The Role of Off-Job Crafting in Burnout Prevention during COVID-19 Crisis: A Longitudinal Study
Abstract
:1. Introduction
1.1. Off-Job Crafting for Better Recovery from Work
1.2. Burnout
1.3. Study Aims and Research Questions
2. Methods
2.1. Participants and Procedures
2.2. Measures
2.3. Statistical Analysis
2.4. Ethical Considerations
3. Results
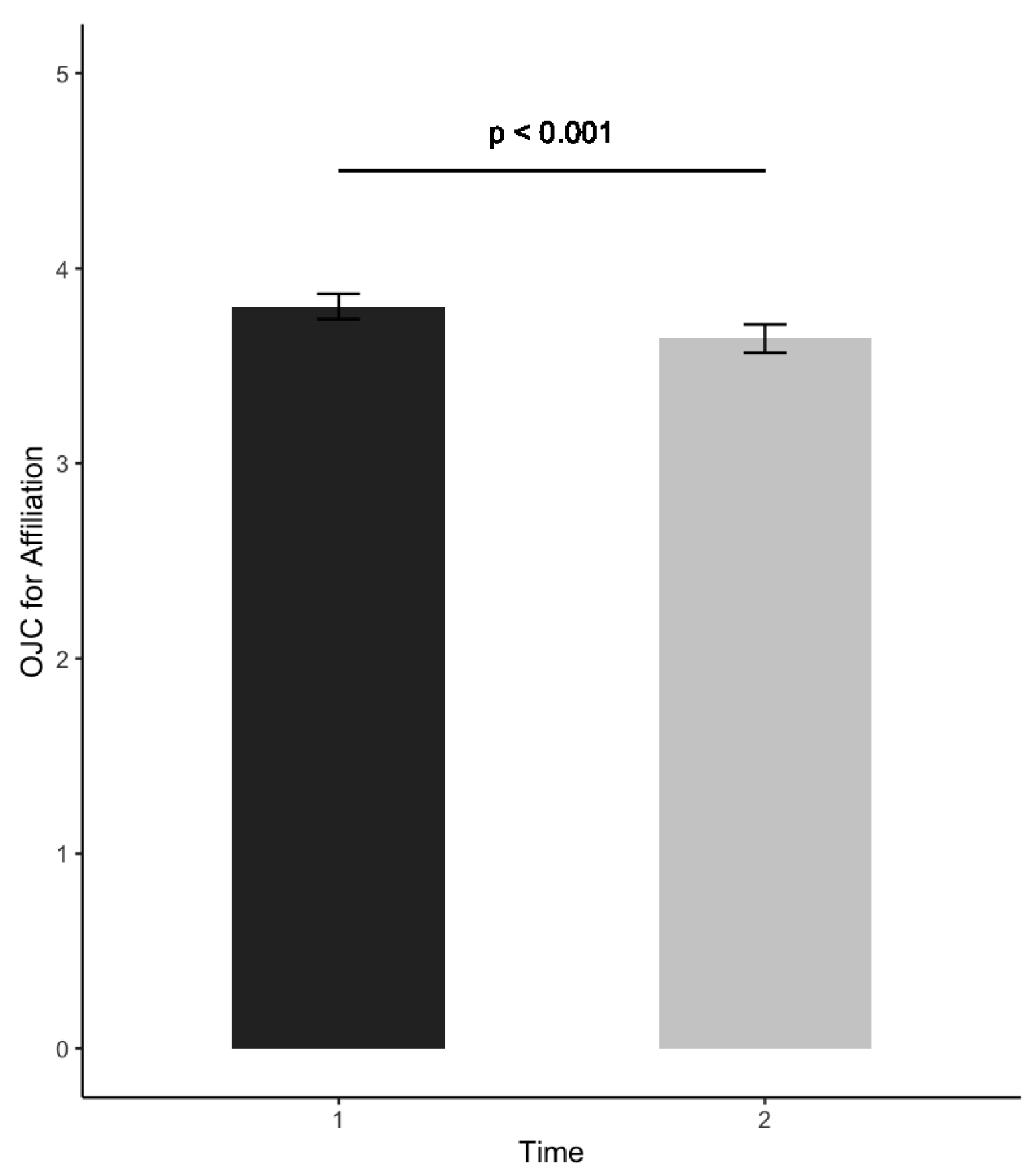
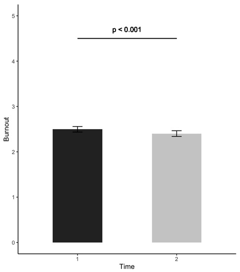
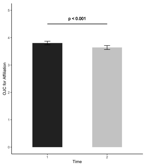
3.1. Changes and Associations between Off-Job Crafting and Burnout before and during the Crisis
3.2. Predictive Values of Off-Job Crafting before the Crisis on Burnout during the Crisis
4. Discussion
4.1. Theoretical Implications
4.2. Practical Implications
4.3. Limitations and Strengths
5. Conclusions
Supplementary Materials
Author Contributions
Funding
Informed Consent Statement
Data Availability Statement
Acknowledgments
Conflicts of Interest
References
- Rigotti, T.; Yang, L.-Q.; Jiang, Z.; Newman, A.; De Cuyper, N.; Sekiguchi, T. Work-related psychosocial risk factors and coping resources during the COVID-19 crisis. Appl. Psychol. 2021, 70, 3–15. [Google Scholar] [CrossRef] [PubMed]
- Tušl, M.; Brauchli, R.; Kerksieck, P.; Bauer, G.F. Impact of the COVID-19 crisis on work and private life, mental well-being and self-rated health in German and Swiss employees: A cross-sectional online survey. BMC Public Health 2021, 21, 741. [Google Scholar] [CrossRef] [PubMed]
- Sinclair, R.R.; Probst, T.M.; Watson, G.P.; Bazzoli, A. Caught between scylla and charybdis: How economic stressors and occupational risk factors influence workers’ occupational health reactions to COVID-19. Appl. Psychol. 2021, 70, 85–119. [Google Scholar] [CrossRef] [PubMed]
- Eurofound, Living, Working and COVID-19, COVID-19 Series; Publications Office of the European Union: Luxembourg, 2020. Available online: https://www.eurofound.europa.eu/publications/report/2020/living-working-and-covid-19 (accessed on 20 September 2021).
- Daumiller, M.; Rinas, R.; Hein, J.; Janke, S.; Dickhäuser, O.; Dresel, M. Shifting from face-to-face to online teaching during COVID-19: The role of university faculty achievement goals for attitudes towards this sudden change, and their relevance for burnout/engagement and student evaluations of teaching quality. Comput. Human. Behav. 2021, 118, 106677. [Google Scholar] [CrossRef]
- Swider, B.W.; Zimmerman, R.D. Born to burnout: A meta-analytic path model of personality, job burnout, and work outcomes. J. Vocat. Behav. 2010, 76, 487–506. [Google Scholar] [CrossRef]
- Ahola, K.R.; Gould, R.; Virtanen, M.; Honkonen, T.; Aromaa, A.; Lönnqvist, J. Occupational burnout as a predictor of disability pension: A population-based cohort study. Occup. Environ. Med. 2009, 6, 284–290. [Google Scholar] [CrossRef]
- Alarcon, G.M.; Edwards, J.M. The relationship of engagement, job satisfaction and turnover intentions. Stress Health 2011, 27, 294–298. [Google Scholar] [CrossRef]
- Honkonen, T.; Ahola, K.; Pertovaara, M.; Isometsä, E.; Kalimo, R.; Nykyri, E.; Aromaa, A.; Lönnqvist, J. The association between burnout and physical illness in the general population—Results from the Finnish Health 2000 Study. J. Psychosom. Res. 2006, 61, 59–66. [Google Scholar] [CrossRef]
- Allen, D.; Hines, E.W.; Pazdernik, V.; Konecny, L.T.; Breitenbach, E. Four-year review of presenteeism data among employees of a large United States health care system: A retrospective prevalence study. Hum. Resour. Health 2018, 16, 59. [Google Scholar] [CrossRef] [Green Version]
- Demerouti, E.; Bakker, A.B.; Halbesleben, J.R. Productive and counterproductive job crafting: A daily diary study. J. Occup. Health Psychol. 2015, 20, 457. [Google Scholar] [CrossRef] [Green Version]
- Maslach, C.; Goldberg, J. Prevention of burnout: New perspectives. Appl. Prev. Psychol. 1998, 7, 63–74. [Google Scholar] [CrossRef]
- Kujanpää, M.; Syrek, C.; Lehr, D.; Kinnunen, U.; Reins, J.A.; de Bloom, J. Need satisfaction and optimal functioning at leisure and work: A longitudinal validation study of the DRAMMA model. J. Happiness Stud. 2021, 22, 681–707. [Google Scholar] [CrossRef] [Green Version]
- Newman, D.B.; Tay, L.; Diener, E. Leisure and subjective well-being: A model of psychological mechanisms as mediating factors. J. Happiness Stud. 2014, 15, 555–578. [Google Scholar] [CrossRef]
- de Bloom, J.; Vaziri, H.; Tay, L.; Kujanpää, M. An identity-based integrative needs model of crafting: Crafting within and across life domains. J. Appl. Psychol. 2020, 105, 1423–1446. [Google Scholar] [CrossRef] [PubMed] [Green Version]
- Sonnentag, S.; Fritz, C. The Recovery Experience Questionnaire: Development and validation of a measure for assessing recuperation and unwinding from work. J. Occup. Health Psychol. 2007, 12, 204–221. [Google Scholar] [CrossRef] [Green Version]
- Wendsche, J.; Lohmann-Haislah, A.; Wegge, J. The impact of supplementary short rest breaks on task performance: A meta-analysis. Sozialpolitik 2016, 2, 2.3. [Google Scholar] [CrossRef]
- Kerksieck, P.; Kujanpää, M.; de Bloom Brauchli, R.; Bauer, F.G. Crafting beyond the job: Exploring antecedents and outcomes of boundary crafting and off-job crafting. Work Stress, 2020; manuscript under review. [Google Scholar]
- Poelmans, S.; Stepanova, O.; Masuda, A. Positive spillover between personal and professional life: Definitions, antecedents, consequences, and strategies. In Handbook of Work-Family Integration: Research, Theory, and Best Practices; Korabik, K., Lero, D., Whitehead, D., Eds.; Elsevier: Amsterdam, The Netherlands, 2008; pp. 141–156. ISBN 9780123725745.XX. [Google Scholar]
- Grzywacz, J.G.; Marks, N.F. Reconceptualizing the work–family interface: An ecological perspective on the correlates of positive and negative spillover between work and family. J. Occup. Health Psychol. 2000, 5, 111–126. [Google Scholar] [CrossRef]
- Kristensen, T.S.; Borritz, M.; Villadsen, E.; Christensen, K.B. The Copenhagen Burnout Inventory: A new tool for the assessment of burnout. Work Stress 2005, 19, 192–207. [Google Scholar] [CrossRef]
- Salvagioni, D.A.J.; Melanda, F.N.; Mesas, A.E.; González, A.D.; Gabani, F.L.; Andrade, S.M.d. Physical, psychological and occupational consequences of job burnout: A systematic review of prospective studies. PLoS ONE 2017, 12, e0185781. [Google Scholar] [CrossRef]
- Alarcon, G.M. A meta-analysis of burnout with job demands, resources, and attitudes. J. Vocat. Behav. 2011, 79, 549–562. [Google Scholar] [CrossRef]
- Lee, R.T.; Ashforth, B.E. A meta-analytic examination of the correlates of the three dimensions of job burnout. J. Appl. Psychol. 1996, 81, 123–133. [Google Scholar] [CrossRef] [PubMed]
- Lesener, T.; Gusy, B.; Wolter, C. The job demands-resources model: A meta-analytic review of longitudinal studies. Work Stress 2019, 33, 76–103. [Google Scholar] [CrossRef]
- Xanthopoulou, D.; Bakker, A.B.; Demerouti, E.; Schaufeli, W.B. The role of personal resources in the job demands-resources model. Int. J. Stress. Manag. 2007, 14, 121–141. [Google Scholar] [CrossRef] [Green Version]
- Bakker, A.B.; de Vries, J.D. Job Demands–Resources theory and self-regulation: New explanations and remedies for job burnout. Anxiety Stress Coping 2021, 34, 1–21. [Google Scholar] [CrossRef]
- Pijpker, R.; Vaandrager, L.; Veen, E.J.; Koelen, M.A. Combined interventions to reduce burnout complaints and promote return to work: A systematic review of effectiveness and mediators of change. Int. J. Environ. Res. Public Health 2020, 17, 55. [Google Scholar] [CrossRef] [Green Version]
- Petrou, P.; Bakker, A.B. Crafting one’s leisure time in response to high job strain. Hum. Relat. 2015, 69, 507–529. [Google Scholar] [CrossRef] [Green Version]
- Demerouti, E.; Hewett, R.; Haun, V.; de Gieter, S.; Rodríguez-Sánchez, A.; Skakon, J. From job crafting to home crafting: A daily diary study among six european countries. Human Relations. 2019, 73, 1010–1035. [Google Scholar] [CrossRef] [Green Version]
- Blustein, D.L.; Duffy, R.; Ferreira, J.A.; Cohen-Scali, V.; Cinamon, R.G.; Allan, B.A. Unemployment in the time of COVID-19: A research agenda. J. Vocat. Behav. 2020, 119, 03436. [Google Scholar] [CrossRef]
- Wang, B.; Liu, Y.; Qian, J.; Parker, S.K. Achieving effective remote working during the COVID-19 pandemic: A work design perspective. Appl. Psychol. 2021, 70, 16–59. [Google Scholar] [CrossRef]
- Sonnentag, S. The recovery paradox: Portraying the complex interplay between job stressors, lack of recovery, and poor well-being. Res. Organ. Behav. 2018, 38, 169–185. [Google Scholar] [CrossRef]
- R Core Team. R: A language and environment for statistical computing. R Foundation for Statistical Computing, Vienna, Austria, 2021. Available online: https://www.R-project.org/ (accessed on 20 September 2021).
- Rosseel, Y. lavaan: An R Package for Structural Equation Modeling. J. Stat. Softw. 2012, 48, 1–36. [Google Scholar] [CrossRef] [Green Version]
- Bentler, P.M.; Bonett, D.G. Significance tests and goodness of fit in the analysis of covariance structures. Psychol. Bull. 1980, 88, 588–606. [Google Scholar] [CrossRef]
- Beauducel, A.; Wittmann, W.W. Simulation study on fit indexes in CFA based on data with slightly distorted simple structure. Struct. Equ. Modeling 2005, 12, 41–75. [Google Scholar] [CrossRef]
- Kimhi, S.; Marciano, H.; Eshel, Y.; Adini, B. Resilience and demographic characteristics predicting distress during the COVID-19 crisis. Soc. Sci. Med. 2020, 265, 113389. [Google Scholar] [CrossRef] [PubMed]
- Gori, A.; Topino, E.; Di Fabio, A. The protective role of life satisfaction, coping strategies and defense mechanisms on perceived stress due to COVID-19 emergency: A chained mediation model. PLoS ONE 2020, 15, e0242402. [Google Scholar] [CrossRef]
- Baruch-Feldman, C.; Brondolo, E.; Ben-Dayan, D.; Schwartz, J. Sources of social support and burnout, job satisfaction, and productivity. J. Occup. Health Psychol. 2002, 7, 84. [Google Scholar] [CrossRef]
- Hahn, V.C.; Binnewies, C.; Sonnentag, S.; Mojza, E.J. Learning how to recover from job stress: Effects of a recovery training program on recovery, recovery-related self-efficacy, and well-being. J. Occup. Health Psychol. 2011, 16, 202–216. [Google Scholar] [CrossRef]
- Kosenkranius, M.K.; Rink, F.A.; de Bloom, J.; van den Heuvel, M. The design and development of a hybrid off-job crafting intervention to enhance needs satisfaction, well-being and performance: A study protocol for a randomized controlled trial. BMC Public Health 2020, 20, 115. [Google Scholar] [CrossRef]
- Podsakoff, P.M.; MacKenzie, S.B.; Lee, J.-Y.; Podsakoff, N.P. Common method biases in behavioral research: A critical review of the literature and recommended remedies. J. Appl. Psychol. 2003, 88, 879–903. [Google Scholar] [CrossRef]
- Dormann, C.; Griffin, M.A. Optimal time lags in panel studies. Psychol. Methods 2015, 20, 489–505. [Google Scholar] [CrossRef]
- Schaufeli, W.B.; De Witte HDesart, S. Manual Burnout Assessment Tool (BAT)–Version 2.0. KU Leuven, Belgium, 2020. Available online: https://burnoutassessmenttool.be/project_eng/#handleidingenvragenlijst (accessed on 20 September 2021).
- Angelini, G.; Buonomo, I.; Benevene, P.; Consiglio, P.; Romano, L.; Fiorilli, C. The Burnout Assessment Tool (BAT): A contribution to Italian validation with teachers’. Sustainability 2021, 13, 9065. [Google Scholar] [CrossRef]


| M | SD | α | 1 | 2 | 3 | 4 | 5 | 6 | 7 | 8 | 9 | 10 | 11 | 12 | 13 | 14 | 15 | 16 | |
|---|---|---|---|---|---|---|---|---|---|---|---|---|---|---|---|---|---|---|---|
| 1. Burnout T1 | 2.50 | 0.80 | 0.89 | 1 | |||||||||||||||
| 2. Burnout T2 | 2.40 | 0.83 | 0.87 | 0.71 | 1 | ||||||||||||||
| 3. OJC T1 | 3.74 | 0.61 | 0.91 | −0.27 | −0.29 | 1 | |||||||||||||
| 4. OJC T2 | 3.71 | 0.65 | 0.91 | −0.29 | −0.24 | 0.59 | 1 | ||||||||||||
| 3. OJC for Detachment T1 | 3.91 | 0.88 | 0.86 | −0.19 | −0.24 | 0.69 | 0.41 | 1 | |||||||||||
| 4. OJC for Relaxation T1 | 3.79 | 0.83 | 0.83 | −0.17 | −0.17 | 0.73 | 0.43 | 0.66 | 1 | ||||||||||
| 5. OJC for Autonomy T1 | 3.85 | 0.76 | 0.75 | −0.23 | −0.22 | 0.80 | 0.48 | 0.45 | 0.52 | 1 | |||||||||
| 6. OJC for Mastery T1 | 3.44 | 0.87 | 0.82 | −0.18 | −0.20 | 0.76 | 0.46 | 0.30 | 0.39 | 0.63 | 1 | ||||||||
| 7. OJC for Meaning T1 | 3.61 | 0.79 | 0.78 | −0.21 | −0.20 | 0.77 | 0.46 | 0.28 | 0.33 | 0.57 | 0.70 | 1 | |||||||
| 8. OJC for Affiliation T1 | 3.80 | 0.86 | 0.89 | −0.25 | −0.28 | 0.71 | 0.40 | 0.33 | 0.33 | 0.45 | 0.44 | 0.62 | 1 | ||||||
| 9. OJC for Detachment T2 | 3.93 | 0.89 | 0.85 | 0.08 * | −0.18 | 0.38 | 0.70 | 0.50 | 0.36 | 0.28 | 0.16 | 0.19 | 0.19 | 1 | |||||
| 10. OJC for Relaxation T2 | 3.82 | 0.82 | 0.80 | −0.09 * | −0.15 | 0.42 | 0.73 | 0.34 | 0.47 | 0.37 | 0.25 | 0.25 | 0.21 | 0.62 | 1 | ||||
| 11. OJC for Autonomy T2 | 3.82 | 0.83 | 0.80 | −0.11 ** | −0.17 | 0.47 | 0.83 | 0.32 | 0.35 | 0.47 | 0.38 | 0.35 | 0.26 | 0.50 | 0.57 | 1 | |||
| 12. OJC for Mastery T2 | 3.45 | 0.87 | 0.82 | −0.14 | −0.21 | 0.47 | 0.78 | 0.22 | 0.27 | 0.38 | 0.53 | 0.45 | 0.29 | 0.36 | 0.42 | 0.66 | 1 | ||
| 13. OJC for Meaning T2 | 3.57 | 0.81 | 0.76 | −0.13 ** | −0.19 | 0.48 | 0.77 | 0.20 | 0.23 | 0.41 | 0.48 | 0.52 | 0.34 | 0.32 | 0.37 | 0.61 | 0.66 | 1 | |
| 14. OJC for Affiliation T2 | 3.64 | 0.93 | 0.89 | −0.13 * | −0.19 | 0.44 | 0.70 | 0.24 | 0.24 | 0.30 | 0.30 | 0.37 | 0.51 | 0.32 | 0.33 | 0.43 | 0.48 | 0.58 | 1 |
| Model | Predictor | Estimate | SE | 95% CI | β | R2 | F(df) | ΔR2 | ΔF | |
|---|---|---|---|---|---|---|---|---|---|---|
| LL | UL | |||||||||
| Model 1 | ||||||||||
| Step 1 | Burnout T1 | 0.73 | 0.03 | 0.67 | 0.78 | 0.71 *** | 0.498 | 653.5(1, 656) | ||
| Step 2 | Burnout T1 | 0.69 | 0.03 | 0.64 | 0.75 | 0.68 *** | 0.508 | |||
| OJC T1 | 0.14 | 0.04 | −0.22 | −0.07 | −0.11 *** | |||||
| 341.4(2, 655) | 0.010 | 312.1 *** | ||||||||
| Model 2 | ||||||||||
| Step 1 | Burnout T1 | 0.73 | 0.03 | 0.67 | 0.78 | 0.71 *** | 0.498 | 653.5(1, 656) | ||
| Step 2 | Burnout T1 | 0.69 | 0.03 | 0.63 | 0.75 | 0.67 *** | ||||
| OJC for Detachment T1 | −0.12 | 0.18 | −0.19 | −0.05 | −0.13 *** | |||||
| OJC for Relaxation T1 | 0.06 | 0.03 | −0.02 | 0.13 | 0.06 | |||||
| OJC for Autonomy T1 | 0.01 | 0.04 | −0.07 | 0.09 | 0.01 | |||||
| OJC for Mastery T1 | −0.07 | 0.04 | −0.15 | 0.01 | −0.07 | |||||
| OJC for Meaning T1 | 0.04 | 0.04 | −0.04 | 0.13 | 0.04 | |||||
| OJC for Affiliation T1 | −0.07 | 0.03 | −0.14 | −0.01 | −0.07 * | |||||
| 0.514 | 100.3(7, 650) | 0.016 | 553.2 *** | |||||||
| Model 3 | ||||||||||
| Step 1 | Burnout T1 | 0.69 | 0.03 | 0.64 | 0.75 | 0.68 *** | 0.508 | 341.4(2, 655) | ||
| OJC T1 | −0.14 | 0.04 | −0.22 | −0.07 | −0.11 *** | |||||
| Step 2 | Burnout T1 | 0.69 | 0.03 | 0.64 | 0.75 | 0.68 *** | ||||
| OJC T1 | −0.05 | 0.05 | −0.14 | 0.04 | −0.04 | |||||
| OJC T2 | −0.16 | 0.04 | −0.24 | −0.07 | −0.12 *** | |||||
| 0.516 | 233.4(3, 650) | 0.008 | 108 *** | |||||||
| Model 4 | ||||||||||
| Step 1 | Burnout T1 | 0.73 | 0.03 | 0.67 | 0.78 | 0.71 *** | 0.498 | 653.5(1, 656) | ||
| Step 2 | Burnout T1 | 0.69 | 0.03 | 0.63 | 0.75 | 0.67 *** | ||||
| OJC for Detachment T2 | −0.09 | 0.03 | −0.16 | −0.03 | −0.10 ** | |||||
| OJC for Relaxation T2 | 0.01 | 0.04 | −0.07 | 0.08 | 0.01 | |||||
| OJC for Autonomy T2 | 0.02 | 0.04 | −0.06 | 0.10 | 0.02 | |||||
| OJC for Mastery T2 | −0.05 | 0.04 | −0.12 | 0.03 | −0.05 | |||||
| OJC for Meaning T2 | −0.03 | 0.04 | −0.11 | 0.05 | −0.03 | |||||
| OJC for Affiliation T2 | −0.03 | 0.03 | −0.09 | 0.03 | −0.04 | |||||
| 0.519 | 99.2(7, 630) | 0.021 | 554.3 *** | |||||||
Publisher’s Note: MDPI stays neutral with regard to jurisdictional claims in published maps and institutional affiliations. |
© 2022 by the authors. Licensee MDPI, Basel, Switzerland. This article is an open access article distributed under the terms and conditions of the Creative Commons Attribution (CC BY) license (https://creativecommons.org/licenses/by/4.0/).
Share and Cite
Pijpker, R.; Kerksieck, P.; Tušl, M.; de Bloom, J.; Brauchli, R.; Bauer, G.F. The Role of Off-Job Crafting in Burnout Prevention during COVID-19 Crisis: A Longitudinal Study. Int. J. Environ. Res. Public Health 2022, 19, 2146. https://doi.org/10.3390/ijerph19042146
Pijpker R, Kerksieck P, Tušl M, de Bloom J, Brauchli R, Bauer GF. The Role of Off-Job Crafting in Burnout Prevention during COVID-19 Crisis: A Longitudinal Study. International Journal of Environmental Research and Public Health. 2022; 19(4):2146. https://doi.org/10.3390/ijerph19042146
Chicago/Turabian StylePijpker, Roald, Philipp Kerksieck, Martin Tušl, Jessica de Bloom, Rebecca Brauchli, and Georg F. Bauer. 2022. "The Role of Off-Job Crafting in Burnout Prevention during COVID-19 Crisis: A Longitudinal Study" International Journal of Environmental Research and Public Health 19, no. 4: 2146. https://doi.org/10.3390/ijerph19042146
APA StylePijpker, R., Kerksieck, P., Tušl, M., de Bloom, J., Brauchli, R., & Bauer, G. F. (2022). The Role of Off-Job Crafting in Burnout Prevention during COVID-19 Crisis: A Longitudinal Study. International Journal of Environmental Research and Public Health, 19(4), 2146. https://doi.org/10.3390/ijerph19042146

