Modulatory Effect of Papaya Extract against Chlorpyrifos-Induced Oxidative Stress, Immune Suppression, Endocrine Disruption, and DNA Damage in Female Clarias gariepinus
Abstract
1. Introduction
2. Materials and Methods
2.1. Plant Authentication, Aqueous Extraction, and Bioactive Components of the Extract
2.2. Fish Maintenance
2.3. Experimental Design
2.3.1. Determination 96 h LC50 of Chloropyrofis
2.3.2. Sublethal Exposure
2.3.3. Blood Sampling
2.3.4. Biochemical Assays
2.3.5. Determination of Tissue Lipid Peroxidation and Antioxidant Enzyme Activities
2.3.6. Immunological Assays
2.3.7. Reproductive Hormones Examination
2.3.8. Hepatic DNA Fragmentation Measurement
2.4. Statistical Analyses
3. Results
3.1. Determination of the 96 h LC50 of Chlorpyrifos
3.2. Biochemical Analysis
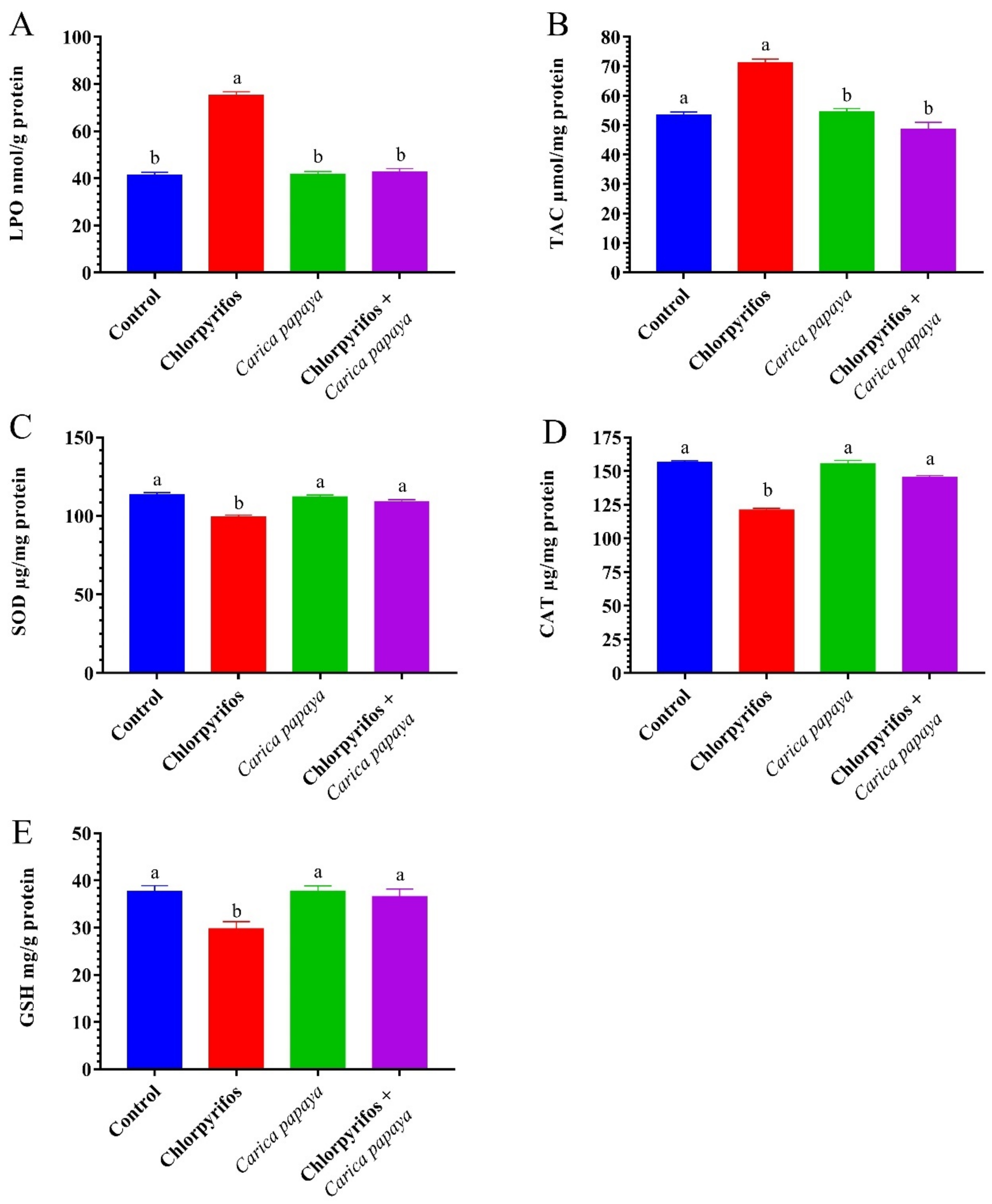
3.3. Lipid Peroxidation and Antioxidant Enzyme Activities
3.4. Innate Immune Response
3.5. Reproductive Hormones Analysis
3.6. Liver DNA Fragmentation
4. Discussion
5. Conclusions
Author Contributions
Funding
Institutional Review Board Statement
Informed Consent Statement
Data Availability Statement
Acknowledgments
Conflicts of Interest
References
- Narra, M.R.; Rajender, K.; Reddy, R.R.; Rao, J.V.; Begum, G. The role of vitamin C as antioxidant in protection of biochemical and haematological stress induced by chlorpyrifos in freshwater fish Clarias batrachus. Chemosphere 2015, 132, 172–178. [Google Scholar] [CrossRef] [PubMed]
- Palma, P.; Palma, V.; Fernandes, R.; Soares, A.; Barbosa, I. Acute toxicity of atrazine, endosulfan sulphate and chlorpyrifos to Vibrio fischeri, Thamnocephalus platyurus and Daphnia magna, relative to their concentrations in surface waters from the Alentejo region of Portugal. Bull. Environ. Contam. Toxicol. 2008, 81, 485–489. [Google Scholar] [CrossRef] [PubMed]
- Xing, H.; Han, Y.; Li, S.; Wang, J.; Wang, X.; Xu, S. Alterations in mRNA expression of acetylcholinesterase in brain and muscle of common carp exposed to atrazine and chlorpyrifos. Ecotoxicol. Environ. Saf. 2010, 73, 1666–1670. [Google Scholar] [CrossRef]
- John, E.M.; Shaike, J.M. Chlorpyrifos: Pollution and remediation. Environ. Chem. Lett. 2015, 13, 269–291. [Google Scholar] [CrossRef]
- Majumder, R.; Kaviraj, A. Acute and sublethal effects of organophosphate insecticide chlorpyrifos on freshwater fish Oreochromis niloticus. Drug Chem. Toxicol. 2019, 42, 487–495. [Google Scholar] [CrossRef]
- Ahmed, N.S.; Mohamed, A.S.; Abdel-Wahhab, M.A. Chlorpyrifos-induced oxidative stress and histological changes in retinas and kidney in rats: Protective role of ascorbic acid and alpha tocopherol. Pestic. Biochem. Physiol. 2010, 98, 33–38. [Google Scholar] [CrossRef]
- Oruç, E.Ö. Oxidative stress, steroid hormone concentrations and acetylcholinesterase activity in Oreochromis niloticus exposed to chlorpyrifos. Pestic. Biochem. Physiol. 2010, 96, 160–166. [Google Scholar] [CrossRef]
- Richendrfer, H.; Pelkowski, S.D.; Colwill, R.M.; Créton, R. Developmental sub-chronic exposure to chlorpyrifos reduces anxiety-related behavior in zebrafish larvae. Neurotoxicol. Teratol. 2012, 34, 458–465. [Google Scholar] [CrossRef]
- Hussein, R.M.; Mohamed, W.R.; Omar, H.A. A neuroprotective role of kaempferol against chlorpyrifos-induced oxidative stress and memory deficits in rats via GSK3β-Nrf2 signaling pathway. Pestic. Biochem. Physiol. 2018, 152, 29–37. [Google Scholar] [CrossRef]
- Xing, H.; Wang, X.; Sun, G.; Gao, X.; Xu, S.; Wang, X. Effects of atrazine and chlorpyrifos on activity and transcription of glutathione S-transferase in common carp (Cyprinus carpio L.). Environ. Toxicol. Pharmacol. 2012, 33, 233–244. [Google Scholar] [CrossRef]
- Zhang, Z.; Liu, Q.; Cai, J.; Yang, J.; Shen, Q.; Xu, S. Chlorpyrifos exposure in common carp (Cyprinus carpio L.) leads to oxidative stress and immune responses. Fish Shellfish Immunol. 2017, 67, 604–611. [Google Scholar] [CrossRef] [PubMed]
- Xing, H.; Li, S.; Wang, X.; Gao, X.; Xu, S.; Wang, X. Effects of atrazine and chlorpyrifos on the mRNA levels of HSP70 and HSC70 in the liver, brain, kidney and gill of common carp (Cyprinus carpio L.). Chemosphere 2013, 90, 910–916. [Google Scholar] [CrossRef] [PubMed]
- Wang, J.; Wang, J.; Zhu, L.; Xie, H.; Shao, B.; Hou, X. The enzyme toxicity and genotoxicity of chlorpyrifos and its toxic metabolite TCP to zebrafish Danio rerio. Ecotoxicology 2014, 23, 1858–1869. [Google Scholar] [CrossRef]
- Jiao, W.; Han, Q.; Xu, Y.; Jiang, H.; Xing, H.; Teng, X. Impaired immune function and structural integrity in the gills of common carp (Cyprinus carpio L.) caused by chlorpyrifos exposure: Through oxidative stress and apoptosis. Fish Shellfish Immunol. 2019, 86, 239–245. [Google Scholar] [CrossRef] [PubMed]
- Hamed, H.S.; El-Sayed, Y.S. Antioxidant activities of Moringa oleifera leaf extract against pendimethalin-induced oxidative stress and genotoxicity in Nile tilapia, Oreochromis niloticus (L.). Fish Physiol. Biochem. 2019, 45, 71–82. [Google Scholar] [CrossRef]
- Van Doan, H.; Hoseinifar, S.H.; Sringarm, K.; Jaturasitha, S.; Yuangsoi, B.; Dawood, M.A.; Esteban, M.Á.; Ringø, E.; Faggio, C. Effects of Assam tea extract on growth, skin mucus, serum immunity and disease resistance of Nile tilapia (Oreochromis niloticus) against Streptococcus agalactiae. Fish Shellfish Immunol. 2019, 93, 428–435. [Google Scholar] [CrossRef] [PubMed]
- Abdel-Tawwab, M.; Hamed, H.S. Antagonistic effects of dietary guava (Psidium guajava) leaves extract on growth, hemato-biochemical, and immunity response of cypermethrin-intoxicated Nile tilapia, Oreochromis niloticus, fingerlings. Aquaculture 2020, 529, 735668. [Google Scholar] [CrossRef]
- García-Beltrán, J.M.; Mansour, A.T.; Alsaqufi, A.S.; Ali, H.M.; Esteban, M.Á. Effects of aqueous and ethanolic leaf extracts from drumstick tree (Moringa oleifera) on gilthead seabream (Sparus aurata L.) leucocytes, and their cytotoxic, antitumor, bactericidal and antioxidant activities. Fish Shellfish Immunol. 2020, 106, 44–55. [Google Scholar] [CrossRef]
- Hamed, H.S.; Ismal, S.M.; Faggio, C. Effect of allicin on antioxidant defense system, and immune response after carbofuran exposure in Nile tilapia, Oreochromis niloticus. Comp. Biochem. Physiol. C Toxicol. 2021, 240, 108919. [Google Scholar] [CrossRef]
- Sinha, R.; Jindal, R.; Faggio, C. Nephroprotective effect of Emblica officinalis fruit extract against malachite green toxicity in piscine model: Ultrastructure and oxidative stress study. Microsc. Res. Tech. 2021, 84, 1911–1919. [Google Scholar] [CrossRef]
- Sinha, R.; Jindal, R.; Faggio, C. Protective effect of Emblica officinalis in Cyprinus carpio against hepatotoxicity induced by malachite green: Ultrastructural and molecular analysis. Appl. Sci. 2021, 11, 3507. [Google Scholar] [CrossRef]
- Rashidian, G.; Boldaji, J.T.; Rainis, S.; Prokić, M.D.; Faggio, C. Oregano (Origanum vulgare) extract enhances zebrafish (Danio rerio) growth performance, serum and mucus innate immune responses and resistance against Aeromonas hydrophila challenge. Animals 2021, 11, 299. [Google Scholar] [CrossRef] [PubMed]
- Madinah, N.; Nozmo, M.; Ezekiel, I. The protective effects of aqueous extract of Carica papaya seeds in paracetamol induced nephrotoxicity in male wistar rats. Afr. Health Sci. 2015, 15, 598–605. [Google Scholar] [CrossRef] [PubMed]
- Sengupta, S.; Das, B.; Prasad, M.; Acharyya, P.; Ghose, T.K. A comparative survey of genetic diversity among a set of Caricaceae accessions using microsatellite markers. SpringerPlus 2013, 2, 345. [Google Scholar] [CrossRef] [PubMed]
- Zhou, L.; David, A.C.; Robert, E.P. Defoliation and fruit removal effects on papaya fruit production, sugar accumulation, and sucrose metabolism. J. Am. Soc. Hortic. Sci. 2000, 125, 644–652. [Google Scholar] [CrossRef]
- Sadek, K.M. Antioxidant and immunostimulant effect of Carica papaya Linn. aqueous extract in acrylamide intoxicated rats. Acta Inform. Med. 2012, 20, 180–185. [Google Scholar] [CrossRef]
- Otsuki, N.; Dang, N.H.; Kumagai, E.; Kondo, A.; Iwata, S.; Morimoto, C. Aqueous extract of Carica papaya leaves exhibits anti-tumor activity and immunomodulatory effects. J. Ethnopharmacol. 2010, 127, 760–767. [Google Scholar] [CrossRef]
- Mannaa, F.A.; Abdel-Wahhab, K.G.; Abdel-Wahhab, M.A. Prevention of cardiotoxicity of aflatoxin B1 via dietary supplementation of papaya fruit extracts in rats. Cytotechnology 2014, 66, 327–334. [Google Scholar] [CrossRef]
- Li, M.; Su, E.; You, P.; Gong, X.; Sun, M.; Xu, D.; Wei, D. Purification and in situ immobilization of papain with aqueous two-phase system. PLoS ONE 2010, 5, e15168. [Google Scholar] [CrossRef]
- Khan, J.; Yadav, J.; Srivastava, Y.; Pal, P. In vitro evaluation of antimicrobial properties of Carica papaya. Int. J. Biol. Pharm. Allied Sci. 2012, 1, 933–945. [Google Scholar]
- Urquiaga, I.; Leighton, F. Plant polyphenol antioxidants and oxidative stress. Biol. Res. 2000, 33, 55–64. [Google Scholar] [CrossRef] [PubMed]
- La Marca, M.; Beffy, P.; Della Croce, C.; Gervasi, P.; Iori, R.; Puccinelli, E.; Longo, V. Structural influence of isothiocyanates on expression of cytochrome P450, phase II enzymes, and activation of Nrf2 in primary rat hepatocytes. Food Chem. Toxicol. 2012, 50, 2822–2830. [Google Scholar] [CrossRef] [PubMed]
- Oluah, N.S.; Mgbenka, B.O.; Nwani, C.D.; Aguzie, I.O.; Ngene, I.C.; Oluah, C. Tissue-specific changes in Ca2+-ATPase and Na+/K+-ATPase activities in freshwater African catfish Clarias gariepinus juvenile exposed to oxadiazon. J. Basic Appl. Zool. 2020, 81, 51. [Google Scholar] [CrossRef]
- Hamed, H.S. Ameliorative effects of Spirulina platensis on deltamethrin-induced biochemical alterations and oxidative stress in the African catfish; Clarias gariepinus. Open J. Mar. Sci. 2016, 6, 62112. [Google Scholar] [CrossRef]
- Rocha, S.; Streit, D.P., Jr.; Marques, L.S.; Varela, A.S., Jr.; Corcini, C.D.; Hoshiba, M.A. Toxic effects of mercury chloride on silver catfish (Rhamdia quelen) spermatozoa. Aquacult. Res. 2018, 49, 963–968. [Google Scholar] [CrossRef]
- Hamed, H.S.; Osman, A.G. Modulatory effect of lycopene against carbofuran toxicity in African catfish, Clarias gariepinus. Fish Physiol. Biochem. 2017, 43, 1721–1731. [Google Scholar] [CrossRef]
- Harikrishnan, R.; Devi, G.; Balasundaram, C.; Van Doan, H.; Jaturasitha, S.; Ringø, E.; Faggio, C. Effect of chrysophanic acid on immune response and immune genes transcriptomic profile in Catla catla against Aeromonas hydrophila. Sci. Rep. 2021, 11, 612. [Google Scholar] [CrossRef]
- Dhanulkar, M.; Tirpude, J.; Pradhan, N.; Mohite, A.; Khapekar, H.; Gahukar, P. Assessment of toxicity of 2-methyltetrahydrofuran on the ovarian tissue of african catfish Clarias gariepinus (burchell, 1822)-a histopathological study. Int. J. Res. Biosci. Agric. Technol. 2021, 18, 179–187. [Google Scholar]
- Ali, A.M.; Mohamed, N.A.; Bakhoum, S.A.; Abdel-Kader, H.H.; Ahmed, M.A. Positive Effects of Meso-2, 3-Dimercaptosuccinic Acid against Oxidative Stress of Lead and Mercury in the Catfish Clarias gariepinus of Lake Maryout, Egypt. Egypt. J. Aquat. Biol. Fish. 2020, 24, 391–407. [Google Scholar] [CrossRef]
- Gautam, G.J.; Chaube, R. Differential effects of heavy metals (cadmium, cobalt, lead and mercury) on oocyte maturation and ovulation of the catfish Heteropneustes fossilis: An in vitro study. Turkish J. Fish. Aquat. Sci. 2018, 18, 1205–1214. [Google Scholar]
- Adeniyi, F.; Ogunyemi, E. Toxicity studies on an unripe Carica papaya aqueous extract: Biochemical and haematological effects in wistar albino rats. J. Med. Plant Res. 2007, 1, 1–4. [Google Scholar]
- El-Nekeety, A.A.; Abdel-Wahhab, K.G.; Abdel-Aziem, S.H.; Mannaa, F.A.; Hassan, N.S.; Abdel-Wahhab, M.A. Papaya fruits extracts enhance the antioxidant capacity and modulate the genotoxicity and oxidative stress in the kidney of rats fed ochratoxin A-contaminated diet. J. Appl. Pharm. Sci. 2017, 7, 111–121. [Google Scholar]
- Abouzed, T.K.; Sadek, K.M.; Ayoub, M.M.; Saleh, E.A.; Nasr, S.M.; El-Sayed, Y.S.; Shoukry, M. Papaya extract upregulates the immune and antioxidants-related genes, and proteins expression in milk somatic cells of Friesian dairy cows. J. Anim. Physiol. Anim. Nutr. 2019, 103, 407–415. [Google Scholar] [CrossRef] [PubMed]
- Litchfield, J.J.; Wilcoxon, F. A simplified method of evaluating dose-effect experiments. J. Pharmacol. Exp. Ther. 1949, 96, 99–113. [Google Scholar] [PubMed]
- Foster, L.B.; Dunn, R.T. Single-antibody technique for radioimmunoassay of cortisol in unextracted serum or plasma. Clin. Chem. 1974, 20, 365–368. [Google Scholar] [CrossRef] [PubMed]
- Reitman, S.; Frankel, S. A colorimetric method for the determination of serum glutamic oxalacetic and glutamic pyruvic transaminases. Am. J. Clin. Pathol. 1957, 28, 56–63. [Google Scholar] [CrossRef]
- Henry, R. Colorimetric determination of total protein. In Clinical Chemistry; Harper and Row Publisher: New York, NY, USA, 1964; p. 181. [Google Scholar]
- Doumas, B.T.; Watson, W.A.; Biggs, H.G. Albumin standards and the measurement of serum albumin with bromcresol green. Clin. Chim. Acta 1971, 31, 87–96. [Google Scholar] [CrossRef]
- Knedel, M.; Böttger, R. Eine kinetische Methode zur Bestimmung der Aktivität der Pseudocholinesterase (Acylcholin-acylhydrolase 3.1. 1.8.). Klin. Wochenschr. 1967, 45, 325–327. [Google Scholar] [CrossRef]
- Uchiyama, M.; Mihara, M. Determination of malonaldehyde precursor in tissues by thiobarbituric acid test. Anal. Biochem. 1978, 86, 271–278. [Google Scholar] [CrossRef]
- Nishikimi, M.; Rao, N.A.; Yagi, K. The occurrence of superoxide anion in the reaction of reduced phenazine methosulfate and molecular oxygen. Biochem. Biophys. Res. Commun. 1972, 46, 849–854. [Google Scholar] [CrossRef]
- Aebi, H. Catalase in vitro. In Methods Enzymol; Elsevier: Amsterdam, The Netherlands, 1984; Volume 105, pp. 121–126. [Google Scholar]
- Koracevic, D.; Koracevic, G.; Djordjevic, V.; Andrejevic, S.; Cosic, V. Method for the measurement of antioxidant activity in human fluids. J. Clin. Pathol. 2001, 54, 356–361. [Google Scholar] [CrossRef] [PubMed]
- Beutler, E. Improved method for the determination of blood glutathione. J. Lab. Clin. Med. 1963, 61, 882–888. [Google Scholar] [PubMed]
- Secombes, C. Isolation of salmonid macrophages and analysis of their killing activity. Tech. Fish Immunol. 1990, 1, 137–154. [Google Scholar]
- Siwicki, A.I.; Anderson, D.P. Nonspecific defense mechanisms assay in fish. II. Potential killing activity of neutrophils and macrophages, lysozyme activity in serum and organs and total immunoglobulin (Ig) level in serum. In Fish Diseases Diagnosis and Preventions Methods; Siwicki, A.I., Anderson, D.P., Waluga, J., Eds.; Wydawnictwo Instytutu Rybactwa Strodladowego: Olsztyn, Poland, 1993; pp. 105–111. [Google Scholar]
- Abraham, G. The application of natural steroid radioimmunoassay to gynecologic endocrinology. In Radioassay System in Clinical Endocrinology; Abraham, G., Ed.; Marcel Dekker: New York, NY, USA, 1981; pp. 475–529. [Google Scholar]
- Knobil, E. The Neuroendocrine Control of the Menstrual Cycle. In Proceedings of the 1979 Laurentian Hormone Conference; Greep, R.O., Ed.; Academic Press: Boston, MA, USA, 1980; Volume 36, pp. 53–88. [Google Scholar]
- Tietz, N.W.; Finley, P.R.; Pruden, E. Clinical Guide to Laboratory Tests, 3rd ed.; WB Saunders Company: Philadelphia, PA, USA, 1995; Volume 624. [Google Scholar]
- Kurita-Ochiai, T.; Fukushima, K.; Ochiai, K. Lipopolysaccharide stimulates butyric acid-induced apoptosis in human peripheral blood mononuclear cells. Infect. Immun. 1999, 67, 22–29. [Google Scholar] [CrossRef] [PubMed]
- Rao, J.V.; Rani, C.S.; Kavitha, P.; Rao, R.N.; Madhavendra, S. Toxicity of chlorpyrifos to the fish Oreochromis mossambicus. Bull. Environ. Contam. Toxicol. 2003, 70, 985–992. [Google Scholar] [CrossRef]
- Paracampo, A.; Solis, M.; Bonetto, C.; Mugni, H. Acute toxicity of chlorpyrifos to the non-target organism Cnesterodon decemmaculatus. Int. J. Environ. Health Res. 2015, 25, 96–103. [Google Scholar] [CrossRef]
- Yonar, M.E. Chlorpyrifos-induced biochemical changes in Cyprinus carpio: Ameliorative effect of curcumin. Ecotoxicol. Environ. Saf. 2018, 151, 49–54. [Google Scholar] [CrossRef]
- Abdel-Wahhab, M.A.; Aljawish, A.; Kenawy, A.M.; El-Nekeety, A.A.; Hamed, H.S.; Abdel-Aziem, S.H. Grafting of gallic acid onto chitosan nano particles enhances antioxidant activities in vitro and protects against ochratoxin A toxicity in catfish (Clarias gariepinus). Environ. Toxicol. Pharmacol. 2016, 41, 279–288. [Google Scholar] [CrossRef]
- Hamed, H.S.; Abdel-Tawwab, M. Ameliorative effect of propolis supplementation on alleviating bisphenol-A toxicity: Growth performance, biochemical variables, and oxidative stress biomarkers of Nile tilapia, Oreochromis niloticus (L.) fingerlings. Comp. Biochem. Physiol. C Toxicol. 2017, 202, 63–69. [Google Scholar] [CrossRef]
- Sadeque, M.Z.; Begum, Z.A. Protective effect of dried fruits of Carica papaya on hepatotoxicity in rat. Bangladesh J. Pharmacol. 2010, 5, 48–50. [Google Scholar] [CrossRef]
- Adel, M.; Dadar, M.; Khajavi, S.H.; Pourgholam, R.; Karimí, B.; Velisek, J. Hematological, biochemical and histopathological changes in Caspian brown trout (Salmo trutta caspius Kessler, 1877) following exposure to sublethal concentrations of chlorpyrifos. Toxin Rev. 2017, 36, 73–79. [Google Scholar] [CrossRef]
- Barton, B.A. Stress in fishes: A diversity of responses with particular reference to changes in circulating corticosteroids. Integr. Comp. Biol. 2002, 42, 517–525. [Google Scholar] [CrossRef] [PubMed]
- Mansour, A.T.; Espinosa, C.; García-Beltrán, J.M.; Miao, L.; Francisco, D.C.C.; Alsaqufi, A.S.; Esteban, M.Á. Dietary supplementation of drumstick tree, Moringa oleifera, improves mucosal immune response in skin and gills of seabream, Sparus aurata, and attenuates the effect of hydrogen peroxide exposure. Fish. Physiol. Biochem. 2020, 46, 981–996. [Google Scholar] [CrossRef]
- Salbego, J.; Pretto, A.; Gioda, C.R.; de Menezes, C.C.; Lazzari, R.; Radünz Neto, J.; Baldisserotto, B.; Loro, V.L. Herbicide formulation with glyphosate affects growth, acetylcholinesterase activity, and metabolic and hematological parameters in piava (Leporinus obtusidens). Arch. Environ. Contam. Toxicol. 2010, 58, 740–745. [Google Scholar] [CrossRef]
- Hamed, H.S.; Ali, R.M.; Shaheen, A.A.; Hussein, N.M. Chitosan nanoparticles alleviated endocrine disruption, oxidative damage, and genotoxicity of Bisphenol-A-intoxicated female African catfish. Comp. Biochem. Physiol. C Toxicol. 2021, 248, 109104. [Google Scholar] [CrossRef]
- Kalender, Y.; Kaya, S.; Durak, D.; Uzun, F.G.; Demir, F. Protective effects of catechin and quercetin on antioxidant status, lipid peroxidation and testis-histoarchitecture induced by chlorpyrifos in male rats. Environ. Toxicol. Pharmacol. 2012, 33, 141–148. [Google Scholar] [CrossRef]
- Acker, C.I.; Nogueira, C.W. Chlorpyrifos acute exposure induces hyperglycemia and hyperlipidemia in rats. Chemosphere 2012, 89, 602–608. [Google Scholar] [CrossRef] [PubMed]
- Hamza, R.Z.M.M. Hyperglycemic effect of chlorpyrifos, profenofos and possible ameliorative role of propolis and ginseng. Sci. Agric. 2014, 5, 9–14. [Google Scholar]
- Kammon, A.; Brar, R.; Sodhi, S.; Banga, H.; Singh, J.; Nagra, N. Chlorpyrifos chronic toxicity in broilers and effect of vitamin C. Open Vet. J. 2011, 1, 21–27. [Google Scholar] [PubMed]
- Duttaroy, A.; Zimliki, C.L.; Gautam, D.; Cui, Y.; Mears, D.; Wess, J. Muscarinic stimulation of pancreatic insulin and glucagon release is abolished in m3 muscarinic acetylcholine receptor-deficient mice. Diabetes 2004, 53, 1714–1720. [Google Scholar] [CrossRef]
- van Koppen, C.J.; Kaiser, B. Regulation of muscarinic acetylcholine receptor signaling. Pharmacol. Ther. 2003, 98, 197–220. [Google Scholar] [CrossRef]
- Montgomery, M.; Kamel, F.; Saldana, T.; Alavanja, M.; Sandler, D. Incident diabetes and pesticide exposure among licensed pesticide applicators: Agricultural Health Study, 1993–2003. Am. J. Epidemiol. 2008, 167, 1235–1246. [Google Scholar] [CrossRef] [PubMed]
- Gilon, P.; Henquin, J.-C. Mechanisms and physiological significance of the cholinergic control of pancreatic β-cell function. Endocr. Rev. 2001, 22, 565–604. [Google Scholar] [PubMed]
- Joshi, A.K.R.; Rajini, P. Hyperglycemic and stressogenic effects of monocrotophos in rats: Evidence for the involvement of acetylcholinesterase inhibition. Exp. Toxicol. Pathol. 2012, 64, 115–120. [Google Scholar] [CrossRef]
- Ellis, A.; Hastings, T.; Munro, A. The role of Aeromonas salmonicida extracellular products in the pathology of furunculosis. J. Fish Dis. 1981, 4, 41–51. [Google Scholar] [CrossRef]
- Mansour, A.T.; Miao, L.; Espinosa, C.; García-Beltrán, J.M.; Francisco, D.C.C.; Esteban, M.Á. Effects of dietary inclusion of Moringa oleifera leaves on growth and some systemic and mucosal immune parameters of seabream. Fish Physiol. Biochem. 2018, 44, 1223–1240. [Google Scholar] [CrossRef]
- Sallam, A.E.; Mansour, A.T.; Srour, T.M.; Goda, A.M.A. Effects of different carotenoid supplementation sources with or without sodium taurocholate on growth, feed utilization, carotenoid content and antioxidant status in fry of the European seabass, Dicentrarchus Labrax. Aquacultuture Res. 2017, 48, 848–3858. [Google Scholar] [CrossRef]
- Kori-Siakpere, O. Some alterations in haematological parameters in Clarias, isheriensis (Sydenham) exposed to sublethal concentration of water-born lead. BioScience Res. Commun. 1995, 8, 93–98. [Google Scholar]
- Jaffer, N.S.; Rabee, A.M.; Al-Chalabi, S.M. Biochemical and hematological parameters and histological alterations in fish Cyprinus carpio L. as biomarkers for water pollution with chlorpyrifos. Hum. Ecol. Risk Assess. Int. J. 2017, 23, 605–616. [Google Scholar] [CrossRef]
- Velisek, J.; Stara, A.; Kolarova, J.; Svobodova, Z. Biochemical, physiological and morfological responses in common carp (Cyprinus carpio L.) after long-term exposure to terbutryn in real environmental concentration. Pestic. Biochem. Physiol. 2011, 100, 305–313. [Google Scholar] [CrossRef]
- Forouhar Vajargah, M.; Imanpoor, M.R.; Shabani, A.; Hedayati, A.; Faggio, C. Effect of long-term exposure of silver nanoparticles on growth indices, hematological and biochemical parameters and gonad histology of male goldfish (Carassius auratus gibelio). Microsc. Res. Tech. 2019, 82, 1224–1230. [Google Scholar] [CrossRef] [PubMed]
- Mansour, W.A.; Abdelsalam, N.R.; Tanekhy, M.; Khaled, A.A.; Mansour, A.T. Toxicity, inflammatory and antioxidant genes expression, and physiological changes of green synthesis silver nanoparticles on Nile tilapia (Oreochromis niloticus) fingerlings. Comp. Biochem. Physiol. C Toxicol. 2021, 247, 109068. [Google Scholar] [CrossRef] [PubMed]
- Khalil, H.S.; Mansour, A.T.; Goda, A.M.A.; Omar, E.A. Effect of selenium yeast supplementation on growth performance, feed utilization, lipid profile, liver and intestine histological changes, and economic benefit in meagre, Argyrosomus regius, fingerlings. Aquaculture 2019, 501, 135–143. [Google Scholar] [CrossRef]
- Stegeman, J.; Brouwer, M.; Richard, T.; Förlin, L.; Fowler, B.; Sanders, B.; Van Veld, P. Molecular responses to environmental contamination: Enzyme and protein systems as indicators of chemical exposure and effect. In Biomarkers: Biochemical, Physiological and Histological Markers of Anthropogenic Stress, 1st ed.; Huggett, R.J., Klmerle, R.A., Mehrle, P.M., Bergman, H.L., Eds.; Lewis Publishers: Chelsea, MI, USA, 1992; pp. 235–335. [Google Scholar]
- Ahmadifar, E.; Sheikhzadeh, N.; Roshanaei, K.; Dargahi, N.; Faggio, C. Can dietary ginger (Zingiber officinale) alter biochemical and immunological parameters and gene expression related to growth, immunity and antioxidant system in zebrafish (Danio rerio)? Aquaculture 2019, 507, 341–348. [Google Scholar] [CrossRef]
- Sula, E.; Aliko, V.; Marku, E.; Nuro, A.; Faggio, C. Evaluation of kidney histopathological alterations in crucian carp, Carassius carassius, from a pesticide and PCB-contaminated freshwater ecosystem, using light microscopy and organ index mathematical model. Int. J. Aquat. Biol. 2020, 8, 154–165. [Google Scholar]
- Upasani, C.; Balaraman, R. Protective effect of Spirulina on lead induced deleterious changes in the lipid peroxidation and endogenous antioxidants in rats. Phytother. Res. 2003, 17, 330–334. [Google Scholar] [CrossRef]
- Boeira, S.P.; Borges Filho, C.; Del’Fabbro, L.; Roman, S.S.; Royes, L.F.F.; Fighera, M.R.; Jessé, C.R.; Oliveira, M.S.; Furian, A.F. Lycopene treatment prevents hematological, reproductive and histopathological damage induced by acute zearalenone administration in male Swiss mice. Exp. Toxicol. Pathol. 2014, 66, 179–185. [Google Scholar] [CrossRef]
- Sharma, P.; Khan, I.A.; Singh, R. Curcumin and quercetin ameliorated cypermethrin and deltamethrin-induced reproductive system impairment in male wistar rats by upregulating the activity of pituitary-gonadal hormones and steroidogenic enzymes. Int. J. Fertil. Steril. 2018, 12, 72. [Google Scholar]
- Clasen, B.; Leitemperger, J.; Murussi, C.; Pretto, A.; Menezes, C.; Dalabona, F.; Marchezan, E.; Adaime, M.B.; Zanella, R.; Loro, V.L. Carbofuran promotes biochemical changes in carp exposed to rice field and laboratory conditions. Ecotoxicol. Environ. Saf. 2014, 101, 77–82. [Google Scholar] [CrossRef]
- Aliko, V.; Qirjo, M.; Sula, E.; Morina, V.; Faggio, C. Antioxidant defense system, immune response and erythron profile modulation in gold fish, Carassius auratus, after acute manganese treatment. Fish Shellfish Immunol. 2018, 76, 101–109. [Google Scholar] [CrossRef]
- Kadry, S.; Amer, A.; Marzouk, M.; Hanna, M.; Azmy, A.; Hamed, H. Vitamin E as antioxidant in female african catfish (Clarias gariepinus) exposed to chronic toxicity of atrazine. Egypt. J. Aquat. Biol. Fish. 2012, 16, 83–98. [Google Scholar] [CrossRef][Green Version]
- Abdel-Daim, M.M.; Dawood, M.A.; Elbadawy, M.; Aleya, L.; Alkahtani, S. Spirulina platensis reduced oxidative damage induced by chlorpyrifos toxicity in Nile tilapia (Oreochromis niloticus). Animals 2020, 10, 473. [Google Scholar] [CrossRef] [PubMed]
- Shaban, N.Z.; El-Kersh, M.A.; El-Rashidy, F.H.; Habashy, N.H. Protective role of Punica granatum (pomegranate) peel and seed oil extracts on diethylnitrosamine and phenobarbital-induced hepatic injury in male rats. Food Chem. 2013, 141, 1587–1596. [Google Scholar] [CrossRef] [PubMed]
- Xie, C.; Ge, M.; Jin, J.; Xu, H.; Mao, L.; Geng, S.; Wu, J.; Zhu, J.; Li, X.; Zhong, C. Mechanism investigation on bisphenol S-induced oxidative stress and inflammation in murine RAW264. 7 cells: The role of NLRP3 inflammasome, TLR4, Nrf2 and MAPK. J. Hazard. Mater. 2020, 394, 122549. [Google Scholar] [CrossRef] [PubMed]
- Sharma, D.K.; Ansari, B.A. Effects of Deltamethrin on CAT, LPO and GSH in Tissues of Zebrafish Danio rerio. Res. J. Environ. Toxicol. 2013, 7, 38. [Google Scholar] [CrossRef][Green Version]
- Mohr, T.; Desser, L. Plant proteolytic enzyme papain abrogates angiogenic activation of human umbilical vein endothelial cells (HUVEC) in vitro. BMC Complement. Altern. Med. 2013, 13, 231. [Google Scholar] [CrossRef] [PubMed]
- Hamed, H.S.; Abdel-Tawwab, M. Dietary pomegranate (Punica granatum) peel mitigated the adverse effects of silver nanoparticles on the performance, haemato-biochemical, antioxidant, and immune responses of Nile tilapia fingerlings. Aquaculture 2021, 540, 736742. [Google Scholar] [CrossRef]
- Yaron, Z.; Sivan, B. Reproduction. In The Physiology of Fishes, 3rd ed.; Evans, D., Claibourne, J., Eds.; CRC, Taylor and Francis: Boca Raton, FL, USA, 2006; pp. 343–386. [Google Scholar]
- El-Gamal, M.M.; Othman, S.I.; Abdel-Rahim, M.M.; Mansour, A.T.; Alsaqufi, A.S.; El Atafy, M.M.; Mona, M.H.; Allam, A.A. Palaemon and artemia supplemented diet enhances sea bass, Dicentrarchus labrax, broodstock reproductive performance and egg quality. Aquacult. Rep. 2020, 16, 100290. [Google Scholar] [CrossRef]
- Van Baal, J.; Hassing, G.; Goos, H.; Schulz, R. Modulatory effects of 4-nonyphenol on LH production in the African catfish pituitary. In Proceedings of the 6th International Symposium on the Reproductive Physiology of Fish, Bergen, Norway, 4–6 June 1999; p. 373. [Google Scholar]
- da Silva, B.S.; Pietrobon, C.B.; Bertasso, I.M.; Lopes, B.P.; Carvalho, J.C.; Peixoto-Silva, N.; Santos, T.R.; Claudio-Neto, S.; Manhães, A.C.; Oliveira, E. Short and long-term effects of bisphenol S (BPS) exposure during pregnancy and lactation on plasma lipids, hormones, and behavior in rats. Environ. Pollut. 2019, 250, 312–322. [Google Scholar] [CrossRef]
- Mogahed, H.E.; El-Rhman, A.; Afifi, N.; Barakat, H. Protective effects of cactus and/or papaya juices against hepatic and testicular toxicity induced by chlorpyrifos in Albino rats. World J. Pharm. Res. 2019, 8, 142–161. [Google Scholar]




| CPF Concentration (µg/L) | No. of Fish/Concentration | No. of Alive Fish | No. of Dead Fish | a | b | a × b |
|---|---|---|---|---|---|---|
| 0.00 | 8 | 8 | 0 | 0.0 | 0.0 | 0.00 |
| 25.00 | 8 | 6 | 2 | 25 | 1.00 | 25 |
| 50.00 | 8 | 4 | 4 | 25 | 3.00 | 75 |
| 100.00 | 8 | 2 | 6 | 50 | 5.00 | 250 |
| 200.00 | 8 | 1 | 7 | 100 | 6.50 | 650 |
| 400.00 | 8 | 0 | 8 | 200 | 7.50 | 1500 |
| ∑ a × b = | 2500 | |||||
| Items | Control | Chlorpyrifos | Papaya | Chlorpyrifos + Papaya |
|---|---|---|---|---|
| Aspartate aminotransferase (µ/L) | 48.15 ± 0.47 b | 62.14 ± 0.51 a | 46.21 ± 0.84 b | 48.29 ± 0.13 b |
| Alanine aminotransferase (µ/L) | 18.05 ±0.37 a | 10.21 ± 0.04 b | 17.92 ± 0.34 a | 17.41 ± 0.087 a |
| Glucose (mg/dL) | 86.87 ± 0.34 b | 120.31 ± 1.31 a | 86.57 ± 0.41 b | 88.05 ± 0.36 b |
| Cortisol (µg/dL) | 11.66 ± 0.28 b | 21.21 ± 0.09 a | 11.57 ± 0.19 c | 13.51 ± 0.16 b |
| Acetylcholinestrase (µ/L) | 545.23 ± 1.16 a | 381.27 ± 2.27 c | 545.17 ± 2.18 a | 550.35 ± 1.35 b |
| Total proteins (g/dL) | 6.53 ± 0.12 a | 3.14 ± 0.26 b | 6.64 ± 0.17 a | 6.35 ± 0.01 a |
| Albumin (g/dL) | 3.87 ± 0.12 a | 1.95 ± 0.21 b | 3.75 ± 0.11 a | 3.89 ± 0.09 a |
| Globulin (g/dL) | 2.66 ± 0.11 a | 1.19 ± 0.01 b | 2.89 ± 0.31 a | 2.46 ± 0.14 a |
| Items | Control | Chlorpyrifos | Papaya | Chlorpyrifos + Papaya |
|---|---|---|---|---|
| Follicle-stimulating hormone (µ/L) | 0.68 ± 0.05 a | 0.26 ± 0.06 c | 0.72 ± 0.04 a | 0.67 ± 0.03 b |
| Luteinizing hormone (µ/L) | 0.33 ± 0.01 b | 0.78 ± 0.09 a | 0.31 ± 0.04 b | 0.32 ± 0.05 b |
| Estradiol (17-β E2; g/mL) | 349.31 ± 0.41 a | 253.51 ± 0.15 c | 350.21 ± 0.23 a | 339.24 ± 0.13 b |
| Testosterone (g/mL) | 54.15 ± 0.34 b | 80.52 ± 0.25 a | 55.20 ± 0.41 b | 50.34 ± 0.31 c |
Publisher’s Note: MDPI stays neutral with regard to jurisdictional claims in published maps and institutional affiliations. |
© 2022 by the authors. Licensee MDPI, Basel, Switzerland. This article is an open access article distributed under the terms and conditions of the Creative Commons Attribution (CC BY) license (https://creativecommons.org/licenses/by/4.0/).
Share and Cite
Mansour, A.T.; Hamed, H.S.; El-Beltagi, H.S.; Mohamed, W.F. Modulatory Effect of Papaya Extract against Chlorpyrifos-Induced Oxidative Stress, Immune Suppression, Endocrine Disruption, and DNA Damage in Female Clarias gariepinus. Int. J. Environ. Res. Public Health 2022, 19, 4640. https://doi.org/10.3390/ijerph19084640
Mansour AT, Hamed HS, El-Beltagi HS, Mohamed WF. Modulatory Effect of Papaya Extract against Chlorpyrifos-Induced Oxidative Stress, Immune Suppression, Endocrine Disruption, and DNA Damage in Female Clarias gariepinus. International Journal of Environmental Research and Public Health. 2022; 19(8):4640. https://doi.org/10.3390/ijerph19084640
Chicago/Turabian StyleMansour, Abdallah Tageldein, Heba S. Hamed, Hossam S. El-Beltagi, and Walid Fathy Mohamed. 2022. "Modulatory Effect of Papaya Extract against Chlorpyrifos-Induced Oxidative Stress, Immune Suppression, Endocrine Disruption, and DNA Damage in Female Clarias gariepinus" International Journal of Environmental Research and Public Health 19, no. 8: 4640. https://doi.org/10.3390/ijerph19084640
APA StyleMansour, A. T., Hamed, H. S., El-Beltagi, H. S., & Mohamed, W. F. (2022). Modulatory Effect of Papaya Extract against Chlorpyrifos-Induced Oxidative Stress, Immune Suppression, Endocrine Disruption, and DNA Damage in Female Clarias gariepinus. International Journal of Environmental Research and Public Health, 19(8), 4640. https://doi.org/10.3390/ijerph19084640

