Salivary Diagnostic for Monitoring Strenuous Exercise—A Pilot Study in a Cohort of Male Ultramarathon Runners
Abstract
1. Introduction
2. Materials and Methods
2.1. Study Design
2.2. Participants
2.3. Data Collection
2.4. Statistical Methods
3. Results
3.1. Saliva Analysis
3.2. Blood Analysis
3.3. Salivary and Blood Ratios to Baseline
3.4. Associations and Regression Analysis
4. Discussion
5. Conclusions
Supplementary Materials
Author Contributions
Funding
Institutional Review Board Statement
Informed Consent Statement
Data Availability Statement
Conflicts of Interest
References
- Lindsay, A.; Lewis, J.G.; Scarrott, C.; Gill, N.; Gieseg, S.P.; Draper, N. Assessing the Effectiveness of Selected Biomarkers in the Acute and Cumulative Physiological Stress Response in Professional Rugby Union through Non-invasive Assessment. Int. J. Sports Med. 2015, 36, 446–454. [Google Scholar] [CrossRef] [PubMed]
- Nieman, D.C.; Henson, D.A.; Dumke, C.L.; Lind, R.H.; Shooter, L.R.; Gross, S.J. Relationship between salivary IgA secretion and upper respiratory tract infection following a 160-km race. J. Sports Med. Phys. Fit. 2006, 46, 158–162. [Google Scholar]
- Tauler, P.; Martinez, S.; Moreno, C.; Martínez, P.; Aguilo, A. Changes in salivary hormones, immunoglobulin A, and C-reactive protein in response to ultra-endurance exercises. Appl. Physiol. Nutr. Metab. 2014, 39, 560–565. [Google Scholar] [CrossRef] [PubMed]
- Nieman, D.C.; Berk, L.S.; Simpson-Westerberg, M.; Arabatzis, K.; Youngberg, S.; Tan, S.A.; Lee, J.W.; Eby, W.C. Effects of long-endurance running on immune system parameters and lymphocyte function in experienced marathoners. Int. J. Sports Med. 1989, 10, 317–323. [Google Scholar] [CrossRef] [PubMed]
- Alves, M.D.J.; Silva, D.D.S.; Pereira, E.V.M.; Pereira, D.D.; de Sousa Fernandes, M.S.; Santos, D.F.C.; Oliveira, D.P.M.; Vieira-Souza, L.M.; Aidar, F.J.; de Souza, R.F. Changes in Cytokines Concentration Following Long-Distance Running: A Systematic Review and Meta-Analysis. Front Physiol. 2022, 13, 838069. [Google Scholar] [CrossRef]
- Cerqueira, É.; Marinho, D.A.; Neiva, H.P.; Lourenço, O. Inflammatory Effects of High and Moderate Intensity Exercise-A Systematic Review. Front Physiol. 2019, 10, 1550. [Google Scholar] [CrossRef]
- Lindsay, A.; Gieseng, S.P. Pterins as diagnostic markers of exercise-induced stress: A systematic review. J. Sci. Med. Sport 2020, 23, 53–62. [Google Scholar] [CrossRef]
- Fournier, P.E.; Stalder, J.; Mermillod, B.; Chantraine, A. Effects of a 110 kilometers ultra-marathon race on plasma hormone levels. Int. J. Sports Med. 1997, 18, 252–256. [Google Scholar] [CrossRef]
- Kraemer, W.J.; Fragala, M.S.; Watson, G.; Volek, J.S.; Rubin, M.R.; French, D.N.; Maresh, C.M.; Vingren, J.L.; Hatfield, D.L.; Spiering, B.A.; et al. Hormonal responses to a 160-km race across frozen Alaska. Br. J. Sports Med. 2008, 42, 116–120. [Google Scholar] [CrossRef]
- Lindsay, A.; Costello, J.T. Realising the Potential of Urine and Saliva as Diagnostic Tools in Sport and Exercise Medicine. Sports Med. 2017, 47, 11–31. [Google Scholar] [CrossRef]
- Lippi, G.; Dipalo, M.; Buonocore, R.; Gnocchi, C.; Aloe, R.; Delsignore, R. Analytical Evaluation of Free Testosterone and Cortisol Immunoassays in Saliva as a Reliable Alternative to Serum in Sports Medicine. J. Clin. Lab. Anal. 2016, 30, 732–735. [Google Scholar] [CrossRef] [PubMed]
- Adebero, T.; McKinlay, B.J.; Theocharidis, A.; Root, Z.; Josse, A.R.; Klentrou, P.; Falk, B. Salivary and Serum Concentrations of Cortisol and Testosterone at Rest and in Response to Intense Exercise in Boys Versus Men. Pediatr. Exerc. Sci. 2020, 32, 65–72. [Google Scholar] [CrossRef] [PubMed]
- Anderson, T.; Haake, S.; Lane, A.R.; Hackney, A.C. Changes in resting salivary Testosterone, Cortisol and Interleukin 6 as biomarker of overtraining. Balt. J. Sport Health Sci. 2016, 101, 2–7. [Google Scholar] [CrossRef]
- Rahman, Z.A.; Abdullah, N.; Singh, R.; Sosroseno, W. Effect of acute exercise on the levels of salivary cortisol, tumor necrosis factor-alpha and nitric oxide. J. Oral. Sci. 2010, 52, 133–136. [Google Scholar] [CrossRef] [PubMed]
- Fahlman, M.M.; Engels, H.-J. Mucosal IgA and URTI in American college football players. a year longitudinal study. Med. Sci. Sports Exerc. 2005, 37, 374–380. [Google Scholar] [CrossRef]
- Gleeson, M.; Bishop, N.; Oliveira, M.; McCauley, T.; Tauler, P.; Muhamad, A.S. Respiratory infection risk in athletes: Association with antigen-stimulated IL-10 production and salivary IgA secretion. Scand. J. Med. Sci. Sports 2012, 22, 410–417. [Google Scholar] [CrossRef]
- Matsumoto, M.; Satoh, K.; Kushi, H.; Hamuro, K.; Sakurai, M.; Saito, H.; Tanaka, R.; Saito, T.; Kohda, N.; Hamada, K. Salivary Immunoglobulin A Secretion Rate During Peak Period Conditioning Regimens in Triathletes. J. Strength Cond. Res. 2021, 35, 1389–1396. [Google Scholar] [CrossRef]
- Owen, A.L.; Del Wong, P.; Dunlop, G.; Groussard, C.; Kebsi, W.; Dellal, A.; Morgans, R.; Zouhal, H. High-Intensity Training and Salivary Immunoglobulin A Responses in Professional Top-Level Soccer Players: Effect of Training Intensity. J. Strength Cond. Res. 2016, 30, 2460–2469. [Google Scholar] [CrossRef]
- Gill, S.K.; Teixeira, A.M.; Rosado, F.; Hankey, J.; Wright, A.; Marczak, S.; Murray, A.; Costa, R.J.S. The impact of a 24-h ultra-marathon on salivary antimicrobial protein responses. Int. J. Sports Med. 2014, 35, 966–971. [Google Scholar] [CrossRef]
- Deneen, W.P.; Jones, A.B. Cortisol and Alpha-amylase changes during an Ultra-Running Event. Int. J. Exerc. Sci. 2017, 10, 531–540. [Google Scholar]
- de Pero, R.; Minganti, C.; Cibelli, G.; Cortis, C.; Piacentini, M.F. The Stress of Competing: Cortisol and Amylase Response to Training and Competition. J. Funct. Morphol. Kinesiol. 2021, 6, 5. [Google Scholar] [CrossRef] [PubMed]
- Sorsa, T.; Tjäderhane, L.; Konttinen, Y.T.; Lauhio, A.; Salo, T.; Lee, H.-M.; Golub, L.M.; Brown, D.L.; Mäntylä, P. Matrix metalloproteinases: Contribution to pathogenesis, diagnosis and treatment of periodontal inflammation. Ann. Med. 2006, 38, 306–321. [Google Scholar] [CrossRef] [PubMed]
- von Elm, E.; Altman, D.G.; Egger, M.; Pocock, S.J.; Gøtzsche, P.C.; Vandenbroucke, J.P. The Strengthening the Reporting of Observational Studies in Epidemiology (STROBE) statement: Guidelines for reporting observational studies. J. Clin. Epidemiol. 2008, 61, 344–349. [Google Scholar] [CrossRef]
- Sarstedt AG & Co. Salivette-Hygienic Saliva Collection for Diagnostics and Monitoring. Available online: https://www.sarstedt.com/fileadmin/user_upload/99_Broschueren/Englisch/156_Salivette_GB_0813.pdf (accessed on 31 September 2022).
- Dhingra, N. WHO Guidelines on Drawing Blood: Best Practices in Phlebotomy; Safe Injection Global Network World Health Organization: Geneva, Switzerland, 2010; ISBN 978-92-4-159922-1. [Google Scholar]
- Kellmann, M.; Bertollo, M.; Bosquet, L.; Brink, M.; Coutts, A.J.; Duffield, R.; Erlacher, D.; Halson, S.L.; Hecksteden, A.; Heidari, J.; et al. Recovery and Performance in Sport: Consensus Statement. Int. J. Sports Physiol. Perform. 2018, 13, 240–245. [Google Scholar] [CrossRef] [PubMed]
- Soligard, T.; Schwellnus, M.; Alonso, J.-M.; Bahr, R.; Clarsen, B.; Dijkstra, H.P.; Gabbett, T.; Gleeson, M.; Hägglund, M.; Hutchinson, M.R.; et al. How much is too much? (Part 1) International Olympic Committee consensus statement on load in sport and risk of injury. Br. J. Sports Med. 2016, 50, 1030–1041. [Google Scholar] [CrossRef] [PubMed]
- Gleeson, M. Biochemical and immunological markers of over-training. J. Sports Sci. Med. 2002, 1, 31–41. [Google Scholar] [PubMed]
- Twist, C.; Highton, J. Monitoring fatigue and recovery in rugby league players. Int. J. Sports Physiol. Perform. 2013, 8, 467–474. [Google Scholar] [CrossRef]
- Schwellnus, M.; Soligard, T.; Alonso, J.-M.; Bahr, R.; Clarsen, B.; Dijkstra, H.P.; Gabbett, T.J.; Gleeson, M.; Hägglund, M.; Hutchinson, M.R.; et al. How much is too much? (Part 2) International Olympic Committee consensus statement on load in sport and risk of illness. Br. J. Sports Med. 2016, 50, 1043–1052. [Google Scholar] [CrossRef]
- Zhao, X.; Li, J.; Ren, X.; Yang, J. The effect of sleep on the salivary cortisol response to acute stressors: A review and suggestions. Sleep Med. 2021, 77, 35–44. [Google Scholar] [CrossRef]
- Zorn, J.V.; Schür, R.R.; Boks, M.P.; Kahn, R.S.; Joëls, M.; Vinkers, C.H. Cortisol stress reactivity across psychiatric disorders: A systematic review and meta-analysis. Psychoneuroendocrinology 2017, 77, 25–36. [Google Scholar] [CrossRef]
- Rodrigues, R.P.C.B.; de Andrade Vieira, W.; Siqueira, W.L.; Blumenberg, C.; de Macedo Bernardino, Í.; Cardoso, S.V.; Flores-Mir, C.; Paranhos, L.R. Saliva as an alternative to blood in the determination of uremic state in adult patients with chronic kidney disease: A systematic review and meta-analysis. Clin. Oral Investig. 2020, 24, 2203–2217. [Google Scholar] [CrossRef] [PubMed]
- Wolgin, M.; Zobernig, M.; Dvornyk, V.; Braun, R.J.; Kielbassa, A.M. Systematic Review on Saliva Biomarkers in Patients Diagnosed with Morbus Alzheimer and Morbus Parkinson. Biomedicines 2022, 10, 1702. [Google Scholar] [CrossRef] [PubMed]
- Nijakowski, K.; Surdacka, A. Salivary Biomarkers for Diagnosis of Inflammatory Bowel Diseases: A Systematic Review. Int. J. Mol. Sci. 2020, 21, 7477. [Google Scholar] [CrossRef]
- Nam, Y.; Kim, Y.-Y.; Chang, J.-Y.; Kho, H.-S. Salivary biomarkers of inflammation and oxidative stress in healthy adults. Arch. Oral Biol. 2019, 97, 215–222. [Google Scholar] [CrossRef]
- Beigpoor, A.; McKinlay, B.J.; Kurgan, N.; Plyley, M.J.; O’Leary, D.; Falk, B.; Klentrou, P. Cytokine concentrations in saliva vs. plasma at rest and in response to intense exercise in adolescent athletes. Ann. Hum. Biol. 2021, 48, 389–392. [Google Scholar] [CrossRef] [PubMed]
- Hanneman, S.K.; McCue, D.; Blog, G.L. Validation of Salivary Interleukin-6 and Tumor Necrosis Factor-Alpha of Healthy Adult Volunteers by Enzyme Immunoassay. Nurs. Res. 2016, 65, 475–480. [Google Scholar] [CrossRef] [PubMed]
- Kessler, K.; Hornemann, S.; Rudovich, N.; Weber, D.; Grune, T.; Kramer, A.; Pfeiffer, A.F.H.; Pivovarova-Ramich, O. Saliva Samples as A Tool to Study the Effect of Meal Timing on Metabolic And Inflammatory Biomarkers. Nutrients 2020, 12, 340. [Google Scholar] [CrossRef] [PubMed]
- Minetto, M.; Rainoldi, A.; Gazzoni, M.; Terzolo, M.; Borrione, P.; Termine, A.; Saba, L.; Dovio, A.; Angeli, A.; Paccotti, P. Differential responses of serum and salivary interleukin-6 to acute strenuous exercise. Eur. J. Appl. Physiol. 2005, 93, 679–686. [Google Scholar] [CrossRef]
- Minetto, M.A.; Gazzoni, M.; Lanfranco, F.; Baldi, M.; Saba, L.; Pedrola, R.; Komi, P.V.; Rainoldi, A. Influence of the sample collection method on salivary interleukin-6 levels in resting and post-exercise conditions. Eur. J. Appl. Physiol. 2007, 101, 249–256. [Google Scholar] [CrossRef]
- McLellan, C.P.; Lovell, D.I.; Gass, G.C. Creatine kinase and endocrine responses of elite players pre, during, and post rugby league match play. J. Strength Cond. Res. 2010, 24, 2908–2919. [Google Scholar] [CrossRef]
- Cadore, E.; Lhullier, F.; Brentano, M.; Silva, E.; Ambrosini, M.; Spinelli, R.; Silva, R.; Kruel, L. Correlations between serum and salivary hormonal concentrations in response to resistance exercise. J. Sports Sci. 2008, 26, 1067–1072. [Google Scholar] [CrossRef] [PubMed]
- Hough, J.; Robertson, C.; Gleeson, M. Blunting of exercise-induced salivary testosterone in elite-level triathletes with a 10-day training camp. Int. J. Sports Physiol. Perform. 2015, 10, 935–938. [Google Scholar] [CrossRef] [PubMed]
- Kupchak, B.R.; Kraemer, W.J.; Hoffman, M.D.; Phinney, S.D.; Volek, J.S. The impact of an ultramarathon on hormonal and biochemical parameters in men. Wilderness Environ. Med. 2014, 25, 278–288. [Google Scholar] [CrossRef] [PubMed]
- Francavilla, V.C.; Vitale, F.; Ciaccio, M.; Bongiovanni, T.; Marotta, C.; Caldarella, R.; Todaro, L.; Zarcone, M.; Muratore, R.; Bellia, C.; et al. Use of Saliva in Alternative to Serum Sampling to Monitor Biomarkers Modifications in Professional Soccer Players. Front. Physiol. 2018, 9, 1828. [Google Scholar] [CrossRef]
- Nater, U.M.; Rohleder, N. Salivary alpha-amylase as a non-invasive biomarker for the sympathetic nervous system: Current state of research. Psychoneuroendocrinology 2009, 34, 486–496. [Google Scholar] [CrossRef]
- Chatterton, R.T.; Vogelsong, K.M.; Lu, Y.C.; Ellman, A.B.; Hudgens, G.A. Salivary alpha-amylase as a measure of endogenous adrenergic activity. Clin. Physiol. 1996, 16, 433–448. [Google Scholar] [CrossRef]
- Hill, E.E.; Zack, E.; Battaglini, C.; Viru, M.; Viru, A.; Hackney, A.C. Exercise and circulating cortisol levels: The intensity threshold effect. J. Endocrinol. Investig. 2008, 31, 587–591. [Google Scholar] [CrossRef]
- Niemelä, M.; Kangastupa, P.; Niemelä, O.; Bloigu, R.; Juvonen, T. Acute Changes in Inflammatory Biomarker Levels in Recreational Runners Participating in a Marathon or Half-Marathon. Sports Med. Open 2016, 2, 21. [Google Scholar] [CrossRef]
- Souza, A.V.; Giolo, J.S.; Teixeira, R.R.; Vilela, D.D.; Peixoto, L.G.; Justino, A.B.; Caixeta, D.C.; Puga, G.M.; Espindola, F.S. Salivary and Plasmatic Antioxidant Profile following Continuous, Resistance, and High-Intensity Interval Exercise: Preliminary Study. Oxid. Med. Cell. Longev. 2019, 2019, 5425021. [Google Scholar] [CrossRef]
- Mortatti, A.L.; Moreira, A.; Aoki, M.S.; Crewther, B.T.; Castagna, C.; de Arruda, A.F.S.; Filho, J.M. Effect of competition on salivary cortisol, immunoglobulin A, and upper respiratory tract infections in elite young soccer players. J. Strength Cond. Res. 2012, 26, 1396–1401. [Google Scholar] [CrossRef]
- Tiernan, C.; Lyons, M.; Comyns, T.; Nevill, A.M.; Warrington, G. Salivary IgA as a Predictor of Upper Respiratory Tract Infections and Relationship to Training Load in Elite Rugby Union Players. J. Strength Cond. Res. 2020, 34, 782–790. [Google Scholar] [CrossRef] [PubMed]
- Sinnott-O’Connor, C.; Comyns, T.M.; Nevil, A.M.; Giles, D. Warrington. Salivary Biomarkers and Training Load During Training and Competition in Paralympic Swimmers. Int. J. Sports Physiol. Perform. 2018, 13, 839–843. [Google Scholar] [CrossRef] [PubMed]
- Blannin, A.K.; Robson, P.; Walsh, N.P.; Clark, A.M.; Glennon’, I.; Cleeson’, M. The Effect of Exercising to Exhaustion a t Different Intensities on Saliva Immunoglobulin A, Protein and Electrolyte Secretion. Int. J. Sports Med. 1998, 19, 547–552. [Google Scholar] [CrossRef]
- Bellar, D.; Murphy, K.A.; Aithal, R.; Davis, G.R.; Piper, T. The Effects of a 36-Hour Mixed Task Ultraendurance Race on Mucosal Immunity Markers and Pulmonary Function. Wilderness Environ. Med. 2017, 28, 10–16. [Google Scholar] [CrossRef]
- McKune, A.J.; Smith, L.L.; Semple, S.J.; Wadee, A.A. Influence of ultra-endurance exercise on immunoglobulin isotypes and subclasses. Br. J. Sports Med. 2005, 39, 665–670. [Google Scholar] [CrossRef]
- Raguzzini, A.; Toti, E.; Bernardi, M.; Castellucci, F.; Cavedon, V.; Fedullo, A.L.; Milanese, C.; Sciarra, T.; Peluso, I. Post-Exercise Ketosis, Salivary Uric Acid and Interleukin-6 after a Simulated Wheelchair Basketball Match. Endocr. Metab. Immun. Disord. Drug Targets 2021, 21, 2055–2062. [Google Scholar] [CrossRef] [PubMed]
- Lasisi, T.J.; Adeniyi, A.F. Effects of acute exercise on salivary free insulin-like growth factor 1 and interleukin 10 in sportsmen. Afr. Health Sci. 2016, 16, 560–566. [Google Scholar] [CrossRef] [PubMed][Green Version]
- Faelli, E.; Bisio, A.; Codella, R.; Ferrando, V.; Perasso, L.; Panascì, M.; Saverino, D.; Ruggeri, P. Acute and Chronic Catabolic Responses to CrossFit(®) and Resistance Training in Young Males. Int. J. Environ. Res. Public Health 2020, 17, 7172. [Google Scholar] [CrossRef]
- La Fratta, I.; Tatangelo, R.; Campagna, G.; Rizzuto, A.; Franceschelli, S.; Ferrone, A.; Patruno, A.; Speranza, L.; de Lutiis, M.A.; Felaco, M.; et al. The plasmatic and salivary levels of IL-1β, IL-18 and IL-6 are associated to emotional difference during stress in young male. Sci. Rep. 2018, 8, 3031. [Google Scholar] [CrossRef]
- Çelik, E.; Kara, S.S.; Çevik, Ö. The Potential Use of Saliva as a Biofluid for Systemic Inflammatory Response Monitoring in Children with Pneumonia. Indian J. Pediatr. 2022, 89, 477–483. [Google Scholar] [CrossRef]
- Riis, J.L.; Ahmadi, H.; Hamilton, K.R.; Hand, T.; Granger, D.A. Best practice recommendations for the measurement and interpretation of salivary proinflammatory cytokines in biobehavioral research. Brain Behav. Immun. 2021, 91, 105–116. [Google Scholar] [CrossRef] [PubMed]
- Gieseg, S.P.; Baxter-Parker, G.; Lindsay, A. Neopterin, Inflammation, and Oxidative Stress: What Could We Be Missing? Antioxidants 2018, 7, 80. [Google Scholar] [CrossRef] [PubMed]
- Lindsay, A.; Lewis, J.; Scarrott, C.; Draper, N.; Gieseg, S.P. Changes in acute biochemical markers of inflammatory and structural stress in rugby union. J. Sports Sci. 2015, 33, 882–891. [Google Scholar] [CrossRef] [PubMed]
- Ashley, P.; Di Iorio, A.; Cole, E.; Tanday, A.; Needleman, I. Oral health of elite athletes and association with performance: A systematic review. Br. J. Sports Med. 2015, 49, 14–19. [Google Scholar] [CrossRef] [PubMed]
- de Morais, E.F.; Pinheiro, J.C.; Leite, R.B.; Santos, P.P.A.; Barboza, C.A.G.; Freitas, R.A. Matrix metalloproteinase-8 levels in periodontal disease patients: A systematic review. J. Periodontal Res. 2018, 53, 156–163. [Google Scholar] [CrossRef]
- Merle, C.L.; Rott, T.; Challakh, N.; Schmalz, G.; Kottmann, T.; Kastner, T.; Blume, K.; Wolfarth, B.; Haak, R.; Ziebolz, D.; et al. Clinical findings and self-reported oral health status of biathletes and cross-country skiers in the preseason—a cohort study with a control group. Res. Sports Med. 2022, online ahead of print. 1–15. [Google Scholar] [CrossRef]
- Navazesh, M. Methods for collecting saliva. Ann. N. Y. Acad. Sci. 1993, 694, 72–77. [Google Scholar] [CrossRef]
- Liukkonen, J.; Gürsoy, U.K.; Pussinen, P.J.; Suominen, A.L.; Könönen, E. Salivary Concentrations of Interleukin (IL)-1β, IL-17A, and IL-23 Vary in Relation to Periodontal Status. J. Periodontol. 2016, 87, 1484–1491. [Google Scholar] [CrossRef]
- Miller, C.S.; Ding, X.; Dawson, D.R.; Ebersole, J.L. Salivary biomarkers for discriminating periodontitis in the presence of diabetes. J. Clin. Periodontol. 2021, 48, 216–225. [Google Scholar] [CrossRef]
- Slavish, D.C.; Graham-Engeland, J.E.; Smyth, J.M.; Engeland, C.G. Salivary markers of inflammation in response to acute stress. Brain Behav. Immun. 2015, 44, 253–269. [Google Scholar] [CrossRef]
- Slavish, D.C.; Szabo, Y.Z. What moderates salivary markers of inflammation reactivity to stress? A descriptive report and meta-regression. Stress 2021, 24, 710–722. [Google Scholar] [CrossRef]
- Nieman, D.C.; Henson, D.A.; Fagoaga, O.R.; Utter, A.C.; Vinci, D.M.; Davis, J.M.; Nehlsen-Cannarella, S.L. Change in salivary IgA following a competitive marathon race. Int. J. Sports Med. 2002, 23, 69–75. [Google Scholar] [CrossRef]
- Riis, J.L.; Out, D.; Dorn, L.D.; Beal, S.J.; Denson, L.A.; Pabst, S.; Jaedicke, K.; Granger, D.A. Salivary cytokines in healthy adolescent girls: Intercorrelations, stability, and associations with serum cytokines, age, and pubertal stage. Dev. Psychobiol. 2014, 56, 797–811. [Google Scholar] [CrossRef]

| n = 9 | Mean ± SD | Range |
|---|---|---|
| age (years) | 48 ± 8.8 | 35–62 |
| height (m) | 1.76 ± 0.07 | 1.69–1.86 |
| weight (kg) | 72.5 ± 7.2 | 61.2–85.2 |
| body fat (%) | 16.65 ± 4.93 | 10.7–23.87 |
| BMI (kg/cm²) | 23.53 ± 1.90 | 21.3–27.65 |
| running time (h) | 23:29 ± 03:58 | - |
| pace (min/km) | 08:42 ± 01:28 | - |
| Parameter | T1 (Mean ± SD) | T2 (Mean ± SD) | T3 (Mean ± SD) | T1 vs. T2 | T2 vs. T3 | T1 vs. T3 | |||
|---|---|---|---|---|---|---|---|---|---|
| s-cortisol (µg/dL) | 0.7 | ±0.2 | 1.8 | ±0.7 | 0.6 | ±0.7 | 0.03 * | <0.01 * | 0.16 |
| s-testosterone (pg/mL) | 325.3 | ±248.6 | 298.3 | ±262.0 | 313.4 | ±291.0 | 0.26 | 0.26 | 0.26 |
| s-IL-1β (pg/mL) | 6.2 | ±8.7 | 6.6 | ±10.4 | 9.4 | ±12.2 | 0.87 | 0.87 | 0.87 |
| s-IL-6 (pg/mL) | 0.7 | ±1.1 | 0.9 | ±0.7 | 0.8 | ±1.3 | 0.46 | 0.46 | 0.46 |
| s-IL-8 (pg/mL) | 28.6 | ±39.7 | 59.9 | ±60.5 | 145.8 | ±218.0 | 0.10 | 0.10 | 0.10 |
| s-IL-10 (pg/mL) | <OOR | <OOR | <OOR | <OOR | <OOR | <OOR | n.c. | n.c. | n.c. |
| s-TNFα (pg/mL) | <OOR | <OOR | <OOR | <OOR | <OOR | <OOR | n.c. | n.c. | n.c. |
| s-IgA (µg/mL) | 11.6 | ±11.4 | 32.4 | ±61.4 | 16.4 | ±7.7 | 0.10 | 0.10 | 0.10 |
| s-α amylase (U/mL) | 18.4 | ±20.6 | 31.2 | ±26.5 | 33.3 | ±39.9 | 0.46 | 0.46 | 0.46 |
| s-aMMP-8 (pg/mL) | 1749 | ±1614 | 7422 | ±8900 | 14834 | ±23062 | 0.37 | 0.37 | 0.37 |
| s-neopterin (nmol/L) | 2.6 | ±1.4 | 3.7 | ±2.1 | 2.8 | ±1.5 | 0.37 | 0.37 | 0.37 |
| s-albumin (ng/mL) | 9.4 | ±7.0 | 8.5 | ±6.7 | 17.7 | ±19.5 | 0.24 | 0.24 | 0.24 |
| Parameter | T1 (Mean ± SD) | T2 (Mean ± SD) | T3 (Mean ± SD) | T1 vs. T2 | T2 vs. T3 | p T1 vs. T3 | |||
|---|---|---|---|---|---|---|---|---|---|
| b-cortisol (µg/dL) | 9.7 | ±2.5 | 30.7 | ±8.1 | 10.8 | ±2.1 | <0.01 * | <0.01 * | 0.81 |
| b-testosterone (pg/mL) | 3652 | ±915 | 1129 | ±467 | 4283 | ±1106 | <0.01 * | <0.01 * | 0.48 |
| b-IL -1β (pg/mL) | 8.9 | ±7.7 | 5.5 | ±2.5 | 9.4 | ±0.0. | n.c. | n.c. | n.c. |
| b-IL-6 (pg/mL) | 7.3 | ±4.8 | 13.5 | ±8.5 | 6.7 | ±3.7 | 0.01 * | 0.08 | 0.48 |
| b-IL-8 (pg/mL) | 10.8 | ±9.6 | 26.6 | ±17.5 | 11.8 | ±11.6 | 0.03 * | 0.02 * | 0.89 |
| b-IL-10 (pg/mL) | 9.8 | ±6.0 | 28.0 | ±15.4 | 10.2 | ±6.6 | 0.01 * | 0.14 | 0.29 |
| b-TNFα (pg/mL) | 7.4 | ±1.7 | 7.6 | ±1.7 | 6.6 | ±1.8 | 0.44 | 0.44 | 0.44 |
| b-α amylase (U/mL) | 0.07 | ±0.02 | 0.05 | ±0.01 | 0.08 | ±0.02 | 0.01 * | <0.01 * | 0.24 |
| b-erythrocytes (M/µL) | 4.45 | ±0.34 | 4.58 | ±0.42 | 4.48 | ±0.38 | 0.90 | 0.90 | 0.90 |
| b-thrombocytes (k/µL) | 226 | ±34 | 222 | ±47 | 248 | ±54 | 0.12 | 0.12 | 0.12 |
| b-leucocytes (g/dL) | 5.2 | ±1.4 | 10.9 | ±3.0 | 5.4 | ±1.0 | <0.01 * | <0.01 * | 0.64 |
| b-neutrophils (%) | 59.1 | ±8.0 | 75.6 | ±13.6 | 56.8 | ±10.5 | 0.02 * | <0.01 * | 0.35 |
| b-lymphocytes (%) | 30.1 | ±8.2 | 13.1 | ±8.4 | 30.9 | ±11.1 | <0.01 * | <0.01 * | 0.48 |
| b-monocytes (%) | 8.0 | ±1.4 | 10.4 | ±5.9 | 9.3 | ±1.4 | 0.26 | 0.26 | 0.26 |
| b-eosinophils (%) | 2.1 | ±1.6 | 0.2 | ±0.4 | 2.3 | ±1.4 | <0.01 * | <0.01 * | 0.81 |
| b-basophils (%) | 0.8 | ±0.2 | 0.7 | ±0.3 | 0.7 | ±0.5 | 0.90 | 0.90 | 0.90 |
| b-procalcitonin (µg/L) | 0.1 | ±0.1 | 0.6 | ±0.3 | 0.2 | ±0.4 | 0.03 * | <0.01 * | 0.64 |
| b-C-reactive protein (mg/L) | 3.1 | ±4.4 | 34.7 | ±18.7 | 4.2 | ±5.7 | <0.01 * | <0.01 * | 0.81 |
| b-albumin (ng/mL) | 43.8 | ±2.8 | 45.2 | ±4.2 | 43.7 | ±2.1 | 0.46 | 0.46 | 0.46 |
| b-osmolality (mOsmol/kg) | 290.0 | ±4.6 | 298.1 | ±7.8 | 290.0 | ±2.3 | 0.01 * | 0.02 * | 0.81 |
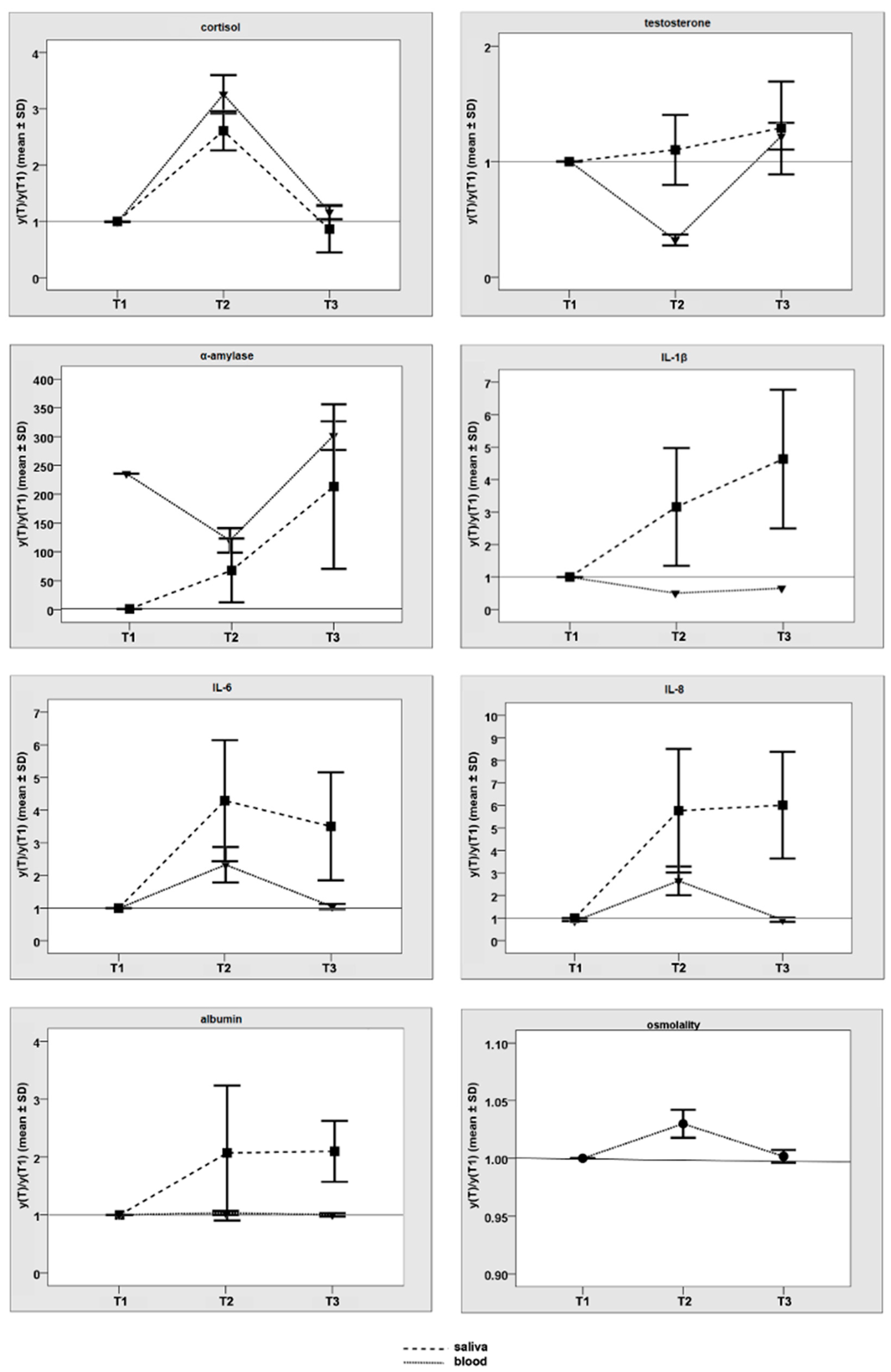
| Parameter | T2/T1 Ratio | T3/T1 Ratio | ||||||||
|---|---|---|---|---|---|---|---|---|---|---|
| Saliva | Blood | p-Value | Saliva | Blood | p-Value | |||||
| (Mean ± SD) | (Mean ± SD) | (Mean ± SD) | (Mean ± SD) | |||||||
| cortisol | 2.6 | ±1.0 | 3.3 | ±1.0 | 0.09 | 0.9 | ±1.2 | 1.2 | ±0.4 | 0.11 |
| testosterone | 1.1 | ±0.9 | 0.3 | ±0.1 | 0.02 * | 1.3 | ±1.2 | 1.2 | ±0.3 | 0.86 |
| IL-1β | 3.2 | ±5.4 | 0.8 | ±0.4 | 0.66 | 4.6 | ±6.4 | 0.7 | ±0.0 | n.c. |
| IL-6 | 4.3 | ±5.6 | 2.3 | ±1.1 | 0.07 | 3.5 | ±5.0 | 1.0 | ±0.2 | 0.23 |
| IL-8 | 5.8 | ±8.2 | 2.7 | ±1.6 | 0.13 | 6.0 | ±7.1 | 1.1 | ±0.3 | 0.05 |
| IL-10 | n.c. | n.c. | 3.1 | ±2.3 | n.c. | n.c. | n.c. | 1.0 | ±0.16 | n.c. |
| TNFα | n.c. | n.c. | 1.1 | ±0.3 | n.c. | n.c. | n.c. | 0.9 | ±0.24 | n.c. |
| α-amylase | 67.8 | ±166.2 | 0.7 | ±0.2 | 0.03 * | 213.4 | ±428.4 | 1.2 | ±0.2 | 0.86 |
| albumin | 2.1 | ±3.5 | 1.0 | ±0.1 | 0.86 | 2.1 | ±1.6 | 1.0 | ±0.1 | 0.07 |
Publisher’s Note: MDPI stays neutral with regard to jurisdictional claims in published maps and institutional affiliations. |
© 2022 by the authors. Licensee MDPI, Basel, Switzerland. This article is an open access article distributed under the terms and conditions of the Creative Commons Attribution (CC BY) license (https://creativecommons.org/licenses/by/4.0/).
Share and Cite
Borchers, J.; Merle, C.L.; Schöneborn, D.D.; Lyko, L.R.; Thouet, T.; Wolfarth, B.; Kottmann, T.; Scheibenbogen, C.; Zimmer, J.; Diederich, S.; et al. Salivary Diagnostic for Monitoring Strenuous Exercise—A Pilot Study in a Cohort of Male Ultramarathon Runners. Int. J. Environ. Res. Public Health 2022, 19, 16110. https://doi.org/10.3390/ijerph192316110
Borchers J, Merle CL, Schöneborn DD, Lyko LR, Thouet T, Wolfarth B, Kottmann T, Scheibenbogen C, Zimmer J, Diederich S, et al. Salivary Diagnostic for Monitoring Strenuous Exercise—A Pilot Study in a Cohort of Male Ultramarathon Runners. International Journal of Environmental Research and Public Health. 2022; 19(23):16110. https://doi.org/10.3390/ijerph192316110
Chicago/Turabian StyleBorchers, Josephin, Cordula Leonie Merle, Deborah Diana Schöneborn, Lea Ronja Lyko, Thomas Thouet, Bernd Wolfarth, Tanja Kottmann, Carmen Scheibenbogen, Jeannot Zimmer, Sven Diederich, and et al. 2022. "Salivary Diagnostic for Monitoring Strenuous Exercise—A Pilot Study in a Cohort of Male Ultramarathon Runners" International Journal of Environmental Research and Public Health 19, no. 23: 16110. https://doi.org/10.3390/ijerph192316110
APA StyleBorchers, J., Merle, C. L., Schöneborn, D. D., Lyko, L. R., Thouet, T., Wolfarth, B., Kottmann, T., Scheibenbogen, C., Zimmer, J., Diederich, S., Bauer, K., Sack, U., Schmalz, G., Ziebolz, D., & Wüstenfeld, J. (2022). Salivary Diagnostic for Monitoring Strenuous Exercise—A Pilot Study in a Cohort of Male Ultramarathon Runners. International Journal of Environmental Research and Public Health, 19(23), 16110. https://doi.org/10.3390/ijerph192316110

