Characteristics of Official Wheelchair Basketball Games in Hot and Temperate Conditions
Abstract
:1. Introduction
2. Materials and Methods
2.1. Participants
2.2. Procedure
2.3. Equipment/Location/Instruments
2.4. Statistics
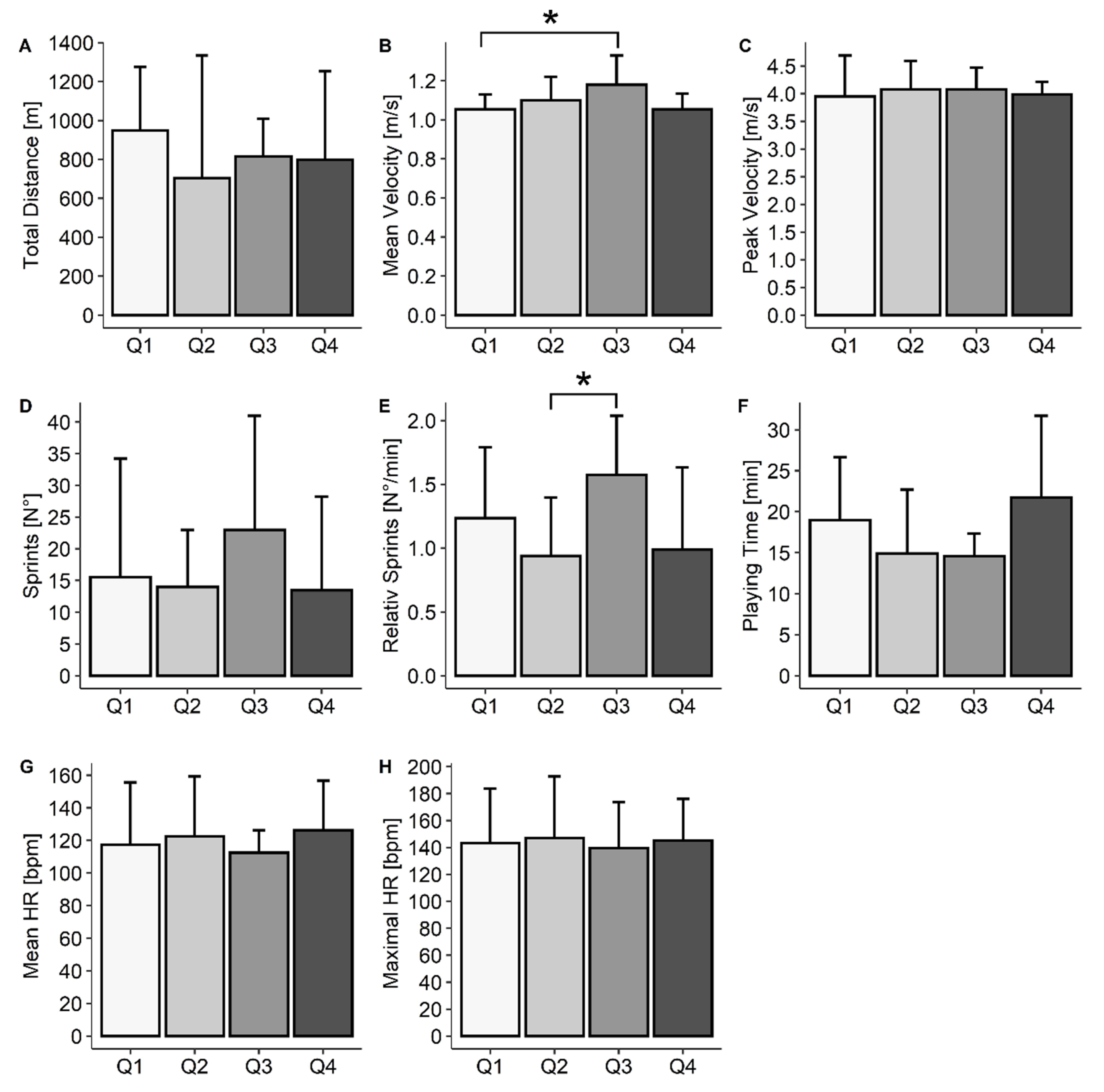
3. Results
3.1. HOT vs. TMP
3.2. HOT and TMP (Overall Data)
3.3. Speed Zones
4. Discussion
4.1. Comparison of HOT and TMP
4.2. Performance Characteristics during WCB Game
4.3. Speed Zones
4.4. Limitations
4.5. Practical Applications
5. Conclusions
Author Contributions
Funding
Institutional Review Board Statement
Informed Consent Statement
Data Availability Statement
Acknowledgments
Conflicts of Interest
References
- de Witte, A.M.; Hoozemans, M.J.; Berger, M.A.; van der Woude, L.H.; Veeger, D.H. Do field position and playing standard influence athlete performance in wheelchair basketball? J. Sports Sci. 2016, 34, 811–820. [Google Scholar] [CrossRef]
- Bloxham, L.A.; Bell, G.J.; Bhambhani, Y.; Steadward, R.D. Time Motion Analysis and Physiological Profile of Canadian World Cup Wheelchair Basketball Players. Sports Med. Train. Rehabil. 2001, 10, 183–198. [Google Scholar] [CrossRef]
- Coutts, K.D. Dynamics of wheelchair basketball. Med. Sci. Sports Exerc. 1992, 24, 231–234. [Google Scholar] [CrossRef] [PubMed]
- van der Slikke, R.M.A.; Berger, M.A.M.; Bregman, D.J.J.; Veeger, D.H.E.J. Wearable Wheelchair Mobility Performance Measurement in Basketball, Rugby, and Tennis: Lessons for Classification and Training. Sensors 2020, 20, 3518. [Google Scholar] [CrossRef]
- Sporner, M.L.; Grindle, G.G.; Kelleher, A.; Teodorski, E.E.; Cooper, R.; Cooper, R.A. Quantification of Activity During Wheelchair Basketball and Rugby at the National Veterans Wheelchair Games: A Pilot Study. Prosthet. Orthot. Int. 2009, 33, 210–217. [Google Scholar] [CrossRef]
- Rhodes, J.; Mason, B.S.; Perrat, B.; Smith, M.J.; Malone, L.A.; Goosey-Tolfrey, V.L. Activity profiles of elite wheelchair rugby players during competition. Int. J. Sports Physiol. Perform. 2015, 10, 318–324. [Google Scholar] [CrossRef] [PubMed] [Green Version]
- Griggs, K.E.; Havenith, G.; Price, M.J.; Mason, B.S.; Goosey-Tolfrey, V.L. Thermoregulatory responses during competitive wheelchair rugby match play. Int. J. Sports Med. 2017, 38, 177–183. [Google Scholar] [CrossRef] [Green Version]
- de Groot, S.; Vegter, R.J.; van der Woude, L.H. Effect of wheelchair mass, tire type and tire pressure on physical strain and wheelchair propulsion technique. Med. Eng. Phys. 2013, 35, 1476–1482. [Google Scholar] [CrossRef]
- Ozgünen, K.T.; Kurdak, S.S.; Maughan, R.J.; Zeren, C.; Korkmaz, S.; Yazici, Z.; Ersöz, G.; Shirreffs, S.M.; Binnet, M.S.; Dvorak, J. Effect of hot environmental conditions on physical activity patterns and temperature response of football players. Scand. J. Med. Sci. Sports 2010, 20 (Suppl. S3), 140–147. [Google Scholar] [CrossRef]
- Konefał, M.; Chmura, P.; Zacharko, M.; Baranowski, J.; Andrzejewski, M.; Błażejczyk, K.; Chmura, J. The influence of thermal stress on the physical and technical activities of soccer players: Lessons from the 2018 FIFA World Cup in Russia. Int. J. Biometeorol. 2021, 65, 1291–1298. [Google Scholar] [CrossRef] [PubMed]
- Daanen, H.A.M.; Racinais, S.; Périard, J.D. Heat Acclimation Decay and Re-Induction: A Systematic Review and Meta-Analysis. Sports Med. 2018, 48, 409–430. [Google Scholar] [CrossRef] [PubMed] [Green Version]
- Fantozzi, F.; Lamberti, G. Determination of Thermal Comfort in Indoor Sport Facilities Located in Moderate Environments: An Overview. Atmosphere 2019, 10, 769. [Google Scholar] [CrossRef] [Green Version]
- Grossmann, F.; Flueck, J.L.; Perret, C.; Meeusen, R.; Roelands, B. The Thermoregulatory and Thermal Responses of Individuals with a Spinal Cord Injury During Exercise, Acclimation and by Using Cooling Strategies—A Systematic Review. Front. Physiol. 2021, 12, 636997. [Google Scholar] [CrossRef] [PubMed]
- Griggs, K.E.; Stephenson, B.T.; Price, M.J.; Goosey-Tolfrey, V.L. Heat-related issues and practical applications for Paralympic athletes at Tokyo 2020. Temperature 2019, 7, 37–57. [Google Scholar] [CrossRef] [PubMed]
- Mason, B.S.; van der Slikke, R.M.A.; Hutchinson, M.J.; Berger, M.A.M.; Goosey-Tolfrey, V.L. The Effect of Small-Sided Game Formats on Physical and Technical Performance in Wheelchair Basketball. Int. J. Sports Physiol. Perform. 2018, 13, 891–896. [Google Scholar] [CrossRef] [PubMed] [Green Version]
- van der Slikke, R.M.A.; Berger, M.A.M.; Bregman, D.J.J.; Veeger, H.E.J. From big data to rich data: The key features of athlete wheelchair mobility performance. J. Biomech. 2016, 49, 3340–3346. [Google Scholar] [CrossRef] [PubMed] [Green Version]
- van der Slikke, R.M.A.; Mason, B.S.; Berger, M.A.M.; Goosey-Tolfrey, V.L. Speed profiles in wheelchair court sports; comparison of two methods for measuring wheelchair mobility performance. J. Biomech. 2017, 65, 221–225. [Google Scholar] [CrossRef]
- Drust, B.; Atkinson, G.; Reilly, T. Future perspectives in the evaluation of the physiological demands of soccer. Sports Med. 2007, 37, 783–805. [Google Scholar] [CrossRef]
- Chmura, P.; Konefał, M.; Andrzejewski, M.; Kosowski, J.; Rokita, A.; Chmura, J. Physical activity profile of 2014 FIFA World Cup players, with regard to different ranges of air temperature and relative humidity. Int. J. Biometeorol. 2017, 61, 677–684. [Google Scholar] [CrossRef]
- Nassis, G.P.; Brito, J.; Dvorak, J.; Chalabi, H.; Racinais, S. The association of environmental heat stress with performance: Analysis of the 2014 FIFA World Cup Brazil. Br. J. Sports Med. 2015, 49, 609–613. [Google Scholar] [CrossRef] [PubMed] [Green Version]
- Armstrong, L.E.; Casa, D.J.; Millard-Stafford, M.; Moran, D.S.; Pyne, S.W.; Roberts, W.O. American College of Sports Medicine position stand. Exertional heat illness during training and competition. Med. Sci. Sports Exerc. 2007, 39, 556–572. [Google Scholar] [CrossRef] [PubMed]
- Roberts, W.O.; Armstrong, L.E.; Sawka, M.N.; Yeargin, S.W.; Heled, Y.; O’Connor, F.G. ACSM Expert Consensus Statement on Exertional Heat Illness: Recognition, Management, and Return to Activity. Curr. Sports Med. Rep. 2021, 20, 470–484. [Google Scholar] [CrossRef] [PubMed]
- World Medical Association Declaration of Helsinki: Ethical principles for medical research involving human subjects. JAMA 2013, 310, 2191–2194. [CrossRef] [PubMed] [Green Version]
- IWBF Player Classification Commission. IWBF, Official Player Classification Manual; IWBF: Mies, Switzerland, 2021. [Google Scholar]
- Borg, G.A. Psychophysical bases of perceived exertion. Med. Sci. Sports Exerc. 1982, 14, 377–381. [Google Scholar] [CrossRef] [PubMed]
- Rhodes, J.; Mason, B.; Perrat, B.; Smith, M.; Goosey-Tolfrey, V. The validity and reliability of a novel indoor player tracking system for use within wheelchair court sports. J. Sports Sci. 2014, 32, 1639–1647. [Google Scholar] [CrossRef] [PubMed] [Green Version]
- Mason, B.S.; Altmann, V.C.; Goosey-Tolfrey, V.L. Understanding the Impact of Trunk and Arm Impairments on Wheelchair Rugby Performance During Competition. Int. J. Sports Physiol. Perform. 2019, 14, 612–619. [Google Scholar] [CrossRef]
- Munzel, U.; Brunner, E. Nonparametric methods in multivariate factorial designs. J. Stat. Plan. Inference 2000, 88, 117–132. [Google Scholar] [CrossRef]
- Faul, F.; Erdfelder, E.; Lang, A.-G.; Buchner, A. G*Power 3: A flexible statistical power analysis program for the social, behavioral, and biomedical sciences. Behav. Res. Methods 2007, 39, 175–191. [Google Scholar] [CrossRef]
- Fast, A. Reflex sweating in patients with spinal cord injury: A review. Arch. Phys. Med. Rehabil. 1977, 58, 435–437. [Google Scholar]
- Trbovich, M.; Ford, A.; Wu, Y.; Koek, W.; Wecht, J.; Kellogg, D. Correlation of neurological level and sweating level of injury in persons with spinal cord injury. J. Spinal Cord. Med. 2021, 44, 902–909. [Google Scholar] [CrossRef]
- Kenny, G.P.; Flouris, A.D. 13—The human thermoregulatory system and its response to thermal stress. In Protective Clothing; Wang, F., Gao, C., Eds.; Woodhead, Publishing: Sawston, UK, 2014; pp. 319–365. [Google Scholar]
- Croft, L.; Dybrus, S.; Lenton, J.; Goosey-Tolfrey, V. A comparison of the physiological demands of wheelchair basketball and wheelchair tennis. Int. J. Sports Physiol. Perform. 2010, 5, 301–315. [Google Scholar] [CrossRef] [PubMed] [Green Version]
- Wecht, J.M.; Harel, N.Y.; Guest, J.; Kirshblum, S.C.; Forrest, G.F.; Bloom, O.; Ovechkin, A.V.; Harkema, S. Cardiovascular Autonomic Dysfunction in Spinal Cord Injury: Epidemiology, Diagnosis, and Management. Semin. Neurol. 2020, 40, 550–559. [Google Scholar] [CrossRef] [PubMed]
- van der Slikke, R.M.A.; Berger, M.A.M.; Bergman, D.J.J.; Veeger, H.E.J. To team up or to battle; how do wheelchair court sports compare regarding wheelchair mobility performance? In Proceedings of the RehabMove Congress, Groningen, The Netherlands, 12–14 December 2018. [Google Scholar]
- Button, K.S.; Ioannidis, J.P.; Mokrysz, C.; Nosek, B.A.; Flint, J.; Robinson, E.S.; Munafo, M.R. Power failure: Why small sample size undermines the reliability of neuroscience. Nat. Rev. Neurosci. 2013, 14, 365–376. [Google Scholar] [CrossRef] [PubMed] [Green Version]
- Rampinini, E.; Coutts, A.J.; Castagna, C.; Sassi, R.; Impellizzeri, F.M. Variation in top level soccer match performance. Int. J. Sports Med. 2007, 28, 1018–1024. [Google Scholar] [CrossRef] [PubMed] [Green Version]



| Subject | Age (years) | Lesion Level | Classification | Weight (kg) | Game Played |
|---|---|---|---|---|---|
| 1 | 29.3 | L1 | 4.0 | 82.8 | HOT |
| 2 | 39.7 | C5 | 2.5 | 94.6 | HOT, TMP |
| 3 | 46.3 | T5 | 1.0 | 78.6 | HOT, TMP |
| 4 | 40.2 | T4 | 1.0 | 83.0 | HOT |
| 5 | 29.6 | T10 | 3.0 | 70 | HOT |
| 6 | 42.4 | L1 | 4.0 | 110.6 | TMP |
| 7 | 59.7 | T10 | 2.0 | 111.6 | TMP |
| 8 | 20.0 | T8 | 1.0 | 74.2 | TMP |
| Median, IQR | 40.0, 13.2 | - | - | 82.9, 16.0 | - |
| HOT | TMP | HOT and TMP Merged | Difference HOT vs. TMP | ||||
|---|---|---|---|---|---|---|---|
| Measured Parameter | Median | IQR | Median | IQR | Median | IQR | p |
| Total distance [m] | 3286.7 | 1906.8 | 3477.6 | 1458.2 | 3332.0 | 1853.6 | 0.31 |
| Vmean [m·s−1] | 1.12 | 0.1 | 1.07 | 0.1 | 1.1 | 0.1 | 0.54 |
| Vpeak [m·s−1] | 4.15 | 0.91 | 4.12 | 0.35 | 4.14 | 0.5 | 0.69 |
| Number of sprints | 89 | 61 | 68 | 30 | 68 | 53 | 1.00 |
| Relative sprints [sprint/min] | 1.5 | 0.4 | 1.0 | 0.3 | 1.2 | 0.4 | 0.22 |
| PT [min] | 54.8 | 27.0 | 69.4 | 35.6 | 58.0 | 33.0 | 0.31 |
| HRmean [bpm] | 122 | 22 | 116 | 7 | 118 | 22 | 0.42 |
| HRmax [bpm] | 173 | 7 | 144 | 5 | 156 | 32 | 0.42 |
| RPE [Borg] | 15 | 2 | 15 | 1 | 15 | 0.75 | 0.21 |
| HOT | TMP | HOT and TMP Merged | Difference HOT vs. TMP | ||||
|---|---|---|---|---|---|---|---|
| Measured Parameter | Median | IQR | Median | IQR | Median | IQR | p |
| Z1 0.0–0.49 m·s−1 [%] | 39.4 | 8.5 | 48.2 | 6.8 | 43.7 | 8.2 | 0.09 |
| Z2 0.5–0.99 m·s−1 [%] | 40.7 | 5.2 | 34.4 | 7.5 | 37.2 | 6.9 | 0.15 |
| Z3 1.0–1.49 m·s−1 [%] | 12.2 | 1.9 | 13.1 | 1.7 | 12.3 | 1.5 | 0.84 |
| Z4 1.5–1.99 m·s−1 [%] | 4.2 | 1.1 | 3.5 | 5.2 | 3.7 | 0.8 | 0.31 |
| Z5 2.0–2.49 m·s−1 [%] | 2.4 | 0.6 | 1.7 | 0.5 | 2.0 | 0.9 | 0.31 |
| Z6 > 2.5 m·s−1 [%] | 0.8 | 1.2 | 0.5 | 0.6 | 0.6 | 0.9 | 0.31 |
| HOT | TMP | Differences between Lesion Levels | ||||
|---|---|---|---|---|---|---|
| Measured Parameter | Above T6 | Below T6 | Above T6 | Below T6 | HOT | TMP |
| Total distance [m] | 1470 | 3368 | 3582 | 2057 | −1898 | 1525 |
| Vmean [m·s−1] | 1.11 | 1.22 | 1.04 | 1.12 | −0.11 | −0.08 |
| Vpeak [m·s−1] | 3.9 | 4.95 | 4.28 | 4.12 | −1.05 | 0.16 |
| Number of sprints | 30 | 92 | 68 | 38 | −62 | 30 |
| relative sprint [sprint/min] | 1.2 | 1.8 | 0.9 | 1.3 | −0.6 | −0.4 |
| PT [min] | 34.3 | 58.0 | 73.8 | 35.6 | −23.7 | 38.2 |
| HRmean [bpm] | 118 | 147 | 127 | 116 | −29 | 11 |
| HRmax [bpm] | 167 | 179 | 152 | 144 | −12 | 8 |
| RPE [Borg] | 13 | 16 | 16 | 15 | −3 | 1 |
| HOT | TMP | Difference between Lesion Levels | ||||
|---|---|---|---|---|---|---|
| Measured Parameter | Above T6 | Below T6 | Above T6 | Below T6 | HOT | TMP |
| Z1 0.0–0.49 m·s−1 [%] | 39.4 | 39.4 | 44.6 | 48.2 | −5.2 | −8.8 |
| Z2 0.5–0.99 m·s−1 [%] | 37.6 | 40.7 | 36.5 | 31.1 | 1.1 | 9.6 |
| Z3 1.0–1.49 m·s−1 [%] | 14.1 | 12.1 | 13.3 | 13.1 | 0.8 | −1 |
| Z4 1.5–1.99 m·s−1 [%] | 3.9 | 4.7 | 3.1 | 3.9 | 0.8 | 0.8 |
| Z5 2.0–2.49 m·s−1 [%] | 2.7 | 2.1 | 1.5 | 1.9 | 1.2 | 0.2 |
| Z6 > 2.5 m·s−1 [%] | 2.0 | 0.5 | 0.6 | 0.5 | 1.4 | 0 |
Publisher’s Note: MDPI stays neutral with regard to jurisdictional claims in published maps and institutional affiliations. |
© 2022 by the authors. Licensee MDPI, Basel, Switzerland. This article is an open access article distributed under the terms and conditions of the Creative Commons Attribution (CC BY) license (https://creativecommons.org/licenses/by/4.0/).
Share and Cite
Grossmann, F.; Flueck, J.L.; Roelands, B.; Meeusen, R.; Mason, B.; Perret, C. Characteristics of Official Wheelchair Basketball Games in Hot and Temperate Conditions. Int. J. Environ. Res. Public Health 2022, 19, 1250. https://doi.org/10.3390/ijerph19031250
Grossmann F, Flueck JL, Roelands B, Meeusen R, Mason B, Perret C. Characteristics of Official Wheelchair Basketball Games in Hot and Temperate Conditions. International Journal of Environmental Research and Public Health. 2022; 19(3):1250. https://doi.org/10.3390/ijerph19031250
Chicago/Turabian StyleGrossmann, Fabian, Joelle Leonie Flueck, Bart Roelands, Romain Meeusen, Barry Mason, and Claudio Perret. 2022. "Characteristics of Official Wheelchair Basketball Games in Hot and Temperate Conditions" International Journal of Environmental Research and Public Health 19, no. 3: 1250. https://doi.org/10.3390/ijerph19031250
APA StyleGrossmann, F., Flueck, J. L., Roelands, B., Meeusen, R., Mason, B., & Perret, C. (2022). Characteristics of Official Wheelchair Basketball Games in Hot and Temperate Conditions. International Journal of Environmental Research and Public Health, 19(3), 1250. https://doi.org/10.3390/ijerph19031250

