Spatial Distribution of Air Pollution, Hotspots and Sources in an Urban-Industrial Area in the Lisbon Metropolitan Area, Portugal—A Biomonitoring Approach
Abstract
1. Introduction
2. Materials and Methods
2.1. Study Area
2.2. Transplantation and Sampling
2.3. Meteorological Data
2.4. Chemical Analysis
2.5. Statistical Analysis
3. Results and Discussion
3.1. Elemental Characterisation
3.2. Enrichment and Contamination Factors
3.3. Identification of Emission Sources
3.3.1. Spearman Correlations
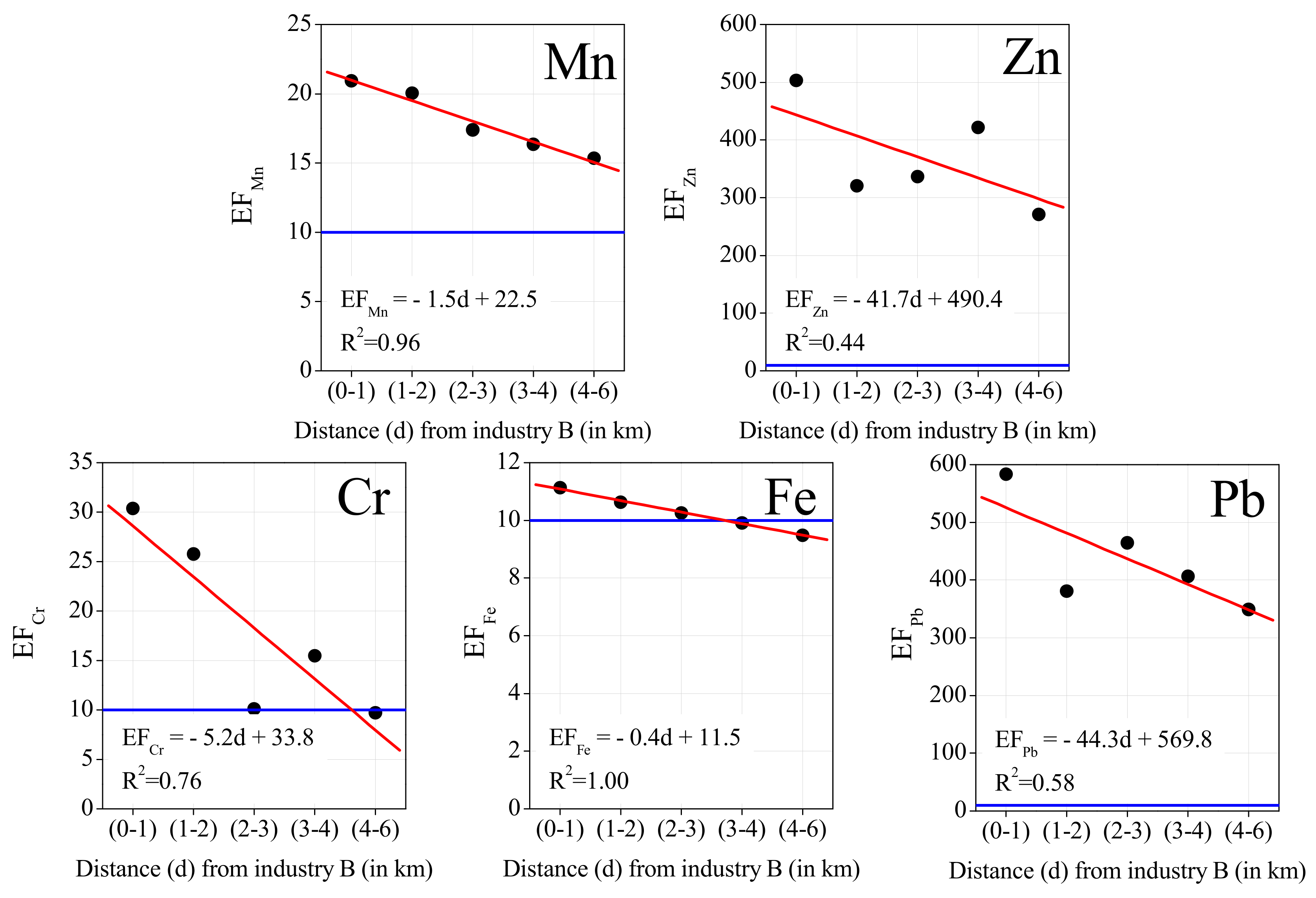
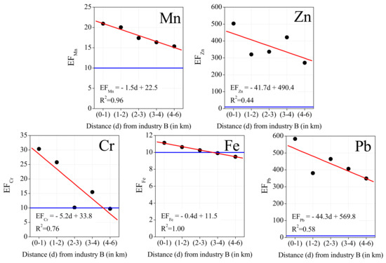
3.3.2. Concentrations versus Distance to Steelworks
3.3.3. Spatial Distribution Patterns
4. Conclusions
Supplementary Materials
Author Contributions
Funding
Institutional Review Board Statement
Informed Consent Statement
Data Availability Statement
Acknowledgments
Conflicts of Interest
References
- Hleis, D.; Fernández-Olmo, I.; Ledoux, F.; Kfoury, A.; Courcot, L.; Desmonts, T.; Courcot, D. Chemical profile identification of fugitive and confined particle emissions from an integrated iron and steelmaking plant. J. Hazard. Mater. 2013, 250–251, 246–255. [Google Scholar] [CrossRef] [PubMed]
- Karagulian, F.; Belis, C.A.; Dora, C.F.C.; Prüss-Ustün, A.M.; Bonjour, S.; Adair-Rohani, H.; Amann, M. Contributions to cities’ ambient particulate matter (PM): A systematic review of local source contributions at global level. Atmos. Environ. 2015, 120, 475–483. [Google Scholar] [CrossRef]
- Harrison, R.M.; Yin, J. Particulate matter in the atmosphere: Which particle properties are important for its effects on health? Sci. Total Environ. 2000, 249, 85–101. [Google Scholar] [CrossRef]
- Loomis, D.; Grosse, Y.; Lauby-Secretan, B.; El Ghissassi, F.; Bouvard, V.; Benbrahim-Tallaa, L.; Guha, N.; Baan, R.; Mattock, H.; Straif, K. The carcinogenicity of outdoor air pollution. Lancet Oncol. 2013, 14, 1262–1263. [Google Scholar] [CrossRef]
- Pope, C.A., III; Dockery, D.W. Health Effects of Fine Particulate Air Pollution: Lines that Connect. J. Air Waste Manag. Assoc. 2012, 2247, 709–742. [Google Scholar] [CrossRef] [PubMed]
- Chaíça, I. Poeira negra que cobre Paio Pires não é nociva para a saúde. Origem Permanece Desconhecida. Público, 11 May 2019. Available online: https://www.publico.pt/2019/05/11/local/noticia/poeira-negra-cobre-paio-pires-nao-inalavel-sao-precisos-estudos-saber-onde-vem-1872369 (accessed on 9 January 2022).
- Justino, A.R.R.; Canha, N.; Gamelas, C.; Coutinho, J.T.T.; Kertesz, Z.; Almeida, S.M.M. Contribution of micro-PIXE to the characterization of settled dust events in an urban area affected by industrial activities. J. Radioanal. Nucl. Chem. 2019, 322, 1953–1964. [Google Scholar] [CrossRef]
- Mohiuddin, K.; Strezov, V.; Nelson, P.F.; Stelcer, E. Characterisation of trace metals in atmospheric particles in the vicinity of iron and steelmaking industries in Australia. Atmos. Environ. 2014, 83, 72–79. [Google Scholar] [CrossRef]
- Silva, A.V.; Oliveira, C.M.; Canha, N.; Miranda, A.I.; Almeida, S.M. Long-Term Assessment of Air Quality and Identification of Aerosol Sources at Setúbal, Portugal. Int. J. Environ. Res. Public Health 2020, 17, 5447. [Google Scholar] [CrossRef]
- Machemer, S.D. Characterization of Airborne and Bulk Particulate from Iron and Steel Manufacturing Facilities. Environ. Sci. Technol. 2004, 38, 381–389. [Google Scholar] [CrossRef]
- Querol, X.; Viana, M.; Alastuey, A.; Amato, F.; Moreno, T.; Castillo, S.; Pey, J.; de la Rosa, J.; Sánchez de la Campa, A.; Artíñano, B.; et al. Source origin of trace elements in PM from regional background, urban and industrial sites of Spain. Atmos. Environ. 2007, 41, 7219–7231. [Google Scholar] [CrossRef]
- Taiwo, A.M.; Beddows, D.C.S.; Calzolai, G.; Harrison, R.M.; Lucarelli, F.; Nava, S.; Shi, Z.; Valli, G.; Vecchi, R. Receptor modelling of airborne particulate matter in the vicinity of a major steelworks site. Sci. Total Environ. 2014, 490, 488–500. [Google Scholar] [CrossRef] [PubMed]
- Almeida, S.M.; Lage, J.; Freitas, M.D.C.; Pedro, A.I.; Ribeiro, T.; Silva, A.V.; Canha, N.; Almeida-Silva, M.; Sitoe, T.; Dionisio, I.; et al. Integration of biomonitoring and instrumental techniques to assess the air quality in an industrial area located in the coastal of central Asturias, Spain. J. Toxicol. Environ. Health Part A Curr. Issues 2012, 75, 1392–1403. [Google Scholar] [CrossRef] [PubMed]
- Lage, J.; Almeida, S.M.; Reis, M.A.; Chaves, P.C.; Ribeiro, T.; Garcia, S.; Faria, J.P.; Fernández, B.G.; Wolterbeek, H.T. Levels and Spatial Distribution of Airborne Chemical Elements in a Heavy Industrial Area Located in the North of Spain. J. Toxicol. Environ. Health Part A Curr. Issues 2014, 77, 856–866. [Google Scholar] [CrossRef] [PubMed]
- Fränzle, O. Chapter 2 Bioindicators and environmental stress assessment. Trace Met. Other Contam. Environ. 2003, 6, 41–84. [Google Scholar] [CrossRef]
- Markert, B.A.; Breure, A.M.; Zechmeister, H.G. Chapter 1 Definitions, strategies and principles for bioindication/biomonitoring of the environment. Trace Met. Other Contam. Environ. 2003, 6, 3–39. [Google Scholar] [CrossRef]
- Gür, F.; Yaprak, G. Biomonitoring of metals in the vicinity of Soma coal-fired power plant in western Anatolia, Turkey using the epiphytic lichen, Xanthoria parietina. J. Environ. Sci. Health Part A Toxic/Hazard. Subst. Environ. Eng. 2011, 46, 1503–1511. [Google Scholar] [CrossRef]
- Bermejo-Orduna, R.; McBride, J.R.; Shiraishi, K.; Elustondo, D.; Lasheras, E.; Santamaría, J.M. Biomonitoring of traffic-related nitrogen pollution using Letharia vulpina (L.) Hue in the Sierra Nevada, California. Sci. Total Environ. 2014, 490, 205–212. [Google Scholar] [CrossRef]
- Canha, N.; Freitas, M.D.C.; Almeida, S.M. Contribution of short irradiation instrumental neutron activation analysis to assess air pollution at indoor and outdoor environments using transplanted lichens. J. Radioanal. Nucl. Chem. 2019, 320, 129–137. [Google Scholar] [CrossRef]
- Conti, M.E.; Cecchetti, G. Biological monitoring: Lichens as bioindicators of air pollution assessment—A review. Environ. Pollut. 2001, 114, 471–492. [Google Scholar] [CrossRef]
- Garty, J. Biomonitoring atmospheric heavy metals with lichens: Theory and application. CRC. Crit. Rev. Plant Sci. 2001, 20, 309–371. [Google Scholar] [CrossRef]
- Leonardo, L.; Damatto, S.R.; Gios, B.R.; Mazzilli, B.P. Lichen specie Canoparmelia texana as bioindicator of environmental impact from the phosphate fertilizer industry of São Paulo, Brazil. J. Radioanal. Nucl. Chem. 2014, 299, 1935–1941. [Google Scholar] [CrossRef]
- Bozkurt, Z. Determination of airborne trace elements in an urban area using lichens as biomonitor. Environ. Monit. Assess. 2017, 189, 573. [Google Scholar] [CrossRef] [PubMed]
- Cruz, A.M.J.; Freitas, M.D.C.; Canha, N.; Verburg, T.G.; Almeida, S.M.; Wolterbeek, H.T. Spatial mapping of the city of Lisbon using biomonitors. Int. J. Environ. Health 2012, 6, 1. [Google Scholar] [CrossRef]
- Bontempi, E.; Bertuzzi, R.; Ferretti, E.; Zucca, M.; Apostoli, P.; Tenini, S.; Depero, L.E. Micro X-ray fluorescence as a potential technique to monitor in-situ air pollution. Microchim. Acta 2008, 161, 301–305. [Google Scholar] [CrossRef]
- PORDATA Base de Dados Portugal Contemporâneo. Available online: http://www.pordata.pt/Municipios/Ambiente+de+Consulta/Tabela (accessed on 22 September 2021).
- APA—Agência Portuguesa do Ambiente. Licença Ambiental Lusosider Aços Planos, S.A.; APA: Amadora, Portugal, 2008. [Google Scholar]
- APA—Agência Portuguesa do Ambiente. Licença Ambiental LA no 658_1.1_2017—SN Seixal_Siderurgia Nacional, S.A.; APA: Amadora, Portugal, 2017. [Google Scholar]
- APA—Agência Portuguesa do Ambiente. Licença Ambiental Microlime—Produtos de Cal e Derivados, S.A.; APA: Amadora, Portugal, 2011. [Google Scholar]
- Google Earth Pro 2021, version 7.3.4.8248. Available online: https://www.google.com/intl/pt-PT/earth/versions/#earth-pro (accessed on 22 September 2021).
- Canha, N.; Almeida, S.M.; Freitas, M.C.; Wolterbeek, H.T. Indoor and outdoor biomonitoring using lichens at urban and rural primary schools. J. Toxicol. Environ. Health Part A Curr. Issues 2014, 77, 900–915. [Google Scholar] [CrossRef]
- Canha, N.; Almeida-Silva, M.; Freitas, M.C.; Almeida, S.M.; Wolterbeek, H.T. Lichens as biomonitors at indoor environments of primary schools. J. Radioanal. Nucl. Chem. 2012, 291, 123–128. [Google Scholar] [CrossRef]
- Nečemer, M.; Kump, P.; Ščančar, J.; Jaćimović, R.; Simčič, J.; Pelicon, P.; Budnar, M.; Jeran, Z.; Pongrac, P.; Regvar, M.; et al. Application of X-ray fluorescence analytical techniques in phytoremediation and plant biology studies. Spectrochim. Acta Part B At. Spectrosc. 2008, 63, 1240–1247. [Google Scholar] [CrossRef]
- Pessanha, S.; Samouco, A.; Adão, R.; Carvalho, M.L.; Santos, J.P.; Amaro, P. Detection limits evaluation of a portable energy dispersive X-ray fluorescence setup using different filter combinations. X-ray Spectrom. 2017, 46, 102–106. [Google Scholar] [CrossRef]
- Sitko, R.; Zawisz, B. Quantification in X-Ray Fluorescence Spectrometry. In X-ray Spectroscopy; InTech: Nappanee, IN, USA, 2012; pp. 137–162. [Google Scholar] [CrossRef]
- Carvalho, P.M.S.; Pessanha, S.; Machado, J.; Silva, A.L.; Veloso, J.; Casal, D.; Pais, D.; Santos, J.P. Energy dispersive X-ray fluorescence quantitative analysis of biological samples with the external standard method. Spectrochim. Acta Part B At. Spectrosc. 2020, 174, 105991. [Google Scholar] [CrossRef]
- Miller, J.N.; Miller, J.C.; Miller, R.D. Statistics and Chemometrics for Analytical Chemistry, 7th ed.; Pearson: London, UK, 2018; ISBN 9781292186719. [Google Scholar]
- Belis, C.A.; Karagulian, F.; Larsen, B.R.; Hopke, P.K. Critical review and meta-analysis of ambient particulate matter source apportionment using receptor models in Europe. Atmos. Environ. 2013, 69, 94–108. [Google Scholar] [CrossRef]
- Mohd Tahir, N.; Poh, S.C.; Suratman, S.; Ariffin, M.M.; Shazali, N.A.M.; Yunus, K. Determination of trace metals in airborne particulate matter of Kuala Terengganu, Malaysia. Bull. Environ. Contam. Toxicol. 2009, 83, 199–203. [Google Scholar] [CrossRef] [PubMed]
- Canha, N.; Freitas, M.C.; Anawar, H.M.; Dionísio, I.; Dung, H.M.; Pinto-Gomes, C.; Bettencourt, A. Characterization and phytoremediation of abandoned contaminated mining area in Portugal by INAA. J. Radioanal. Nucl. Chem. 2010, 286, 577–582. [Google Scholar] [CrossRef][Green Version]
- Pekey, H. The distribution and sources of heavy metals in Izmit Bay surface sediments affected by a polluted stream. Mar. Pollut. Bull. 2006, 52, 1197–1208. [Google Scholar] [CrossRef] [PubMed]
- Mason, B.; Moore, C.B. Principles of Geochemistry; Wiley: New York, NY, USA, 1982. [Google Scholar]
- Calvo, A.I.; Alves, C.; Castro, A.; Pont, V.; Vicente, A.M.; Fraile, R. Research on aerosol sources and chemical composition: Past, current and emerging issues. Atmos. Res. 2013, 120–121, 1–28. [Google Scholar] [CrossRef]
- Almeida-Silva, M.; Canha, N.; Vogado, F.; Baptista, P.C.; Faria, A.V.; Faria, T.; Coutinho, J.T.; Alves, C.; Almeida, S.M. Assessment of particulate matter levels and sources in a street canyon at Loures, Portugal—A case study of the REMEDIO project. Atmos. Pollut. Res. 2020, 11, 1857–1869. [Google Scholar] [CrossRef]
- Fernández, J.A.; Carballeira, A. A comparison of indigenous mosses and topsoils for use in monitoring atmospheric heavy metal deposition in Galicia (northwest Spain). Environ. Pollut. 2001, 114, 431–441. [Google Scholar] [CrossRef]
- Frati, L.; Brunialti, G.; Loppi, S. Problems related to lichen transplants to monitor trace element deposition in repeated surveys: A case study from central Italy. J. Atmos. Chem. 2005, 52, 221–230. [Google Scholar] [CrossRef]
- Watson, D.F.; Philip, G.M. A Refinement of Inverse Distance Weighted Interpolation. Geoprocessing 1985, 2, 315–327. [Google Scholar]
- Godinho, R.M.; Verburg, T.G.; Freitas, M.C.; Wolterbeek, H.T. Accumulation of trace elements in the peripheral and central parts of two species of epiphytic lichens transplanted to a polluted site in Portugal. Environ. Pollut. 2009, 157, 102–109. [Google Scholar] [CrossRef]
- Pacheco, A.M.G.; Freitas, M.C.; Baptista, M.S.; Vasconcelos, M.T.S.D.; Cabral, J.P. Elemental levels in tree-bark and epiphytic-lichen transplants at a mixed environment in mainland Portugal, and comparisons with an in situ lichen. Environ. Pollut. 2008, 151, 326–333. [Google Scholar] [CrossRef]
- Gama, C.; Relvas, H.; Lopes, M.; Monteiro, A. The impact of COVID-19 on air quality levels in Portugal: A way to assess traffic contribution. Environ. Res. 2021, 193. [Google Scholar] [CrossRef] [PubMed]
- Liu, F.; Wang, M.; Zheng, M. Effects of COVID-19 lockdown on global air quality and health. Sci. Total Environ. 2021, 755, 142533. [Google Scholar] [CrossRef] [PubMed]
- Gamelas, C.; Abecasis, L.; Canha, N.; Almeida, S.M. The Impact of COVID-19 Confinement Measures on the Air Quality in an Urban-Industrial Area of Portugal. Atmosphere 2021, 12, 1097. [Google Scholar] [CrossRef]
- Almeida, S.M.M.; Lage, J.; Fernández, B.; Garcia, S.; Reis, M.A.A.; Chaves, P.C.C. Chemical characterization of atmospheric particles and source apportionment in the vicinity of a steelmaking industry. Sci. Total Environ. 2015, 521–522, 411–420. [Google Scholar] [CrossRef] [PubMed]
- Lage, J.; Wolterbeek, H.T.; Reis, M.A.; Chaves, P.C.; Garcia, S.; Almeida, S.M. Source apportionment by positive matrix factorization on elemental concentration obtained in PM10 and biomonitors collected in the vicinities of a steelworks. J. Radioanal. Nucl. Chem. 2016, 309, 397–404. [Google Scholar] [CrossRef]
- Rodríguez, S.; Querol, X.; Alastuey, A.; Kallos, G.; Kakaliagou, O. Saharan dust contributions to PM10 and TSP levels in Southern and Eastern Spain. Atmos. Environ. 2001, 35, 2433–2447. [Google Scholar] [CrossRef]
- Almeida, S.M.; Freitas, M.C.; Pio, C.A. Neutron activation analysis for identification of African mineral dust transport. J. Radioanal. Nucl. Chem. 2008, 276, 161–165. [Google Scholar] [CrossRef]
- Dai, Q.L.; Bi, X.H.; Wu, J.H.; Zhang, Y.F.; Wang, J.; Xu, H.; Yao, L.; Jiao, L.; Feng, Y.C. Characterization and source identification of heavy metals in ambient PM10 and PM2.5 in an integrated Iron and Steel industry zone compared with a background site. Aerosol Air Qual. Res. 2015, 15, 875–887. [Google Scholar] [CrossRef]
- Mazzei, F.; Lucarelli, F.; Marenco, F.; Nava, S.; Prati, P.; Valli, G.; Vecchi, R. Elemental composition and source apportionment of particulate matter near a steel plant in Genoa (Italy). Nucl. Instrum. Meth. B 2006, 249, 548–551. [Google Scholar] [CrossRef]
- Sammut, M.L.; Noack, Y.; Rose, J. Zinc speciation in steel plant atmospheric emissions: A multi-technical approach. J. Geochem. Explor. 2006, 88, 239–242. [Google Scholar] [CrossRef]
- Timonen, K.L.; Wiikinkoski, T.; Ruuskanen, A.R. Source contributions to PM2.5 particles in the urban air of a town situated close to a steel works. Atmos. Environ. 2003, 37, 1013–1022. [Google Scholar] [CrossRef]
- Tsai, J.H.; Lin, K.H.; Chen, C.Y.; Ding, J.Y.; Choa, C.G.; Chiang, H.L. Chemical constituents in particulate emissions from an integrated iron and steel facility. J. Hazard. Mater. 2007, 147, 111–119. [Google Scholar] [CrossRef]
- Remus, R.; Aguado Monsonet, M.; Roudier, S. DSL Best Available Techniques (BAT) Reference Document:for:Iron and Steel Production:Industrial Emissions Directive 2010/75/EU:(Integrated Pollution Prevention and Control); Joint Research Centre: Luxembourg, 2012. [Google Scholar]
- Proctor, D.M.; Fehling, K.A.; Shay, E.C.; Wittenborn, J.L.; Green, J.J.; Avent, C.; Bigham, R.D.; Connolly, M.; Lee, B.; Shepker, T.O.; et al. Physical and chemical characteristics of blast furnace, basic oxygen furnace, and electric arc furnace steel industry slags. Environ. Sci. Technol. 2000, 34, 1576–1582. [Google Scholar] [CrossRef]
- Almeida-Silva, M.; Canha, N.; Freitas, M.C.; Dung, H.M.; Dionísio, I. Air pollution at an urban traffic tunnel in Lisbon, Portugal-an INAA study. Appl. Radiat. Isot. 2011, 69, 1586–1591. [Google Scholar] [CrossRef] [PubMed]
- Zgłobicki, W.; Telecka, M.; Skupiński, S.; Pasierbińska, A.; Kozieł, M. Assessment of heavy metal contamination levels of street dust in the city of Lublin, E Poland. Environ. Earth Sci. 2018, 77, 774. [Google Scholar] [CrossRef]
- Hernández-Mena, L.; Murillo-Tovar, M.; Ramírez-Muñíz, M.; Colunga-Urbina, E.; De La Garza-Rodríguez, I.; Saldarriaga-Noreña, H. Enrichment factor and profiles of elemental composition of PM2.5 in the city of Guadalajara, Mexico. Bull. Environ. Contam. Toxicol. 2011, 87, 545–549. [Google Scholar] [CrossRef]
- Universidade de Aveiro—Departamento de Ambiente e Ordenamento, Carta de Qualidade do Ar para o Município do Seixal; University of Aveiro: Aveiro, Portugal, 2019.
- Osyczka, P.; Boroń, P.; Lenart-Boroń, A.; Rola, K. Modifications in the structure of the lichen Cladonia thallus in the aftermath of habitat contamination and implications for its heavy-metal accumulation capacity. Environ. Sci. Pollut. Res. 2018, 25, 1950–1961. [Google Scholar] [CrossRef]












| Present Study | (Godinho et al., 2009) [48] | (Pacheco et al., 2008) [49] | ||||||
|---|---|---|---|---|---|---|---|---|
| Unexposed Lichens | Exposed Lichens | Industrial Area, Sines 1 | Industrial Area, Sines 1 | |||||
| Element | Mean ± SD | Min | Max | Mean ± SD | Min | Max | Mean ± SD | Mean ± SD |
| Al | 2310 ± 190 | 2140 | 2550 | 2590 ± 450 | 1770 | 3790 | 1040 ± 146 | 3170 |
| As | 58.5 ± 24.8 | 36.0 | 88.0 | 30.0 ± 28.4 | 1 | 125 | 0.33 ± 0.11 | 1.33 |
| Br | 192 ± 17 | 170 | 211 | 180 ± 16 | 143 | 221 | 14.6 ± 1.8 | 13.7 |
| Ca | 208,000 ± 23,000 | 180,000 | 232,000 | 226,000 ± 15,000 | 187,000 | 257,000 | 8890 ± 1690 | 4390 |
| Co | 47.0 ± 10.5 | 32.0 | 56.0 | 54.9 ± 16.2 | 24 | 130 | 0.68 ± 0.16 | 1.33 |
| Cr | 7.33 ± 0.58 | 7.00 | 8.00 | 52.1 ± 90.8 | 3 | 607 | 6.4 ± 0.4 | 7.1 |
| Cu | 140 ± 16 | 122 | 158 | 163 ± 90 | 102 | 654 | n.d. | n.d. |
| Fe | 9860 ± 1480 | 8430 | 11,700 | 11,800 ± 3800 | 6500 | 30,600 | 651 ± 137 | 3190 |
| K | 8910 ± 690 | 8200 | 9710 | 7900 ± 1120 | 4410 | 11,750 | 3877 ± 737 | 4170 |
| Mg | 1130 ± 90 | 1020 | 1220 | 1230 ± 270 | 830 | 2670 | 992 ± 79 | 1320 |
| Mn | 274 ± 33 | 246 | 314 | 406 ± 297 | 225 | 2303 | 24.0 ± 0.5 | 28.2 |
| Pb | 101 ± 15 | 82 | 117 | 130 ± 111 | 81 | 967 | n.d. | n.d. |
| Rb | 69.8 ± 17.0 | 48.0 | 86.0 | 69.7 ± 15.1 | 45 | 142 | 4.4 ± 1.3 | 23.4 |
| S | 1390 ± 120 | 1280 | 1560 | 1580 ± 410 | 1070 | 3950 | n.d. | n.d. |
| Se | 77.5 ± 6.0 | 58.0 | 86.0 | 74.7 ± 5.7 | 58 | 86 | n.d. | 0.49 |
| Si | 5460 ± 370 | 5010 | 5790 | 6240 ± 1280 | 3810 | 11,220 | n.d. | n.d. |
| Sr | 553 ± 36 | 508 | 586 | 565 ± 74 | 415 | 737 | n.d. | n.d. |
| Ti | 1010 ± 100 | 910 | 1140 | 1150 ± 230 | 690 | 1840 | 102 ± 1 | 274 |
| Zn | 347 ± 16 | 333 | 365 | 608 ± 454 | 280 | 2270 | 140 ± 34 | 134 |
| Zr | 83.8 ± 17.1 | 59.0 | 98.0 | 78.5 ± 19.7 | 43 | 156 | n.d. | n.d. |
| Elements | Al | As | Br | Ca | Co | Cr | Cu | Fe | K | Mg | Mn | Pb | Rb | S | Se | Si | Ti | Zn | Zr |
|---|---|---|---|---|---|---|---|---|---|---|---|---|---|---|---|---|---|---|---|
| Al | 0.33 | 0.71 | 0.62 | 0.87 | 0.29 | 0.50 | 0.56 | 0.66 | 0.56 | 0.97 | 0.84 | 0.42 | 0.67 | ||||||
| As | 0.52 | ||||||||||||||||||
| Br | 0.43 | 0.32 | 0.54 | 0.42 | 0.25 | 0.46 | 0.49 | 0.35 | 0.39 | 0.37 | 0.38 | ||||||||
| Ca | |||||||||||||||||||
| Co | 0.64 | 0.27 | 0.86 | 0.28 | 0.41 | 0.59 | 0.34 | 0.62 | 0.49 | 0.72 | 0.64 | 0.44 | 0.60 | ||||||
| Cr | 0.54 | 0.81 | 0.39 | 0.92 | 0.37 | 0.32 | 0.62 | 0.62 | 0.64 | 0.73 | 0.42 | ||||||||
| Cu | 0.39 | 0.35 | 0.57 | 0.32 | 0.52 | 0.32 | 0.37 | 0.50 | 0.34 | ||||||||||
| Fe | 0.51 | 0.77 | 0.38 | 0.67 | 0.62 | 0.87 | 0.84 | 0.60 | 0.65 | ||||||||||
| K | 0.44 | 0.61 | 0.36 | 0.35 | 0.33 | 0.34 | |||||||||||||
| Mg | 0.44 | 0.46 | 0.48 | 0.48 | 0.50 | 0.29 | 0.57 | ||||||||||||
| Mn | 0.41 | 0.33 | 0.62 | 0.58 | 0.62 | 0.81 | 0.43 | ||||||||||||
| Pb | 0.27 | 0.48 | |||||||||||||||||
| Rb | 0.48 | 0.66 | 0.73 | 0.27 | 0.58 | ||||||||||||||
| S | 0.61 | 0.61 | 0.58 | 0.41 | |||||||||||||||
| Si | 0.84 | 0.42 | 0.68 | ||||||||||||||||
| Ti | 0.55 | 0.66 | |||||||||||||||||
| Zn | 0.29 |
Publisher’s Note: MDPI stays neutral with regard to jurisdictional claims in published maps and institutional affiliations. |
© 2022 by the authors. Licensee MDPI, Basel, Switzerland. This article is an open access article distributed under the terms and conditions of the Creative Commons Attribution (CC BY) license (https://creativecommons.org/licenses/by/4.0/).
Share and Cite
Abecasis, L.; Gamelas, C.A.; Justino, A.R.; Dionísio, I.; Canha, N.; Kertesz, Z.; Almeida, S.M. Spatial Distribution of Air Pollution, Hotspots and Sources in an Urban-Industrial Area in the Lisbon Metropolitan Area, Portugal—A Biomonitoring Approach. Int. J. Environ. Res. Public Health 2022, 19, 1364. https://doi.org/10.3390/ijerph19031364
Abecasis L, Gamelas CA, Justino AR, Dionísio I, Canha N, Kertesz Z, Almeida SM. Spatial Distribution of Air Pollution, Hotspots and Sources in an Urban-Industrial Area in the Lisbon Metropolitan Area, Portugal—A Biomonitoring Approach. International Journal of Environmental Research and Public Health. 2022; 19(3):1364. https://doi.org/10.3390/ijerph19031364
Chicago/Turabian StyleAbecasis, Leonor, Carla A. Gamelas, Ana Rita Justino, Isabel Dionísio, Nuno Canha, Zsofia Kertesz, and Susana Marta Almeida. 2022. "Spatial Distribution of Air Pollution, Hotspots and Sources in an Urban-Industrial Area in the Lisbon Metropolitan Area, Portugal—A Biomonitoring Approach" International Journal of Environmental Research and Public Health 19, no. 3: 1364. https://doi.org/10.3390/ijerph19031364
APA StyleAbecasis, L., Gamelas, C. A., Justino, A. R., Dionísio, I., Canha, N., Kertesz, Z., & Almeida, S. M. (2022). Spatial Distribution of Air Pollution, Hotspots and Sources in an Urban-Industrial Area in the Lisbon Metropolitan Area, Portugal—A Biomonitoring Approach. International Journal of Environmental Research and Public Health, 19(3), 1364. https://doi.org/10.3390/ijerph19031364

