Leaching Characteristics of Potentially Toxic Metals from Tailings at Lujiang Alum Mine, China
Abstract
1. Introduction
2. Materials and Methods
2.1. Slag Sampling and Preparation
2.2. Leaching Experiments
2.2.1. Soaking Tests
2.2.2. Simulated Rainfall Leaching Experiments
2.3. Chemical Analyses and Statistical Analyses
2.4. Environmental Impact Assessment
3. Results and Discussion
3.1. pH of Soaking Solution and Leachate
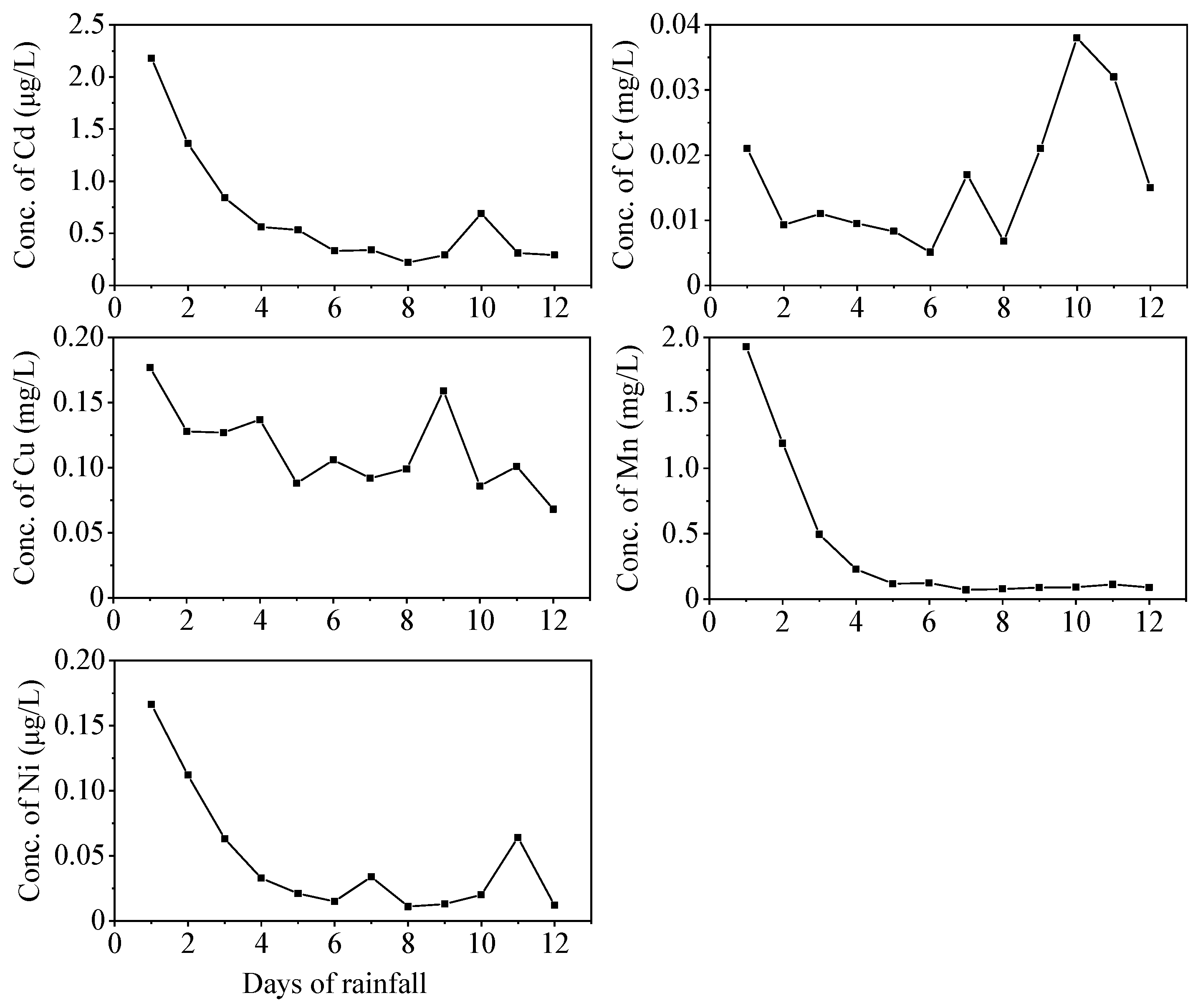
3.2. Leaching Characteristics of PTMs
3.3. Kinetic Fitting of Cumulative PTM Release
3.4. Effects of Leaching and Release of PTMs on the Environment
4. Conclusions
Supplementary Materials
Author Contributions
Funding
Institutional Review Board Statement
Informed Consent Statement
Data Availability Statement
Conflicts of Interest
References
- Wang, Y.; Wang, R.; Fan, L.; Chen, T.; Bai, Y.; Yu, Q.; Liu, Y. Assessment of multiple exposure to chemical elements and health risks among residents near Huodehong lead-zinc mining area in Yunnan, Southwest China. Chemosphere 2017, 174, 613–627. [Google Scholar] [CrossRef] [PubMed]
- Shi, M.; Min, X.; Ke, Y.; Lin, Z.; Yang, Z.; Wang, S.; Peng, N.; Yan, X.; Luo, S.; Wu, J.; et al. Recent progress in understanding the mechanism of heavy metals retention by iron (oxyhydr) oxides. Sci. Total Environ. 2021, 752, 141930. [Google Scholar] [CrossRef] [PubMed]
- Menzel, K.; Barros, L.; García, A.; Ruby-Figueroa, R.; Estay, H. Metal sulfide precipitation coupled with membrane filtration process for recovering copper from acid mine drainage. Sep. Purif. Technol. 2021, 270, 118721. [Google Scholar] [CrossRef]
- Khoeurn, K.; Sakaguchi, A.; Tomiyama, S.; Igarashi, T. Long-term acid generation and heavy metal leaching from the tailings of Shimokawa mine, Hokkaido, Japan: Column study under natural condition. J. Geochem. Explor. 2019, 201, 1–12. [Google Scholar] [CrossRef]
- Sun, R.; Yang, J.; Xia, P.; Wu, S.; Lin, T.; Yi, Y. Contamination features and ecological risks of heavy metals in the farmland along shoreline of Caohai plateau wetland, China. Chemosphere 2020, 254, 126828. [Google Scholar] [CrossRef]
- Parviainen, A. Tailings Mineralogy and Geochemistry at the Abandoned Haveri Au-Cu Mine, SW Finland. Mine Water Environ. 2009, 28, 291–304. [Google Scholar] [CrossRef]
- Tabelin, C.B.; Uyama, A.; Tomiyama, S.; Villacorte-Tabelin, M.; Phengsaart, T.; Silwamba, M.; Jeon, S.; Park, I.; Arima, T.; Igarashi, T. Geochemical audit of a historical tailings storage facility in Japan: Acid mine drainage formation, zinc migration and mitigation strategies. J. Hazard Mater 2022, 438, 129453. [Google Scholar] [CrossRef] [PubMed]
- Zhu, G.; Xiao, H.; Guo, Q.; Song, B.; Zheng, G.; Zhang, Z.; Zhao, J.; Okoli, C.P. Heavy metal contents and enrichment characteristics of dominant plants in wasteland of the downstream of a lead-zinc mining area in Guangxi, Southwest China. Ecotoxicol. Environ. Saf. 2018, 151, 266–271. [Google Scholar] [CrossRef]
- Dong, L.; Deng, S.; Wang, F. Some developments and new insights for environmental sustainability and disaster control of tailings dam. J. Clean. Prod. 2020, 269, 122270. [Google Scholar] [CrossRef]
- Rana, N.M.; Ghahramani, N.; Evans, S.G.; McDougall, S.; Small, A.; Take, W.A. Catastrophic mass flows resulting from tailings impoundment failures. Eng. Geol. 2021, 292, 106262. [Google Scholar] [CrossRef]
- Ministry of Ecology and Environment of the People’s Republic of China. Annual Report on the Prevention and Control of Environmental Pollution by Solid Wastes in Large and Medium Cities in 2020; Ministry of Ecology and Environment of the People’s Republic of China: Beijing, China, 2020.
- Sun, Z.; Xie, X.; Wang, P.; Hu, Y.; Cheng, H. Heavy metal pollution caused by small-scale metal ore mining activities: A case study from a polymetallic mine in South China. Sci. Total Environ. 2018, 639, 217–227. [Google Scholar] [CrossRef] [PubMed]
- Qin, H.B.; Takeichi, Y.; Nitani, H.; Terada, Y.; Takahashi, Y. Tellurium Distribution and Speciation in Contaminated Soils from Abandoned Mine Tailings: Comparison with Selenium. Environ. Sci. Technol. 2017, 51, 6027–6035. [Google Scholar] [CrossRef] [PubMed]
- Lindsay, M.B.J.; Moncur, M.C.; Bain, J.G.; Jambor, J.L.; Ptacek, C.J.; Blowes, D.W. Geochemical and mineralogical aspects of sulfide mine tailings. Appl. Geochem. 2015, 57, 157–177. [Google Scholar] [CrossRef]
- Sun, R.; Gao, Y.; Yang, Y. Leaching of heavy metals from lead-zinc mine tailings and the subsequent migration and transformation characteristics in paddy soil. Chemosphere 2022, 291, 132792. [Google Scholar] [CrossRef] [PubMed]
- Assawincharoenkij, T.; Hauzenberger, C.; Sutthirat, C. Mineralogy and geochemistry of tailings from a gold mine in northeastern Thailand. Hum. Ecol. Risk Assess. 2017, 23, 364–387. [Google Scholar] [CrossRef]
- Tabelin, C.B.; Corpuz, R.D.; Igarashi, T.; Villacorte-Tabelin, M.; Alorro, R.D.; Yoo, K.; Raval, S.; Ito, M.; Hiroyoshi, N. Acid mine drainage formation and arsenic mobility under strongly acidic conditions: Importance of soluble phases, iron oxyhydroxides/oxides and nature of oxidation layer on pyrite. J. Hazard Mater 2020, 399, 122844. [Google Scholar] [CrossRef]
- Chen, M.; Lu, G.; Wu, J.; Sun, J.; Yang, C.; Xie, Y.; Wang, K.; Deng, F.; Yi, X.; Dang, Z. Acidity and metallic elements release from AMD-affected river sediments: Effect of AMD standstill and dilution. Environ. Res. 2020, 186, 109490. [Google Scholar] [CrossRef]
- Bhowmick, S.; Pramanik, S.; Singh, P.; Mondal, P.; Chatterjee, D.; Nriagu, J. Arsenic in groundwater of West Bengal, India: A review of human health risks and assessment of possible intervention options. Sci. Total Environ. 2018, 612, 148–169. [Google Scholar] [CrossRef]
- Desogus, P.; Manca, P.P.; Orru, G.; Zucca, A. Stabilization-solidification treatment of mine tailings using Portland cement, potassium dihydrogen phosphate and ferric chloride hexahydrate. Miner. Eng. 2013, 45, 47–54. [Google Scholar] [CrossRef]
- Imoto, Y.; Yasutaka, T.; Someya, M.; Higashino, K. Influence of solid-liquid separation method parameters employed in soil leaching tests on apparent metal concentration. Sci. Total Environ. 2018, 624, 96–105. [Google Scholar] [CrossRef]
- Hage, J.L.; Mulder, E. Preliminary assessment of three new European leaching tests. Waste Manag. 2004, 24, 165–172. [Google Scholar] [CrossRef]
- Kumar, M.; Furumai, H.; Kurisu, F.; Kasuga, I. Potential mobility of heavy metals through coupled application of sequential extraction and isotopic exchange: Comparison of leaching tests applied to soil and soakaway sediment. Chemosphere 2013, 90, 796–804. [Google Scholar] [CrossRef] [PubMed]
- Little, K.W.; Koralegedara, N.H.; Northeim, C.M.; Al-Abed, S.R. Decision support for environmental management of industrial non-hazardous secondary materials: New analytical methods combined with simulation and optimization modeling. J. Environ. Manag. 2017, 196, 137–147. [Google Scholar] [CrossRef] [PubMed]
- Wang, P.; Sun, Z.; Hu, Y.; Cheng, H. Leaching of heavy metals from abandoned mine tailings brought by precipitation and the associated environmental impact. Sci. Total Environ. 2019, 695, 133893. [Google Scholar] [CrossRef] [PubMed]
- Geng, H.; Wang, F.; Yan, C.; Tian, Z.; Chen, H.; Zhou, B.; Yuan, R.; Yao, J. Leaching behavior of metals from iron tailings under varying pH and low-molecular-weight organic acids. J. Hazard Mater. 2020, 383, 121136. [Google Scholar] [CrossRef] [PubMed]
- Akhavan, A.; Golchin, A. Estimation of arsenic leaching from Zn-Pb mine tailings under environmental conditions. J. Clean. Prod. 2021, 295, 126477. [Google Scholar] [CrossRef]
- Jiang, L.; Sun, H.; Peng, T.; Ding, W.; Liu, B.; Liu, Q. Comprehensive evaluation of environmental availability, pollution level and leaching heavy metals behavior in non-ferrous metal tailings. J. Environ. Manag. 2021, 290, 112639. [Google Scholar] [CrossRef]
- Liu, B.; Peng, T.; Sun, H.; Yue, H. Release behavior of uranium in uranium mill tailings under environmental conditions. J. Environ. Radioact. 2017, 171, 160–168. [Google Scholar] [CrossRef]
- Santos, A.L.A.; Becheleni, E.M.A.; Viana, P.R.M.; Papini, R.M.; Silvas, F.P.C.; Rocha, S.D.F. Kinetics of Atmospheric Leaching from a Brazilian Nickel Laterite Ore Allied to Redox Potential Control. Min. Met. Explor. 2021, 38, 187–201. [Google Scholar] [CrossRef]
- Zuo, D.; Huang, J.; Yue, M.; Liu, S. Morphological characteristics and ecological risk assessment of soil heavy metals in Lujiang alumite mine. Ecol. Sci. 2019, 38, 86–91. [Google Scholar]
- Li, X.X.; Zhou, T.F.; White, N.C.; Fan, Y.; Zhang, L.J.; Xie, J.; Liu, Y.N.; Xiao, X. Formation of the Fanshan lithocap and implications for exploration in the Luzong Basin, Anhui Province, China. Ore Geol. Rev. 2020, 118, 103314. [Google Scholar] [CrossRef]
- Wang, L.Y.; Xue, N.N.; Zhang, Y.M.; Hu, P.C. Controlled Hydrothermal Precipitation of Alunite and Natroalunite in High-Aluminum Vanadium-Bearing Aqueous System. Minerals 2021, 11, 892. [Google Scholar] [CrossRef]
- Zhu, H.; Ren, J.; Yang, Q.; Zhou, B.; Jia, Y.; Lv, J.; Zhou, X.; Nie, W. Sources Analysis of Acid Drainage From Lujiang Alunite Mine Based on Stable Isotope Composition of Hydrogen and Oxygen. Resour. Environ. Yangtze Basin 2021, 30, 2938–2948. [Google Scholar]
- Qian, L. Study on the Dynamic Simulation and Control of Acid Water from Alunite Mine in Lujiang Country. Master’s Thesis, Hefei University of Technology, Hefei, China, 2018. [Google Scholar]
- Wang, C. Lujiang Iron Ore Mine Acid Water Formation Mechanism and Dynamic Simulation of Water Quality. Master’s Thesis, Hefei University of Technology, Hefei, China, 2018. [Google Scholar]
- Zhu, L. Study on Comprehensive Evaluation and Governance System of Environmental Quality in Typical Alunite MiningArea. Master’s Thesis, Anhui Jianzhu University, Hefei, China, 2020. [Google Scholar]
- Huang, J.; Zuo, D.; Yue, M. Assessing the acid generation potential of Lujiang alum ore. J. Anqing Norm. Univ. (Nat. Sci. Ed.) 2017, 23, 68–71. [Google Scholar]
- Zhou, B.; Guo, J.; Chen, X.; Yang, Q.; Zhu, H.; Duan, M.; Li, X.; Zhou, D.; Yang, Y. Source apportionment of soil heavy metals in abandoned mining areas in Dafan Mountain of Anhui Province based on the UNMIX model. Trans. Chin. Soc. Agric. Eng. 2021, 37, 240–248. [Google Scholar]
- Ministry of Ecology and Environment (MEE). Soil Environmental Quality Risk ControlStandard for Soil Contamination of Agricultural Land (GB 15618-2018); MEE: Beijin, China, 2018.
- State Administration for Market Regulation, Standardization Administration of China. Standards for Drinking Water Quality (GB5749–2022); State Administration for Market Regulation, Standardization Administration of China: Beijing, China, 2022. Available online: https://openstd.samr.gov.cn/bzgk/gb/newGbInfo?hcno=99E9C17E3547A3C0CE2FD1FFD9F2F7BE (accessed on 4 December 2022).
- Xiao, J.; Wang, L.Q.; Deng, L.; Jin, Z.D. Characteristics, sources, water quality and health risk assessment of trace elements in river water and well water in the Chinese Loess Plateau. Sci. Total Environ. 2019, 650, 2004–2012. [Google Scholar] [CrossRef]
- Khandare, A.L.; Validandi, V.; Rajendran, A.; Singh, T.G.; Thingnganing, L.; Kurella, S.; Nagaraju, R.; Dheeravath, S.; Vaddi, N.; Kommu, S.; et al. Health risk assessment of heavy metals and strontium in groundwater used for drinking and cooking in 58 villages of Prakasam district, Andhra Pradesh, India. Environ. Geochem. Health 2020, 42, 3675–3701. [Google Scholar] [CrossRef]
- USEPA Integrated Risk Information System (IRIS). 2020. Available online: http://www.epa.gov/iris/ (accessed on 5 December 2022).
- Joodavi, A.; Aghlmand, R.; Podgorski, J.; Dehbandi, R.; Abbasi, A. Characterization, geostatistical modeling and health risk assessment of potentially toxic elements in groundwater resources of northeastern Iran. J. Hydrol.-Reg. Stu. 2021, 37, 100885. [Google Scholar] [CrossRef]
- Eslami, H.; Esmaeili, A.; Razaeian, M.; Salari, M.; Hosseini, A.N.; Mobini, M.; Barani, A. Potentially toxic metal concentration, spatial distribution, and health risk assessment in drinking groundwater resources of southeast Iran. GeoSci. Front. 2022, 13, 101276. [Google Scholar] [CrossRef]
- Pecina, V.; Brtnicky, M.; Baltazar, T.; Juricka, D.; Kynicky, J.; Galiova, M.V. Human health and ecological risk assessment of trace elements in urban soils of 101 cities in China: A meta-analysis. Chemosphere 2021, 267, 129215. [Google Scholar] [CrossRef]
- Embile, R.F.; Walder, I.F.; Mahoney, J.J. Forsterite and pyrrhotite dissolution rates in a tailings deposit obtained from column leaching experiments and inverse modeling: A novel method for a mine tailings sample. Appl. Geochem. 2018, 98, 65–74. [Google Scholar] [CrossRef]
- Wang, G.F.; Xiao, H.Z.; Liang, G.C.; Zhu, J.L.; He, C.L.; Ma, S.J.; Shuai, Z.; Komarneni, S. Leaching characteristics and stabilization of heavy metals in tin-polymetallic tailings by sodium diethyl dithiocarbamate intercalated montmorillonite (DDTC-Mt). J. Clean. Prod. 2022, 344, 131041. [Google Scholar] [CrossRef]
- Berger, A.C.; Bethke, C.M.; Krumhansl, J.l. A process model of natural attenuation in drainage from a historic mining district. Appl. Geochem. 2000, 15, 655–666. [Google Scholar] [CrossRef]
- Li, Y.; Wu, P.; Xing, N.; Dang, Z.; Yi, X.; Luo, H. Simulated Weathering and Leaching Experiments on Sulphide-Rich Tailings at Dabaoshan Deposit. Acta Min. Sin. 2010, 30, 235–241. [Google Scholar] [CrossRef]
- Qian, L.; Li, B.; Chen, X.; Li, X.; Lin, H. Leaching characteristics and release rule of heavy metals from gold tailings. J. Southeast Univ. Nat. Sci. Ed. 2020, 50, 1084–1089. [Google Scholar]
- Huang, Y.M.; Liu, J.L.; Wang, G.; Bi, X.Y.; Sun, G.Y.; Wu, X.; Wang, Q.F.; Li, Z.G. Concentrations, Speciation, and Potential Release of Hazardous Heavy Metals from the Solid Combustion Residues of Coal-Fired Power Plants. Int. J. Environ. Res. Public Health 2022, 19, 12617. [Google Scholar] [CrossRef] [PubMed]
- Fonseca, B.; Teixeira, A.; Figueiredo, H.; Tavares, T. Modelling of the Cr(VI) transport in typical soils of the North of Portugal. J. Hazard Mater 2009, 167, 756–762. [Google Scholar] [CrossRef]
- Huang, Z.; Jiang, L.; Wu, P.; Dang, Z.; Zhu, N.; Liu, Z.; Luo, H. Leaching characteristics of heavy metals in tailings and their simultaneous immobilization with triethylenetetramine functioned montmorillonite (TETA-Mt) against simulated acid rain. Environ. Pollut. 2020, 266, 115236. [Google Scholar] [CrossRef]
- Zhou, S.; Wang, Y.; Deng, X.; Deng, R.; Wang, J.; Ren, B. Release law of Sb, As, and Hg in antimony mine wastes under simulated acid rain. J. Civ. Environ. Eng. 2022, 44, 168–176. [Google Scholar]
- Li, J.; Chen, D.; Wu, H.; Wu, W.; Chen, N. Release and Migration Behavior of Metals Such As Thallium from Pyrite Tailings under the Condition of Water Seal. Ecol. Environ. Sci. 2016, 25, 1382–1386. [Google Scholar]
- Zhang, S.; He, X.; Li, Y.; Fang, Z.; Wang, H. Leaching experimental study on heavy metals in soil lead-zinc mine. J. Min. Sci. Technol. 2018, 3, 406–416. [Google Scholar]
- Du Laing, G.; Rinklebe, J.; Vandecasteele, B.; Meers, E.; Tack, F.M.G. Trace metal behaviour in estuarine and riverine floodplain soils and sediments: A review. Sci. Total Environ. 2009, 407, 3972–3985. [Google Scholar] [CrossRef]
- Zhang, Y.; Ren, B.Z.; Hursthouse, A.; Deng, R.J.; Hou, B.L. Leaching and Releasing Characteristics and Regularities of Sb and As from Antimony Mining Waste Rocks. Polish J. Environ. Stud. 2019, 28, 4017–4025. [Google Scholar] [CrossRef]
- Li, S.; Fang, B.; Wang, D.; Wang, X.; Man, X.; Zhang, X. Leaching Characteristics of Heavy Metals and Plant Nutrients in the Sewage Sludge Immobilized by Composite Phosphorus-Bearing Materials. Int. J. Environ. Res. Public Health 2019, 16, 5159. [Google Scholar] [CrossRef]
- Inyang, H.I.; Onwawoma, A.; Bae, S. The Elovich equation as a predictor of lead and cadmium sorption rates on contaminant barrier minerals. Soil. Tillage Res. 2016, 155, 124–132. [Google Scholar] [CrossRef]
- Huang, L.M.; Jin, Q.; Tandon, P.; Li, A.M.; Shan, A.D.; Du, J.J. High-resolution insight into the competitive adsorption of heavy metals on natural sediment by site energy distribution. Chemosphere 2018, 197, 411–419. [Google Scholar] [CrossRef] [PubMed]
- Alghanmi Shorouq, I.; Al Sulami Amani, F.; El-Zayat Tahani, A.; Alhogbi Basma, G.; Salam Mohamed, A. Acid leaching of heavy metals from contaminated soil collected from Jeddah, Saudi Arabia: Kinetic and thermodynamics studies. Int. Soil Water Conserv. Res. 2015, 3, 196–208. [Google Scholar] [CrossRef]
- Clozel, B.; Ruban, V.; Durand, C.; Conil, P. Origin and mobility of heavy metals in contaminated sediments from retention and infiltration ponds. Appl. Geochem. 2006, 21, 1781–1798. [Google Scholar] [CrossRef]
- World Health Organization-WHO. Guidelines for Drinking-Water Quality: Fourth Edition Incorporating the First Addendum; World Health Organization-WHO: Geneva, Switzerland, 2017. [Google Scholar]
- Malakootian, M.; Mohammadi, A.; Faraji, M. Investigation of physicochemical parameters in drinking water resources and health risk assessment: A case study in NW Iran. Environ. Earth Sci. 2020, 79, 195. [Google Scholar] [CrossRef]
- Fallahzadeh, R.A.; Khosravi, R.; Dehdashti, B.; Ghahramani, E.; Omidi, F.; Adli, A.; Miri, M. Spatial distribution variation and probabilistic risk assessment of exposure to chromium in ground water supplies; a case study in the east of Iran. Food Chem. Toxicol. 2018, 115, 260–266. [Google Scholar] [CrossRef]







| Al mg/kg | Cd mg/kg | Cr mg/kg | Cu mg/kg | Mn mg/kg | Ni mg/kg | S % | |
|---|---|---|---|---|---|---|---|
| Sintered slag | 96,290 | 1.1 | 65.2 | 377.3 | 126 | 17.5 | 2.28 |
| Waste slag | 79,400 | 1.2 | 24.1 | 54.8 | 9.4 | 0.1 | 7.77 |
| GB 15618-2018 Screening value | 0.3 | 150 | 50 | 60 |
| Time (Days) | 1 | 2 | 3 | 4 | 5 | 6 | 7 | 8 | 9 | 10 | 11 | 12 |
|---|---|---|---|---|---|---|---|---|---|---|---|---|
| rainfall (mm) | 40 | 60 | 90 | 120 | 140 | 240 | 300 | 145 | 75 | 50 | 45 | 35 |
| rainfall duration (h) | 2.7 | 4.0 | 6.0 | 8.0 | 9.3 | 16.0 | 20.0 | 9.7 | 5.0 | 3.3 | 3.0 | 2.3 |
| PTM | Chinese Standards for Drinking Water Quality (GB5749-2022) | Sintered Slag | Waste Slag | Weight (wi) | Relative Weight (Wi) | |
|---|---|---|---|---|---|---|
| (mg/L) | Static Soaking | Dynamic Leaching | Static Soaking | |||
| Cd | ≤0.005 | —— | 0.002 | —— | 5 | 0.278 |
| Cr | ≤0.05 | 0.036 | 0.038 | 0.04 | 5 | 0.278 |
| Cu | ≤1 | —— | 0.177 | 0.821 | 2 | 0.111 |
| Mn | ≤0.1 | 0.158 | 1.93 | 0.386 | 5 | 0.278 |
| Ni | ≤0.02 | 0.0086 | 0.166 | 0.174 | 1 | 0.056 |
| PTM | Cd | Cr | Cu | Mn | Ni | WQI | Result | |
|---|---|---|---|---|---|---|---|---|
| Sintered slag | Static soaking | -- | 0.720 | 0.022 | 1.600 | 0.430 | 67.078 | Good |
| Dynamic leaching | 0.400 | 0.760 | 0.177 | 19.300 | 8.300 | 616.411 | Undrinkable | |
| Waste slag | Static soaking | -- | 0.800 | 0.821 | 3.860 | 8.700 | 186.900 | Poor |
Publisher’s Note: MDPI stays neutral with regard to jurisdictional claims in published maps and institutional affiliations. |
© 2022 by the authors. Licensee MDPI, Basel, Switzerland. This article is an open access article distributed under the terms and conditions of the Creative Commons Attribution (CC BY) license (https://creativecommons.org/licenses/by/4.0/).
Share and Cite
Zhu, H.; Xu, J.; Zhou, B.; Ren, J.; Yang, Q.; Wang, Z.; Nie, W. Leaching Characteristics of Potentially Toxic Metals from Tailings at Lujiang Alum Mine, China. Int. J. Environ. Res. Public Health 2022, 19, 17063. https://doi.org/10.3390/ijerph192417063
Zhu H, Xu J, Zhou B, Ren J, Yang Q, Wang Z, Nie W. Leaching Characteristics of Potentially Toxic Metals from Tailings at Lujiang Alum Mine, China. International Journal of Environmental Research and Public Health. 2022; 19(24):17063. https://doi.org/10.3390/ijerph192417063
Chicago/Turabian StyleZhu, Hongyan, Jinbo Xu, Beibei Zhou, Jia Ren, Qiang Yang, Zhe Wang, and Weibo Nie. 2022. "Leaching Characteristics of Potentially Toxic Metals from Tailings at Lujiang Alum Mine, China" International Journal of Environmental Research and Public Health 19, no. 24: 17063. https://doi.org/10.3390/ijerph192417063
APA StyleZhu, H., Xu, J., Zhou, B., Ren, J., Yang, Q., Wang, Z., & Nie, W. (2022). Leaching Characteristics of Potentially Toxic Metals from Tailings at Lujiang Alum Mine, China. International Journal of Environmental Research and Public Health, 19(24), 17063. https://doi.org/10.3390/ijerph192417063

