Association between PM1 Exposure and Lung Function in Children and Adolescents: A Systematic Review and Meta-Analysis
Abstract
1. Introduction
2. Materials and Methods
2.1. Study Question
2.2. Search Strategy
2.3. Study Selection
2.4. Data Extraction and Quality Assessment
2.5. Statistical Analysis
3. Results
3.1. Characteristics of Included Studies
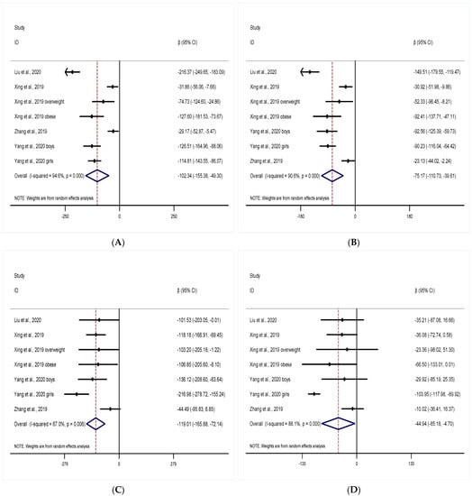
3.2. Primary Meta-Analysis
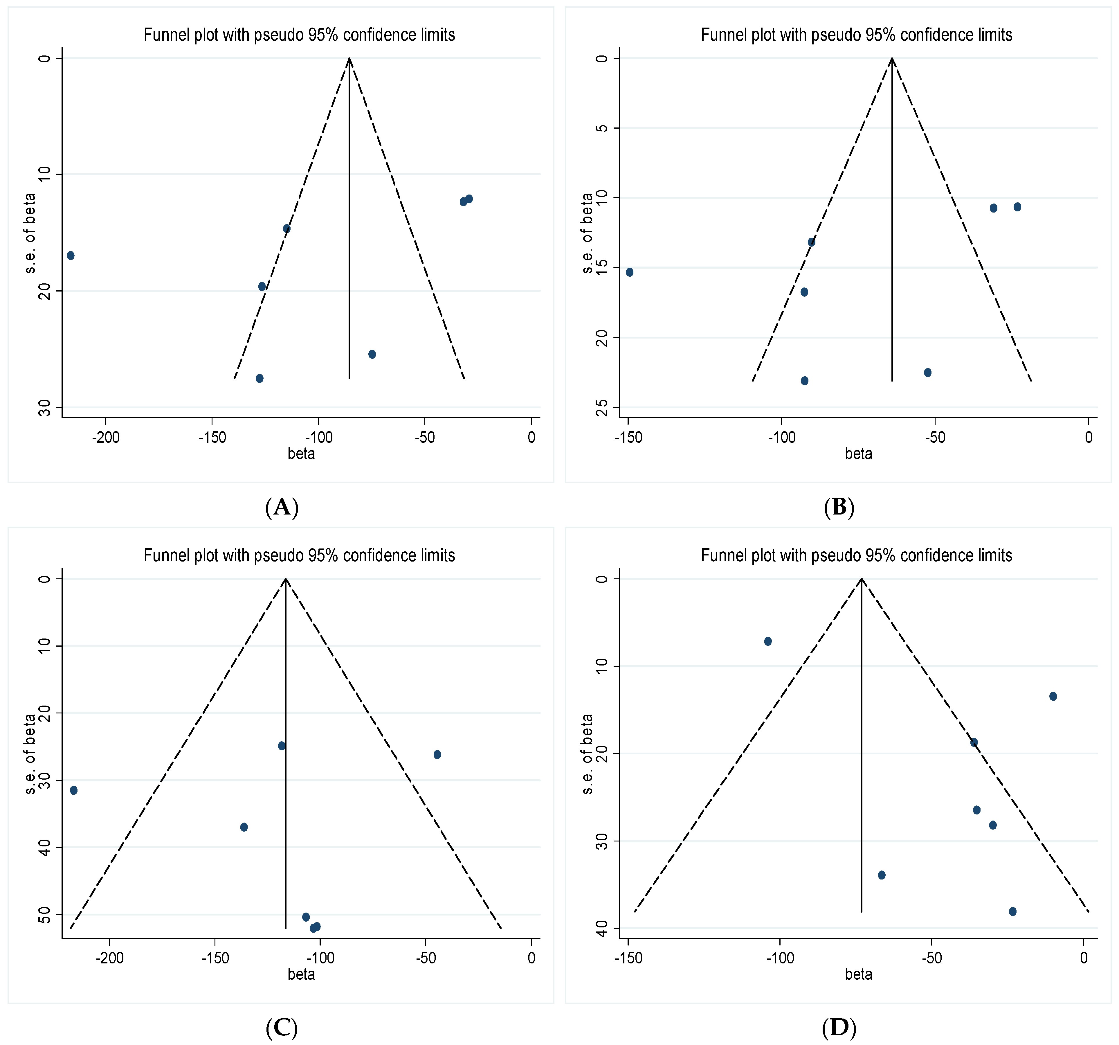
3.3. Publication Bias
3.4. Sensitivity Analysis
4. Discussion
5. Conclusions
Supplementary Materials
Author Contributions
Funding
Institutional Review Board Statement
Informed Consent Statement
Data Availability Statement
Conflicts of Interest
References
- GBD Chronic Respiratory Disease Collaborators. Prevalence and attributable health burden of chronic respiratory diseases, 1990–2017: A systematic analysis for the Global Burden of Disease Study 2017. Lancet Respir. Med. 2020, 8, 585–596. [Google Scholar] [CrossRef] [PubMed]
- Wu, Y.; Jin, T.; He, W.; Liu, L.; Li, H.; Liu, C.; Zhou, Y.; Hong, J.; Cao, L.; Lu, Y.; et al. Associations of fine particulate matter and constituents with pediatric emergency room visits for respiratory diseases in Shanghai, China. Int. J. Hyg. Environ. Health 2021, 236, 113805. [Google Scholar] [CrossRef] [PubMed]
- Ginsberg, G.L.; Foos, B.P.; Firestone, M.P. Review and analysis of inhalation dosimetry methods for application to children’s risk assessment. J. Toxicol. Environ. Health A 2005, 68, 573–615. [Google Scholar] [CrossRef]
- Bateson, T.F.; Schwartz, J. Children’s response to air pollutants. J. Toxicol. Environ. Health A 2008, 71, 238–243. [Google Scholar] [CrossRef]
- Tasmin, S.; Ng, C.F.S.; Stickley, A.; Md, N.; Saroar, G.; Yasumoto, S.; Watanabe, C. Effects of Short-term Exposure to Ambient Particulate Matter on the Lung Function of School Children in Dhaka, Bangladesh. Epidemiology 2019, 30 (Suppl. S1), S15–S23. [Google Scholar] [CrossRef]
- Ban, J.; Wang, Q.; Ma, R.; Zhang, Y.; Shi, W.; Zhang, Y.; Chen, C.; Sun, Q.; Wang, Y.; Guo, X.; et al. Associations between short-term exposure to PM2.5 and stroke incidence and mortality in China: A case-crossover study and estimation of the burden. Environ. Pollut. 2021, 268, 115743. [Google Scholar] [CrossRef]
- Li, Q.; Wang, Y.Y.; Guo, Y.; Zhou, H.; Wang, Q.M.; Shen, H.P.; Zhang, Y.P.; Yan, D.H.; Li, S.; Chen, G.; et al. Association between airborne particulate matter and renal function: An analysis of 2.5 million young adults. Environ. Int. 2021, 147, 106348. [Google Scholar] [CrossRef]
- Wang, X.; Xu, Z.; Su, H.; Ho, H.C.; Song, Y.; Zheng, H.; Hossain, M.Z.; Khan, M.A.; Bogale, D.; Zhang, H.; et al. Ambient particulate matter (PM1, PM2.5, PM10) and childhood pneumonia: The smaller particle, the greater short-term impact? Sci. Total Environ. 2021, 772, 145509. [Google Scholar] [CrossRef]
- Wu, Q.Z.; Li, S.; Yang, B.Y.; Bloom, M.; Shi, Z.; Knibbs, L.; Dharmage, S.; Leskinen, A.; Jalaludin, B.; Jalava, P.; et al. Ambient Airborne Particulates of Diameter ≤ 1 mum, a Leading Contributor to the Association Between Ambient Airborne Particulates of Diameter ≤ 2.5 mum and Children’s Blood Pressure. Hypertension 2020, 75, 347–355. [Google Scholar] [CrossRef]
- Yang, B.Y.; Guo, Y.; Zou, Z.; Gui, Z.; Bao, W.W.; Hu, L.W.; Chen, G.; Jing, J.; Ma, J.; Li, S.; et al. Exposure to ambient air pollution and visual impairment in children: A nationwide cross-sectional study in China. J. Hazard. Mater. 2021, 407, 124750. [Google Scholar] [CrossRef]
- Zhang, Z.; Dong, B.; Chen, G.; Song, Y.; Li, S.; Yang, Z.; Dong, Y.; Wang, Z.; Ma, J.; Guo, Y. Ambient air pollution and obesity in school-aged children and adolescents: A multicenter study in China. Sci. Total Environ. 2021, 771, 144583. [Google Scholar] [CrossRef]
- Pellegrino, R.; Viegi, G.; Brusasco, V.; Crapo, R.O.; Burgos, F.; Casaburi, R.; Coates, A.; van der Grinten, C.P.; Gustafsson, P.; Hankinson, J.; et al. Interpretative strategies for lung function tests. Eur. Respir. J. 2005, 26, 948–968. [Google Scholar] [CrossRef]
- Bui, D.S.; Burgess, J.A.; Lowe, A.J.; Perret, J.L.; Lodge, C.J.; Bui, M.; Morrison, S.; Thompson, B.R.; Thomas, P.S.; Giles, G.G.; et al. Childhood Lung Function Predicts Adult Chronic Obstructive Pulmonary Disease and Asthma-Chronic Obstructive Pulmonary Disease Overlap Syndrome. Am. J. Respir. Crit. Care Med. 2017, 196, 39–46. [Google Scholar] [CrossRef]
- Sullivan, P.W.; Ghushchyan, V.H.; Marvel, J.; Barrett, Y.C.; Fuhlbrigge, A.L. Association Between Pulmonary Function and Asthma Symptoms. J. Allergy Clin. Immunol. Pract. 2019, 7, 2319–2325. [Google Scholar] [CrossRef]
- Shrine, N.; Guyatt, A.L.; Erzurumluoglu, A.M.; Jackson, V.E.; Hobbs, B.D.; Melbourne, C.A.; Batini, C.; Fawcett, K.A.; Song, K.; Sakornsakolpat, P.; et al. New genetic signals for lung function highlight pathways and chronic obstructive pulmonary disease associations across multiple ancestries. Nat. Genet. 2019, 51, 481–493. [Google Scholar] [CrossRef]
- Zhang, W.; Ma, R.; Wang, Y.; Jiang, N.; Zhang, Y.; Li, T. The relationship between particulate matter and lung function of children: A systematic review and meta-analysis. Environ. Pollut. 2022, 309, 119735. [Google Scholar] [CrossRef]
- Fuertes, E.; Bracher, J.; Flexeder, C.; Markevych, I.; Klumper, C.; Hoffmann, B.; Kramer, U.; von Berg, A.; Bauer, C.P.; Koletzko, S.; et al. Long-term air pollution exposure and lung function in 15 year-old adolescents living in an urban and rural area in Germany: The GINIplus and LISAplus cohorts. Int. J. Hyg. Environ. Health 2015, 218, 656–665. [Google Scholar] [CrossRef]
- Chen, C.; Li, C.; Li, Y.; Liu, J.; Meng, C.; Han, J.; Zhang, Y.; Xu, D. Short-term effects of ambient air pollution exposure on lung function: A longitudinal study among healthy primary school children in China. Sci. Total Environ. 2018, 645, 1014–1020. [Google Scholar] [CrossRef]
- Gehring, U.; Gruzieva, O.; Agius, R.M.; Beelen, R.; Custovic, A.; Cyrys, J.; Eeftens, M.; Flexeder, C.; Fuertes, E.; Heinrich, J.; et al. Air pollution exposure and lung function in children: The ESCAPE project. Environ. Health Perspect. 2013, 121, 1357–1364. [Google Scholar] [CrossRef]
- Rice, M.B.; Rifas-Shiman, S.L.; Litonjua, A.A.; Oken, E.; Gillman, M.W.; Kloog, I.; Luttmann-Gibson, H.; Zanobetti, A.; Coull, B.A.; Schwartz, J.; et al. Lifetime Exposure to Ambient Pollution and Lung Function in Children. Am. J. Respir. Crit. Care Med. 2016, 193, 881–888. [Google Scholar] [CrossRef]
- Wong, S.L.; Coates, A.L.; To, T. Exposure to industrial air pollutant emissions and lung function in children: Canadian Health Measures Survey, 2007 to 2011. Health Rep. 2016, 27, 3–9. [Google Scholar]
- Wu, Y.; Li, H.; Xu, D.; Li, H.; Chen, Z.; Cheng, Y.; Yin, G.; Niu, Y.; Liu, C.; Kan, H.; et al. Associations of fine particulate matter and its constituents with airway inflammation, lung function, and buccal mucosa microbiota in children. Sci. Total Environ. 2021, 773, 145619. [Google Scholar] [CrossRef]
- Schraufnagel, D.E. The health effects of ultrafine particles. Exp. Mol. Med. 2020, 52, 311–317. [Google Scholar] [CrossRef]
- Almirall, J.; Serra-Prat, M.; Bolibar, I.; Balasso, V. Risk Factors for Community-Acquired Pneumonia in Adults: A Systematic Review of Observational Studies. Respiration 2017, 94, 299–311. [Google Scholar] [CrossRef]
- Correll, C.U.; Solmi, M.; Croatto, G.; Schneider, L.K.; Rohani-Montez, S.C.; Fairley, L.; Smith, N.; Bitter, I.; Gorwood, P.; Taipale, H.; et al. Mortality in people with schizophrenia: A systematic review and meta-analysis of relative risk and aggravating or attenuating factors. World Psychiatry 2022, 21, 248–271. [Google Scholar] [CrossRef]
- Lucht, S.A.; Hennig, F.; Matthiessen, C.; Ohlwein, S.; Icks, A.; Moebus, S.; Jockel, K.H.; Jakobs, H.; Hoffmann, B. Air Pollution and Glucose Metabolism: An Analysis in Non-Diabetic Participants of the Heinz Nixdorf Recall Study. Environ. Health Perspect. 2018, 126, 047001. [Google Scholar] [CrossRef]
- Dominici, F.; Peng, R.D.; Bell, M.L.; Pham, L.; McDermott, A.; Zeger, S.L.; Samet, J.M. Fine particulate air pollution and hospital admission for cardiovascular and respiratory diseases. JAMA 2006, 295, 1127–1134. [Google Scholar] [CrossRef]
- Higgins, J.P.; Thompson, S.G.; Deeks, J.J.; Altman, D.G. Measuring inconsistency in meta-analyses. BMJ 2003, 327, 557–560. [Google Scholar] [CrossRef]
- Nawrot, T.S.; Perez, L.; Kunzli, N.; Munters, E.; Nemery, B. Public health importance of triggers of myocardial infarction: A comparative risk assessment. Lancet 2011, 377, 732–740. [Google Scholar] [CrossRef]
- Liu, K.; Yang, B.Y.; Guo, Y.; Bloom, M.S.; Dharmage, S.C.; Knibbs, L.D.; Heinrich, J.; Leskinen, A.; Lin, S.; Morawska, L.; et al. The role of influenza vaccination in mitigating the adverse impact of ambient air pollution on lung function in children: New insights from the Seven Northeastern Cities Study in China. Environ. Res. 2020, 187, 109624. [Google Scholar] [CrossRef]
- Moshammer, H.; Hutter, H.P.; Hauck, H.; Neuberger, M. Low levels of air pollution induce changes of lung function in a panel of schoolchildren. Eur. Respir. J. 2006, 27, 1138–1143. [Google Scholar] [CrossRef]
- Wu, H.; Zhang, Y.; Wei, J.; Bovet, P.; Zhao, M.; Liu, W.; Xi, B. Association between short-term exposure to ambient PM1 and PM2.5 and forced vital capacity in Chinese children and adolescents. Environ. Sci. Pollut. Res. Int. 2022, 29, 71665–71675. [Google Scholar] [CrossRef]
- Xing, X.; Hu, L.; Guo, Y.; Bloom, M.S.; Li, S.; Chen, G.; Yim, S.H.L.; Gurram, N.; Yang, M.; Xiao, X.; et al. Interactions between ambient air pollution and obesity on lung function in children: The Seven Northeastern Chinese Cities (SNEC) Study. Sci. Total Environ. 2020, 699, 134397. [Google Scholar] [CrossRef]
- Yang, M.; Guo, Y.M.; Bloom, M.S.; Dharmagee, S.C.; Morawska, L.; Heinrich, J.; Jalaludin, B.; Markevychd, I.; Knibbsf, L.D.; Lin, S.; et al. Is PM1 similar to PM2.5? A new insight into the association of PM1 and PM2.5 with children’s lung function. Environ. Int. 2020, 145, 106092. [Google Scholar] [CrossRef]
- Zhang, C.; Guo, Y.; Xiao, X.; Bloom, M.S.; Qian, Z.; Rolling, C.A.; Xian, H.; Lin, S.; Li, S.; Chen, G.; et al. Association of Breastfeeding and Air Pollution Exposure With Lung Function in Chinese Children. JAMA Netw. Open 2019, 2, e194186. [Google Scholar] [CrossRef]
- Zwozdziak, A.; Sowka, I.; Willak-Janc, E.; Zwozdziak, J.; Kwiecinska, K.; Balinska-Miskiewicz, W. Influence of PM1 and PM2.5 on lung function parameters in healthy schoolchildren-a panel study. Environ. Sci. Pollut. Res. Int. 2016, 23, 23892–23901. [Google Scholar] [CrossRef]
- Lin, H.; Tao, J.; Du, Y.; Liu, T.; Qian, Z.; Tian, L.; Di, Q.; Rutherford, S.; Guo, L.; Zeng, W.; et al. Particle size and chemical constituents of ambient particulate pollution associated with cardiovascular mortality in Guangzhou, China. Environ. Pollut. 2016, 208, 758–766. [Google Scholar] [CrossRef]
- Chen, G.; Li, S.; Zhang, Y.; Zhang, W.; Li, D.; Wei, X.; He, Y.; Bell, M.L.; Williams, G.; Marks, G.B.; et al. Effects of ambient PM1 air pollution on daily emergency hospital visits in China: An epidemiological study. Lancet Planet. Health 2017, 1, e221–e229. [Google Scholar] [CrossRef]
- Zhang, Y.; Lang, J.; Cheng, S.; Li, S.; Zhou, Y.; Chen, D.; Zhang, H.; Wang, H. Chemical composition and sources of PM1 and PM2.5 in Beijing in autumn. Sci. Total Environ. 2018, 630, 72–82. [Google Scholar] [CrossRef]
- Caggiano, R.; Sabia, S.; Speranza, A. Trace elements and human health risks assessment of finer aerosol atmospheric particles (PM1). Environ. Sci. Pollut. Res. Int. 2019, 26, 36423–36433. [Google Scholar] [CrossRef]
- Clifford, S.; Mazaheri, M.; Salimi, F.; Ezz, W.N.; Yeganeh, B.; Low-Choy, S.; Walker, K.; Mengersen, K.; Marks, G.B.; Morawska, L. Effects of exposure to ambient ultrafine particles on respiratory health and systemic inflammation in children. Environ. Int. 2018, 114, 167–180. [Google Scholar] [CrossRef]
- Paunescu, A.C.; Casas, M.; Ferrero, A.; Panella, P.; Bougas, N.; Beydon, N.; Just, J.; Lezmi, G.; Sunyer, J.; Ballester, F.; et al. Associations of black carbon with lung function and airway inflammation in schoolchildren. Environ. Int. 2019, 131, 104984. [Google Scholar] [CrossRef]
- Dauchet, L.; Hulo, S.; Cherot-Kornobis, N.; Matran, R.; Amouyel, P.; Edme, J.L.; Giovannelli, J. Short-term exposure to air pollution: Associations with lung function and inflammatory markers in non-smoking, healthy adults. Environ. Int. 2018, 121, 610–619. [Google Scholar] [CrossRef]
- Ghio, A.J.; Carraway, M.S.; Madden, M.C. Composition of air pollution particles and oxidative stress in cells, tissues, and living systems. J. Toxicol. Environ. Health B Crit. Rev. 2012, 15, 1–21. [Google Scholar] [CrossRef]
- Matthews, N.C.; Pfeffer, P.E.; Mann, E.H.; Kelly, F.J.; Corrigan, C.J.; Hawrylowicz, C.M.; Lee, T.H. Urban Particulate Matter-Activated Human Dendritic Cells Induce the Expansion of Potent Inflammatory Th1, Th2, and Th17 Effector Cells. Am. J. Respir. Cell Mol. Biol. 2016, 54, 250–262. [Google Scholar] [CrossRef]
- Jalava, P.I.; Happo, M.S.; Huttunen, K.; Sillanpaa, M.; Hillamo, R.; Salonen, R.O.; Hirvonen, M.R. Chemical and microbial components of urban air PM cause seasonal variation of toxicological activity. Environ. Toxicol. Pharmacol. 2015, 40, 375–387. [Google Scholar] [CrossRef]
- Losacco, C.; Perillo, A. Particulate matter air pollution and respiratory impact on humans and animals. Environ. Sci. Pollut. Res. Int. 2018, 25, 33901–33910. [Google Scholar] [CrossRef]
- Carey, M.A.; Card, J.W.; Voltz, J.W.; Arbes, S.J., Jr.; Germolec, D.R.; Korach, K.S.; Zeldin, D.C. It’s all about sex: Gender, lung development and lung disease. Trends Endocrinol. Metab. 2007, 18, 308–313. [Google Scholar] [CrossRef]
- Keselman, A.; Heller, N. Estrogen Signaling Modulates Allergic Inflammation and Contributes to Sex Differences in Asthma. Front. Immunol. 2015, 6, 568. [Google Scholar] [CrossRef]
- Tourniaire, F.; Romier-Crouzet, B.; Lee, J.H.; Marcotorchino, J.; Gouranton, E.; Salles, J.; Malezet, C.; Astier, J.; Darmon, P.; Blouin, E.; et al. Chemokine Expression in Inflamed Adipose Tissue Is Mainly Mediated by NF-kappaB. PLoS ONE 2013, 8, e66515. [Google Scholar] [CrossRef]
- Cinkajzlova, A.; Mraz, M.; Haluzik, M. Lymphocytes and macrophages in adipose tissue in obesity: Markers or makers of subclinical inflammation? Protoplasma 2017, 254, 1219–1232. [Google Scholar] [CrossRef]
- Engin, A. The Pathogenesis of Obesity-Associated Adipose Tissue Inflammation. Adv. Exp. Med. Biol. 2017, 960, 221–245. [Google Scholar] [PubMed]
- Kim, B.S.; Rongisch, R.; Hager, S.; Grieb, G.; Nourbakhsh, M.; Rennekampff, H.O.; Bucala, R.; Bernhagen, J.; Pallua, N. Macrophage Migration Inhibitory Factor in Acute Adipose Tissue Inflammation. PLoS ONE 2015, 10, e0137366. [Google Scholar] [CrossRef]
- Rajala, M.W.; Scherer, P.E. Minireview: The adipocyte—At the crossroads of energy homeostasis, inflammation, and atherosclerosis. Endocrinology 2003, 144, 3765–3773. [Google Scholar] [CrossRef] [PubMed]
- Chen, B.Y.; Chen, C.H.; Chuang, Y.C.; Kim, H.; Honda, Y.; Chiang, H.C.; Guo, Y.L. Schoolchildren’s antioxidation genotypes are susceptible factors for reduced lung function and airway inflammation caused by air pollution. Environ. Res. 2016, 149, 145–150. [Google Scholar] [CrossRef] [PubMed]
- Alderete, T.L.; Habre, R.; Toledo-Corral, C.M.; Berhane, K.; Chen, Z.; Lurmann, F.W.; Weigensberg, M.J.; Goran, M.I.; Gilliland, F.D. Longitudinal Associations between Ambient Air Pollution with Insulin Sensitivity, beta-Cell Function, and Adiposity in Los Angeles Latino Children. Diabetes 2017, 66, 1789–1796. [Google Scholar] [CrossRef] [PubMed]
- Haberzettl, P.; O’Toole, T.E.; Bhatnagar, A.; Conklin, D.J. Exposure to Fine Particulate Air Pollution Causes Vascular Insulin Resistance by Inducing Pulmonary Oxidative Stress. Environ. Health Perspect. 2016, 124, 1830–1839. [Google Scholar] [CrossRef] [PubMed]
- Desforges, J.P.; Bandoro, C.; Shehata, L.; Sonne, C.; Dietz, R.; Puryear, W.B.; Runstadler, J.A. Environmental contaminant mixtures modulate in vitro influenza infection. Sci. Total Environ. 2018, 634, 20–28. [Google Scholar] [CrossRef] [PubMed]
- Wong, C.M.; Yang, L.; Thach, T.Q.; Chau, P.Y.; Chan, K.P.; Thomas, G.N.; Lam, T.H.; Wong, T.W.; Hedley, A.J.; Peiris, J.S. Modification by influenza on health effects of air pollution in Hong Kong. Environ. Health Perspect. 2009, 117, 248–253. [Google Scholar] [CrossRef] [PubMed]
- Ballard, O.; Morrow, A.L. Human milk composition: Nutrients and bioactive factors. Pediatr. Clin. N. Am. 2013, 60, 49–74. [Google Scholar] [CrossRef] [PubMed]
- Dixon, D.L. The Role of Human Milk Immunomodulators in Protecting Against Viral Bronchiolitis and Development of Chronic Wheezing Illness. Children 2015, 2, 289–304. [Google Scholar] [CrossRef] [PubMed]
- Hamosh, M. Bioactive factors in human milk. Pediatr. Clin. N. Am. 2001, 48, 69–86. [Google Scholar] [CrossRef] [PubMed]
- Choi, J.; Kim, J.Y.; Lee, H.J. Human Evidence of Perfluorooctanoic Acid (PFOA) Exposure on Hepatic Disease: A Systematic Review and Meta-Analysis. Int. J. Environ. Res. Public Health 2022, 19, 11318. [Google Scholar] [CrossRef] [PubMed]
- Wong, N.S.M.; Yeung, A.W.K.; Li, K.Y.; McGrath, C.P.; Leung, Y.Y. Non-Pharmacological Interventions for Reducing Fear and Anxiety in Patients Undergoing Third Molar Extraction under Local Anesthesia: Systematic Review and Meta-Analysis. Int. J. Environ. Res. Public Health 2022, 19, 11162. [Google Scholar] [CrossRef]
- Vargas-Molina, S.; Gomez-Urquiza, J.L.; Garcia-Romero, J.; Benitez-Porres, J. Effects of the Ketogenic Diet on Muscle Hypertrophy in Resistance-Trained Men and Women: A Systematic Review and Meta-Analysis. Int. J. Environ. Res. Public Health 2022, 19, 12629. [Google Scholar] [CrossRef]
- Huang, C.; Chen, L.Y.; Liao, Y.H.; Masodsai, K.; Lin, Y.Y. Effects of the Short-Foot Exercise on Foot Alignment and Muscle Hypertrophy in Flatfoot Individuals: A Meta-Analysis. Int. J. Environ. Res. Public Health 2022, 19, 11994. [Google Scholar] [CrossRef]








| First Author and Publication Year | Study Design | Country | Sample Population | Meteorological Data | PM1 Exposure Measurement | Mean of PM1 Concentration | Statistical Analysis Model | Exposure Group | Lung Function Indicators | Adjusted Covariates | NOS Score |
|---|---|---|---|---|---|---|---|---|---|---|---|
| Liu et al., 2020 [30] | Cross-sectional study | China | 6740 children aged 7–14 years | Temperature: 8.4 °C Relative humidity: 62.0% | Monitoring by a monitoring station | 46.8 μg/m3 | Linear regression | Long-term exposure | FVC, FEV1, PEF, MMEF | Age, gender, parental education, household income, environmental tobacco smoke exposure, BMI category, annual average temperature and annual average relative humidity | 8 |
| Moshammer et al., 2006 [31] | Panel study | Austria | 163 children aged 7–10 years | Temperature: − Relative humidity: − | Monitoring by a monitoring station | 15.03 μg/m3 | Generalized Estimating Equations model | Short -term exposure | FVC, FEV1, PEF, MMEF | Sex, age, height and weight | 7 |
| Wu et al., 2022 [32] | Cross-sectional study | China | 35,334 students aged 9 to 18 years | Temperature: − Relative humidity: − | Fixed site instrument monitoring | 47.4 μg/m3 | Distributed lag non-linear models | Short-term exposure | FVC | Gender, age, body mass index (BMI) category, residence, month of the survey, intake of eggs, intake of milk, physical activity, and screen time | 7 |
| Xing et al., 2019 [33] | Cross-sectional study | China | 4518 children with normal weight, 1068 with overweight, 1154 with obese | Temperature: − Relative humidity: − | Monitoring by a monitoring station | 47.5 μg/m3 | Linear regression model | Long-term exposure | FVC, FEV1, PEF, MMEF | Age, gender, smoking exposure, parental education, breastfeeding status, income, home coal use, house pet, family history of atopy, temperature during investigation, and study district | 8 |
| Yang et al., 2020 [34] | Cross-sectional study | China | 6740 children aged 7–14 years | Temperature: − Relative humidity: − | Monitoring by a monitoring station | 47.5 μg/m3 | Linear regression model | Long-term exposure | FVC, FEV1, PEF, MMEF | Age, body mass index, breast fed status, gender, parental education, income, passive tobacco smoke exposure, home coal use, house pet, house renovation, and family atopy | 8 |
| Zhang et al., 2019 [35] | Cross-sectional study | China | 1989 children with not breastfed, aged 7–14 years | Temperature: − Relative humidity: − | Monitoring by a monitoring station | 46.8 μg/m3 | Linear regression model | Long-term exposure | FVC, FEV1, PEF, MMEF | Age, sex, height, birth weight, preterm birth, parental education, annual family income, exercise per week, passive smoke exposure, home coal use, presence of a house pet, home renovation in the past 2 years, area of residence per person, asthma diagnosis, family history of atopy, and short-term air pollution concentrations | 8 |
| Zwozdziak et al., 2016 [36] | Panel study | Poland | 141 school children aged 13–14 years | Temperature: 18−21 °C Relative humidity: 31−54% | Fixed site instrument monitoring | 22.0 μg/m3 | Generalized estimating equations model | Short-term exposure | FVC, FEV1, PEF, MMEF | Sex, smoking, dampness, street, dust, pollen, mold, traffic | 7 |
Publisher’s Note: MDPI stays neutral with regard to jurisdictional claims in published maps and institutional affiliations. |
© 2022 by the authors. Licensee MDPI, Basel, Switzerland. This article is an open access article distributed under the terms and conditions of the Creative Commons Attribution (CC BY) license (https://creativecommons.org/licenses/by/4.0/).
Share and Cite
Zong, Z.; Zhao, M.; Zhang, M.; Xu, K.; Zhang, Y.; Zhang, X.; Hu, C. Association between PM1 Exposure and Lung Function in Children and Adolescents: A Systematic Review and Meta-Analysis. Int. J. Environ. Res. Public Health 2022, 19, 15888. https://doi.org/10.3390/ijerph192315888
Zong Z, Zhao M, Zhang M, Xu K, Zhang Y, Zhang X, Hu C. Association between PM1 Exposure and Lung Function in Children and Adolescents: A Systematic Review and Meta-Analysis. International Journal of Environmental Research and Public Health. 2022; 19(23):15888. https://doi.org/10.3390/ijerph192315888
Chicago/Turabian StyleZong, Zhiqiang, Mengjie Zhao, Mengyue Zhang, Kexin Xu, Yunquan Zhang, Xiujun Zhang, and Chengyang Hu. 2022. "Association between PM1 Exposure and Lung Function in Children and Adolescents: A Systematic Review and Meta-Analysis" International Journal of Environmental Research and Public Health 19, no. 23: 15888. https://doi.org/10.3390/ijerph192315888
APA StyleZong, Z., Zhao, M., Zhang, M., Xu, K., Zhang, Y., Zhang, X., & Hu, C. (2022). Association between PM1 Exposure and Lung Function in Children and Adolescents: A Systematic Review and Meta-Analysis. International Journal of Environmental Research and Public Health, 19(23), 15888. https://doi.org/10.3390/ijerph192315888

