Modeling of Bentazone Leaching in Soils with Low Organic Matter Content
Abstract
1. Introduction
2. Materials and Methods
2.1. Soils
2.2. Adsorption Isotherms
2.3. Modeling of Bentazone Leaching
3. Results and Discussion
3.1. Adsorption Isotherms
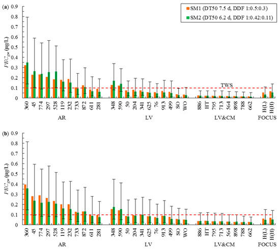
3.2. Influence of Degradation Parameters on Bentazone Leaching
3.3. Comparison of PECgw for AR, LV, and LV&CM with the Values for the Hamburg Scenario
3.4. Soil Properties Affecting Bentazone Leaching
3.5. Risk of Excessive Bentazone Leaching in AR and LV
4. Conclusions
Supplementary Materials
Author Contributions
Funding
Institutional Review Board Statement
Informed Consent Statement
Data Availability Statement
Acknowledgments
Conflicts of Interest
References
- European Commission. Directive 2006/118/EC of the European Parliament and of the Council of 12 December 2006 on the protection of groundwater against pollution and deterioration. Off. J. 2006, 372, 19–31. [Google Scholar]
- Jørgensen, L.F.; Stockmarr, J. Groundwater monitoring in Denmark: Characteristics, perspectives and comparison with other countries. Hydrogeol. J. 2009, 17, 827–842. [Google Scholar] [CrossRef]
- European Commission. Regulation (EC) No 1107/2009 of the European Parliament and of the Council of 21 October 2009 concerning the placing of plant protection products on the market and repealing Council Directives 79/117/EEC and 91/414/EEC. Off. J. 2009, 309, 1–50. [Google Scholar]
- European Commission. Assessing Potential for Movement of Active Substances and Their Metabolites to Ground Water in the EU. Report of the FOCUS Ground Water Work Group; European Commission: Brussels, Belgium, 2014; 613p.
- EU Pesticides Database. Available online: http://ec.europa.eu/food/plant/pesticides/eu-pesticides-database/public/?event=homepage&language=EN (accessed on 15 February 2022).
- Comer, J.; Chamberlain, K.; Evans, A. Validation of pH-metric technique for measurement of pKa and log Pow of ionizable herbicides. SAR QSAR Environ. Res. 1995, 3, 307–313. [Google Scholar] [CrossRef]
- Paszko, T.; Matysiak, J.; Kaminski, D.; Pasieczna-Patkowska, S.; Huber, M.; Krol, B. Adsorption of bentazone in the profiles of mineral soils with low organic matter content. PLoS ONE 2020, 15, e0242980. [Google Scholar] [CrossRef]
- EFSA. Conclusion on the peer review of the pesticide risk assessment of the active substance bentazone. EFSA J. 2015, 13, 4077. [Google Scholar] [CrossRef]
- Hvĕzdová, M.; Kosubová, P.; Košiková, M.; Scherr, K.E.; Šimek, Z.; Brodský, L.; Šudoma, M.; Škulcová, L.; Sáňka, M.; Svobodová, M.; et al. Currently and recently used pesticides in Central European arable soils. Sci. Total Environ. 2018, 613–614, 361–370. [Google Scholar] [CrossRef]
- Tauchnitz, N.; Kurzius, F.; Rupp, H.; Schmidt, G.; Hauser, B.; Schrödter, M.; Meissner, R. Assessment of pesticide inputs into surface waters by agricultural and urban sources—A case study in the Querne/Weida catchment, central Germany. Environ. Pollut. 2020, 267, 115186. [Google Scholar] [CrossRef]
- Weber, G.; Christmann, N.; Thiery, A.C.; Martens, D.; Kubiniok, J. Pesticides in agricultural headwater streams in southwestern Germany and effects on macroinvertebrate populations. Sci. Total Environ. 2018, 619–620, 638–648. [Google Scholar] [CrossRef]
- Diamanti, K.S.; Alygizakis, N.A.; Nika, M.C.; Oswaldova, M.; Oswald, P.; Thomaidis, N.S.; Slobodnik, J. Assessment of the chemical pollution status of the Dniester River Basin by wide-scope target and suspect screening using mass spectrometric techniques. Anal. Bioanal. Chem. 2020, 412, 4893–4907. [Google Scholar] [CrossRef]
- Loos, R.; Gawlik, B.M.; Locoro, G.; Rimaviciute, E.; Contini, S.; Bidoglio, G. EU-wide survey of polar organic persistent pollutants in European river waters. Environ. Pollut. 2009, 157, 561–568. [Google Scholar] [CrossRef] [PubMed]
- McManus, S.L.; Richards, K.G.; Grant, J.; Mannix, A.; Coxon, C.E. Pesticide occurrence in groundwater and the physical characteristics in association with these detections in Ireland. Environ. Monit. Assess. 2014, 186, 7819–7836. [Google Scholar] [CrossRef] [PubMed]
- Loos, R.; Locoro, G.; Comero, S.; Contini, S.; Schwesig, D.; Werres, F.; Balsaa, P.; Gans, O.; Weiss, S.; Blaha, L.; et al. Pan-European survey on the occurrence of selected polar organic persistent pollutants in ground water. Water Res. 2010, 44, 4115–4126. [Google Scholar] [CrossRef] [PubMed]
- Åkesson, M.; Sparrenbom, C.J.; Dahlqvist, P.; Fraser, S.J. On the scope and management of pesticide pollution of Swedish groundwater resources: The Scanian example. Ambio 2015, 44, 226–238. [Google Scholar] [CrossRef][Green Version]
- Kock-Schulmeyer, M.; Ginebreda, A.; Postigo, C.; Garrido, T.; Fraile, J.; López de Alda, M.; Barceló, D. Four-year advanced monitoring program of polar pesticides in groundwater of Catalonia (NE-Spain). Sci. Total Environ. 2014, 470–471, 1087–1098. [Google Scholar] [CrossRef]
- Rosenbom, A.E.; Olsen, P.; Plauborg, F.; Grant, R.; Juhler, R.K.; Brüsch, W.; Kjær, J. Pesticide leaching through sandy and loamy fields—Long-term lessons learnt from the Danish Pesticide Leaching Assessment Programme. Environ. Pollut. 2015, 201, 75–90. [Google Scholar] [CrossRef]
- Schuhmann, A.; Klammler, G.; Weiss, S.; Gans, O.; Frank, J.; Haberhauer, G.; Gerzabek, M.H. Degradation and leaching of bentazone, terbuthylazine and S-metolachlor and some of their metabolites: A long-term lysimeter experiment. Plant Soil Environ. 2019, 65, 273–281. [Google Scholar] [CrossRef]
- Lewis, K.A.; Tzilivakis, J.; Warner, D.J.; Green, A. An international database for pesticide risk assessments and management. Hum. Ecol. Risk Assess. 2016, 22, 1050–1064. [Google Scholar] [CrossRef]
- Lammoglia, S.K.; Brun, F.; Quemar, T.; Moeys, J.; Barriuso, E.; Gabrielle, B.; Mamy, L. Modelling pesticides leaching in cropping systems: Effect of uncertainties in climate, agricultural practices, soil and pesticide properties. Environ. Modell. Softw. 2018, 109, 342–352. [Google Scholar] [CrossRef]
- Tiktak, A. Application of pesticide leaching models to the Vredepeel dataset: II Pesticide fate. Agric. Water Manag. 2000, 44, 119–134. [Google Scholar] [CrossRef]
- Bieganowski, A.; Witkowska-Walczak, B.; Gliński, J.; Sokołowska, Z.; Sławiński, C.; Brzezińska, M.; Włodarczyk, T. Database of Polish arable mineral soils: A review. Int. Agrophys. 2013, 27, 335–350. [Google Scholar] [CrossRef]
- WRB. World Reference Base for Soil Resources 2014, Update 2015. International Soil Classification System for Naming Soils and Creating Legends for Soil Maps. World Soil Resources Reports No. 106; FAO: Rome, Italy, 2015; p. 192. [Google Scholar]
- Paszko, T.; Muszyński, P. Degradation rates of alachlor, atrazine and bentazone in the profiles of Polish Luvisols. Int. Agrophys. 2017, 31, 401–410. [Google Scholar] [CrossRef]
- OECD. OECD Guideline for the Testing of Chemicals. Method 106. Adsorption-Desorption Using Batch Equilibrium Method; OECD: Paris, France, 2000.
- Klein, M. PELMO (Pesticide Leaching Model). Version 5.00. User Manual; Fraunhofer Institut for Molecular Biology and Applied Ecology: Schmallenberg, Germany, 2018; p. 30. [Google Scholar]
- Statistics Poland. Statistical Yearbook of Agriculture; Central Statistical Office: Warsaw, Poland, 2020; p. 439.
- Paszko, T. Adsorption, degradation and mobility of carbendazim in profiles of Polish mineral soils. Geoderma 2014, 226, 160–169. [Google Scholar] [CrossRef]
- Paszko, T. Modeling of pH-dependent adsorption and leaching of MCPA in profiles of Polish mineral soils. Sci. Total Environ. 2014, 494–495, 229–240. [Google Scholar] [CrossRef] [PubMed]
- Rodríguez Cruz, M.S.; Jones, J.E.; Bending, G.D. Study of the spatial variation of the biodegradation rate of the herbicide bentazone with soil depth using contrasting incubation methods. Chemosphere 2008, 73, 1211–1215. [Google Scholar] [CrossRef] [PubMed]
- Tiktak, A.; van der Linden, A.M.A.; Leine, I. Application of GIS to the modeling of pesticide leaching on a regional scale in the Netherlands. In Application of GIS to the Modeling of Non-Point Source Pollutants in the Vadose Zone; Corwin, D.L., Loague, K., Eds.; Soil Science Society of America: Madison, WI, USA, 1996; Volume 48. [Google Scholar] [CrossRef]
- Boesten, J.J.T.I.; van der Pas, L.J.T. Movement of water, bromide and the pesticides ethoprophos and bentazone in a sandy soil: The Vredepeel data set. Agric. Water Manag. 2000, 44, 21–42. [Google Scholar] [CrossRef]
- Spencer, W.F.; Cliath, M.M. Pesticide volatilization as related to water loss from soil. J. Environ. Qual. 1973, 2, 284–289. [Google Scholar] [CrossRef]
- Wolters, A.; Klein, M.; Vereecken, H. An improved description of pesticide volatilization: Refinement of the pesticide leaching model (PELMO). J. Environ. Qual. 2004, 33, 1629–1637. [Google Scholar] [CrossRef]
- Tόth, G.; Montanarella, L.; Stolbovoy, V.; Máté, F.; Bόdis, K.; Jones, A.; Panagos, P.; Van Liedekerke, M. Soils of the European Union; EUR 23439 EN—Joint Research Centre—Institute for Environment and Sustainability: Ispra, Italy, 2008; p. 85. [Google Scholar]
- Rasmussen, S.B.; Abrahamsen, P.; Nielsen, M.H.; Holm, P.E.; Hansen, S. Effects of single rainfall events on leaching of glyphosate and bentazone on two different soil types, using the DAISY model. Vadose Zone J. 2015, 14, 1–15. [Google Scholar] [CrossRef]
- FOCUS. FOCUS Groundwater Scenarios in the EU Review of Active Substances. Report of the FOCUS Groundwater Scenarios Workgroup; EC Document Reference Sanco/321/2000 Rev.2; 2000; 202p. Available online: https://www.ime.fraunhofer.de/content/dam/ime/de/documents/AE/FOCUS_2000_GW_Report_Main.pdf (accessed on 10 June 2022).
- ISO 11277; Soil Quality—Determination of Particle Size Distribution in Mineral Soil Material—Method by Sieving and Sedimentation. Croatian Standards Institute: Zagreb, Croatia, 2009.





Publisher’s Note: MDPI stays neutral with regard to jurisdictional claims in published maps and institutional affiliations. |
© 2022 by the authors. Licensee MDPI, Basel, Switzerland. This article is an open access article distributed under the terms and conditions of the Creative Commons Attribution (CC BY) license (https://creativecommons.org/licenses/by/4.0/).
Share and Cite
Paszko, T.; Spadotto, C.A. Modeling of Bentazone Leaching in Soils with Low Organic Matter Content. Int. J. Environ. Res. Public Health 2022, 19, 7187. https://doi.org/10.3390/ijerph19127187
Paszko T, Spadotto CA. Modeling of Bentazone Leaching in Soils with Low Organic Matter Content. International Journal of Environmental Research and Public Health. 2022; 19(12):7187. https://doi.org/10.3390/ijerph19127187
Chicago/Turabian StylePaszko, Tadeusz, and Claudio A. Spadotto. 2022. "Modeling of Bentazone Leaching in Soils with Low Organic Matter Content" International Journal of Environmental Research and Public Health 19, no. 12: 7187. https://doi.org/10.3390/ijerph19127187
APA StylePaszko, T., & Spadotto, C. A. (2022). Modeling of Bentazone Leaching in Soils with Low Organic Matter Content. International Journal of Environmental Research and Public Health, 19(12), 7187. https://doi.org/10.3390/ijerph19127187

