Matured Manure and Compost from the Organic Fraction of Solid Waste Digestate Application in Intensive Apple Orchards
Abstract
1. Introduction
2. Materials and Methods
2.1. Soil Improvers and Their Characterization
2.2. Experimental Design
2.3. Soils Monitoring
2.4. Data Analysis
3. Results
3.1. Amendments Characterization
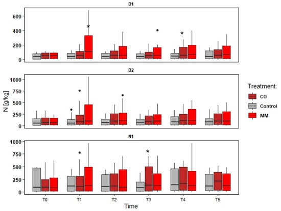
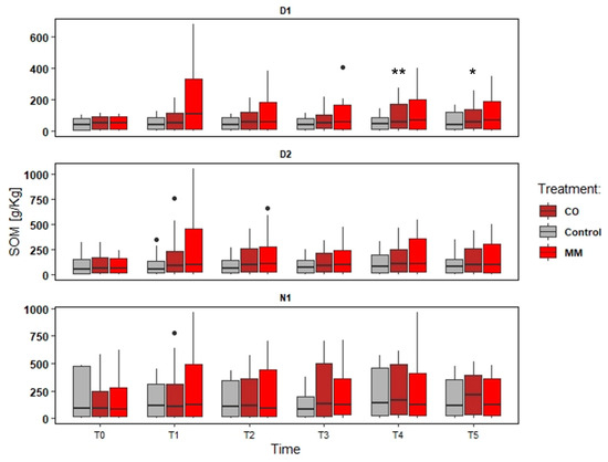
3.2. Soils Monitoring: Nutrient and SOM
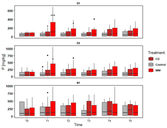
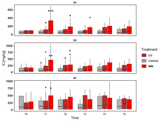
3.3. Phosphorus and Potassium Dynamics
4. Discussion
4.1. Amendment and Fertilizers Properties of Soil Improvers Used
4.2. Effect on the Soil of Compost from Digestate and Mature Manure
4.3. Differences between Apple Orchards on Soil Improvers Effects
5. Conclusions
Supplementary Materials
Author Contributions
Funding
Institutional Review Board Statement
Informed Consent Statement
Data Availability Statement
Conflicts of Interest
References
- Kopittke, P.M.; Menzies, N.W.; Wang, P.; McKenna, B.A.; Lombi, E. Soil and the intensification of agriculture for global food security. Environ. Int. 2019, 132, 105078. [Google Scholar] [CrossRef]
- Pereira, P.; Bogunovic, I.; Muñoz-Rojas, M.; Brevik, E.C. Soil ecosystem services, sustainability, valuation, and management. Curr. Opin. Environ. Sci. Health 2018, 5, 7–13. [Google Scholar] [CrossRef]
- FAO; ITPS. Recarbonizing Global Soils—A Technical Manual of Recommended Management Practices. Volume 1: Introduction and Methodology; FAO: Rome, Italy, 2021; Available online: https://doi.org/10.4060/cb6386en (accessed on 14 October 2022).
- Navarro-Pedreño, J.; Almendro-Candel, M.B.; Zorpas, A.A. The increase of soil organic matter reduces global warming, myth or reality? Sci 2021, 3, 18. [Google Scholar] [CrossRef]
- Montanarella, L.; Panagos, P. The relevance of sustainable soil management within the European Green Deal. Land Use Policy 2021, 100, 10495. [Google Scholar] [CrossRef]
- European Commission. Communication from the Commission to the European Parliament, the Council, the European Economic and Social Committee and the Committee of the Regions. A New Circular Economy Action Plan. For a Cleaner and more Competitive Europe. Brussels, 11.03.2020. COM (2020) 98 Final; 2020. Available online: https://eur-lex.europa.eu/legal-content/EN/TXT/?qid=1583933814386&uri=COM:2020:98:FIN (accessed on 14 October 2022).
- European Commission. Communication from the Commission to the European Parliament, the Council, the European Economic and Social Committee and the Committee of the Regions. Innovating for Sustainable Growth: A Bioeconomy for Europe, SWD (2012) 11 Final. Brussels, 13.2.2012. COM (2012) 60 Final; 2012. Available online: https://eur-lex.europa.eu/legal-content/EN/TXT/?uri=CELEX%3A52012DC0060 (accessed on 14 October 2022).
- European Parliament and European Council, 2019 European Parliament, European Council Regulation (EU) 2019(/1009 of the European Parliament and of the Council of 5 June 2019 Laying down Rules on the Making Available on the Market of EU Fertilizing Products and Amending Regulations (EC) No 1069/2009 and (EC) No 1107/2009 and Repealing Regulation (EC) No 2003/2003. Available online: https://eur-lex.europa.eu/legal-content/IT/TXT/?uri=CELEX%3A32019R1009 (accessed on 14 October 2022).
- Chojnacka, K.; Moustakas, K.; Witek-Krowiak, A. Bio-based fertilizers: A practical approach towards circular economy. Bioresour. Technol. 2020, 295, 122223. [Google Scholar] [CrossRef] [PubMed]
- Bona, D.; Iussig, G.; Silvestri, S. The circular economy concept application to livestock systems: An agroecological approach. CABI Rev. 2020, 1–15. [Google Scholar] [CrossRef]
- Case, S.D.C.; Jensen, L.S. Nitrogen and phosphorus release from organic wastes and suitability as bio-based fertilizers in a circular economy. Environ. Technol. 2019, 40, 701–715. [Google Scholar] [CrossRef] [PubMed]
- Zhou, W.; Ma, Q.; Wu, L.; Hu, R.; Jones, D.L.; Chadwick, D.R.; Jiang, Y.; Wu, Y.; Xia, X.; Yang, L.; et al. The effect of organic manure or green manure incorporation with reductions in chemical fertilizer on yield scaled N2O emissions in a citrus orchard. Agric. Ecosyst. Environ. 2022, 326, 107806. [Google Scholar] [CrossRef]
- Bona, D.; Vecchiet, A.; Pin, M.; Fornasier, F.; Mondini, C.; Guzzon, R.; Silvestri, S. The biorefinery concept applied to bioethanol and biomethane production from manure. Waste Biomass Valorization 2018, 9, 2133–2143. [Google Scholar] [CrossRef]
- Köninger, J.; Lugato, E.; Panagos, P.; Kochupillai, M.; Orgiazzi, A.; Briones, M.J. Manure management and soil biodiversity: Towards more sustainable food systems in the EU. Agric. Syst. 2021, 194, 103251. [Google Scholar] [CrossRef]
- Khorram, M.S.; Zhang, G.; Fatemi, A.; Kiefer, R.; Maddah, K.; Baqar, M.; Zakaria, M.P.; Li, G. Impact of biochar and compost amendment on soil quality, growth and yield of a replanted apple orchard in a 4-year field study. J. Sci. Food Agric. 2019, 99, 1862–1869. [Google Scholar] [CrossRef] [PubMed]
- Manu, M.K.; Li, D.; Liwen, L.; Jun, Z.; Varjani, S.; Wong, J.W. A review on nitrogen dynamics and mitigation strategies of food waste digestate composting. Bioresour. Technol. 2021, 334, 125032. [Google Scholar] [CrossRef]
- Peng, W.; Pivato, A. Sustainable management of digestate from the organic fraction of municipal solid waste and food waste under the concepts of back to earth alternatives and circular economy. Waste Biomass Valorization 2019, 10, 465–481. [Google Scholar] [CrossRef]
- Li, Y.; Luo, W.; Lu, J.; Zhang, X.; Li, S.; Wu, Y.; Li, G. Effects of digestion time in anaerobic digestion on subsequent digestate composting. Bioresour. Technol. 2018, 267, 117–125. [Google Scholar] [CrossRef]
- Song, B.; Manu, M.; Li, D.; Wang, C.; Varjani, S.; Ladumor, N.; Michael, L.; Xu, Y.; Wong, J.W. Food waste digestate composting: Feedstock optimization with sawdust and mature compost. Bioresour. Technol. 2021, 341, 125759. [Google Scholar] [CrossRef] [PubMed]
- Zeng, Y.; De Guardia, A.; Dabert, P. Improving composting as a post-treatment of anaerobic digestate. Bioresour. Technol. 2016, 201, 293–303. [Google Scholar] [CrossRef] [PubMed]
- APHA. Standard Methods for the Examination of Water and Wastewater, 23rd ed.; American Public Health Association: Washington, DC, USA, 2017. [Google Scholar]
- UNI, 1998, UNI 10780—Compost—Classificazione, Requisiti e Modalità di Impiego. Available online: https://store.uni.com/uni-10780-1998 (accessed on 22 November 2022).
- Lindsay, W.L.; Norwell, W.A. Development of a DTPA micronutrient soil test. Agron. Abstr 1969, 84, 69–87. [Google Scholar]
- Gazzetta Ufficiale. ‘DECRETO LEGISLATIVO 29 Aprile 2010, n. 75-Riordino e Revisione Della Disciplina in Materia di Fertilizzanti, a Norma Dell’articolo 13 Della Legge 7 Luglio 2009, n. 88’. 2010. Available online: https://www.gazzettaufficiale.it/eli/id/2010/05/26/010G0096/sg (accessed on 14 October 2022).
- Núñez, F.; Pérez, M.; Leon-Fernández, L.F.; García-Morales, J.L.; Fernández-Morales, F.J. Effect of the mixing ratio on the composting of OFMSW digestate: Assessment of compost quality. J. Mater. Cycles Waste Manag. 2022, 24, 1818–1831. [Google Scholar] [CrossRef]
- Vandecasteele, B.; Reubens, B.; Willekens, K.; De Neve, S. Composting for increasing the fertilizer value of chicken manure: Effects of feedstock on P availability. Waste Biomass Valorization 2014, 5, 491–503. [Google Scholar] [CrossRef]
- Hollas, C.E.; Rodrigues, H.C.; Oyadomari, V.M.A.; Bolsan, A.C.; Venturin, B.; Bonassa, G.; Tápparo, D.C.; Abilhôa, H.C.Z.; da Silva, J.F.F.; Michelon, W.; et al. The potential of animal manure management pathways toward a circular economy: A bibliometric analysis. Environ. Sci. Pollut. Res. 2022, 29, 73599–73621. [Google Scholar] [CrossRef]
- Ronga, D.; Mantovi, P.; Pacchioli, M.T.; Pulvirenti, A.; Bigi, F.; Allesina, G.; Pedrazzi, S.; Tava, A.; Prà, A.D. Combined effects of dewatering, composting and pelleting to valorize and delocalize livestock manure, improving agricultural sustainability. Agronomy 2020, 10, 661. [Google Scholar] [CrossRef]
- Rehim, A.; Khan, M.; Imran, M.; Bashir, M.A.; Ul-Allah, S.; Khan, M.N.; Hussain, M. Integrated use of farm manure and synthetic nitrogen fertilizer improves nitrogen use efficiency, yield and grain quality in wheat. Ital. J. Agron. 2020, 15, 29–34. [Google Scholar] [CrossRef]
- Hara, M. Fertilizer Pellets Made from Composted Livestock Manure; Food & Fertilizer Technology Center: Taipei, Taiwan, 2001; Available online: https://scholar.google.com/scholar_lookup?title=Fertilizer+Pellets+Made+from+Composted+Livestock+Manure&author=Hara,+M.&publication_year=2001 (accessed on 22 November 2022).
- Ncube, P.; Roberts, S.; Vilakazi, T. Regulation and Rivalry in Transport and Supply in the Fertilizer Industry in Malawi, Tanzania, and Zambia. In Competition in Africa: Insights from Key Industries; Roberts, S., Ed.; HSRC Press: Cape Town, South Africa, 2016; Chapter 5; Available online: https://scholar.google.com/scholar?hl=it&as_sdt=0%2C5&q=Regulation+and+rivalry+in+transport+and+supply+in+the+fertilizer+industry+in+Malawi%2C+Tanzania+and+Zambia&btnG= (accessed on 22 November 2022).
- Ihnat, M.; Fernandes, L. Trace elemental characterization of composted poultry manure. Bioresour. Technol. 1996, 57, 143–156. [Google Scholar] [CrossRef]
- Irshad, M.; Eneji, A.E.; Hussain, Z.; Ashraf, M. Chemical characterization of fresh and composted livestock manures. J. Soil Sci. Plant Nutr. 2013, 13, 115–121. [Google Scholar] [CrossRef]
- Le Pera, A.; Sellaro, M.; Bencivenni, E. Composting food waste or digestate? Characteristics, statistical and life cycle assessment study based on an Italian composting plant. J. Clean. Prod. 2022, 350, 131552. [Google Scholar] [CrossRef]
- Tambone, F.; Scaglia, B.; D’Imporzano, G.; Schievano, A.; Orzi, V.; Salati, S.; Adani, F. Assessing amendment and fertilizing properties of digestates from anaerobic digestion through a comparative study with digested sludge and compost. Chemosphere 2010, 81, 577–583. [Google Scholar] [CrossRef] [PubMed]
- Slepetiene, A.; Kochiieru, M.; Jurgutis, L.; Mankeviciene, A.; Skersiene, A.; Belova, O. The Effect of Anaerobic Digestate on the Soil Organic Carbon and Humified Carbon Fractions in Different Land-Use Systems in Lithuania. Land 2022, 11, 133. [Google Scholar] [CrossRef]
- Rizzo, P.F.; Young, B.J.; Viso, N.P.; Carbajal, J.; Martínez, L.E.; Riera, N.I.; Bres, P.A.; Beily, M.E.; Barbaro, L.; Farber, M.; et al. Integral approach for the evaluation of poultry manure, compost, and digestate: Amendment characterization, mineralization, and effects on soil and intensive crops. J. Waste Manag. 2022, 139, 124–135. [Google Scholar] [CrossRef]
- Wang, Y.; Zhu, Y.; Zhang, S.; Wang, Y. What could promote farmers to replace chemical fertilizers with organic fertilizers? J. Clean. Prod. 2018, 199, 882–890. [Google Scholar] [CrossRef]
- Sonsri, K.; Naruse, H.; Watanabe, A. Mechanisms controlling the stabilization of soil organic matter in agricultural soils as amended with contrasting organic amendments: Insights based on physical fractionation coupled with 13C NMR spectroscopy. Sci. Total Environ. 2022, 825, 153853. [Google Scholar] [CrossRef]
- Liang, C.; Schimel, J.P.; Jastrow, J.D. The importance of anabolism in microbial control over soil carbon storage. Nat. Microbiol. 2017, 2, 17105. [Google Scholar] [CrossRef]
- Wang, D.; Lin, J.Y.; Sayre, J.M.; Schmidt, R.; Fonte, S.J.; Rodrigues, J.L.; Scow, K.M. Compost amendment maintains soil structure and carbon storage by increasing available carbon and microbial biomass in agricultural soil–A six-year field study. Geoderma 2022, 427, 116117. [Google Scholar] [CrossRef]
- Takeda, M.; Nakamoto, T.; Miyazawa, K.; Murayama, T.; Okada, H. Phosphorus availability and soil biological activity in an Andosol under compost application and winter cover cropping. Appl. Soil Ecol. 2009, 42, 86–95. [Google Scholar] [CrossRef]
- Malik, M.A.; Khan, K.S.; Marschner, P.; Ali, S. Organic amendments differ in their effect on microbial biomass and activity and on P pools in alkaline soils. Biol. Fertil. Soils 2013, 49, 415–425. [Google Scholar] [CrossRef]







| Amendments | pH | EC | DM | TOC | NTK | NNH4 | P | K | C/N | DRI |
|---|---|---|---|---|---|---|---|---|---|---|
| -- | mS/cm2 | % | %DM | %DM | mg/kg | %DM | %DM | -- | mgO2/ kgVS*h | |
| MM | 8.81 ± 0.32 | 2.51 ± 0.42 | 26.82 ± 3.97 | 41.8 ± 8.0 | 2.36 ± 0.25 | 386 ± 193 | 0.90 ± 0.31 | 2.82 ± 2.05 | 17.71 | 571.75 ± 170.03 |
| CO | 8.77 ± 0.23 | 2.77 ± 0.32 | 63.38 ± 3.80 | 29.4 ± 7.2 * | 2.05 ± 0.35 * | 284 ± 200 | 0.65 ± 0.36 * | 1.30 ± 0.43 * | 14.54 | 417.25 ± 182.1 |
| Apple Orchard/ Treatment Area | Sand | Silt | Clay | pH | CEC | B | Fe | Mn | Cu | Zn |
|---|---|---|---|---|---|---|---|---|---|---|
| % | % | % | -- | meq/100 g | mg/kg | mg/kg | mg/kg | mg/kg | mg/kg | |
| D1 | ||||||||||
| Control | 58.6 | 18.4 | 23 | 7.7 | 12.37 | 0.39 | 21.03 | 11.37 | 11.83 | 2.87 |
| CO | 56.1 | 20.9 | 23 | 7.8 | 12.83 | 0.37 | 20.33 | 11 | 10.67 | 2.87 |
| MM | 55.6 | 24.4 | 20 | 7.7 | 12.50 | 0.44 | 20.93 | 11.37 | 11.03 | 2.83 |
| D2 | ||||||||||
| Control | 57.7 | 25.3 | 17 | 6.7 | 16.13 | 1.14 | 64.60 | 37.53 | 19.27 | 10.63 |
| CO | 56 | 29 | 15 | 6.8 | 17.03 | 1.17 | 52.37 | 18.87 | 18.4 | 13.57 |
| MM | 57 | 28 | 15 | 7 | 16.83 | 1.19 | 57.63 | 44.57 | 18.90 | 10.87 |
| N1 | ||||||||||
| Control | 60.40 | 26.93 | 12.67 | 7.63 | 14.33 | 0.76 | 16.23 | 15.53 | 14.17 | 5.87 |
| CO | 60.83 | 25.83 | 13.33 | 7.7 | 15.57 | 0.66 | 14.50 | 6.50 | 12.20 | 5.10 |
| MM | 61.90 | 26.10 | 12 | 7.67 | 13.23 | 0.7 | 14.9 | 9.93 | 13.57 | 5.33 |
Publisher’s Note: MDPI stays neutral with regard to jurisdictional claims in published maps and institutional affiliations. |
© 2022 by the authors. Licensee MDPI, Basel, Switzerland. This article is an open access article distributed under the terms and conditions of the Creative Commons Attribution (CC BY) license (https://creativecommons.org/licenses/by/4.0/).
Share and Cite
Bona, D.; Cristoforetti, A.; Zanzotti, R.; Bertoldi, D.; Dellai, N.; Silvestri, S. Matured Manure and Compost from the Organic Fraction of Solid Waste Digestate Application in Intensive Apple Orchards. Int. J. Environ. Res. Public Health 2022, 19, 15512. https://doi.org/10.3390/ijerph192315512
Bona D, Cristoforetti A, Zanzotti R, Bertoldi D, Dellai N, Silvestri S. Matured Manure and Compost from the Organic Fraction of Solid Waste Digestate Application in Intensive Apple Orchards. International Journal of Environmental Research and Public Health. 2022; 19(23):15512. https://doi.org/10.3390/ijerph192315512
Chicago/Turabian StyleBona, Daniela, Andrea Cristoforetti, Roberto Zanzotti, Daniela Bertoldi, Nicole Dellai, and Silvia Silvestri. 2022. "Matured Manure and Compost from the Organic Fraction of Solid Waste Digestate Application in Intensive Apple Orchards" International Journal of Environmental Research and Public Health 19, no. 23: 15512. https://doi.org/10.3390/ijerph192315512
APA StyleBona, D., Cristoforetti, A., Zanzotti, R., Bertoldi, D., Dellai, N., & Silvestri, S. (2022). Matured Manure and Compost from the Organic Fraction of Solid Waste Digestate Application in Intensive Apple Orchards. International Journal of Environmental Research and Public Health, 19(23), 15512. https://doi.org/10.3390/ijerph192315512

