate functional impairment. This was correlated to young age, low experience, commitments of medical error, symptoms of depression and anxiety, and lack of religious affiliation [21]. By October 2020, less than one year into the pandemic, a global survey of HPs found that nearly half were experiencing functional impairment from MI symptoms [22]. All of these findings raise the demand for further research in this field [23], especially in Germany, with limited literature available focusing on this effect and its relation to the second victim phenomenon [6], with substantial impact on HPs [24] and a prevalence similar to MI [25,26]. Recently, our working group translated SVP instruments [27,28,29,30] into German [31]. Comparing MI and SVP, there are some differences in assessment and definitions. As MI mainly relates to one’s own responsibilities, actions, and decisions, SVP can be acquired by experiencing critical events not caused by the person or an organization the person is affiliated with. However, both show differences from PTSD, which can be accompanied by MI or not [13], and may be caused by SVP [32].
This leads to the question of whether MI and SVP belong to the same psychological entity, or whether they are overlapping but otherwise distinct phenomena. Furthermore, it may be reasonable that both may be part of a multifaceted psychological trauma complex with interacting and overlapping elements. In this paper, we report on the development of the German Moral Injury Symptom Scale (G-MISS-HP) and its correlation to the recently developed German screening score for SVP.

1.2. Objective

The aim of this study was to develop and validate a German questionnaire, based on the Moral Injury Symptom Scale for Health Professionals (MISS-HP) [19], to evaluate a cutoff value for clinical use as a screening instrument and to correlate it to the recently developed and validated German version of the Second Victim Experience and Support Tool (G-SVESTR) [31].
We hypothesized that the developed questionnaire shows satisfying reliability, face, content, and construct validity. Furthermore, we hypothesized that there is a strong correlation between scores and their dimensions which is useful for further hypothesis generation to differentiate between MI and SVP.

2. Material and Methods

2.1. Study Design

From March to June 2021, we designed an online questionnaire consisting of two previously developed questionnaires, namely a translated and back-translated version of the MISS-HP [19] (Appendix A), and G-SVESTR [31]. The study concept followed a cross-sectional approach to validate the translated German version of the MISS-HP and, optionally, correlate answer patterns with the G-SVESTR.

2.2. Setting

Due to the COVID-19 pandemic, with a substantial third wave in Europe in April 2021, the study was conducted online only. Following the WHO advice on the translation of assessment instruments [33], we conducted the expert panels in March to translate, validate, retranslate, and revalidate the instrument. From April to May, we conducted pretesting with 37 individuals. After interviewing, statistical analysis, and re-evaluation in the expert panel, the instrument was distributed unchanged in local, regional, and international media networks and social media networks, addressing about 4500 persons working in in-hospital and out-of-hospital healthcare settings.

2.3. Participants

We addressed German-speaking healthcare providers from Germany, Switzerland, Austria, and other countries without any limitation to professions or experience. The only prerequisite to participate was access to the online survey.

2.4. Variables and Measurements

Apart from demographic data (age, gender, profession, main occupation, status as a student, status as a medical teacher), the variables comprised the 11 items of the translated MISS-HP, using a 10-point Likert Scale; 42 items of the G-SVESTR, using a 5-Point Likert scale; and an additional free-text entry for comments on the instrument or the topic. Thus, every participant was expected to answer 54 questions. Likert scales of the MISS-HP were the same as in the original scale, ranging from 1 (complete disagreement), through 5 (neutral), to 10 (complete agreement), for items 1–10. Item 11 measured the impairment in everyday work and life caused by the moral injury with a 5-point Likert scaling comprising “none”, “minor”, “moderate”, “severe”, and “extreme”. Participants had to report the extent of agreement/disagreement with all items belonging to G-MISS-HP, i.e., there was no option to omit one of the items and proceed with the questionnaire. Here, we deviated from the original study [19], which allowed for omissions. Likert scales in the SVEST-R part for items 1–35 ranged from 1 (complete disagreement) to 5 (complete agreement). For items 36–42, we used the original 5-point Likert scale for desires of support to SVP from 1 (no strong desire) to 5 (strong desire). Item 43 was a free-text entry.
We were aware that these different scales may have confused some participants. However, we decided to use the original and validated scores according to the primary references of MISS-HP and G-SVESTR.
Concerning the instruments, some variables of both scores were inverted. This applies to items 5, 6, 7, and 10 of the G-MISS-HP, and items 11, 14, 15, 17, 18, 19, 32, 33, 34, and 35 of the G-SVESTR. These items were inverted in their scaling before data processing.

2.5. Bias

This study did not aim to display representative occurrence and impact of the MI or SVP in certain closed healthcare worker populations. Instead, we aimed to test the validity and reliability of the scores (without the need for representativeness but demand for enough participants [34]) to plan further research in German-speaking countries.
Furthermore, we used the intercorrelation of the scores to develop new hypotheses concerning the interaction of the two instruments and implications for the distinction of MI and SVP. However, online convenience sampling may bring several barriers to be overcome, mainly related to selection or sample bias: illiteracy or inadequate internet skills may hinder people from participating and sharing surveys in social media may lead to an overrepresentation of specific groups or survey fraud [35].
Further bias includes response burden due to a decline of concentration after a certain number of questions. Pretesting showed a median of 11 min for completion, this is acceptable for online surveys concerning this bias [36].

2.6. Study Size

We aimed at a minimum of 10 persons per item completing the survey to validate the G-MISS-HP and conduct confirmatory factor analysis [34]. Of all participants addressed, 244 participants responded to the survey, and 156 fully completed the questionnaire.

2.7. Statistics

Prior to performing reliability analyses of G-MISS-HP, we inspected descriptive statics, frequency distributions, and Pearson’s interitem correlation matrix of 10 items (MISS1 to MISS10) of the scale. In addition, we performed reliability analyses using Cronbach’s alpha when each of the items were deleted, which corrected item-scale correlations, and Guttman’s lambda 2. In the next step, we tested the construct validity of the instrument by applying the approach suggested by Boateng et al. [37], to test the factor validity of newly developed instruments. Firstly, we randomly divided the sample into two equal groups. In the first half of the sample, we conducted principal axis factoring (PAF) with Promax rotation, while in the second half, we performed a principal factor analysis (PCA) with Promax rotation. According to the Kaiser–Guttman criterion, we extracted the number of factors with an eigenvalue higher than 1.00. In addition, confirmatory factor analysis (CFA) was used to confirm the factor structure yielded from PAF and PCA. Finally, we compared the differences in model fit of the yielded a two-factor model with the three-factor model proposed by Mantri et al. in the original study [19] using the chi2 difference test.
Convergent validity was tested by inspecting Pearson’s correlations between the G-MISS-HP score and the subscales of G-SVSTR. To evaluate the diagnostic properties of G-MISS-HP (cut off values, sensibility, specificity, etc.), we used receiver operating characteristic curve (ROC) analyses. Subgroup analysis was performed using the Mann–Whitney U test to analyze gender differences in the G-MISS-HP score (women vs. men). The Kruskal–Wallis test with Bonferroni correction tested the differences amongst diverse professional groups: nurses (general and pediatric), physicians, paramedics, geriatric nurses, and speech therapists. (The inclusion of other professional groups in the comparison was not feasible due to the small number of participants of other professions.) Finally, Pearson’s correlation coefficients were used to examine the correlation between participant’s age and G-MISS-HP score.
p-vales lower than 0.05 were considered statistically significant. Statistical analyses were performed using IBM SPSS Software Version 28 with IBM SPSS AMOS Version 28 (IBM SPSS Statistics for Windows, IBM SPSS AMOS, Version 28.0. Armonk, IBM, New York, NY, USA).

3. Results

3.1. Sample Characteristics

A total of 156 healthcare professionals were included in the study. Of 156 participants, 100 were women, 54 were men, and 1 was non-binary. There was one missing value stored for this variable in the sample. A total of 147 healthcare professionals worked in Germany, 6 worked in Switzerland, 2 worked in Austria, and 1 worked in New Zealand. The mean age was 40.67 years with SD = 10.22 years. One third of all participants were general nursing staff; almost 25% worked as paramedics; 16% were physicians; 9% worked in geriatric nursing; 7.1% were speech and language therapists; 3.2% were medical assistants; 2 participants worked in paediatric care; 2 were medical students; 1 participant worked as a midwife; 1 worked as a respiratory therapist; 1 worked as a physiotherapist; and 1 participant worked in administration. A total of 15 participants were undergoing their training at the time and 60% of the participants were involved in conducting professional training. More than half of all participants worked in hospitals (12.20% in primary healthcare, 19.20% in secondary healthcare, 16% in tertiary healthcare, and 3% in rehabilitation clinics); one quarter worked in pre-hospital emergency medicine/rescue service/patient transport; 8.30% worked in nursing homes; 7.10% worked in palliative care/hospices; 7.10% worked in ambulance; and 1 participant worked in gerontological psychiatry. Table 1 demonstrates sample characteristics alongside descriptive statistics for G-MISS-HP and subscales of G-SVEST-R, with M(SD) for continuous and n (%) for categorical variables.

3.2. Reliability

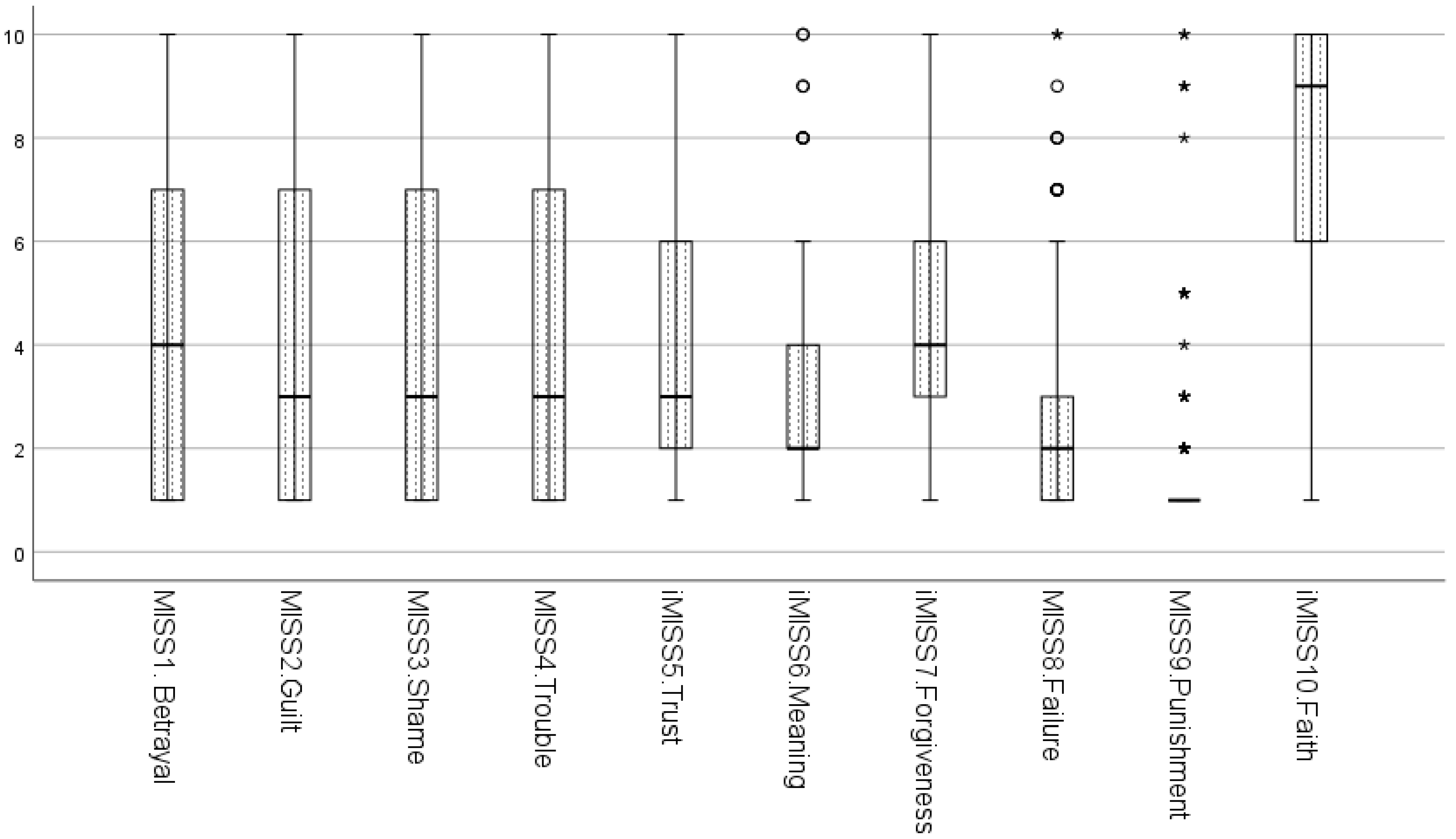
After reviewing the frequency distributions and descriptive statistics of the G-MISS-HP, we encountered a problem with the inverted item score MISS10 that reads: “Compared to before I went through these experiences, my religious/spiritual faith has strengthened/Im Vergleich zu der Situation bevor ich diese Erfahrungen gemacht habe, hat sich mein Glaube gefestigt”. The score of the inverted item MISS10 had the highest mean value (M = 7.70) and, unlike other items, had its mode at the upper range of the scale (Mode = 10). The 25% quartile, median and the 75% quartile of the inverted item MISS10 were significantly higher than the corresponding parameters of the other items (see Table 2 and Figure 1).
In addition, we reviewed Pearson’s product–moment correlation matrix of the items. Positive correlations between the items within the scale are necessary to achieve proper internal consistency of the instrument. All items in the G-MISS-HP were positively correlated, except for MISS10, which hardly correlated with any other item on the scale. Furthermore, MISS10 correlated negatively with item MISS9. Negatively correlated items usually suggest that the necessary inversion of the items’ score was not performed, i.e., the numerical scoring scale measured the construct in opposite directions due to differences in positive/negative wording of the items. We verified the original and the inverted values and concluded that the inversion of MISS10 was carried out correctly. Table 3 shows interitem correlations of G-MISS-HP.
Finally, we calculated corrected item-scale correlations altogether with Cronbach’s alpha after excluding the item (see Table 4).
Unlike all the other items, which had corrected item–total correlations above the recommended value of 0.30 [38], MISS10 had a poor negative corrected item–total correlation (−0.07). Therefore, it appeared that, this item should be methodically excluded from the scale. Once we excluded item MISS10, we proceeded with the analysis of item scores for MISS1, MISS2, MISS3, MISS4, MISS8, and MISS9, and inverted item scores MISS5, MISS6, and MSS7.
The internal consistency of the 9 items measured by Cronbach’s alpha was adequate (α = 0.79). Similarly, split-half reliability measured as satisfactory with Guttman’s lambda-2 (λ2 = 0.80). In sum, G-MISS-HP instrument with 9 items showed good reliability.

3.3. Construct Validity/Factor Analytical Validity

According to the original validation study [19] and the following recommendations for testing factor analytical validity of newly developed scales [39], we randomly divided the sample (n = 156) into two halves (n1 = 78; n2 = 78). In the first half of the sample, we conducted PAF with Promax rotation, which yielded factor1 (MISS1, MISS2, MISS3, and MISS4) and factor2 (MISS5, MISS6, MISS7, MISS8, and MISS9). These two factors explained 54.7% of the variance (Table 5). In the second half of the sample, we conducted principal factor analysis with Promax rotation, which supported the previously extracted two-factor structure: Factor 1 (MISS1, MISS2, MISS3, and MISS4) and factor 2 (MISS5, MISS6, MISS7, MISS8, and MISS9). Two factors explained 53.32% of the variance (Table 6). In the next step, confirmatory factor analysis (CFA) tested the two-factor model in the whole sample (Figure 2). The parameters for model fit assessment were acceptable (χ22factors = 31.58 df = 32, p = 0.21, CFI = 0.98, NFI = 0.92, RMSEA = 0.04, IFI = 0.96, AIC = 87.58, ECVI = 0.57). In addition, we tested the three-factor model proposed by Mantri et al., in the validation study of the original English version of the MISS-HP instrument using CFA. The three factors were: (1) the guilt/shame factor (MISS1, MISS2, MISS3, and MISS4), (2) the spiritual troubles factor (MISS5, MISS6, MISS7), and (3) the condemnation factor (MISS8 and MISS9). The three-factor structure showed even better fit indices (χ23factors = 25.31 df = 24, p = 0.39, CFI = 0.99, NFI = 0.94, RMSEA = 0.02, IFI = 0.99, AIC = 67.31, ECVI = 0.43, see Figure 3). To determinate whether the two-factor or the three-factor model was a better representation of the data, we performed the chi2 difference test:
∆χ2 = χ22factors − χ23factors = 31.58 − 25.31 = 6.27; ∆χ2(df) = df2Factorsdf3Factors = 26 − 24 = 2.
where ∆χ2diff(2) = 6.27 was significant (p = 0.04).
Therefore, the three-factor model, from the original study [19], was more appropriate, evidencing construct validity (see Table 7).

3.4. Convergent Validity

Convergent validity was demonstrated by significant correlations between G-MISS-HP sum score (9 items, see above) and G-SVESTR subscales (see Table 8), whereas strong correlations existed between G-MISS-HP score and following G-SVESTR subscales: psychological distress (r = 0.55), physical distress (r = 0.59), professional self-efficacy (r = 0.56), and turnover intentions (r = 0.59). G-MISS-HP was moderately correlated to colleague support (r = 0.49), institutional support (r = 0.33), absenteeism (r= 0.44), and resilience (r = 0.33). The only weak correlation was between G-MISS-HP score and supervisor support (r = 0.29).

3.5. Diagnostic Properties of G-MISS-HP

ROC analyses were performed using G-MISS-HP score (with 9 items) as a test variable, with the following dichotomized item as a state variable: “Do the feelings you indicated above cause you significant distress or impair your ability to function in relationships, at work, or other areas of life important to you? In other words, if you indicated any problems above, how difficult have these problems made it for you to do your work, take care of things at home, or get along with other people?” The response options “moderate”, “very much”, or “extremely” indicated a positive actual state, i.e., significant impairment in everyday functioning caused by MI. In contrast, response options “not at all” or “mild” indicated negative actual state [40]. Figure 4 shows the ROC curve. The area under the curve was 0.81 (asymptotic 95% CI = 0.75–0.88), standard error under the non-parametric assumption was 0.03, and the asymptotic significance was p≤ 0.001 (under the null hypothesis that true area = 0.5). After inspecting the Youden index for different coordinates of the ROC curve, we determined the optimal cutoff score on the G-MISS-HP as 28.50. This means that healthcare professionals with a summative G-MISS-HP score of 28.50 or higher were tested positive, indicating significant impairment caused by MI. The sensitivity of G-MISS-HP with the cutoff 28.5 was good with 89%. In contrast, the specificity of the instrument was low, with 63%, but still acceptable for a potential screening instrument. The positive predictive value (PPV) was 62% (of the 85 with a positive test, 53 were impaired), and the negative predictive value was 69% (of the 103 with a negative test, 71 were without impairment).

3.6. Subgroup Analyses

There was no significant correlation between participants’ age and G-MISS-HP sum score (r = −0.009; p = 0.92). Gender difference in G-MISS-HP score was also not significant (Mann–Whitney U test: z (2, 154) = −1.75; p = 0.09). Moreover, the G-MISS-HP score did not differ significantly across different professions (Kruskal–Wallis test with Bonferroni correction H (5) = 10.01; p = 0.08).

4. Discussion

We demonstrated that the German Version of the MISS-HP is a reliable and valid instrument, comprising face, content, and construct validity. Internal consistency, as well as split-half reliability analyses, yielded satisfactory results. Unfortunately, item MISS10 was problematic with a need for reassessment or removal from the sum score.
Item MISS10 addresses the beliefs in a God. Recent findings confirmed a negative-trend-level association between religiosity and MISS-HP score [22]. Therefore, we presumed that the possibly higher proportion of atheism among German healthcare workers, compared with the USA, might explain the poor item-scale statistics of MISS10. Contrary to our assumptions, the proportion of agnostics or atheists amongst healthcare providers in Germany and in the USA do not differ considerably. In Germany, up to 25% of all healthcare providers fall into the category of atheists/agnostics or do not feel attached to religious groups [41], while in the USA, 24% of physicians proclaimed themselves as agnostic or atheist [41].
Thus, item MISS10 could not be answered validly by atheists as there is no belief to be strengthened or weakened. Since there was no option to not respond to an item and proceed with the questionnaire afterward, it is questionable how atheistic participants answered our obligatory question (1—fully disagree; 5—neutral points). This might have provoked a significant bias. However, in the validation study of the English version by Mantri et al., item MISS10 could be omitted by respondents, and analyses were conducted by extrapolating missing data [19].
Courtesy of the authors, we obtained the raw data from the study by Mantri et al. [19]. In addition, we inspected the frequency distribution of MISS10 in the dataset (see Figure 5). Thereby, we noticed a considerably large number of missing values regarding this variable. The dataset comprised two different types of item non-responders: “the participant did not even see the question (e.g., had started the survey but did not hit the “next page” button)” and “the participant saw the question but did not answer”. We assumed that the considerable proportion of the participants in the latter group might not have responded to the item due to a lack of personal religious affiliation. Moreover, if the missing values of “saw the question but did not answer” were assigned a value of 1 (fully disagree), then the frequency distribution of the item score would be very similar to the frequency distribution in the present study (see Figure 6 and Figure 7). Therefore, different ways to deal with potential item non-responders in English and German versions had possibly contributed to the inconsistencies regarding the suitability of MISS10 for the instrument.
To get further insight into the validity of the 10-item score, we excluded all participants that chose 1 point (fully disagree) in item MISS9 as a surrogate for atheism. In addition, we re-evaluated the 10-item score. In this analysis, the 10-item score showed good overall properties (Cronbach’s Alpha 0.79; Gutman’s lambda 0.81; weak positive corrected interitem correlation 0.04) and demonstrated a 3-factor solution after performing PCA. However, choosing a value of 1 in item MISS9 does not necessarily indicate atheism, lowering the validity of the approach taken.
Although these findings may be considered a setback for the direct translation of the score, it raises the important question of how religious beliefs and practices should be addressed in MI and SVP scores. Thus, an alternative method could rather entail the following: (1) life conceptions, identity issues, or religious beliefs (“internal”); and (2) socialization and integration in social groups (“external”)—these interacting factors have a significant impact on coping [42].
In sum, item MISS10, which assesses religious beliefs and participation in religious practice, should be re-evaluated. Nevertheless, the reduced 9-item score can be used validly. However, it may lack content comparability to the English survey with the 10-item score. In multinational investigations with the need to compare the scores in different languages, item MISS10 could remain but should be provided as an optional question, e.g., the item should be presented only to participants who previously reported themselves as religious/spiritual.
Secondly, the observed test statistic of the 9-item sum score consequently showed lower cutoff values indicating MI (28.5 points with 89% sensitivity, but only 64% specificity) compared with the English 10-item MISS-HP Score (36 points with 84% sensitivity and 94% specificity) [19]. A relatively high sensitivity provides a strong argument that G-MISS-HP can be used as a screening instrument. Nevertheless, poor specificity of the instrument potentially leads to high false-positive rates. Hence, the instrument’s capacity to correctly rule out clinically relevant impairment caused by MI is significantly limited. However, as the original English MISS-HP was mainly validated by physicians, and the German G-MISS-HP in a multi-professional setting, further work should concentrate on inter-professional differences in bigger sample sizes [34]. Possibly, the specificity of the score might differ in distinct professions or professional groups.
Thirdly, the G-MISS-HP showed good comparability to the German Second Victim Experience and Support Scale Revised (G-SVESTR). This indicates that MI and SVP are related constructs and that both scores may be used as screening instruments after further evaluations. Nevertheless, none of the correlations between the G-MISS-HP Score and G-SVESTR subscales was higher than r = 0.60. In conclusion, SVP and MI seem to be distinct but interacting phenomena. Further research is needed to explain the exact relationship between the constructs.
However, subgroup analysis showed no differences for gender, age, or work experience. This is in contrast to the SeViD questionnaires for physicians [26] and nurses [43] and recent findings of epidemiological studies exploring the prevalence of MI in the US [21]. Those studies showed differences in these subgroups and a significant negative correlation between age and the prevalence of MI.
Furthermore, this study is not able to reveal sociodemographic or epidemiological data on MI or SVP in the distinct populations addressed. Primarily, spiritual, religious, and cultural assessments should be conducted in future investigations. These may reveal further interpretation possibilities of the score in different groups and professions. The aim of this study was to validate the score with an adequate sample size [34] for future analysis in different populations. In addition to the lack of generalizability so far, further limitations should be acknowledged. These include the sample size [34] and the importance of the convenience of the online approach for validation [35].
Nevertheless, MISS-HP may be a promising instrument for detecting MI in changing and developing medical environments and settings [44]. As medical knowledge and technology advance and population demographics change rapidly, new ethical questions will arise and challenge medical professionals from different countries and cultures [45,46,47]. This may be the case at the frontiers of life (e.g., neonatology, neuro-traumatology, geriatrics, and genetics). Consequently, medical professionals may experience more moral conflicts and more errors, putting staff at risk for both MI and SVP with need for an assessment tool for supervisors, crew resource managers, and psychotherapists treating traumatized staff. G-MISS-HP may be one of these tools.

5. Conclusions

The nine-item German Moral Injury Assessment and Support Score for Health Professionals (G-MISS-HP) is a reliable and valid instrument to screen for MI. We could show intercorrelations with SVP, indicating a relationship between these two phenomena. This first evaluation did not include epidemiologic or demographic statements. Further work should concentrate on the deeper distinction of MI and SVP, the epidemiology of MI and SVP in Germany, and the status of spiritual and religious aspects within MI and SVP scoring systems.

Author Contributions

Conceptualization, S.B. and R.S.; methodology, M.T.-K. and S.B.; software, M.T.-K. and S.B.; validation, M.T.-K., R.S., B.G., S.M., and S.B.; formal analysis, M.T.-K. and. S.B.; writing—original draft preparation, review, and editing, S.B., M.T.-K., and B.G.; supervision, S.M. and R.S.; project administration, S.B. All authors have read and agreed to the published version of the manuscript.

Funding

This study was funded by the Messmer Foundation Radolfzell, Germany.

Institutional Review Board Statement

Ethical review and approval were waived for this study, due to anonymous and voluntary participation in this survey.

Informed Consent Statement

Informed consent was obtained from all subjects involved in the study.

Data Availability Statement

The data presented in this study are available on request from the corresponding author.

Conflicts of Interest

The authors declare no conflict of interest.

Appendix A

Moral Injury Symptom Scale: Healthcare Professionals Version, German version (G-MISS-HF)
The following questions may be difficult, but they are common experiences of busy healthcare professionals. They concern your experiences on your job as a health professional and how you are feeling now. Try to answer every question. Circle a single number between 1 (strongly disagree) and 10 (strongly agree) to indicate how much you personally agree or disagree with each statement.
Die folgenden Fragen können schwierig sein, aber gehören zu üblichen Erfahrungen und Wahrnehmungen von medizinischen Fachkräften. Sie beziehen sich auf Ihre Erfahrungen in Ihrem Beruf und wie sie sich JETZT AKTUELL fühlen. Versuchen Sie jede Frage zu beantworten. Klicken Sie dazu ein Feld zwischen “Starker Ablehnung” und “Starker Zustimmung) an.
ItemEnglish VersionGerman Translation
MISS1I feel betrayed by other health professionals whom I once trusted.Ich fühle mich betrogen von medizinischen Fachkräften, denen ich zuvor vertraut habe.
MISS2I feel guilt over failing to save someone from being seriously injured or dying.Ich empfinde Schuld, weil ich eine Person nicht davor bewahren konnte, schwer verletzt zu werden oder zu sterben.
MISS3I feel ashamed about what I’ve done or not done when providing care to my patients.Ich schäme mich für das was ich im Rahmen der Patientenversorgung getan oder unterlassen habe.
MISS4I am troubled by having acted in ways that violated my own morals or values.Ich bin verstört auf bestimmte Weise gehandelt und dabei meine Moral und Werte verletzt zu haben.
MISS5Most people with whom I work as a health professional are trustworthy.Die meisten Personen mit denen ich als medizinische Fachkraft arbeite sind vertrauenswürdig.
MISS6I have a good sense of what makes my life meaningful as a health professional.Ich habe ein gutes Gespür dafür was mein Leben als medizinische Fachkraft bedeutungsvoll macht.
MISS7I have forgiven myself for what’s happened to me or to others whom I have cared for.Ich habe mir selbst dafür verziehen, was mir oder anderen, für die ich gesorgt habe, geschehen ist.
MISS8All in all, I am inclined to feel that I’m a failure in my work as a health professional.Alles in allem neige ich dazu zu denken, dass ich als medizinische Fachkraft versage.
MISS9I sometimes feel God is punishing me for what I’ve done or not done while caring for patients.Manchmal glaube ich, dass Gott mich dafür bestraft, was ich in der Patientenversorgung getan oder nicht getan habe.
MISS10Compared to before I went through these experiences, my religious/spiritual faith has strengthened.Im Vergleich zu der Situation bevor ich diese Erfahrungen gemacht habe, hat sich mein Glaube gefestigt.
1Strongly disagree/Starke Ablehnung
2Strongly disagree/Starke Ablehnung
3Mildly disagree/leichte Ablehnung
4Mildly disagree/leichte Ablehnung
5Neutral
6Mildly agree/Leichte Zustimmung
7Mildly agree/Leichte Zustimmung
8Mildly agree/Leichte Zustimmung
9Strongly agree/Starke Zustimmung
10Strongly agree/Starke Zustimmung
MISS 11
Do the feelings you indicated above cause you significant distress or impair your ability to function in relationships, at work, or other areas of life important to you? In other words, if you indicated any problems above, how difficult have these problems made it for you to do your work, take care of things at home, or get along with other people?
Erzeugen die oben genannten Gefühle erheblichen Stress oder behindern sie Ihre Fähigkeiten in Beziehungen, bei der Arbeit oder in anderen Lebensaspekten, die Ihnen wichtig sind? In anderen Worten, wenn sie oben genannte Probleme bei sich feststellen, wie schwierig haben diese Probleme es Ihnen gemacht Ihrer Arbeit nachzugehen, Dinge daheim zu erledigen oder mit anderen Personen auszukommen?
Not at all; Mild; Moderate; Very much; Extremely.
Gar nicht; Gering; Moderat; Sehr stark; Extrem.

References

  1. Busch, I.M.; Moretti, F.; Campagna, I.; Benoni, R.; Tardivo, S.; Wu, A.W.; Rimondini, M. Promoting the Psychological Well-Being of Healthcare Providers Facing the Burden of Adverse Events: A Systematic Review of Second Victim Support Resources. Int. J. Environ. Res. Public Health 2021, 18, 5080. [Google Scholar] [CrossRef] [PubMed]
  2. Li, Y.; Scherer, N.; Felix, L.; Kuper, H. Prevalence of depression, anxiety and post-traumatic stress disorder in health care workers during the COVID-19 pandemic: A systematic review and meta-analysis. PLoS ONE 2021, 16, e0246454. [Google Scholar] [CrossRef] [PubMed]
  3. Valeras, A.S. Healthcare provider burn-out: A war with uncertainty. Fam. Syst. Health 2020, 38, 96–98. [Google Scholar] [CrossRef] [PubMed]
  4. Ishak, W.; Nikravesh, R.; Lederer, S.; Perry, R.; Ogunyemi, D.; Bernstein, C. Burnout in medical students: A systematic review. Clin. Teach. 2013, 10, 242–245. [Google Scholar] [CrossRef]
  5. Barnes, H.A.; Hurley, R.A.; Taber, K.H. Moral Injury and PTSD: Often Co-Occurring Yet Mechanistically Different. J. Neuropsychiatry Clin. Neurosci. 2019, 31, A4-103. [Google Scholar] [CrossRef] [Green Version]
  6. Wu, A.W. Medical error: The second victim. The doctor who makes the mistake needs help too. BMJ 2000, 320, 726–727. [Google Scholar] [CrossRef]
  7. Fourie, C. Moral distress and moral conflict in clinical ethics. Bioethics 2015, 29, 91–97. [Google Scholar] [CrossRef]
  8. Morley, G.; Bradbury-Jones, C.; Ives, J. What is ’moral distress’ in nursing? A feminist empirical bioethics study. Nurs. Ethics 2020, 27, 1297–1314. [Google Scholar] [CrossRef] [Green Version]
  9. Karakachian, A.; Colbert, A. Nurses’ Moral Distress, Burnout, and Intentions to Leave: An Integrative Review. J. Forensic. Nurs. 2019, 15, 133–142. [Google Scholar] [CrossRef]
  10. Litz, B.T.; Stein, N.; Delaney, E.; Lebowitz, L.; Nash, W.P.; Silva, C.; Maguen, S. Moral injury and moral repair in war veterans: A preliminary model and intervention strategy. Clin. Psychol. Rev. 2009, 29, 695–706. [Google Scholar] [CrossRef]
  11. Griffin, B.J.; Purcell, N.; Burkman, K.; Litz, B.T.; Bryan, C.J.; Schmitz, M.; Villierme, C.; Walsh, J.; Maguen, S. Moral Injury: An Integrative Review. J. Trauma. Stress 2019, 32, 350–362. [Google Scholar] [CrossRef] [PubMed]
  12. Čartolovni, A.; Stolt, M.; Scott, P.A.; Suhonen, R. Moral injury in healthcare professionals: A scoping review and discussion. Nurs. Ethics 2021, 28, 590–602. [Google Scholar] [CrossRef] [PubMed]
  13. Koenig, H.G.; Youssef, N.A.; Pearce, M. Assessment of Moral Injury in Veterans and Active Duty Military Personnel With PTSD: A Review. Front. Psychiatry 2019, 10, 443. [Google Scholar] [CrossRef] [PubMed]
  14. Ulrich, C.M.; Taylor, C.; Soeken, K.; O’Donnell, P.; Farrar, A.; Danis, M.; Grady, C. Everyday ethics: Ethical issues and stress in nursing practice. J. Adv. Nurs. 2010, 66, 2510–2519. [Google Scholar] [CrossRef] [Green Version]
  15. St Ledger, U.; Begley, A.; Reid, J.; Prior, L.; McAuley, D.; Blackwood, B. Moral distress in end-of-life care in the intensive care unit. J. Adv. Nurs. 2013, 69, 1869–1880. [Google Scholar] [CrossRef]
  16. Zachariasse, J.M.; van der Hagen, V.; Seiger, N.; Mackway-Jones, K.; van Veen, M.; Moll, H.A. Performance of triage systems in emergency care: A systematic review and meta-analysis. BMJ Open 2019, 9, e026471. [Google Scholar] [CrossRef] [Green Version]
  17. Neumann, J.L.; Mau, L.W.; Virani, S.; Denzen, E.M.; Boyle, D.A.; Boyle, N.J.; Dabney, J.; De KeselLofthus, A.; Kalbacker, M.; Khan, T.; et al. Burnout, Moral Distress, Work-Life Balance, and Career Satisfaction among Hematopoietic Cell Transplantation Professionals. Biol. Blood Marrow. Transpl. 2018, 24, 849–860. [Google Scholar] [CrossRef] [Green Version]
  18. Lipp, A.; Fothergill, A. Nurses in abortion care: Identifying and managing stress. Contemp. Nurse 2009, 31, 108–120. [Google Scholar] [CrossRef]
  19. Mantri, S.; Lawson, J.M.; Wang, Z.; Koenig, H.G. Identifying Moral Injury in Healthcare Professionals: The Moral Injury Symptom Scale-HP. J. Relig. Health 2020, 59, 2323–2340. [Google Scholar] [CrossRef]
  20. Koenig, H.G.; Ames, D.; Youssef, N.A.; Oliver, J.P.; Volk, F.; Teng, E.J.; Haynes, K.; Erickson, Z.D.; Arnold, I.; O’Garo, K.; et al. The Moral Injury Symptom Scale-Military Version. J. Relig. Health 2018, 57, 249–265. [Google Scholar] [CrossRef]
  21. Mantri, S.; Lawson, J.M.; Wang, Z.; Koenig, H.G. Prevalence and Predictors of Moral Injury Symptoms in Health Care Professionals. J. Nerv. Ment. Dis. 2021, 209, 174–180. [Google Scholar] [CrossRef] [PubMed]
  22. Mantri, S.; Song, Y.K.; Lawson, J.M.; Berger, E.J.; Koenig, H.G. Moral Injury and Burnout in Health Care Professionals During the COVID-19 Pandemic. J. Nerv. Ment. Dis. 2021, 209, 720–726. [Google Scholar] [CrossRef] [PubMed]
  23. Kopacz, M.S.; Ames, D.; Koenig, H.G. It’s time to talk about physician burnout and moral injury. Lancet Psychiatry 2019, 6, e28. [Google Scholar] [CrossRef] [Green Version]
  24. Grissinger, M. Too many abandon the “second victims” of medical errors. Pharm. Ther. 2014, 39, 591–592. [Google Scholar]
  25. Strametz, R.; Rösner, H.; Ablöscher, M.; Huf, W.; Ettl, B.; Raspe, M. Entwicklung und Validation eines Fragebogens zur Beurteilung der Inzidenz und Reaktionen von Second Victims im Deutschsprachigen Raum (SeViD). Zbl Arb. 2020, 71, 19–23. [Google Scholar] [CrossRef]
  26. Strametz, R.; Koch, P.; Vogelgesang, A.; Burbridge, A.; Rösner, H.; Abloescher, M.; Huf, W.; Ettl, B.; Raspe, M. Prevalence of second victims, risk factors and support strategies among young German physicians in internal medicine (SeViD-I survey). J. Occup. Med. Toxicol 2021, 16, 11. [Google Scholar] [CrossRef]
  27. Burlison, J.D.; Scott, S.D.; Browne, E.K.; Thompson, S.G.; Hoffman, J.M. The Second Victim Experience and Support Tool: Validation of an Organizational Resource for Assessing Second Victim Effects and the Quality of Support Resources. J. Patient Saf. 2017, 13, 93–102. [Google Scholar] [CrossRef]
  28. Chen, J.; Yang, Q.; Zhao, Q.; Zheng, S.; Xiao, M. Psychometric validation of the Chinese version of the Second Victim Experience and Support Tool (C-SVEST). J. Nurs. Manag. 2019, 27, 1416–1422. [Google Scholar] [CrossRef]
  29. Kim, E.M.; Kim, S.A.; Lee, J.R.; Burlison, J.D.; Oh, E.G. Psychometric Properties of Korean Version of the Second Victim Experience and Support Tool (K-SVEST). J. Patient Saf. 2020, 16, 179–186. [Google Scholar] [CrossRef]
  30. Winning, A.M.; Merandi, J.; Rausch, J.R.; Liao, N.; Hoffman, J.M.; Burlison, J.D.; Gerhardt, C.A. Validation of the Second Victim Experience and Support Tool-Revised in the Neonatal Intensive Care Unit. J. Patient Saf. 2020, 17, 531–540. [Google Scholar] [CrossRef]
  31. Strametz, R.; Siebold, B.; Heistermann, P.; Haller, S.; Bushuven, S. Validation of the German Version of the Second Victim Experience and Support Tool-Revised. J. Patient Saf. 2021, 18, 182–192. [Google Scholar] [CrossRef] [PubMed]
  32. Ozeke, O.; Ozeke, V.; Coskun, O.; Budakoglu, I.I. Second victims in health care: Current perspectives. Adv. Med. Educ. Pract. 2019, 10, 593–603. [Google Scholar] [CrossRef] [PubMed] [Green Version]
  33. WHO. Process of Translation and Adaptation of Instruments. WHO Website 2020. Available online: http://www.who.int/substance_abuse/research_tools/translation/en/ (accessed on 14 April 2022).
  34. Anthoine, E.; Moret, L.; Regnault, A.; Sébille, V.; Hardouin, J.B. Sample size used to validate a scale: A review of publications on newly-developed patient reported outcomes measures. Health Qual. Life Outcomes 2014, 12, 176. [Google Scholar] [CrossRef] [PubMed] [Green Version]
  35. Ball, H.L. Conducting Online Surveys. J. Hum. Lact. 2019, 35, 413–417. [Google Scholar] [CrossRef]
  36. Rolstad, S.; Adler, J.; Rydén, A. Response burden and questionnaire length: Is shorter better? A review and meta-analysis. Value Health 2011, 14, 1101–1108. [Google Scholar] [CrossRef] [Green Version]
  37. Boateng, G.O.; Neilands, T.B.; Frongillo, E.A.; Melgar-Quiñonez, H.R.; Young, S.L. Best practices for developing and validating scales for health, social, and behavioral research: A primer. Front. Public Health 2018, 6, 149. [Google Scholar] [CrossRef]
  38. Bühner, M. Einführung in Die Test-und Fragebogenkonstruktion; Pearson Deutschland GmbH: Munich, Germany, 2011. [Google Scholar]
  39. Abramson, L.Y.; Seligman, M.E.; Teasdale, J.D. Learned helplessness in humans: Critique and reformulation. J. Abnorm. Psychol. 1978, 87, 49. [Google Scholar] [CrossRef]
  40. Association, A.P.; Association, A.P. Diagnostic and Statistical Manual of Mental Disorders: DSM-5; American Psychiatric Association: Arlington, VA, USA, 2013. [Google Scholar]
  41. Kørup, A.K.; Søndergaard, J.; Lucchetti, G.; Ramakrishnan, P.; Baumann, K.; Lee, E.; Frick, E.; Büssing, A.; Alyousefi, N.A.; Karimah, A.; et al. Religious values of physicians affect their clinical practice: A meta-analysis of individual participant data from 7 countries. Medicine 2019, 98, e17265. [Google Scholar] [CrossRef]
  42. Schnell, T.; Fuchs, D.; Hefti, R. Worldview Under Stress: Preliminary Findings on Cardiovascular and Cortisol Stress Responses Predicted by Secularity, Religiosity, Spirituality, and Existential Search. J. Relig. Health 2020, 59, 2969–2989. [Google Scholar] [CrossRef] [Green Version]
  43. Strametz, R.; Fendel, J.C.; Koch, P.; Roesner, H.; Zilezinski, M.; Bushuven, S.; Raspe, M. Prevalence of Second Victims, Risk Factors, and Support Strategies among German Nurses (SeViD-II Survey). Int. J. Environ. Res. Public Health 2021, 18, 594. [Google Scholar] [CrossRef]
  44. Maini, A.; Saravanan, Y.; Singh, T.A.; Fyfe, M. Coaching skills for medical education in a VUCA world. Med. Teach. 2020, 42, 1308–1309. [Google Scholar] [CrossRef] [PubMed]
  45. Hofmann, B. Is there a technological imperative in health care? Int. J. Technol. Assess Health Care 2002, 18, 675–689. [Google Scholar] [CrossRef] [PubMed]
  46. Guimarães, H.; Rocha, G.; Almeda, F.; Brites, M.; Van Goudoever, J.B.; Iacoponi, F.; Bellieni, C.; Buonocore, G. Ethics in neonatology: A look over Europe. J. Matern. Fetal. Neonatal. Med. 2012, 25, 984–991. [Google Scholar] [CrossRef] [PubMed]
  47. Ingravallo, F.; Cerquetti, I.; Vignatelli, L.; Albertini, S.; Bolcato, M.; Camerlingo, M.; Corbi, G.; De Leo, D.; De Nicolò, A.; De Stefano, F.; et al. Medico-legal assessment of personal damage in older people: Report from a multidisciplinary consensus conference. Int. J. Legal. Med. 2020, 134, 2319–2334. [Google Scholar] [CrossRef]
Figure 1. Boxplots of ten items of G-MISS-HP. Note. G-MISS-HP—Moral Injury Symptom Scale for Health Professionals, German version; MISS5i, MISS6i, MISS7i, MISS10i—inverted items scores due to positive wording.
Figure 1. Boxplots of ten items of G-MISS-HP. Note. G-MISS-HP—Moral Injury Symptom Scale for Health Professionals, German version; MISS5i, MISS6i, MISS7i, MISS10i—inverted items scores due to positive wording.
Ijerph 19 04857 g001
Figure 2. Confirmatory factor analysis of G-MISS-HP; 2-factor model. Note. Values on paths correspond to standardized estimates.
Figure 2. Confirmatory factor analysis of G-MISS-HP; 2-factor model. Note. Values on paths correspond to standardized estimates.
Ijerph 19 04857 g002
Figure 3. Confirmatory factor analysis of G-MISS-HP; 3-factor model. Note. Values on paths correspond to standardized estimates.
Figure 3. Confirmatory factor analysis of G-MISS-HP; 3-factor model. Note. Values on paths correspond to standardized estimates.
Ijerph 19 04857 g003
Figure 4. Receiver operator curve (ROC) for G-MISS-HP.
Figure 4. Receiver operator curve (ROC) for G-MISS-HP.
Ijerph 19 04857 g004
Figure 5. Frequency distribution of MISS10 in the original study by Mantri et al., when the participants, who omitted the item after they had read it, were treated as missing values [19].
Figure 5. Frequency distribution of MISS10 in the original study by Mantri et al., when the participants, who omitted the item after they had read it, were treated as missing values [19].
Ijerph 19 04857 g005
Figure 6. Frequency distribution of MISS10 in the original study by Mantri et al., when the participants who omitted the item after they had read it, were assigned a value of 1 [19].
Figure 6. Frequency distribution of MISS10 in the original study by Mantri et al., when the participants who omitted the item after they had read it, were assigned a value of 1 [19].
Ijerph 19 04857 g006
Figure 7. Frequency distribution of MISS10 in the present study, German version.
Figure 7. Frequency distribution of MISS10 in the present study, German version.
Ijerph 19 04857 g007
Table 1. Sample characteristics and descriptive statistics of the G-MISS-HP variables and G-SVESTR subscales.
Table 1. Sample characteristics and descriptive statistics of the G-MISS-HP variables and G-SVESTR subscales.
Characteristics % (n)M (SD)
Sociodemographic
Age(years) 40.67 (10.22)
GenderFemale64.1% (100)
Male34.6% (54)
Non-binary0.6% (1)
National Workplace Germany94.2% (147)
Austria1.3% (2)
Switzerland3.8% (6)
New Zeeland0.6% (1)
ProfessionPhysician16% (25)
Nurse (general)33.3% (52)
Paediatric nurse1.3% (2)
Paramedic23.7% (37)
Geriatric nurse9% (14)
Speech therapist (clinical linguistic)7.1% (11)
Medical assistant3.2% (5)
Medical student1.3% (2)
Physiotherapist0.6% (1)
Midwife0.6% (1)
Respiratory therapist1.3% (2)
Administration worker/Technician0.6% (1)
Working areaPrimary hospital12.2% (19)
Secondary hospital16.6% (26)
Tertiary hospital19.2% (30)
Rehabilitation clinic3.2% (5)
Pre-hospital emergency medicine/rescue service/patient transport25.6% (40)
Nursing homes8.3% (13)
Palliative care/hospices7.1% (11)
Ambulance7.1% (11)
Gerontological psychiatry0.6% (1)
Professional trainingCompleted89.7% (140)
Trainee9.6% (15)
Trainer60.3% (94)
G-MISS-HP9 Items (MISS1-MISS9) 32.31 (13.26)
G-SVESTRPsychological distress 2.92 (1.04)
Physical distress 2.92 (1.04)
Colleague support 2.54 (1.10)
Supervisor support 1.98 (0.65)
Institutional support 2.68 (1.21)
Professional self-efficacy 3.25 (1.18)
Turnover intentions 2.25 (1.07)
Absenteeism 2.20 (1.24)
Resilience 1.90 (1.02)
Note. G-MISS-HP—Moral Injury Symptom Scale for Health Professionals, German version; G-SVESTR—Second Victim Experience and Support tool, German version.
Table 2. Descriptive item statistics of G-MISS-HP.
Table 2. Descriptive item statistics of G-MISS-HP.
ItemMeanModeStandard Deviance
MISS1—Betrayal4.041.002.57
MISS2—Guilt3.861.002.67
MISS3—Shame4.311.002.93
MISS4—Trouble4.261.002.98
MISS5—Trust 13.972.002.34
MISS6—Meaning 13.032.001.91
MISS7—Forgiveness 14.626.002.34
MISS8—Failure2.531.002.07
MISS9—Punishment1.681.001.78
MISS10—Faith 17.7010.002.71
Note. G-MISS-HP—Moral Injury Symptom Scale for Health Professionals, German version; 1—inverted item scores due to positive wording.
Table 3. G-MISS-HP interitem correlation matrix (Pearson’s correlation coefficients).
Table 3. G-MISS-HP interitem correlation matrix (Pearson’s correlation coefficients).
ItemMISS1MISS2MISS3MISS4MISS5 1MISS6 1MISS7 1MISS8MISS9MISS10 1
MISS1—Betrayal1
MISS2—Guilt0.16 **1
MISS3—Shame0.32 **0.41 **1
MISS4—Trouble0.35 **0.35 **0.73 **1
MISS5—Trust 10.26 **0.100.22 **0.25 **1
MISS6—Meaning 10.080.150.26 **0.19 *0.45 **1
MISS7—Forgiveness 10.140.17 *0.20 *0.19 *0.25 **0.34 **1
MISS8—Failure0.20 *0.35 **0.400.35 **0.34 **0.47 **0.36 **1
MISS9—Punishment0.140.17 *0.36 **0.35 **0.39 **0.37 **0.35 **0.50 **1
MISS10—Faith 1−0.02−0.09−0.050.001−0.010.09−0.01−0.11−0.23 **1
Note. 1—inverted item score due to positive wording; *—the correlation is significant at the p < 0.05 level (two-tailed); **—the correlation is significant at the p < 0.01 level (two-tailed).
Table 4. Reliability analysis of G-MISS-HP.
Table 4. Reliability analysis of G-MISS-HP.
ItemScale Mean If Item DeletedScale Variance If Item DeletedCorrected Item–Total CorrelationCronbach’s Alpha If Item Deleted
MISS1—Betrayal35.96150.240.340.72
MISS2—Guilt36.15147.620.360.72
MISS3—Shame35.70129.280.600.67
MISS4—Trouble35.74129.080.590.68
MISS5—Trust 136.03148.610.420.71
MISS6—Meaning 136.97152.900.460.71
MISS7—Forgiveness 135.39151.270.370.72
MISS8—Failure37.47145.710.560.69
MISS9—Punishment38.33154.440.460.71
MISS10—Faith 132.31175.85−0.070.79
Note. G-MISS-HP—Moral Injury Symptom Scale for Health Professionals, German version; 1—inverted item score due to positive wording.
Table 5. Structural matrix factor loadings of principal axis factoring analysis with Promax rotation for 9 items of G-MISS-HP (n1 = 78; first half of the sample).
Table 5. Structural matrix factor loadings of principal axis factoring analysis with Promax rotation for 9 items of G-MISS-HP (n1 = 78; first half of the sample).
ItemFactor 1Factor 2
MISS1—Betrayal0.100.40
MISS2—Guilt0.060.43
MISS3—Shame0.320.85
MISS4—Trouble0.310.93
MISS5—Trust 10.610.08
MISS6—Meaning 10.780.15
MISS7—Forgiveness 10.470.09
MISS8—Failure0.680.46
MISS9—Punishment0.790.41
Initial eigenvalues3.441.33
Kaiser–Meyer–Olkin (KMO) = 0.79
Bartlett’s Test of Sphericity = χ2 = 384.24; p < 0.001
Note. G-MISS-HP—Moral Injury Symptom Scale for Health Professionals, German version; 1—inverted item scores due to positive wording. Bold factor loadings indicate the factor assigned.
Table 6. Structural matrix factor loadings of principal components analysis with promax rotation for 9 items of G-MISS-HP (n2 = 78; second half of the sample).
Table 6. Structural matrix factor loadings of principal components analysis with promax rotation for 9 items of G-MISS-HP (n2 = 78; second half of the sample).
ItemFactor 1Factor 2
MISS1—Betrayal0.210.55
MISS2—Guilt0.250.63
MISS3—Shame0.400.87
MISS4—Trouble0.370.86
MISS5—Trust 10.740.51
MISS6—Meaning 10.720.41
MISS7—Forgiveness 10.690.27
MISS8—Failure0.770.21
MISS9—Punishment0.630.24
Initial eigenvalues3.700.90
Kaiser–Meyer–Olkin (KMO) = 0.81
Bartlett’s Test of Sphericity = χ2 = 188.57; p < 0.001
Note. G-MISS-HP—Moral Injury Symptom Scale for Health Professionals, German version; 1—inverted item scores due to positive wording. Bold factor loadings indicate the factor assigned.
Table 7. Fit indices and chi-square difference tests for two different models (two-factor models vs. three-factor models).
Table 7. Fit indices and chi-square difference tests for two different models (two-factor models vs. three-factor models).
Modelχ2(df)∆χ2(df)pCFINFIRMSEAIFIAICECVI
2 Factors31.58 (32) 0.210.980.920.040.9687.560.57
3 Factors25.31 (32) 0.390.990.940.020.9967.310.43
2 Factors vs.
3 Factors
6.72 (2)0.04
Note. CFI—comparative fit index; NFI—normed fit index; RMSEA—root mean square error of approximation; IFI—incremental fit index; AIC—Akaike information criterion; ECVI—expected cross validation index.
Table 8. Pearson’s correlations between G-MISS-HP Score and G-SVESTR subscales.
Table 8. Pearson’s correlations between G-MISS-HP Score and G-SVESTR subscales.
Variable12345678910
1. G-MISS-HP--
2. Psychological distress0.55 **--
3. Physical distress0.59 **0.65 **--
4. Colleague support0.49 **0.35 **0.37 **--
5. Supervisor support0.29 **0.17 *0.28 **0.48 **--
6. Institutional support0.33 **0.36 **0.28 **0.47 **0.40 **--
7. Professional self-efficacy0.58 **0.65 **0.58 **0.45 **0.29 **0.38 **--
8. Turnover intentions0.59 **0.48 **0.62 **0.53 **0.51 **0.49 *0.56 **--
9. Absenteeism0.44 **0.43 **0.59 **0.27 *0.33 **0.20 *0.45 **0.54 **--
10. Resilience0.33 **0.050.120.19 *0.24 *0.130.22 **0.25 **0.19 *--
Note. G-MISS-HP—Moral Injury Symptom Scale for Health Professionals, German version; **—correlation is significant at the 0.01 level (2-tailed); *—correlation is significant at the 0.05 level (2-tailed).
Publisher’s Note: MDPI stays neutral with regard to jurisdictional claims in published maps and institutional affiliations.

Share and Cite

MDPI and ACS Style

Trifunovic-Koenig, M.; Strametz, R.; Gerber, B.; Mantri, S.; Bushuven, S. Validation of the German Version of the Moral Injury Symptom and Support Scale for Health Professionals (G-MISS-HP) and Its Correlation to the Second Victim Phenomenon. Int. J. Environ. Res. Public Health 2022, 19, 4857. https://doi.org/10.3390/ijerph19084857

AMA Style

Trifunovic-Koenig M, Strametz R, Gerber B, Mantri S, Bushuven S. Validation of the German Version of the Moral Injury Symptom and Support Scale for Health Professionals (G-MISS-HP) and Its Correlation to the Second Victim Phenomenon. International Journal of Environmental Research and Public Health. 2022; 19(8):4857. https://doi.org/10.3390/ijerph19084857

Chicago/Turabian Style

Trifunovic-Koenig, Milena, Reinhard Strametz, Bianka Gerber, Sneha Mantri, and Stefan Bushuven. 2022. "Validation of the German Version of the Moral Injury Symptom and Support Scale for Health Professionals (G-MISS-HP) and Its Correlation to the Second Victim Phenomenon" International Journal of Environmental Research and Public Health 19, no. 8: 4857. https://doi.org/10.3390/ijerph19084857

APA Style

Trifunovic-Koenig, M., Strametz, R., Gerber, B., Mantri, S., & Bushuven, S. (2022). Validation of the German Version of the Moral Injury Symptom and Support Scale for Health Professionals (G-MISS-HP) and Its Correlation to the Second Victim Phenomenon. International Journal of Environmental Research and Public Health, 19(8), 4857. https://doi.org/10.3390/ijerph19084857

Note that from the first issue of 2016, this journal uses article numbers instead of page numbers. See further details here.

Article Metrics

Back to TopTop