Impact of Weather on Pedestrians’ Slip Risk
Abstract
:1. Introduction
- The daily average temperature was between −2 and 0 °C;
- The temperature crossed zero degrees during the day;
- There was at least some precipitation during the day.
2. Materials and Methods
3. Results
3.1. General Information about Data and Slips
3.2. Temporal Distribution of Peak Days of Slipping Injuries
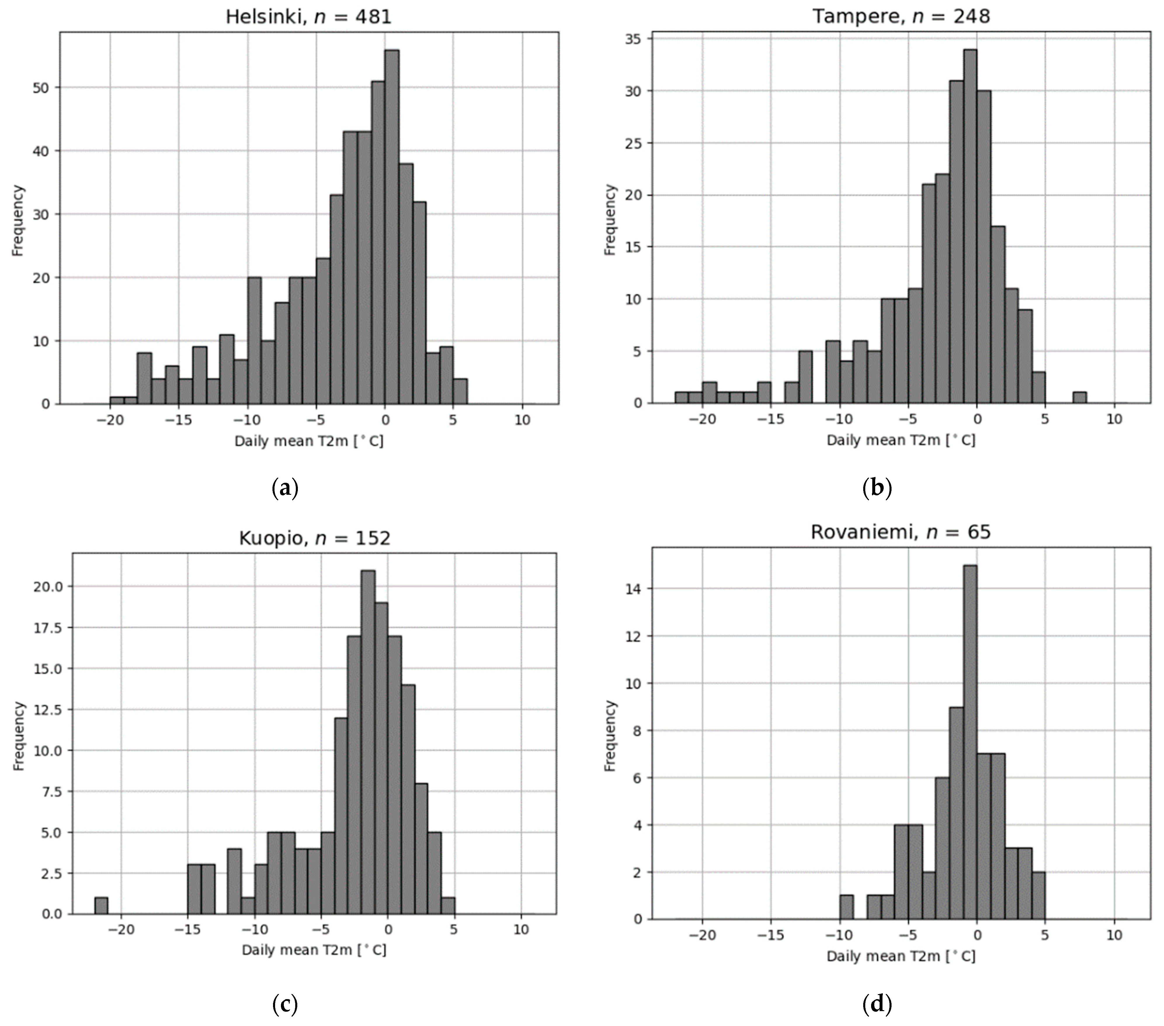
3.3. Temperature on Peak Days of Slipping Injuries
3.4. Precipitation and Snow Amount on Peak Days of Slipping Injuries
3.5. Weather before Peak Days of Slipping Injuries
4. Discussion
5. Conclusions
Supplementary Materials
Author Contributions
Funding
Institutional Review Board Statement
Informed Consent Statement
Data Availability Statement
Acknowledgments
Conflicts of Interest
References
- Jääskeläinen, S. Kävelyn Ja Pyöräilyn Edistämisohjelma (Programme for the Promotion of Walking and Cycling. Abstract in English); Ministry of Transport and Communications: Helsinki, Finland, 2018. Available online: https://julkaisut.valtioneuvosto.fi/bitstream/handle/10024/160720/LVM_5_2018.pdf?sequence=1&isAllowed=y (accessed on 31 January 2022).
- Liimatainen, H.; Nykänen, L.; Rantala, T.; Rehunen, A.; Ristimäki, M.; Strandell, A.; Seppälä, J.; Kytö, M.; Puroila, S.; Ollikainen, M. Tarve, Tottumukset, Tekniikka Ja Talous—Ilmastonmuutoksen Hillinnän Toimenpiteet Liikenteessä (Need, Habits, Technology and Economy—Climate Change Mitigation Measures in Transport. Summary in English). 2015. Available online: https://www.ilmastopaneeli.fi/wp-content/uploads/2018/10/TARVE-TOTTUMUKSET-TEKNIIKKA-JA-TALOUS-%E2%80%93-ILMASTONMUUTOKSEN-HILLINNAN-TOIMENPITEET-LIIKENTEESSA.pdf (accessed on 31 January 2022).
- Mannola, M.; Aavajoki, S.; Koramo, M.; Lamuela, C.; Päivänen, J. Kävelyn Ja Pyöräilyn Edistämisen Mahdollisuudet Ja Esteet (Potential and Challenges in Promoting Walking and Cycling Publications. Abstract in English); Valtioneuvosto Statsrådet: Helsinki, Finland, 2021; Available online: http://urn.fi/URN:ISBN:978-952-383-398-2 (accessed on 31 January 2022).
- Mueller, N.; Rojas-Rueda, D.; Cole-Hunter, T.; de Nazelle, A.; Dons, E.; Gerike, R.; Götschi, T.; Int Panis, L.; Kahlmeier, S.; Nieuwenhuijsen, M. Health Impact Assessment of Active Transportation: A Systematic Review. Prev. Med. 2015, 76, 103–114. [Google Scholar] [CrossRef] [PubMed]
- Andersson, R.; Lagerlo, E. Accident Data in the New Swedish Information System on Occupational Injuries. Ergonomics 1983, 26, 33–42. [Google Scholar] [CrossRef] [PubMed]
- Lund, J. Accidental Falls at Work, in the Home and during Leisure Activities. J. Occup. Accid. 1984, 6, 181–193. [Google Scholar] [CrossRef]
- Strandberg, L. The Effectof Conditions Underfoot on Falling and Overexertion Accidents. Ergonomics 1985, 28, 131–147. [Google Scholar] [CrossRef]
- Björnstig, U.; Björnstig, J.; Dahlgren, A. Slipping on Ice and Snow - Elderly Women and Young Men Are Typical Victims. Accid. Anal. Prev. 1997, 29, 211–215. [Google Scholar] [CrossRef]
- Eilert-Petersson, E.; Schelp, L. An Epidemiological Study of Non-Fatal Pedestrian Injuries. Saf. Sci. 1998, 29, 125–141. [Google Scholar] [CrossRef]
- Kemmlert, K.; Lundholm, L. Slips, Trips and Falls in Different Work—With Reference to Age and from a Preventive Perspective. Appl. Ergon. 2001, 32, 149–153. [Google Scholar] [CrossRef]
- Emaus, N.; Olsen, L.R.; Ahmed, L.A.; Balteskard, L.; Jacobsen, B.K.; Magnus, T.; Ytterstad, B. Hip Fractures in a City in Northern Norway over 15 Years: Time Trends, Seasonal Variation and Mortality The Harstad Injury Prevention Study. Osteoporos. Int. 2011, 22, 2603–2610. [Google Scholar] [CrossRef] [Green Version]
- Flinkkilä, T.; Sirniö, K.; Hippi, M.; Hartonen, S.; Ruuhela, R.; Ohtonen, P.; Hyvönen, P.; Leppilahti, J. Epidemiology and Seasonal Variation of Distal Radius Fractures in Oulu, Finland. Osteoporos. Int. 2011, 22, 2307–2312. [Google Scholar] [CrossRef]
- Vuoriainen, T.; Helenius, M.; Heikkilä, J.; Olkkonen, S. Jalankulkijoiden Ja Pyöräilijöiden Kaatumistapaturmat, Espoo, Helsinki, Jyväskylä Ja Oulu (Incidence of Falls by Pedestrians and Cyclists in Espoo, Helsinki, Jyväskylä and Oulu. Abstract in English); Finnra, Road and Traffic Technology: Helsinki, Finland, 2000; Available online: https://www.doria.fi/handle/10024/138968 (accessed on 31 January 2022).
- Oxley, J.; O’Hern, S.; Burtt, D.; Rossiter, B. Falling While Walking: A Hidden Contributor to Pedestrian Injury. Accid. Anal. Prev. 2018, 114, 77–82. [Google Scholar] [CrossRef]
- Penttinen, M.; Nygård, M.; Harjula, V.; Eskelinen, M. Jalankulkijoiden Liukastumiset, Vaikeimmat Kelit Ja Niiden Ennustaminen Sekä Tiedottamiskokeilu Pääkaupunkiseudulla. (Pedestrian Slipping Accidents, Detecting and Forecasting of Hazardous Road Conditions. Abstract in English); Technical Research Centre of Finland: Espoo, Finland, 1999; Available online: http://www.vtt.fi/inf/pdf/tiedotteet/1999/T1998.pdf (accessed on 31 January 2022).
- Courtney, T.K.; Sorock, G.S.; Manning, D.P.; Collins, J.W.; Holbein-Jenny, M.A. Occupational Slip, Trip, and Fall-Related Injuries—Can the Contribution of Slipperiness Be Isolated? Ergonomics 2001, 44, 1118–1137. [Google Scholar] [CrossRef]
- Gard, G.; Lundborg, G. Pedestrians on Slippery Surfaces during Winter - Methods to Describe the Problems and Practical Tests of Anti-Skid Devices. Accid. Anal. Prev. 2000, 32, 455–460. [Google Scholar] [CrossRef]
- Haslam, R.A.; Bentley, T.A. Follow-up Investigations of Slip, Trip and Fall Accidents among Postal Delivery Workers. Saf. Sci. 1999, 32, 33–47. [Google Scholar] [CrossRef]
- Merrild, U.; Bak, S. An Excess of Pedestrian Injuries in Icy Conditions: A High-Risk Fracture Group-Elderly Women. Accid. Anal. Prev. 1983, 15, 41–48. [Google Scholar] [CrossRef]
- Shintani, Y.; Hara, F.; Akiyama, T. Promoting The Pedestrian Safety In Cold, Snowy Regions In Winter: A Case Study Of Winter Walking Environment In Sapporo, Hokkaido. In Proceedings of the 11th International Winter Road Congress, Sapporo, Japan, 28–31 January 2002. [Google Scholar]
- Unguryanu, T.N.; Grjibovski, A.M.; Trovik, T.A.; Ytterstad, B.; Kudryavtsev, A.V. Weather Conditions and Outdoor Fall Injuries in Northwestern Russia. Int. J. Environ. Res. Public Health 2020, 17, 6096. [Google Scholar] [CrossRef]
- Airaksinen, N. Polkupyöräilijöiden, Mopoilijoiden Ja Moottoripyöräilijöiden Tapaturmat—Vammojen Vakavuus Ja Tapaturmien Tilastointi (Accidents among Cyclists, Moped Drivers and Motorcyclists—Factors Related to Injuries and Accident Statistics. Abstract in English). Ph.D. Thesis, Faculty of Health Sciences, University of Eastern Finland, Kuopio, Finland, 2018. Available online: http://urn.fi/URN:ISBN:978-952-61-2865-8 (accessed on 31 January 2022).
- Utriainen, R. Characteristics of Commuters’ Single-Bicycle Crashes in Insurance Data. Safety 2020, 6, 13. [Google Scholar] [CrossRef] [Green Version]
- Sundfør, H.B.; Bjørnskau, T. Injuries to Pedestrians in Oslo in 2016—An Analysis of Injury Data from Oslo Medical Emergency Clinic; Institute of Transport Economics, Norwegian Centre for Transport Research: Oslo, Norway, 2017; Available online: https://www.toi.no/getfile.php/1347564-1523882396/Publikasjoner/T%C3%98I%20rapporter/2017/1609-2017/1609-2017_Summary.pdf (accessed on 3 March 2022).
- Methorst, R.; Schepers, P.; Christie, N.; Dijst, M.; Risser, R.; Sauter, D.; van Wee, B. ’Pedestrian Falls’ as Necessary Addition to the Current Definition of Traffic Crashes for Improved Public Health Policies. J. Transp. Health 2017, 6, 10–12. [Google Scholar] [CrossRef] [Green Version]
- Karlsson, C. Statistik Av Halkolyckor Jämförd Med Meteorologiska Institutets Vädermeddelanden För Fotgängare. Master’s Thesis, University of Helsinki, Helsinki, Finland, 2013. (In Swedish). Available online: https://helda.helsinki.fi/handle/10138/42542 (accessed on 31 January 2022).
- Hippi, M.; Hartonen, S.; Hirvonen, M. Työmatkatapaturmien Vähentäminen Kelivaroitusmallia Kehittämällä (Reducing Commuting Accidents by Developing a Weather Warning Model. Abstract in English). Helsinki. 2017. Available online: https://helda.helsinki.fi/bitstream/handle/10138/224484/jalankulku.pdf (accessed on 31 January 2022).
- Hautala, R.; Leviäkangas, P. Ilmatieteen Laitoksen Palveluiden Vaikuttavuus. Hyötyjen Arviointi Ja Arvottaminen Eri Hyödyntäjätoimialoilla (Effectiveness of Finnish Meteorological Institute (FMI) Services. Abstract in English); VTT Technical Research Centre of Finland: Espoo, Finland, 2007; Available online: http://www.vtt.fi/inf/pdf/publications/2007/P665.pdf (accessed on 31 January 2022).
- Finnish Transport Infrastructure Agency. Winter Road Maintenance Methods in Finland; Finnish Transport Infrastructure Agency: Tampere, Finland, 1993; Available online: https://www.doria.fi/handle/10024/131129 (accessed on 31 January 2022).
- Hippi, M.; Kangas, M.; Ruuhela, R.; Ruotsalainen, J.; Hartonen, S. RoadSurf-Pedestrian: A Sidewalk Condition Model to Predict Risk for Wintertime Slipping Injuries. Meteorol. Appl. 2020, 27, e1955. [Google Scholar] [CrossRef]
- Finnish Transport Agency. Henkilöliikennetutkimus 2016, Suomalaisten Liikkuminen (National Travel Survey 2016. Summary in English). 2018. Available online: https://julkaisut.vayla.fi/pdf8/lti_2018-01_henkiloliikennetutkimus_2016_web.pdf (accessed on 31 January 2022).
- Öberg, G. Skadade Fotgängare—Fokus På Drift Och Underhåll Vid Analys Av Sjukvårdsregistrerade Skadade i STRADA (Injured Pedestrians—A Focus on Highway Maintenance Procedures through Analysis of Hospital Registered Injury Data from STRADA. Abstract in English), VTI. 2011. Available online: http://www.diva-portal.org/smash/record.jsf?pid=diva2%3A670581&dswid=8833 (accessed on 31 January 2022).
- Rantala, S.-S.; Pöysti, L. Jalankulkijoiden Liukastumiset (Pedestrian Slipping Injuries), Liikenneturva. 2015. (In Finnish). Available online: https://docplayer.fi/39916067-Jalankulkijoiden-liukastumiset-liikenneturva-2015.html (accessed on 31 January 2022).
- Grönqvist, R.; Chang, W.R.; Courtney, T.K.; Leamon, T.B.; Redfern, M.S.; Strandberg, L. Measurement of Slipperiness: Fundamental Concepts and Definitions. Ergonomics 2001, 44, 1102–1117. [Google Scholar] [CrossRef]
- Nicholson, A.; Wong, Y.D. Are Accidents Poisson Distributed? A Statistical Test. Accid. Anal. Prev. 1993, 25, 91–97. [Google Scholar] [CrossRef]
- Ruuhela, R.; Ruotsalainen, J.; Kangas, M.; Aschan, C.; Rajamäki, E.; Hirvonen, M.; Mannelin, T. Kelimallin Kehittäminen Talvijalankulun Turvallisuuden Parantamiseksi (Predicting Wintertime Pavement Conditions for Safety of Pedestrian. Abstract in English); Finnish Meteorological Institute: Helsinki, Finland, 2005; Available online: https://helda.helsinki.fi/bitstream/handle/10138/1061/2005no1.pdf (accessed on 31 January 2022).
- Statistics Finland, Helsinki. Official Statistics of Finland (OSF): Employment [e-Publication]. 2022. Available online: http://www.stat.fi/til/tyokay/index_en.html (accessed on 31 January 2022).
- Venäläinen, A.; Tuomenvirta, H.; Pirinen, P.; Drebs, A. A Basic Finnish Climate Data Set 1961–2000—Description and Illustrations; Finnish Meteorological Institute: Helsinki, Finland, 2005. [Google Scholar] [CrossRef]
- Aalto, J.; Pirinen, P.; Jylhä, K. Journal of Geophysical Research. Nature 1955, 175, 238. [Google Scholar] [CrossRef]
- Finnish Meteorological Institute. Temperature and Precipitation Statistics from 1961 Onwards. 2022. Available online: https://en.ilmatieteenlaitos.fi/statistics-from-19 (accessed on 31 January 2022).
- Lépy, É.; Rantala, S.; Huusko, A.; Nieminen, P.; Hippi, M.; Rautio, A. Role of Winter Weather Conditions and Slipperiness on Tourists’ Accidents in Finland. Int. J. Environ. Res. Public Health 2016, 13, 822. [Google Scholar] [CrossRef] [PubMed] [Green Version]
- Pastinen, V.; Rantala, A.; Lehto, H. Henkilöliikennetutkimus 2016 (National Travel Survey 2016. Summary in English); Finnish Transport Agency: Helsinki, FInland, 2018; Available online: https://julkaisut.vayla.fi/pdf8/lts_2018-14_henkiloliikennetutkimus_tekninen_web.pdf (accessed on 31 January 2022).
- Jylhä, K.; Ruosteenoja, K.; Räisänen, J.; Venäläinen, A.; Heikki, T.; Leena, R.; Saku, S.; Seitola, T. Arvioita Suomen Muuttuvasta Ilmastosta Sopeutumistutkimuksia Varten (The Changing Climate in Finland: Estimates for Adaptation Studies. Abstract in English); Finnish Meteorological Institute: Helsinki, Finland, 2009; Available online: http://hdl.handle.net/10138/15711 (accessed on 31 January 2022).
- Bezemer, P. Liukastumisvaroituspalvelun Kehittäminen (SMS Warning Service Development. Abstract in English). Bachelor’s Thesis, Tampere University of Applied Sciences, Tampere, Finland, 2014. Available online: https://urn.fi/URN:NBN:fi:amk-2014060211297 (accessed on 31 January 2022).
- Kawamura, F.; Ueda, S.; Nikaido, H.; Kaneda, Y.; Nagata, Y.; Kanemura, N.; Watanabe, Y.; Hoshino, H. Efforts to Forecast Icy Road Surface Slipperiness Levels in Winter in Sapporo, Hokkaido, Japan. In Proceedings of the ISCORD 2019, 12th Symposium on Cold Regions Development, Oulu, Finland, 17–19 June 2019; Available online: https://iscord2019.exordo.com/programme/presentation/118 (accessed on 31 January 2022).
- Sylvestre, G. An Icy Response to the Collective Need for Winter Walkability: Mobilities Research and the Surefoot Winter Walking Conditions Bulletin. Prairie Perspect. Geogr. Essays 2016, 18, 24–31. [Google Scholar]
- Aschan, C.; Hirvonen, M.; Rajamäki, E.; Mannelin, T.; Ruotsalainen, J.; Ruuhela, R. Performance of Slippery and Slip-Resistant Footwear in Different Wintry Weather Conditions Measured in Situ. Saf. Sci. 2009, 47, 1195–1200. [Google Scholar] [CrossRef]
- Larsson, A.; Berggård, G.; Rosander, P.; Gard, G. Gait Speed with Anti-Slip Devices on Icy Pedestrian Crossings Relate to Perceived Fall-Risk and Balance. Int. J. Environ. Res. Public Health 2019, 16, 2451. [Google Scholar] [CrossRef] [PubMed] [Green Version]
- Vartiainen, M.; Leskinen, T.; Grönqvist, R.; Forsman, P.; Plaketti, P.; Nieminen, K.; Toppila, E.; Takala, E.-P. Liukuesteiden Ja Nastakenkien Tehokkuus Kaatumisten Ehkäisyssä: Laboratoriotutkimus Jäällä (Effectiveness of Anti-Slip and Stud Shoes in Preventing Falls: A Laboratory Study on Ice. Abstract in English); Finnish Institute of Occupational Health: Helsinki, Finland, 2009; Available online: https://docplayer.fi/7507178-Liukuesteiden-ja-nastakenkien-tehokkuus-kaatumisten-ehkaisyssa-laboratoriotutkimus-jaalla-loppuraportti-tyoterveyslaitos-helsinki-2009.html (accessed on 31 January 2022).
- Malin, F.; Mesimäki, J.; Penttinen, M. Toiminnallisen Liukastumistapaturmat Ja Niiden Ehkäisy Toiminnallisen Tasa-Arvon Ja Yhdenvertaisuuden Näkökulmasta (Pedestrian Slip-and-Fall Accidents and Their Prevention: An Equality Perspective. Abstract in English); Ministry of Transport and Communications: Helsinki, Finland, 2022. Available online: https://urn.fi/URN:ISBN:978-952-243-742-6 (accessed on 24 February 2022).
- Kiiskilä, K. Kävely- Ja Pyöräilypolitiikka Euroopassa. Taustaa Suomen Toimintalinjatyölle (Walking and Cycling Policy in Europe. Background for Finnish Strategy Work. Abstract in English); Ministry of Transport and Communications: Helsinki, Finland, 2010. Available online: http://urn.fi/URN:ISBN:978-952-243-155-4 (accessed on 24 February 2022).







| City | Number of Employees | Total Amount of Slip Injuries | Total Amount of Slip Injuries in Winter | Injuries per Winter (%) | Injury Rate in Winter per 1000 Employees | Number of Days with High Slip Risk | Peak Day/Potential Peak Day Limit |
|---|---|---|---|---|---|---|---|
| Helsinki | 413,677 | 38,627 | 30,658 | 79.4% | 5.3 | 481 | 25/18 |
| Espoo | 126,820 | 10,376 | 8635 | 83.2% | 4.9 | 270 | 12/8 |
| Vantaa | 122,871 | 10,014 | 8405 | 83.9% | 4.9 | 248 | 12/8 |
| Tampere | 126,687 | 8878 | 7433 | 83.7% | 4.2 | 248 | 11/7 |
| Turku | 105,364 | 8148 | 6898 | 84.7% | 4.7 | 245 | 9/6 |
| Oulu | 92,267 | 5513 | 4887 | 88.6% | 3.8 | 156 | 11/7 |
| Kuopio | 53,394 | 4148 | 3576 | 86.2% | 4.8 | 152 | 8/5 |
| Lahti | 51,485 | 3533 | 3049 | 86.3% | 4.2 | 120 | 7/5 |
| Jyväskylä | 64,937 | 3916 | 3417 | 87.3% | 3.8 | 117 | 8/5 |
| Pori | 34,375 | 2408 | 2122 | 88.1% | 4.4 | 109 | 6/4 |
| Hämeenlinna | 28,520 | 1829 | 1598 | 87.4% | 4.0 | 77 | 6/4 |
| Joensuu | 34,321 | 1943 | 1738 | 89.4% | 3.6 | 76 | 6/4 |
| Kouvola | 30,500 | 1797 | 1628 | 90.6% | 3.8 | 72 | 6/4 |
| Rovaniemi | 27,311 | 1885 | 1694 | 89.9% | 4.4 | 65 | 6/4 |
| Lappeenranta | 31,700 | 1799 | 1591 | 88.4% | 3.6 | 59 | 6/4 |
| Vaasa | 37,070 | 1682 | 1491 | 88.6% | 2.9 | 54 | 6/4 |
Publisher’s Note: MDPI stays neutral with regard to jurisdictional claims in published maps and institutional affiliations. |
© 2022 by the authors. Licensee MDPI, Basel, Switzerland. This article is an open access article distributed under the terms and conditions of the Creative Commons Attribution (CC BY) license (https://creativecommons.org/licenses/by/4.0/).
Share and Cite
Hippi, M.; Kangas, M. Impact of Weather on Pedestrians’ Slip Risk. Int. J. Environ. Res. Public Health 2022, 19, 3007. https://doi.org/10.3390/ijerph19053007
Hippi M, Kangas M. Impact of Weather on Pedestrians’ Slip Risk. International Journal of Environmental Research and Public Health. 2022; 19(5):3007. https://doi.org/10.3390/ijerph19053007
Chicago/Turabian StyleHippi, Marjo, and Markku Kangas. 2022. "Impact of Weather on Pedestrians’ Slip Risk" International Journal of Environmental Research and Public Health 19, no. 5: 3007. https://doi.org/10.3390/ijerph19053007
APA StyleHippi, M., & Kangas, M. (2022). Impact of Weather on Pedestrians’ Slip Risk. International Journal of Environmental Research and Public Health, 19(5), 3007. https://doi.org/10.3390/ijerph19053007

