Long-Term Exposure to Phenanthrene Induced Gene Expressions and Enzyme Activities of Cyprinus carpio below the Safe Concentration
Abstract
:1. Introduction
2. Materials and Methods
2.1. Main Reagents
2.2. Fish and Treatment
2.3. Acute Toxicity Test
2.4. RNA Extraction and Analysis
2.5. Gene Primer Design and Semi-Quantitative RT-PCR (Sq-RT-PCR) Analysis
2.6. EROD and GST Activities
2.7. Statistical Analysis
3. Results and Discussion
3.1. Median Lethal Concentration (LC50) and Safe Concentration of Carp
3.2. Gene Extraction Efficiency
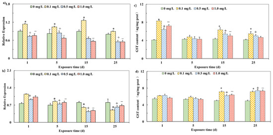
3.3. CYP1A mRNA Expression and EROD Activity after the Exposure to PHE
3.4. GST mRNA Expression and GST Activity after the Exposure to PHE
3.5. Correlation Analysis
3.6. Mechanism
4. Conclusions
Supplementary Materials
Author Contributions
Funding
Institutional Review Board Statement
Informed Consent Statement
Data Availability Statement
Acknowledgments
Conflicts of Interest
Abbreviations
| AhR | aromatic hydrocarbon receptors |
| BSA | Albumin from bovine serum |
| CYP1A | cytochrome P4501A |
| DEPC | Diethy pyrocarbonate |
| EROD | 7-Ethoxylesorufin O-deethylase |
| GST | glutathione S-transferase |
| PAHs | polycyclic aromatic hydrocarbons |
| PBS | Phosphate buffer solution |
| PHE | Phenanthrene |
| POPs | persistent organic pollutants |
| Sq-RT-PCR | semi-quantitative reverse transcription and polymerase Chain reaction |
References
- Carmen, S.; Helmut, S. Cytochrome P4501A (CYP1A) in teleostean fishes. A review of immunohistochemical studies. Sci. Total Environ. 2000, 247, 313–332. [Google Scholar] [CrossRef]
- Wda, B.; Min, L.; Ye, L.; Jza, B.; Xwa, B.; Jing, Y.; Yha, B.; Dza, B.; Dga, B.; Aqa, B. Cross-interface transfer of polycyclic aromatic hydrocarbons (PAHs) in a shallow urban lake in Shanghai, China based on the fugacity model—ScienceDirect. Sci. Total Environ. 2020, 736, 139369. [Google Scholar] [CrossRef]
- Harvey, R.G.; Harvey, R.G. Polycyclic Aromatic Hydrocarbons: Chemistry and Carcinogenicity; Cambridge University Press: Cambridge, UK, 1991. [Google Scholar] [CrossRef]
- Maskaoui, K.; Zhou, J.L.; Hong, H.S.; Zhang, Z.L. Contamination by polycyclic aromatic hydrocarbons in the Jiulong River Estuary and Western Xiamen Sea, China. Environ. Pollut. 2002, 118, 109–122. [Google Scholar] [CrossRef]
- Zheng, Y.; Li, Y.; Yue, Z.; Samreen; Wang, J. Teratogenic effects of environmentally relevant concentrations of phenanthrene on the early development of marine medaka (Oryzia melastigma). Chemosphere 2020, 254, 126900. [Google Scholar] [CrossRef]
- Lotufo, G.R.; Fleeger, J.W. Effects of sediment-associated phenanthrene on survival, development and reproduction of two species of meiobenthic copepods. Mar. Ecol.-Prog. Ser. 1997, 151, 91–102. [Google Scholar] [CrossRef]
- Nam, T.H.; Kim, L.; Jeon, H.J.; Kim, K.; Ok, Y.S.; Choi, S.D.; Lee, S.E. Biomarkers indicate mixture toxicities of fluorene and phenanthrene with endosulfan toward earthworm (Eisenia fetida). Environ. Geochem. Health 2017, 39, 307–317. [Google Scholar] [CrossRef]
- Sobanska, M.; Scholz, S.; Nyman, A.M.; Cesnaitis, R.; Alonso, S.G.; Kluever, N.; Kuehne, R.; Tyle, H.; De, K.J.; Dang, Z. Applicability of the fish embryo acute toxicity (FET) test (OECD 236) in the regulatory context of Registration, Evaluation, Authorisation, and Restriction of Chemicals (REACH). Environ. Toxicol. Chem. 2018, 37, 657–670. [Google Scholar] [CrossRef]
- Horng, C.Y.; Lin, H.C.; Lee, W. A Reproductive Toxicology Study of Phenanthrene in Medaka (Oryzias latipes). Arch. Environ. Contam. Toxicol. 2010, 58, 131–139. [Google Scholar] [CrossRef]
- Sun, S.; Wang, H.; Fu, B.; Zhang, H.; Xu, J. Non-bioavailability of extracellular 1-hydroxy-2-naphthoic acid restricts the mineralization of phenanthrene by Rhodococcus sp. WB9. Sci. Total Environ. 2019, 704, 135331. [Google Scholar] [CrossRef]
- Woo, S.J.; Kim, N.Y.; Kim, S.H.; Ahn, S.J.; Seo, J.S.; Jung, S.H.; Cho, M.Y.; Chung, J.K. Toxicological effects of trichlorfon on hematological and biochemical parameters in Cyprinus carpio L. following thermal stress. Comp. Biochem. Physiol. C-Toxicol. Pharmacol 2018, 209, 18–27. [Google Scholar] [CrossRef]
- Sidika, S.; Giang, P.T.; Burkina, V.; Zamaratskaia, G. The effects of sewage treatment plant effluents on hepatic and intestinal biomarkers in common carp (Cyprinus carpio). Sci. Total Environ. 2018, 635, 1160–1169. [Google Scholar] [CrossRef]
- Huang, Y.; Sui, Q.; Lyu, S.; Wang, J.; Yu, G. Tracking emission sources of PAHs in a region with pollution-intensive industries, Taihu Basin: From potential pollution sources to surface water. Environ. Pollut. 2020, 264, 114674. [Google Scholar] [CrossRef] [PubMed]
- Yang, T.; Diao, X.; Cheng, H.; Wang, H.; Chen, C.M. Comparative study of polycyclic aromatic hydrocarbons (PAHs) and heavy metals (HMs) in corals, sediments and seawater from coral reefs of Hainan, China. Environ. Pollut. 2020, 264, 114719. [Google Scholar] [CrossRef] [PubMed]
- Mager, E.M.; Pasparakis, C.; Stieglitz, J.D.; Hoenig, R.; Morris, J.M.; Benetti, D.D.; Grosell, M. Combined effects of hypoxia or elevated temperature and Deepwater Horizon crude oil exposure on juvenile mahi-mahi swimming performance. Mar. Environ. Res. 2018, 139, 129–135. [Google Scholar] [CrossRef]
- Wilson, H.K.; Buckeridge, S.A.; Yau, W.; Howerth, E.W.; Gato, W.E. Investigating the toxic effects of 2-aminoanthracene ingestion in pregnant Sprague Dawley dams. J. Environ. Sci. Health Part. B-Pestic. Contam. Agric. Wastes 2018, 53, 283–289. [Google Scholar] [CrossRef]
- Mortensen, A.S.; Tolfsen, C.C.; Arukwe, A. Gene Expression Patterns in Estrogen (Nonylphenol) and Aryl Hydrocarbon Receptor Agonists (PCB-77) Interaction Using Rainbow Trout (Oncorhynchus mykiss) Primary Hepatocyte Culture. J. Toxicol. Env. Health Part. A 2006, 69, 1–19. [Google Scholar] [CrossRef]
- Kais, B.; Ottermanns, R.; Scheller, F.; Braunbeck, T. Modification and quantification of in vivo EROD live-imaging with zebrafish (Danio rerio) embryos to detect both induction and inhibition of CYP1A. Sci. Total Environ. 2017, 615, 330–347. [Google Scholar] [CrossRef]
- Roy, M.A.; Sant, K.E.; Venezia, O.L.; Shipman, A.B.; Timme-Laragy, A.R. The emerging contaminant 3,3′-dichlorobiphenyl (PCB-11) impedes Ahr activation and Cyp1a activity to modify embryotoxicity of Ahr ligands in the zebrafish embryo model (Danio rerio). Environ. Pollut. 2019, 254, 113027. [Google Scholar] [CrossRef]
- Nahrgang, J.; Camus, L.; Gonzalez, P.; Goksoyr, A.; Christiansen, J.S.; Hop, H. PAH biomarker responses in polar cod (Boreogadus saida) exposed to benzo(a)pyrene. Aquat. Toxicol. 2009, 94, 309–319. [Google Scholar] [CrossRef]
- Van der Oost, R.; Beyer, J.; Vermeulen, N.P.E. Fish bioaccumulation and biomarkers in environmental risk assessment: A review. Environ. Toxicol. Pharmacol 2003, 13, 57–149. [Google Scholar] [CrossRef]
- Mai, Y.; Peng, S.; Li, H.; Lai, Z. Histological, biochemical and transcriptomic analyses reveal liver damage in zebrafish (Danio rerio) exposed to phenanthrene. Comp. Biochem. Physiol. C-Toxicol. Pharmacol. 2019, 225, 108582. [Google Scholar] [CrossRef] [PubMed]
- Mu, J.; Jin, F.; Wang, J.; Wang, Y.; Cong, Y. The effects of CYP1A inhibition on alkyl-phenanthrene metabolism and embryotoxicity in marine medaka (Oryzias melastigma). Environ. Sci. Pollut. Res. 2016, 23, 11289–11297. [Google Scholar] [CrossRef] [PubMed]
- Shirmohammadi, M.; Chupani, L.; Salamat, N. Responses of immune organs after single-dose exposure to phenanthrene in yellowfin seabream (Acanthopagrus latus): CYP1A induction and oxidative stress. Chemosphere 2017, 186, 686–694. [Google Scholar] [CrossRef] [PubMed]
- Wu, J.Y.; Yan, Z.G.; Liu, Z.T.; Liu, J.D.; Wang, W.L. Development of water quality criteria for phenanthrene and comparison of the sensitivity between native and non-native species. Environ. Pollut. 2015, 196, 141–146. [Google Scholar] [CrossRef] [PubMed]
- Fontana, R.J.; Lown, K.S.; Paine, M.F. Effects of a chargrilled meat diet on expression of CYP3A, CYP1A, and P-glycoprotein levels in healthy volunteers. Gastroenterology 1999, 117, 89–98. [Google Scholar] [CrossRef]
- Abel, L. Chemical Neurobiology: An Introduction to Neurochemistry: H. F. Bradford. Freeman, New York, 1976. Neurochem. Int. 1987, 10, 594–595. [Google Scholar] [CrossRef]
- Costa, J.; Ferreira, M.; Rey-Salgueiro, L.; Reis-Henriques, M.A. Comparision of the waterborne and dietary routes of exposure on the effects of Benzo(a)pyrene on biotransformation pathways in Nile tilapia (Oreochromis niloticus). Chemosphere 2011, 84, 1452–1460. [Google Scholar] [CrossRef]
- Sun, H.J.; Zhang, J.Y.; Wang, Q.; Zhu, E.; Chen, W.; Lin, H.; Chen, J.; Hong, H. Environmentally relevant concentrations of arsenite induces developmental toxicity and oxidative responses in the early life stage of zebrafish. Environ. Pollut. 2019, 254, 113022. [Google Scholar] [CrossRef]
- Burkina, V.; Zlabek, V.; Zamaratskaia, G. Effects of pharmaceuticals present in aquatic environment on Phase I metabolism in fish. Environ. Toxicol. Pharmacol. 2015, 40, 430–444. [Google Scholar] [CrossRef]
- Zhang, J.; Shen, H.; Wang, X.; Wu, J.; Xue, Y. Effects of chronic exposure of 2,4-dichlorophenol on the antioxidant system in liver of freshwater fish Carassius auratus. Chemosphere 2004, 55, 167–174. [Google Scholar] [CrossRef]
- Niu, Z.; Xu, W.; Na, J.; Lv, Z.; Zhang, Y. How long-term exposure of environmentally relevant antibiotics may stimulate the growth of Prorocentrum lima: A probable positive factor for red tides. Environ. Pollut. 2019, 255, 113149. [Google Scholar] [CrossRef] [PubMed]
- Triebskorn, R.; KHler, H.R.; Honnen, W.; Schramm, M.; Adams, S.M.; Müller, E.F. Induction of heat shock proteins, changes in liver ultrastructure, and alterations of fish behavior: Are these biomarkers related and are they useful to reflect the state of pollution in the field. J. Aquat. Ecosyst. Stress Recovery 1997, 6, 57–73. [Google Scholar] [CrossRef]
- Zanette, J.; Jenny, M.J.; Goldstone, J.V.; Woodin, B.R.; Watka, L.A.; Bainy, A.C.D.; Stegeman, J.J. New cytochrome P450 1B1, 1C2 and 1D1 genes in the killifish Fundulus heteroclitus: Basal expression and response of five killifish CYP1s to the AHR agonist PCB126. Aquat. Toxicol. 2009, 93, 234–243. [Google Scholar] [CrossRef] [Green Version]
- Wenju, X.U.; Yuanyou, L.I.; Qingyang, W.U.; Wang, S.; Zheng, H.; Liu, W. Effects of phenanthrene on hepatic enzymatic activities in tilapia(Oreochromis niloticus × O. aureus male). J. Environ. Sci. 2009, 21, 854–857. [Google Scholar] [CrossRef]
- Mu, J.L.; Wang, X.H.; Jin, F.; Wang, J.Y.; Hong, H.S. The role of cytochrome P4501A activity inhibition in three- to five-ringed polycyclic aromatic hydrocarbons embryotoxicity of marine medaka (Oryzias melastigma). Mar. Pollut. Bull. 2012, 64, 1445–1451. [Google Scholar] [CrossRef]
- Correia, A.D.; Goncalves, R.; Scholze, M.; Ferreira, M.; Henriques, A.R. Biochemical and behavioral responses in gilthead seabream (Sparus aurata) to phenanthrene. J. Exp. Mar. Biol. Ecol. 2007, 347, 109–122. [Google Scholar] [CrossRef]
- Whyte, J.J.; Jung, R.E.; Schmitt, C.J.; Tillitt, D.E. Ethoxyresorufin-O-deethylase (EROD) Activity in Fish as a Biomarker of Chemical Exposure. CRC Crit. Rev. Toxicol. 2000, 30, 347–570. [Google Scholar] [CrossRef]
- Hayes, J.D.; Pulford, D.J. The Glut athione S-Transferase Supergene Family: Regulation of GST and the Contribution of the lsoenzymes to Cancer Chemoprotection and Drug Resistance Part I. CRC Crit. Rev. Biochem. 1995, 30, 521–600. [Google Scholar] [CrossRef]
- Lu, G.H.; Wang, C.; Zhu, Z. The Dose–Response Relationships for EROD and GST Induced by Polyaromatic Hydrocarbons in Carassius auratus. Bull. Environ. Contam. Toxicol. 2009, 82, 194–199. [Google Scholar] [CrossRef]
- Yin, Y.; Jia, H.; Sun, Y.; Yu, H.; Wang, X.; Wu, J.; Xue, Y. Bioaccumulation and ROS generation in liver of Carassius auratus, exposed to phenanthrene. Comp. Biochem. Physiol. C-Toxicol. Pharmacol. 2007, 145, 288–293. [Google Scholar] [CrossRef]
- Olinga, P.; Elferink, M.G.L.; Draaisma, A.L.; Merema, M.; Castell, J.V.; Pérez, G.; Groothuis, G.M.M. Coordinated induction of drug transporters and phase I and II metabolism in human liver slices. Eur. J. Pharm. Sci. 2008, 33, 380–389. [Google Scholar] [CrossRef] [PubMed]
- Sun, Y.; Li, Y.; Rao, J.; Liu, Z.; Chen, Q. Effects of inorganic mercury exposure on histological structure, antioxidant status and immune response of immune organs in yellow catfish (Pelteobagrus fulvidraco). J. Appl. Toxicol. 2018, 6, 843–854. [Google Scholar] [CrossRef] [PubMed]
- Zheng, J.L.; Yuan, S.S.; Wu, C.W.; Li, W.Y. Chronic waterborne zinc and cadmium exposures induced different responses towards oxidative stress in the liver of zebrafish. Aquat. Toxicol. 2016, 177, 261–268. [Google Scholar] [CrossRef] [PubMed]
- Costa, J.; Reis-Henriques, M.A.; Castro, L.F.C.; Ferreira, M. Gene expression analysis of ABC efflux transporters, CYP1A and GSTα in Nile tilapia after exposure to benzo(a)pyrene. Comp. Biochem. Physiol., Part. C Toxicol. Pharmacol. 2012, 155, 469–482. [Google Scholar] [CrossRef] [PubMed]
- Bettim, F.L.; Galvan, G.L.; Cestari, M.M.; Yarnamoto, C.I.; de Assis, H.C.S. Biochemical responses in freshwater fish after exposure to water-soluble fraction of gasoline. Chemosphere 2016, 144, 1467–1474. [Google Scholar] [CrossRef]
- Anna, L.; Malin, C.C.; Lars, F. Effects of medetomidine on hepatic EROD activity in three species of fish. Ecotoxicol. Environ. Saf. 2008, 69, 74–79. [Google Scholar] [CrossRef] [Green Version]
- Goksoyr, A.F. The cytochrome P-450 system in fish, aquatic toxicology and environmental monitoring. Aquat. Toxicol. 1992, 22, 287–311. [Google Scholar] [CrossRef]
- Henson, K.L.; Gallagher, E.P. Glutathione S-Transferase Expression in Pollution-Associated Hepatic Lesions of Brown Bullheads (Ameiurus nebulosus) from the Cuyahoga River, Cleveland, Ohio. Toxicol. Sci. 2004, 80, 26–33. [Google Scholar] [CrossRef]




| Gene | GeneBank Number | Primer Sequence | Product Size [11] |
|---|---|---|---|
| β-actin | AF0570 40 | F: CCATCTACGAGGGTTACGCC | 551 bp |
| R: AATGCCAGGGTACATGGTGG | |||
| CYP1A | AB048939.1 | F: CTGAGCCTGACCGCTATGAG | 503 bp |
| R: CCGCTTCCTACGATCTTCCC | |||
| GSTs | LC071505.1 | F: CCGCTTCCTACGATCTTCCC | 541 bp |
| Variable | Lethal Concentration | |||||||
|---|---|---|---|---|---|---|---|---|
| Concentration/(mg·L−1) | 5.01 | 6.31 | 7.94 | 10.00 | 12.59 | 15.85 | 19.95 | 25.12 |
| Log concentration | 0.7 | 0.8 | 0.9 | 1.0 | 1.1 | 1.2 | 1.3 | 1.4 |
| 24 h mortality rate/% | 0 | 0 | 20 | 20 | 30 | 60 | 70 | 70 |
| Unit of probability | 3.04 | 3.04 | 4.16 | 4.16 | 4.48 | 5.25 | 5.52 | 5.52 |
| 96 h mortality rate/% | 10 | 20 | 20 | 30 | 40 | 70 | 90 | 100 |
| Unit of probability | 3.72 | 4.16 | 4.16 | 4.48 | 4.75 | 5.52 | 6.28 | 6.96 |
| Genes | Gene Length/bp | Accession No. b | Gene Similarity/% |
|---|---|---|---|
| CYP1A | 503 | AB048939.1 | 99.7 |
| GST | 541 | LC071505.1 | 99.5 |
Publisher’s Note: MDPI stays neutral with regard to jurisdictional claims in published maps and institutional affiliations. |
© 2022 by the authors. Licensee MDPI, Basel, Switzerland. This article is an open access article distributed under the terms and conditions of the Creative Commons Attribution (CC BY) license (https://creativecommons.org/licenses/by/4.0/).
Share and Cite
Kang, X.; Li, D.; Zhao, X.; Lv, Y.; Chen, X.; Song, X.; Liu, X.; Chen, C.; Cao, X. Long-Term Exposure to Phenanthrene Induced Gene Expressions and Enzyme Activities of Cyprinus carpio below the Safe Concentration. Int. J. Environ. Res. Public Health 2022, 19, 2129. https://doi.org/10.3390/ijerph19042129
Kang X, Li D, Zhao X, Lv Y, Chen X, Song X, Liu X, Chen C, Cao X. Long-Term Exposure to Phenanthrene Induced Gene Expressions and Enzyme Activities of Cyprinus carpio below the Safe Concentration. International Journal of Environmental Research and Public Health. 2022; 19(4):2129. https://doi.org/10.3390/ijerph19042129
Chicago/Turabian StyleKang, Xin, Dongpeng Li, Xiaoxiang Zhao, Yanfeng Lv, Xi Chen, Xinshan Song, Xiangyu Liu, Chengrong Chen, and Xin Cao. 2022. "Long-Term Exposure to Phenanthrene Induced Gene Expressions and Enzyme Activities of Cyprinus carpio below the Safe Concentration" International Journal of Environmental Research and Public Health 19, no. 4: 2129. https://doi.org/10.3390/ijerph19042129
APA StyleKang, X., Li, D., Zhao, X., Lv, Y., Chen, X., Song, X., Liu, X., Chen, C., & Cao, X. (2022). Long-Term Exposure to Phenanthrene Induced Gene Expressions and Enzyme Activities of Cyprinus carpio below the Safe Concentration. International Journal of Environmental Research and Public Health, 19(4), 2129. https://doi.org/10.3390/ijerph19042129
