Single-Pill Combination to Improve Hypertension Treatment: Pharmaceutical Industry Development
Abstract
1. Introduction
2. Data Sources and Study Selection
- The Medline;
- PubMed®;
- The Science Direct;
- The Cochrane Library (a database with systematic reviews).
- CENTRAL clinical trials registry;
- Drugs.com—an international drug information database;
- DrugBank—an international drug information database. The database is used by scientists and healthcare professionals around the world.
- Publications unrelated to beta-blocker and ACE-I combinations (publications on monotherapy were excluded at the beginning);
- Publications on antihypertensive and other drug combinations that are not antihypertensive;
- Publications that describe circumstances that constitute indications for using combinations of the specified medications in a way that is overly vague and imprecise;
- Publications that were published prior to 1980;
- Publication of studies that were not randomized, placebo-controlled, or blinded (not meeting the GCP requirements). Selected publications were qualified in the third step based on the selection criteria applied. The papers included in the review were chosen based on whether the experiment was randomized, placebo-controlled, double-blind, or single-blind. They were carried out in accordance with good clinical practice (GCP) guidelines and designed in accordance with the Helsinki Declaration. In human research, they met medical, bioethical, and scientific requirements.
3. Hypertension Treatment
3.1. β-Adrenergic Receptors Blockers (Beta-Blocker)
3.2. Angiotensin-Converting Enzyme Inhibitors (ACE-I)
3.3. Single-Pill Combination
3.4. Combination Antihypertensive Therapy
- ACE-I + calcium channel blockers;
- ACE-I + thiazide or thiazide-like diuretic;
- ARB + thiazide diuretic;
- ARB + calcium antagonist.
- calcium channel blockers + beta-blocker;
- thiazide-like diuretic + calcium channel blockers;
- beta-blocker + ACE-I;
- thiazide diuretic + vasodilator beta-blocker.
3.5. Rationale of Combining Beta-Blockers with ACE-I
4. Combinations of Antihypertensive Drugs with Other Classes of Drugs
4.1. Combination Treatment of Hypertension and Hyperlipidemia
4.2. Combination Treatment of Hypertension and Blood Coagulation Problems
4.3. Combination Treatment of Hypertension and Diabetes Mellitus Type II
5. Single-Pill Combinations Drugs—Product Overview
6. Pharmacoeconomics
- valsartan/amlodipine;
- valsartan/hydrochlorothiazide;
- indapamide/amlodipine;
- olmesartan/amlodipine;
- amlodipine/valsartan/hydrochlorothiazide;
- atorvastatin/perindopril/amlodipine;
- olmesartan/amlodipine/hydrochlorothiazide.
7. Conclusions
Author Contributions
Funding
Institutional Review Board Statement
Informed Consent Statement
Data Availability Statement
Conflicts of Interest
References
- Williams, B.; Mancia, G.; Spiering, W.; Agabiti Rosei, E.; Azizi, M.; Burnier, M.; Clement, D.L.; Coca, A.; de Simone, G.; Dominiczak, A.; et al. 2018 ESC/ESH Guidelines for the Management of Arterial Hypertension: The Task Force for the Management of Arterial Hypertension of the European Society of Cardiology (ESC) and the European Society of Hypertension (ESH). Eur. Heart J. 2018, 39, 3021–3104. [Google Scholar] [CrossRef] [PubMed]
- Hypertension. Available online: https://www.who.int/news-room/fact-sheets/detail/hypertension (accessed on 24 June 2021).
- Kearney, P.M.; Whelton, M.; Reynolds, K.; Muntner, P.; Whelton, P.K.; He, J. Global Burden of Hypertension: Analysis of Worldwide Data. Lancet 2005, 365, 217–223. [Google Scholar] [CrossRef]
- Wang, G.; Grosse, S.D.; Schooley, M.W. Conducting Research on the Economics of Hypertension to Improve Cardiovascular Health. Am. J. Prev. Med. 2017, 53, S115–S117. [Google Scholar] [CrossRef] [PubMed]
- Dagli, R.J.; Sharma, A. Polypharmacy: A Global Risk Factor for Elderly People. J. Int. Oral Health 2014, 6, i–ii. [Google Scholar]
- Medication Safety in Polypharmacy: Technical Report. Available online: https://www.who.int/publications-detail-redirect/medication-safety-in-polypharmacy-technical-report (accessed on 24 June 2021).
- Newman, J.; Grobman, W.A.; Greenland, P. Combination Polypharmacy for Cardiovascular Disease Prevention in Men: A Decision Analysis and Cost-Effectiveness Model. Prev. Cardiol. 2008, 11, 36–41. [Google Scholar] [CrossRef]
- Wojtczak, D.; Kasznicki, J.; Drzewoski, J. Pros and Cons of Polypharmacy in Elderly Patients with Diabetes. Clin. Diabetol. 2017, 6, 34–38. [Google Scholar] [CrossRef]
- Janczura, M.; Kobus-Moryson, M.; Sip, S.; Żarowski, M.; Wareńczak, A.; Cielecka-Piontek, J. Fixed-Dose Combination of NSAIDs and Spasmolytic Agents in the Treatment of Different Types of Pain—A Practical Review. J. Clin. Med. 2021, 10, 3118. [Google Scholar] [CrossRef]
- Giummarra, M.J.; Gibson, S.J.; Allen, A.R.; Pichler, A.S.; Arnold, C.A. Polypharmacy and Chronic Pain: Harm Exposure Is Not All about the Opioids. Pain Med. 2015, 16, 472–479. [Google Scholar] [CrossRef]
- 2017 ACC/AHA/AAPA/ABC/ACPM/AGS/APhA/ASH/ASPC/NMA/PCNA Guideline for the Prevention, Detection, Evaluation, and Management of High Blood Pressure in Adults: A Report of the American College of Cardiology/American Heart Association Task Force on Clinical Practice Guidelines|Hypertension. Available online: https://www.ahajournals.org/doi/10.1161/HYP.0000000000000065 (accessed on 24 March 2022).
- 2020 International Society of Hypertension Global Hypertension Practice Guidelines|Hypertension. Available online: https://www.ahajournals.org/doi/10.1161/HYPERTENSIONAHA.120.15026 (accessed on 24 March 2022).
- Oliver, E.; Mayor, F.; D’Ocon, P. Beta-Blockers: Historical Perspective and Mechanisms of Action. Rev. Esp. Cardiol. (Engl. Ed.) 2019, 72, 853–862. [Google Scholar] [CrossRef]
- Ogrodowczyk, M.; Dettlaff, K.; Jelinska, A. Beta-Blockers: Current State of Knowledge and Perspectives. Mini Rev. Med. Chem 2016, 16, 40–54. [Google Scholar] [CrossRef]
- Cruickshank, J.M. The Role of Beta-Blockers in the Treatment of Hypertension. Adv. Exp. Med. Biol. 2017, 956, 149–166. [Google Scholar] [CrossRef] [PubMed]
- Ladage, D.; Schwinger, R.H.G.; Brixius, K. Cardio-Selective Beta-Blocker: Pharmacological Evidence and Their Influence on Exercise Capacity. Cardiovasc. Ther. 2013, 31, 76–83. [Google Scholar] [CrossRef] [PubMed]
- Ko, D.T.; Hebert, P.R.; Coffey, C.S.; Curtis, J.P.; Foody, J.M.; Sedrakyan, A.; Krumholz, H.M. Adverse Effects of Beta-Blocker Therapy for Patients with Heart Failure: A Quantitative Overview of Randomized Trials. Arch. Intern. Med. 2004, 164, 1389–1394. [Google Scholar] [CrossRef] [PubMed]
- Jackson, J.L.; Kuriyama, A.; Kuwatsuka, Y.; Nickoloff, S.; Storch, D.; Jackson, W.; Zhang, Z.-J.; Hayashino, Y. Beta-Blockers for the Prevention of Headache in Adults, a Systematic Review and Meta-Analysis. PLoS ONE 2019, 14, e0212785. [Google Scholar] [CrossRef]
- Pal, P.K. Guidelines for Management of Essential Tremor. Ann. Indian Acad. Neurol. 2011, 14, S25–S28. [Google Scholar] [CrossRef] [PubMed]
- Garg, M.K.; Kharb, S.; Brar, K.S.; Gundgurthi, A.; Mittal, R. Medical Management of Pheochromocytoma: Role of the Endocrinologist. Indian J. Endocrinol. Metab. 2011, 15, S329–S336. [Google Scholar] [CrossRef]
- Zimmerman, T.J. Topical Ophthalmic Beta Blockers: A Comparative Review. J. Ocul Pharm. 1993, 9, 373–384. [Google Scholar] [CrossRef]
- Piepho, R.W. Overview of the Angiotensin-Converting-Enzyme Inhibitors. Am. J. Health Syst. Pharm. 2000, 57 (Suppl. 1), S3–S7. [Google Scholar] [CrossRef]
- Riordan, J.F. Angiotensin-I-Converting Enzyme and Its Relatives. Genome Biol. 2003, 4, 225. [Google Scholar] [CrossRef][Green Version]
- Regulski, M.; Regulska, K.; Stanisz, B.J.; Murias, M.; Gieremek, P.; Wzgarda, A.; Niznik, B. Chemistry and Pharmacology of Angiotensin-Converting Enzyme Inhibitors. Curr. Pharm. Des. 2015, 21, 1764–1775. [Google Scholar] [CrossRef]
- Parish, R.C.; Miller, L.J. Adverse Effects of Angiotensin Converting Enzyme (ACE) Inhibitors. An Update. Drug Saf. 1992, 7, 14–31. [Google Scholar] [CrossRef] [PubMed]
- Coca, A.; Agabiti-Rosei, E.; Cifkova, R.; Manolis, A.J.; Redón, J.; Mancia, G. The Polypill in Cardiovascular Prevention: Evidence, Limitations and Perspective—Position Paper of the European Society of Hypertension. J. Hypertens. 2017, 35, 1546–1553. [Google Scholar] [CrossRef] [PubMed]
- Baumgartner, A.; Drame, K.; Geutjens, S.; Airaksinen, M. Does the Polypill Improve Patient Adherence Compared to Its Individual Formulations? A Systematic Review. Pharmaceutics 2020, 12, 190. [Google Scholar] [CrossRef] [PubMed]
- Rao, S.; Jamal Siddiqi, T.; Khan, M.S.; Michos, E.D.; Navar, A.M.; Wang, T.J.; Greene, S.J.; Prabhakaran, D.; Khera, A.; Pandey, A. Association of Polypill Therapy with Cardiovascular Outcomes, Mortality, and Adherence: A Systematic Review and Meta-Analysis of Randomized Controlled Trials. Prog. Cardiovasc. Dis. 2022, S0033-0620(22)00005-6. [Google Scholar] [CrossRef]
- Yusuf, S.; Joseph, P.; Dans, A.; Gao, P.; Teo, K.; Xavier, D.; López-Jaramillo, P.; Yusoff, K.; Santoso, A.; Gamra, H.; et al. Polypill with or without Aspirin in Persons without Cardiovascular Disease. N. Engl. J. Med. 2021, 384, 216–228. [Google Scholar] [CrossRef]
- Cosin-Sales, J.; Murcia-Zaragoza, J.M.; Pereyra-Rico, H.O.; de la Guía-Galipienso, F.; Hermans, K.; Rubio, G. Evaluating Patients’ Satisfaction and Preferences with a Secondary Prevention Cardiovascular Polypill: The Aurora Study. J. Comp. Eff. Res. 2021, 10, 975–985. [Google Scholar] [CrossRef]
- Webster, R.; Rodgers, A. Polypill: Progress and Challenges to Global Use--Update on the Trials and Policy Implementation. Curr. Cardiol. Rep. 2015, 17, 121. [Google Scholar] [CrossRef]
- Tykarski, A.; Widecka, K.; Narkiewicz, K.; Wożakowska-Kapłon, B.; Gaciong, Z.; Grajek, S.; Grodzicki, T.; Januszewicz, A.; Wolf, J.; Prejbisz, A.; et al. Single-Pill Combinations (SPCs) and Treatment of Arterial Hypertension in Poland. Expert Consensus Statement of the Polish Society of Hypertension and Polish Cardiac Society Working Group on Cardiovascular Pharmacotherapy. Kardiol. Pol. 2017, 75, 1357–1367. [Google Scholar] [CrossRef]
- Tykarski, A.; Filipiak, K.J.; Januszewicz, A.; Litwin, M.; Narkiewicz, K.; Prejbisz, A.; Ostalska-Nowicka, D.; Widecka, K.; Kostka-Jeziorny, K. Zasady postępowania w nadciśnieniu tętniczym—2019 rok. Nadciśnienie Tętnicze W Prakt. 2019, 5, 1–86. [Google Scholar]
- Center for Drug Evaluation and Research. Nonclinical Safety Evaluation of Drug or Biologic Combinations. Available online: https://www.fda.gov/regulatory-information/search-fda-guidance-documents/nonclinical-safety-evaluation-drug-or-biologic-combinations (accessed on 24 June 2021).
- Paul, A. Fixed-Dose Combinations. In Introduction to Basics of Pharmacology and Toxicology: Volume 1: General and Molecular Pharmacology: Principles of Drug Action; Raj, G.M., Raveendran, R., Eds.; Springer: Singapore, 2019; pp. 307–312. ISBN 978-981-329-779-1. [Google Scholar]
- van Galen, K.A.; Nellen, J.F.; Nieuwkerk, P.T. The Effect on Treatment Adherence of Administering Drugs as Fixed-Dose Combinations versus as Separate Pills: Systematic Review and Meta-Analysis. AIDS Res. Treat. 2014, 2014, 967073. [Google Scholar] [CrossRef]
- Tsioufis, K.; Kreutz, R.; Sykara, G.; van Vugt, J.; Hassan, T. Impact of Single-Pill Combination Therapy on Adherence, Blood Pressure Control, and Clinical Outcomes: A Rapid Evidence Assessment of Recent Literature. J. Hypertens. 2020, 38, 1016–1028. [Google Scholar] [CrossRef] [PubMed]
- Sacks, C.A.; Lee, C.C.; Kesselheim, A.; Avorn, J. Medicare Spending on Brand-Name Combination Medications vs. Their Generic Constituents. JAMA 2018, 320, 650–656. [Google Scholar] [CrossRef] [PubMed]
- Imbeault, B.; Vallée, M. Single-Pill Combinations in the Treatment of Hypertension in Adults: Beyond Convenience. Can. J. Diabetes 2018, 42, 205–208. [Google Scholar] [CrossRef] [PubMed]
- Hao, J.; Rodriguez-Monguio, R.; Seoane-Vazquez, E. Fixed-Dose Combination Drug Approvals, Patents and Market Exclusivities Compared to Single Active Ingredient Pharmaceuticals. PLoS ONE 2015, 10, e0140708. [Google Scholar] [CrossRef] [PubMed]
- Wald, D.S.; Law, M.; Morris, J.K.; Bestwick, J.P.; Wald, N.J. Combination Therapy versus Monotherapy in Reducing Blood Pressure: Meta-Analysis on 11,000 Participants from 42 Trials. Am. J. Med. 2009, 122, 290–300. [Google Scholar] [CrossRef]
- van der Horst, I.C.C.; Voors, A.A.; van Veldhuisen, D.J. Treatment of Heart Failure with ACE Inhibitors and Beta-Blockers. Clin. Res. Cardiol. 2007, 96, 193–195. [Google Scholar] [CrossRef]
- Task Force Members; Montalescot, G.; Sechtem, U.; Achenbach, S.; Andreotti, F.; Arden, C.; Budaj, A.; Bugiardini, R.; Crea, F.; Cuisset, T.; et al. 2013 ESC Guidelines on the Management of Stable Coronary Artery Disease: The Task Force on the Management of Stable Coronary Artery Disease of the European Society of Cardiology. Eur. Heart J. 2013, 34, 2949–3003. [Google Scholar] [CrossRef]
- Strauss, M.H.; Hall, A.S.; Narkiewicz, K. The Combination of Beta-Blockers and ACE Inhibitors Across the Spectrum of Cardiovascular Diseases. Cardiovasc. Drugs 2021. [Google Scholar] [CrossRef]
- Bertrand, M.E.; Ferrari, R.; Remme, W.J.; Simoons, M.L.; Fox, K.M. Perindopril and β-Blocker for the Prevention of Cardiac Events and Mortality in Stable Coronary Artery Disease Patients: A EUropean Trial on Reduction Of Cardiac Events with Perindopril in Stable Coronary Artery Disease (EUROPA) Subanalysis. Am. Heart J. 2015, 170, 1092–1098. [Google Scholar] [CrossRef]
- Prejbisz, A.; Klocek, M.; Gąsowski, J.; Topór-Mądry, R.; Leśniak, W.; Kabat, M.; Czarnecka, D.; Kawecka-Jaszcz, K.; Narkiewicz, K.; Januszewicz, A. Factors Associated with Resistant Hypertension in a Large Cohort of Hypertensive Patients: The Pol-Fokus Study. Pol. Arch. Med. Wewn. 2015, 125, 249–259. [Google Scholar] [CrossRef]
- Cohn, J.N. Interaction of Beta-Blockers and Angiotensin Receptor Blockers/ACE Inhibitors in Heart Failure. J. Renin Angiotensin Aldosterone Syst. 2003, 4, 137–139. [Google Scholar] [CrossRef] [PubMed]
- Bromfield, S.; Muntner, P. High Blood Pressure: The Leading Global Burden of Disease Risk Factor and the Need for Worldwide Prevention Programs. Curr. Hypertens. Rep. 2013, 15, 134–136. [Google Scholar] [CrossRef] [PubMed]
- Noh, J.; Kim, H.C.; Shin, A.; Yeom, H.; Jang, S.-Y.; Lee, J.H.; Kim, C.; Suh, I. Prevalence of Comorbidity among People with Hypertension: The Korea National Health and Nutrition Examination Survey 2007–2013. Korean Circ. J. 2016, 46, 672–680. [Google Scholar] [CrossRef] [PubMed]
- Bozkurt, B.; Aguilar, D.; Deswal, A.; Dunbar, S.B.; Francis, G.S.; Horwich, T.; Jessup, M.; Kosiborod, M.; Pritchett, A.M.; Ramasubbu, K.; et al. Contributory Risk and Management of Comorbidities of Hypertension, Obesity, Diabetes Mellitus, Hyperlipidemia, and Metabolic Syndrome in Chronic Heart Failure: A Scientific Statement From the American Heart Association. Circulation 2016, 134, e535–e578. [Google Scholar] [CrossRef]
- Casula, M.; Tragni, E.; Catapano, A.L. Adherence to Lipid-Lowering Treatment: The Patient Perspective. Patient Prefer. Adherence 2012, 6, 805–814. [Google Scholar] [CrossRef]
- Al-Foraih, M.; Somerset, S. Factors Affecting Adherence to Statins in Hypercholesterolemic Kuwaiti Patients: A Cross-Sectional Study. MPP 2017, 26, 35–40. [Google Scholar] [CrossRef]
- Pan, F.; Chernew, M.E.; Fendrick, A.M. Impact of Fixed-Dose Combination Drugs on Adherence to Prescription Medications. J. Gen. Intern. Med. 2008, 23, 611–614. [Google Scholar] [CrossRef]
- Ruszkowski, P.; Masajtis-Zagajewska, A.; Nowicki, M. Effects of Combined Statin and ACE Inhibitor Therapy on Endothelial Function and Blood Pressure in Essential Hypertension—a Randomised Double-Blind, Placebo Controlled Crossover Study. J. Renin Angiotensin Aldosterone Syst. 2019, 20, 1470320319868890. [Google Scholar] [CrossRef]
- Kertai, M.D.; Boersma, E.; Westerhout, C.M.; Klein, J.; van Urk, H.; Bax, J.J.; Roelandt, J.R.T.C.; Poldermans, D. A Combination of Statins and Beta-Blockers Is Independently Associated with a Reduction in the Incidence of Perioperative Mortality and Nonfatal Myocardial Infarction in Patients Undergoing Abdominal Aortic Aneurysm Surgery. Eur. J. Vasc. Endovasc. Surg. 2004, 28, 343–352. [Google Scholar] [CrossRef]
- Athyros, V.G.; Mikhailidis, D.P.; Papageorgiou, A.A.; Bouloukos, V.I.; Pehlivanidis, A.N.; Symeonidis, A.N.; Elisaf, M. Effect of Statins and ACE Inhibitors Alone and in Combination on Clinical Outcome in Patients with Coronary Heart Disease. J. Hum. Hypertens 2004, 18, 781–788. [Google Scholar] [CrossRef]
- Grundy, S.M.; Feingold, K.R. Guidelines for the Management of High Blood Cholesterol. In Endotext; Feingold, K.R., Anawalt, B., Boyce, A., Chrousos, G., de Herder, W.W., Dhatariya, K., Dungan, K., Grossman, A., Hershman, J.M., Hofland, J., et al., Eds.; MDText.com, Inc.: South Dartmouth, MA, USA, 2000. [Google Scholar]
- Hu, M.; Cheung, B.M.Y.; Tomlinson, B. Safety of Statins: An Update. Adv. Drug Saf. 2012, 3, 133–144. [Google Scholar] [CrossRef] [PubMed]
- Álvarez Ramírez, A.A.; Peláez, J.L.; Bermúdez, I.M.; Gordon Botero, J.Y. Prevalence of Hyperlipidemia and Its Associated Factors in University Students in Colombia. Heliyon 2020, 6, e05417. [Google Scholar] [CrossRef] [PubMed]
- Karr, S. Epidemiology and Management of Hyperlipidemia. Am. J. Manag. Care 2017, 23, S139–S148. [Google Scholar]
- Costa, A.C.; Reina-Couto, M.; Albino-Teixeira, A.; Sousa, T. Aspirin and Blood Pressure: Effects When Used Alone or in Combination with Antihypertensive Drugs. Rev. Port. De Cardiol. 2017, 36, 551–567. [Google Scholar] [CrossRef] [PubMed]
- Zanchetti, A.; Hansson, L.; Leonetti, G.; Rahn, K.-H.; Ruilope, L.; Warnold, I.; Wedel, H. Low-Dose Aspirin Does Not Interfere with the Blood Pressure-Lowering Effects of Antihypertensive Therapy. J. Hypertens. 2002, 20, 1015–1022. [Google Scholar] [CrossRef] [PubMed]
- Lip, G.Y.H.; Edmunds, E.; Beevers, D.G. Should Patients with Hypertension Receive Antithrombotic Therapy? J. Intern. Med. 2001, 249, 205–214. [Google Scholar] [CrossRef] [PubMed]
- Vemulapalli, S.; Hellkamp, A.S.; Jones, W.S.; Piccini, J.P.; Mahaffey, K.W.; Becker, R.C.; Hankey, G.J.; Berkowitz, S.D.; Nessel, C.C.; Breithardt, G.; et al. Blood Pressure Control and Stroke or Bleeding Risk in Anticoagulated Patients with Atrial Fibrillation: Results from the ROCKET AF Trial. Am. Heart J. 2016, 178, 74–84. [Google Scholar] [CrossRef]
- Lip, G.Y.H.; Felmeden, D.C. Antiplatelet Agents and Anticoagulants for Hypertension. Cochrane Database Syst. Rev. 2004, CD003186. [Google Scholar] [CrossRef]
- Rao, M.P.; Halvorsen, S.; Wojdyla, D.; Thomas, L.; Alexander, J.H.; Hylek, E.M.; Hanna, M.; Bahit, M.C.; Lopes, R.D.; De Caterina, R.; et al. Blood Pressure Control and Risk of Stroke or Systemic Embolism in Patients With Atrial Fibrillation: Results From the Apixaban for Reduction in Stroke and Other Thromboembolic Events in Atrial Fibrillation (ARISTOTLE) Trial. J. Am. Heart Assoc. 2015, 4, e002015. [Google Scholar] [CrossRef]
- Griffin, G. Antiplatelet Therapy and Anticoagulation in Patients with Hypertension. AFP 2005, 71, 897. [Google Scholar]
- Abdelbagi, O.; Musa, I.R.; Musa, S.M.; ALtigani, S.A.; Adam, I. Prevalence and Associated Factors of Hypertension among Adults with Diabetes Mellitus in Northern Sudan: A Cross-Sectional Study. BMC Cardiovasc. Disord. 2021, 21, 168. [Google Scholar] [CrossRef] [PubMed]
- Khangura, D.; Kurukulasuriya, L.R.; Whaley-Connell, A.; Sowers, J.R. Diabetes and Hypertension: Clinical Update. Am. J. Hypertens. 2018, 31, 515–521. [Google Scholar] [CrossRef]
- Lastra, G.; Syed, S.; Kurukulasuriya, L.R.; Manrique, C.; Sowers, J.R. Type 2 Diabetes Mellitus and Hypertension: An Update. Endocrinol. Metab. Clin. N. Am. 2014, 43, 103–122. [Google Scholar] [CrossRef] [PubMed]
- Forouhi, N.G.; Wareham, N.J. Epidemiology of Diabetes. Medicine (Abingdon) 2014, 42, 698–702. [Google Scholar] [CrossRef] [PubMed]
- Peters, M.L.; Huisman, E.L.; Schoonen, M.; Wolffenbuttel, B.H.R. The Current Total Economic Burden of Diabetes Mellitus in the Netherlands. Neth. J. Med. 2017, 75, 281–297. [Google Scholar]
- Sun, D.; Zhou, T.; Heianza, Y.; Li, X.; Fan, M.; Fonseca, V.A.; Qi, L. Type 2 Diabetes and Hypertension. Circ. Res. 2019, 124, 930–937. [Google Scholar] [CrossRef]
- Ziyyat, A.; Ramdani, N.; Bouanani, N.E.H.; Vanderpas, J.; Hassani, B.; Boutayeb, A.; Aziz, M.; Mekhfi, H.; Bnouham, M.; Legssyer, A. Epidemiology of Hypertension and Its Relationship with Type 2 Diabetes and Obesity in Eastern Morocco. Springerplus 2014, 3, 644. [Google Scholar] [CrossRef][Green Version]
- Bretzel, R.G. Comorbidity of Diabetes Mellitus and Hypertension in the Clinical Setting: A Review of Prevalence, Pathophysiology, and Treatment Perspectives. Clin. Ther. 2007, 29, S35–S43. [Google Scholar] [CrossRef]
- Whalen, K.; Stewart, R.D. Pharmacologic Management of Hypertension in Patients with Diabetes. AFP 2008, 78, 1277–1282. [Google Scholar]
- Shaikh, A. A Practical Approach to Hypertension Management in Diabetes. Diabetes 2017, 8, 981–989. [Google Scholar] [CrossRef]
- Grossman, A.; Grossman, E. Blood Pressure Control in Type 2 Diabetic Patients. Cardiovasc. Diabetol. 2017, 16, 3. [Google Scholar] [CrossRef] [PubMed]
- Farsang, C. Efficacy and Tolerability of Fixed-Dose Combination of Perindopril/Indapamide in Type 2 Diabetes Mellitus: PICASSO Trial. Adv. Ther. 2014, 31, 333–344. [Google Scholar] [CrossRef] [PubMed][Green Version]
- Bramlage, P.; Schmidt, S.; Sims, H. Fixed-Dose vs Free-Dose Combinations for the Management of Hypertension-An Analysis of 81,958 Patients. J. Clin. Hypertens. (Greenwich) 2018, 20, 705–715. [Google Scholar] [CrossRef] [PubMed]
- Blonde, L.; Juan, Z.T.S.; Bolton, P. Fixed-Dose Combination Therapy in Type 2 Diabetes Mellitus 1. Endocr. Pract. 2014, 20, 1322–1332. [Google Scholar] [CrossRef] [PubMed]
- FDC New Drugs Marketing. Available online: https://cdsco.gov.in/opencms/opencms/en/Approval_new/FDC-New-Drugs-Marketing/ (accessed on 24 June 2021).
- Wierzejska, E.; Giernaś, B.; Lipiak, A.; Karasiewicz, M.; Cofta, M.; Staszewski, R. A Global Perspective on the Costs of Hypertension: A Systematic Review. Arch. Med. Sci. 2020, 16, 1078–1091. [Google Scholar] [CrossRef] [PubMed]
- DiPette, D.J.; Skeete, J.; Ridley, E.; Campbell, N.R.C.; Lopez-Jaramillo, P.; Kishore, S.P.; Jaffe, M.G.; Coca, A.; Townsend, R.R.; Ordunez, P. Fixed-Dose Combination Pharmacologic Therapy to Improve Hypertension Control Worldwide: Clinical Perspective and Policy Implications. J. Clin. Hypertens. (Greenwich) 2019, 21, 4–15. [Google Scholar] [CrossRef]
- Weisser, B.; Predel, H.-G.; Gillessen, A.; Hacke, C.; Vor dem Esche, J.; Rippin, G.; Noetel, A.; Randerath, O. Single Pill Regimen Leads to Better Adherence and Clinical Outcome in Daily Practice in Patients Suffering from Hypertension and/or Dyslipidemia: Results of a Meta-Analysis. High Blood Press Cardiovasc. Prev. 2020, 27, 157–164. [Google Scholar] [CrossRef]
- Lauffenburger, J.C.; Landon, J.E.; Fischer, M.A. Effect of Combination Therapy on Adherence Among US Patients Initiating Therapy for Hypertension: A Cohort Study. J. Gen. Intern. Med. 2017, 32, 619–625. [Google Scholar] [CrossRef]
- Parati, G.; Kjeldsen, S.; Coca, A.; Cushman, W.C.; Wang, J. Adherence to Single-Pill Versus Free-Equivalent Combination Therapy in Hypertension: A Systematic Review and Meta-Analysis. Hypertension 2021, 77, 692–705. [Google Scholar] [CrossRef]
- Sherrill, B.; Halpern, M.; Khan, S.; Zhang, J.; Panjabi, S. Single-Pill vs Free-Equivalent Combination Therapies for Hypertension: A Meta-Analysis of Health Care Costs and Adherence. J. Clin. Hypertens. (Greenwich) 2011, 13, 898–909. [Google Scholar] [CrossRef]
- Yang, W.; Chang, J.; Kahler, K.H.; Fellers, T.; Orloff, J.; Wu, E.Q.; Bensimon, A.G. Evaluation of Compliance and Health Care Utilization in Patients Treated with Single Pill vs. Free Combination Antihypertensives. Curr. Med. Res. Opin. 2010, 26, 2065–2076. [Google Scholar] [CrossRef] [PubMed]
- Verma, A.A.; Khuu, W.; Tadrous, M.; Gomes, T.; Mamdani, M.M. Fixed-Dose Combination Antihypertensive Medications, Adherence, and Clinical Outcomes: A Population-Based Retrospective Cohort Study. PLoS Med. 2018, 15, e1002584. [Google Scholar] [CrossRef] [PubMed]
- Baser, O.; Andrews, L.M.; Wang, L.; Xie, L. Comparison of Real-World Adherence, Healthcare Resource Utilization and Costs for Newly Initiated Valsartan/Amlodipine Single-Pill Combination versus Angiotensin Receptor Blocker/Calcium Channel Blocker Free-Combination Therapy. J. Med. Econ. 2011, 14, 576–583. [Google Scholar] [CrossRef] [PubMed]
- Machnicki, G.; Ong, S.H.; Chen, W.; Wei, Z.J.; Kahler, K.H. Comparison of Amlodipine/Valsartan/Hydrochlorothiazide Single Pill Combination and Free Combination: Adherence, Persistence, Healthcare Utilization and Costs. Curr. Med. Res. Opin. 2015, 31, 2287–2296. [Google Scholar] [CrossRef] [PubMed]
- Tung, Y.-C.; Lin, Y.-S.; Wu, L.-S.; Chang, C.-J.; Chu, P.-H. Clinical Outcomes and Healthcare Costs in Hypertensive Patients Treated with a Fixed-Dose Combination of Amlodipine/Valsartan. J. Clin. Hypertens. (Greenwich) 2015, 17, 51–58. [Google Scholar] [CrossRef]
- Kawalec, P.; Holko, P.; Stawowczyk, E.; Borowiec, Ł.; Filipiak, K.J. Economic Evaluation of Single-Pill Combination of Indapamide and Amlodipine in the Treatment of Arterial Hypertension in the Polish Setting. Kardiol. Pol. (Pol. Heart J.) 2015, 73, 768–780. [Google Scholar] [CrossRef]
- Wang, X.; Chen, H.; E, E.; Wu, J.; Serna, O.; Paranjpe, R.; Abughosh, S. Cost-Effectiveness Analysis of Antihypertensive Triple Combination Therapy among Patients Enrolled in a Medicare Advantage Plan. Expert Rev. Pharm. Outcomes Res. 2021, 21, 829–836. [Google Scholar] [CrossRef]
- Degli Esposti, L.; Saragoni, S.; Buda, S.; Degli Esposti, E. Drug Adherence to Olmesartan/Amlodipine Fixed Combination in an Italian Clinical Practice Setting. Clin. Outcomes Res. 2014, 6, 209–216. [Google Scholar] [CrossRef][Green Version]
- Perrone, V.; Veronesi, C.; Gambera, M.; Nati, G.; Perone, F.; Tagliabue, P.F.; Degli Esposti, L.; Volpe, M. Treatment with Free Triple Combination Therapy of Atorvastatin, Perindopril, Amlodipine in Hypertensive Patients: A Real-World Population Study in Italy. High Blood Press Cardiovasc. Prev. 2019, 26, 399–404. [Google Scholar] [CrossRef]
- Sohn, I.S.; Ihm, S.-H.; Kim, G.H.; Park, S.M.; Hong, B.-K.; Lee, C.H.; Lee, S.H.; Chang, D.-I.; Joo, S.-P.; Lee, S.-C.; et al. Real-World Evidence on the Strategy of Olmesartan-Based Triple Single-Pill Combination in Korean Hypertensive Patients: A Prospective, Multicenter, Observational Study (RESOLVE-PRO). Clin. Hypertens. 2021, 27, 21. [Google Scholar] [CrossRef]
- Ren, M.; Xuan, D.; Lu, Y.; Fu, Y.; Xuan, J. Economic Evaluation of Olmesartan/Amlodipine Fixed-Dose Combination for Hypertension Treatment in China. J. Med. Econ. 2020, 23, 394–400. [Google Scholar] [CrossRef] [PubMed]
- Wang, X.; Chen, H.; Essien, E.; Wu, J.; Serna, O.; Paranjpe, R.; Abughosh, S. Medication Adherence to Antihypertensive Triple-Combination Therapy Among Patients Enrolled in a Medicare Advantage Plan. J. Manag. Care Spec. Pharm. 2019, 25, 678–686. [Google Scholar] [CrossRef] [PubMed]
- Moran, A.; Rasmussen, P.; Zhao, R.; Coxson, P.G.; Guzman, D.; Pletcher, M.; Bibbins-Domingo, K.; Goldman, L. Abstract MP019: Should Global Cardiovascular Risk Guide Treatment of Stage One Hypertension? A Cost-Effectiveness Analysis. Circulation 2012, 125, AMP019. [Google Scholar] [CrossRef]
- Jafar, T.H.; Tan, N.C.; Allen, J.C.; Finkelstein, E.A.; Goh, P.; Moey, P.; Quah, J.H.M.; Hwang, S.W.; Bahadin, J.; Thiagarajah, A.G.; et al. Management of Hypertension and Multiple Risk Factors to Enhance Cardiovascular Health in Singapore: The SingHypertension Cluster Randomized Trial. Trials 2018, 19, 180. [Google Scholar] [CrossRef] [PubMed]
- Kjeldsen, S.E.; Messerli, F.H.; Chiang, C.-E.; Meredith, P.A.; Liu, L. Are Fixed-Dose Combination Antihypertensives Suitable as First-Line Therapy? Curr. Med. Res. Opin. 2012, 28, 1685–1697. [Google Scholar] [CrossRef]
- Benjamin, I.J.; Kreutz, R.; Olsen, M.H.; Schutte, A.E.; Lopez-Jaramillo, P.; Frieden, T.R.; Sliwa, K.; Lackland, D.T.; Brainin, M. Fixed-Dose Combination Antihypertensive Medications. Lancet 2019, 394, 637–638. [Google Scholar] [CrossRef]

| Non-Selective β1/β2 Agents | ||||
|---|---|---|---|---|
Bucindolol 1![]() | carteolol![]() | Carvedilol 1,3![]() | Labetalol 1,3![]() | nadolol![]() |
Oxeprenolol 2![]() | Penbutolol 2![]() | Pindolol 2![]() | propranolol![]() | timolol![]() |
| β1-selective agents | ||||
acebutolol![]() | atenolol![]() | betaxolol![]() | bisoprolol![]() | celiprolol![]() |
esmolol![]() | metoprolol![]() | Nebivolol 3![]() | ||
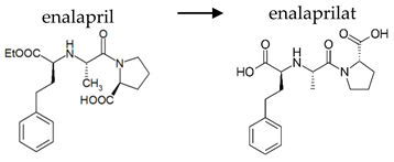
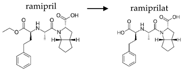
| Drugs Directly Inhibit the Activity of the Angiotensin Converting Enzyme | |||
|---|---|---|---|
![]() | ![]() | ||
| Prodrugs and its active forms | |||
![]() | ![]() | ||
![]() | ![]() | ||
![]() | ![]() | ||
![]() | ![]() | ||
![]() | ![]() | ||
![]() | |||
| Name of Clinical Trial | Randomized Patients | Studied Drugs | Effect | Literature |
|---|---|---|---|---|
| EUROPA | 12,218 | Perindopril + beta-blocker | reduced cardiovascular disease and mortality | [32] |
| Pol-Fokus | 12,375 | ACE-I + beta-blocker | the most commonly prescribed drug combination | [33] |
| Name of Drugs | Date of Approval (FDA) | Date of Approval (DCG) |
|---|---|---|
| SPC with beta-blockers | ||
| Atenolol 50 mg + Nifedipine 20 mg | - | 1990 |
| Timolol maleate 25 mg + Hydrochlorothiazide 10 mg | 1981 * | - |
| Metoprolol tartrate 50 mg + Hydrochlorothiazide 25 mg | 1984 | 1982 |
| Propranolol hydrochloride 40/80 mg + Hydrochlorothiazide 25 mg | 1987 | 1982 |
| Propranolol hydrochloride 80 mg + Bendrafluazide 2.5 mg | - | 1982 |
| Nadolol 40/80 mg + Bendroflumethiazide 5 mg | 1983 | - |
| Acebutolol hydrochloride 200 mg + Hydrochlorothiazide 12.5 mg | - | 1986 |
| Labetalol hydrochloride 100/200/300/400 mg + Hydrochlorothiazide 25 mg | 1987 * | - |
| Metoprolol tartrate 100/200 mg + Chlorthalidone 25 mg | 1987 * | - |
| Atenolol 25/50/100 mg + Chlorthalidone 6.25/12.5/25 mg | 1990 | 2008 |
| Betaxolol hydrochloride 5/10 mg + Chlorthalidone 12.5 mg | 1992 * | - |
| Pindolol 5/10 mg + Hydrochlorothiazide 25 mg | 1995 * | - |
| Atenolol 30 mg + Nitrendipine 10/20 mg | - | 1995 |
| Atenolol 25/50 mg + Amlodipine besylate 2.5/5 mg | - | 1996 |
| Bisoprolol fumarate 2.5/5/10 mg + Hydrochlorothiazide 6.25 mg | 2000 | 1999 |
| Atenolol 50 mg + Lercanidipine 10 mg | - | 2003 |
| Nabivolol hydrochloride 5 mg + Hydrochlorothiazide 12.5 mg | - | 2004 |
| Atenolol 50 mg + Losartan 50 mg | - | 2005 |
| Atenolol 25/50 mg + Hydrochlorothiazide 12.5/25 mg | - | 2005 |
| Bisoprolol 2.5/5 mg + Amlodipine 5 mg | - | 2005 |
| Metoprolol succinate 25/50/100 mg + Hydrochlorothiazide 12.5 mg | 2006 | 2005 |
| Nebivolol hydrochloride 5 mg + Valsartan 80 mg | 2016 * | 2006 |
| Nevibolol hydrochloride 5 mg + Amlodipine besylate 5/10 mg | - | 2006 |
| Atenolol 25/50 mg + Indapamide 1.5 mg | - | 2007 |
| Nebivolol 2.5/5 mg + Indapamide 1.5 mg | - | 2010 |
| Metoprolol succinate 25/50 mg + Telmisartan 20/40 mg | - | 2010 |
| Carvedilol 6.25/12.5/25 mg + Ivabradine hydrochloride 5/7.5 mg | - | 2018 |
| SPC with ACE-I | ||
| Enalapril maleate 5/10 mg + Hydrochlorothiazide 12.5/25 mg | 1986 | 1992 |
| Captopril 25/50 mg + Hydrochlorothiazide 15/25 mg | - | 1989 |
| Benazepril hydrochloride 5/10/20 mg + Hydrochlorothiazide 6.25/12.5/25 mg | 1992 | 1998 |
| Fosinopril sodium 10/20 mg + Hydrochlorothiazide 12.5 mg | 1994 | - |
| Benazepril hydrochloride 10/20/40 mg + Amlodipine besylate 2.5/5/10 mg | 1995 | 2002 |
| Enalapril Maleate 2.5/5 mg + Amlodipine 2.5/5 mg/2.5 | - | 1995 |
| Lisinopril 5/10/20 mg + Hydrochlorothiazide 12.5/25 mg | - | 1995 |
| Enalapril maleate 5 mg + Felodipine 2.5/5 mg | 1996 | - |
| Trandolapril 1/2/4 mg + Verapamil hydrochloride 180/240 mg | 1996 | 2006 |
| Ramipril 2.5/5 mg + Hydrochlorothiazide 12.5/25 mg | - | 1996 |
| Moexipril hydrochloride 7.5/15 mg + Hydrochlorothiazide 12.5/25 mg | 1997 | - |
| Lisinoril 5 mg + Amlodipine besylate 2.5/5 mg | - | 1997 |
| Perindopril 2/4 mg + Indepamide 0.625/1.25 mg | - | 1998 |
| Quinapril hydrochloride 10/20 mg + Hydrochlorothiazide 12.5/25 mg | 1999 | 2003 |
| Ramipril 2.5/5/10 mg + Amlodipine 2.5/5 mg | - | 2003 |
| Ramipril 2.5/ 5 mg + Candesartan cilexatil 8 mg | - | 2003 |
| Ramipril 2.5/5 mg + Losartan Potassium 50 mg | - | 2003 |
| Ramipril 2.5/5 mg + Telmisartan 40 mg | - | 2005 |
| Enalapril 2.5/5 mg + Hydrochlorothiazide 12.5 mg | - | 2005 |
| Perindopril arginine 3.5/7/14 mg + Amlodipine besylate 2.5/5/10 mg | 2015 | 2007 |
| Ramipril 2.5/5 mg + Atorvastatin Calcium 10/20 mg | - | 2007 |
| Ramipril 5 mg + Olmesartan medoximil 20/40 mg | - | 2007 |
| Ramipril 2.5/5 mg + Metolazone 2.5 mg | - | 2008 |
| Ramipril 2.5 mg + Indapamide 1.5 mg | - | 2009 |
| SPC with beta-blockers and ACE-I | ||
| Metoprolol succinate 25/50 mg + Ramipril 2.5/5 mg | - | 2007 |
| Metoprolol 25/50 mg + Ramipril 2.5/5/10 mg + Atorvastatin 10/20 mg | - | 2009 |
| Atenolol 50 mg + Ramipril 5 mg + Simvastatin 20 mg + Hydrochlorothiazide 12.5 mg | - | 2009 |
| Atenolol 25/50 mg + Lisinopril 5/10 mg + Simvastatin 10/20 mg | - | 2010 |
| Bisoprolol 5/10 mg + Perindopril 5/10 mg | Available in EU from 2015 | |
| SPC with beta-blockers and/or ACE-I and statins | ||
| Metoprolol 25/50 mg + Atorvastatin 10 mg | - | 2010 |
| Metoprolol Succinate 25/50 mg + Atorvastatin 10 mg | - | 2008 |
| Metoprolol 50/50/25 mg + Atorvastatin 20/10/10 mg + Ramipril 10/5/2.5 mg | - | 2009 |
| Simvastatin 20 mg + Ramipril 5 mg + Atenolol 50 mg + HCTZ 12.5 mg + Aspirin 100 mg | - | 2009 |
| Metoprolol Succinate 25/50 mg + Atorvastatin 10 mg | - | 2008 |
| Atorvastatin 10 mg + Ramipril 5 mg + Aspirin 75/150 mg + Metoprolol 25 mg | - | 2010 |
| Aspirin 75 mg + Simvastatin 10/20 mg + Lisinopril 5/10 mg + Atenolol 25/50 mg | - | 2010 |
| Atorvastatin Calcium 10 mg + Ramipril 2.5/5 mg | - | 2007 |
| Atorvastatin 20 mg + Ramipril 2.5/5 mg | - | 2010 |
| SPC with beta-blockers and/or ACE-I and anticoagulant drugs | ||
| Simvastatin 20 mg + Ramipril 5 mg + Atenolol 50 mg + HCTZ 12.5 mg + Aspirin 100 mg | - | 2009 |
| Atorvastatin 10 mg + Ramipril 5 mg + Aspirin 75/150 mg + Metoprolol 25 mg | - | 2010 |
| Metoprolol tartarate 25/50 mg + Clopidogrel 75 mg | - | 2010 |
| SPC with beta-blockers and/or ACE-I and antidiabetic drugs | ||
| No formulation has been accepted | - | - |
Publisher’s Note: MDPI stays neutral with regard to jurisdictional claims in published maps and institutional affiliations. |
© 2022 by the authors. Licensee MDPI, Basel, Switzerland. This article is an open access article distributed under the terms and conditions of the Creative Commons Attribution (CC BY) license (https://creativecommons.org/licenses/by/4.0/).
Share and Cite
Paczkowska-Walendowska, M.; Sip, S.; Staszewski, R.; Cielecka-Piontek, J. Single-Pill Combination to Improve Hypertension Treatment: Pharmaceutical Industry Development. Int. J. Environ. Res. Public Health 2022, 19, 4156. https://doi.org/10.3390/ijerph19074156
Paczkowska-Walendowska M, Sip S, Staszewski R, Cielecka-Piontek J. Single-Pill Combination to Improve Hypertension Treatment: Pharmaceutical Industry Development. International Journal of Environmental Research and Public Health. 2022; 19(7):4156. https://doi.org/10.3390/ijerph19074156
Chicago/Turabian StylePaczkowska-Walendowska, Magdalena, Szymon Sip, Rafał Staszewski, and Judyta Cielecka-Piontek. 2022. "Single-Pill Combination to Improve Hypertension Treatment: Pharmaceutical Industry Development" International Journal of Environmental Research and Public Health 19, no. 7: 4156. https://doi.org/10.3390/ijerph19074156
APA StylePaczkowska-Walendowska, M., Sip, S., Staszewski, R., & Cielecka-Piontek, J. (2022). Single-Pill Combination to Improve Hypertension Treatment: Pharmaceutical Industry Development. International Journal of Environmental Research and Public Health, 19(7), 4156. https://doi.org/10.3390/ijerph19074156
































