Time Trends of Greenspaces, Air Pollution, and Asthma Prevalence among Children and Adolescents in India
Abstract
1. Introduction
2. Materials and Methods
2.1. Study Design and Population
2.2. Data Collection and Measurements
2.2.1. Outcome: Asthma Prevalence Data
2.2.2. Exposures and Other Variables
2.3. Statistical Analysis
3. Results
4. Discussion
5. Conclusions
Supplementary Materials
Author Contributions
Funding
Institutional Review Board Statement
Informed Consent Statement
Data Availability Statement
Acknowledgments
Conflicts of Interest
References
- GINA. Global Strategy for Asthma Management and Prevention; Global INitiative for Asthma: Washington, WA, USA, 2022; pp. 1–222. Available online: www.ginasthma.org (accessed on 30 October 2022).
- Soriano, J.B.; Kendrick, P.J.; Paulson, K.R.; Gupta, V.; Abrams, E.M.; Adedoyin, R.A.; Adhikari, T.B.; Advani, S.M.; Agrawal, A.; Ahmadian, E. Prevalence and attributable health burden of chronic respiratory diseases, 1990–2017: A systematic analysis for the Global Burden of Disease Study 2017. Lancet Respir. Med. 2020, 8, 585–596. [Google Scholar] [CrossRef]
- Ferrante, G.; La Grutta, S. The burden of pediatric asthma. Front. Pediatr. 2018, 6, 2296–2360. [Google Scholar] [CrossRef] [PubMed]
- Asher, M.I.; Rutter, C.E.; Bissell, K.; Chiang, C.-Y.; El Sony, A.; Ellwood, E.; Ellwood, P.; García-Marcos, L.; Marks, G.B.; Morales, E. Worldwide trends in the burden of asthma symptoms in school-aged children: Global Asthma Network Phase I cross-sectional study. The Lancet 2021, 398, 1569–1580. [Google Scholar] [CrossRef]
- Gehring, U.; Wijga, A.H.; Brauer, M.; Fischer, P.; de Jongste, J.C.; Kerkhof, M.; Oldenwening, M.; Smit, H.A.; Brunekreef, B. Traffic-related air pollution and the development of asthma and allergies during the first 8 years of life. Am. J. Respir. Crit. Care Med. 2010, 181, 596–603. [Google Scholar] [CrossRef] [PubMed]
- Rancière, F.; Bougas, N.; Viola, M.; Momas, I. Early exposure to traffic-related air pollution, respiratory symptoms at 4 years of age, and potential effect modification by parental allergy, stressful family events, and sex: A prospective follow-up study of the PARIS birth cohort. Environ. Health Perspect. 2017, 125, 737–745. [Google Scholar] [CrossRef]
- Martinez, F.D. Asthma. Lancet 2013, 382, 1360–1372. [Google Scholar] [CrossRef]
- Van Tilburg Bernardes, E.; Arrieta, M.-C. Hygiene hypothesis in asthma development: Is hygiene to blame? Arch. Med. Res. 2017, 48, 717–726. [Google Scholar] [CrossRef]
- Thien, F.; Beggs, P.J.; Csutoros, D.; Darvall, J.; Hew, M.; Davies, J.M.; Bardin, P.G.; Bannister, T.; Barnes, S.; Bellomo, R.; et al. The Melbourne epidemic thunderstorm asthma event 2016: An investigation of environmental triggers, effect on health services, and patient risk factors. Lancet Planet Health 2018, 2, e255–e263. [Google Scholar] [CrossRef]
- Global Asthma Network. Global Asthma Report 2018; Global Asthma Network: Auckland, New Zealand, 2018; Available online: http://www.globalasthmanetwork.org/ (accessed on 3 January 2021).
- Singh, S.; Salvi, S.; Mangal, D.K.; Singh, M.; Awasthi, S.; Mahesh, P.A.; Kabra, S.K.; Mohammed, S.; Sukumaran, T.U.; Ghoshal, A.G. Prevalence, time trends and treatment practices of asthma in India: Global Asthma Network study. ERJ Open Res. 2022, 8, 00528-2021. [Google Scholar] [CrossRef]
- García-Marcos, L.; Asher, M.I.; Pearce, N.; Ellwood, E.; Bissell, K.; Chiang, C.-Y.; El Sony, A.; Ellwood, P.; Marks, G.B.; Mortimer, K. The burden of asthma, hay fever and eczema in children in 25 countries: GAN Phase I study. Eur. Respir. J. 2022, 60, 2102866. [Google Scholar] [CrossRef]
- Markevych, I.; Schoierer, J.; Hartig, T.; Chudnovsky, A.; Hystad, P.; Dzhambov, A.M.; De Vries, S.; Triguero-Mas, M.; Brauer, M.; Nieuwenhuijsen, M.J. Exploring pathways linking greenspace to health: Theoretical and methodological guidance. Environ. Res. 2017, 158, 301–317. [Google Scholar] [CrossRef] [PubMed]
- Lambert, K.; Bowatte, G.; Tham, R.; Lodge, C.; Prendergast, L.; Heinrich, J.; Abramson, M.J.; Dharmage, S.; Erbas, B. Residential greenness and allergic respiratory diseases in children and adolescents–a systematic review and meta-analysis. Environ. Res. 2017, 159, 212–221. [Google Scholar] [CrossRef]
- Bowatte, G.; Lodge, C.J.; Knibbs, L.D.; Erbas, B.; Perret, J.L.; Jalaludin, B.; Morgan, G.G.; Bui, D.S.; Giles, G.G.; Hamilton, G.S.; et al. Traffic related air pollution and development and persistence of asthma and low lung function. Environ. Int. 2018, 113, 170–176. [Google Scholar] [CrossRef] [PubMed]
- Evans, K.A.; Halterman, J.S.; Hopke, P.K.; Fagnano, M.; Rich, D.Q. Increased ultrafine particles and carbon monoxide concentrations are associated with asthma exacerbation among urban children. Environ. Res. 2014, 129, 11–19. [Google Scholar] [CrossRef] [PubMed]
- Anenberg, S.C.; Henze, D.K.; Tinney, V.; Kinney, P.L.; Raich, W.; Fann, N.; Malley, C.S.; Roman, H.; Lamsal, L.; Duncan, B.; et al. Estimates of the Global Burden of Ambient PM2.5, Ozone, and NO2 on Asthma Incidence and Emergency Room Visits. Environ. Health Perspect. 2018, 126, 107004. [Google Scholar] [CrossRef]
- Pawankar, R.; Wang, J.-Y.; Wang, I.-J.; Thien, F.; Chang, Y.-S.; Latiff, A.H.A.; Fujisawa, T.; Zhang, L.; Thong, B.Y.-H.; Chatchatee, P. Asia Pacific Association of Allergy Asthma and Clinical Immunology White Paper 2020 on climate change, air pollution, and biodiversity in Asia-Pacific and impact on allergic diseases. Asia Pac. Allergy 2020, 10. [Google Scholar] [CrossRef]
- Lelieveld, J.; Evans, J.S.; Fnais, M.; Giannadaki, D.; Pozzer, A. The contribution of outdoor air pollution sources to premature mortality on a global scale. Nature 2015, 525, 367–371. [Google Scholar] [CrossRef]
- WHO. Air Pollution. Available online: https://www.who.int/health-topics/air-pollution? (accessed on 21 January 2021).
- Cohen, A.J.; Brauer, M.; Burnett, R.; Anderson, H.R.; Frostad, J.; Estep, K.; Balakrishnan, K.; Brunekreef, B.; Dandona, L.; Dandona, R. Estimates and 25-year trends of the global burden of disease attributable to ambient air pollution: An analysis of data from the Global Burden of Diseases Study 2015. Lancet 2017, 389, 1907–1918. [Google Scholar] [CrossRef]
- Erbas, B.; Kelly, A.-M.; Physick, B.; Code, C.; Edwards, M. Air pollution and childhood asthma emergency hospital admissions: Estimating intra-city regional variations. Int. J. Environ. Health Res. 2005, 15, 11–20. [Google Scholar] [CrossRef]
- O’Connor, G.T.; Neas, L.; Vaughn, B.; Kattan, M.; Mitchell, H.; Crain, E.F.; Evans Iii, R.; Gruchalla, R.; Morgan, W.; Stout, J. Acute respiratory health effects of air pollution on children with asthma in US inner cities. J. Allergy Clin. Immunol. 2008, 121, 1133–1139. [Google Scholar] [CrossRef]
- Guarnieri, M.; Balmes, J.R. Outdoor air pollution and asthma. Lancet 2014, 383, 1581–1592. [Google Scholar] [CrossRef]
- Khilnani, C.G.; Tiwari, C.P. Air pollution in India and related adverse respiratory health effects: Past, present, and future directions. Curr. Opin. Pulm. Med. 2018, 24, 108–116. [Google Scholar] [CrossRef] [PubMed]
- WHO. Concentrations of Fine Particulate Matter (PM2.5). Available online: https://www.who.int/data/gho/data/indicators/indicator-details/GHO/concentrations-of-fine-particulate-matter-(pm2-5) (accessed on 29 October 2022).
- Lovasi, G.S.; Quinn, J.W.; Neckerman, K.M.; Perzanowski, M.S.; Rundle, A. Children living in areas with more street trees have lower prevalence of asthma. J. Epidemiol. Community Health 2008, 62, 647–649. [Google Scholar] [CrossRef] [PubMed]
- Dadvand, P.; Villanueva, C.M.; Font-Ribera, L.; Martinez, D.; Basagaña, X.; Belmonte, J.; Vrijheid, M.; Gražulevičienė, R.; Kogevinas, M.; Nieuwenhuijsen, M.J. Risks and benefits of green spaces for children: A cross-sectional study of associations with sedentary behavior, obesity, asthma, and allergy. Environ. Health Perspect. 2014, 122, 1329–1335. [Google Scholar] [CrossRef] [PubMed]
- Lovasi, G.S.; O’Neil-Dunne, J.P.M.; Lu, J.W.T.; Sheehan, D.; Perzanowski, M.S.; MacFaden, S.W.; King, K.L.; Matte, T.; Miller, R.L.; Hoepner, L.A. Urban tree canopy and asthma, wheeze, rhinitis, and allergic sensitization to tree pollen in a New York City birth cohort. Environ. Health Perspect. 2013, 121, 494–500. [Google Scholar] [CrossRef]
- Ferrante, G.; Asta, F.; Cilluffo, G.; De Sario, M.; Michelozzi, P.; La Grutta, S. The effect of residential urban greenness on allergic respiratory diseases in youth: A narrative review. World Allergy Organ. J. 2020, 13, 1939–4551. [Google Scholar] [CrossRef]
- Dadvand, P.; Sunyer, J.; Basagana, X.; Ballester, F.; Lertxundi, A.; Fernandez-Somoano, A.; Estarlich, M.; Garcia-Esteban, R.; Mendez, M.A.; Nieuwenhuijsen, M.J. Surrounding greenness and pregnancy outcomes in four Spanish birth cohorts. Environ. Health Perspect. 2012, 120, 1481–1487. [Google Scholar] [CrossRef]
- Andrusaityte, S.; Grazuleviciene, R.; Kudzyte, J.; Bernotiene, A.; Dedele, A.; Nieuwenhuijsen, M.J. Associations between neighbourhood greenness and asthma in preschool children in Kaunas, Lithuania: A case–control study. BMJ open 2016, 6, e010341. [Google Scholar] [CrossRef]
- Dadvand, P.; de Nazelle, A.; Triguero-Mas, M.; Schembari, A.; Cirach, M.; Amoly, E.; Figueras, F.; Basagaña, X.; Ostro, B.; Nieuwenhuijsen, M. Surrounding greenness and exposure to air pollution during pregnancy: An analysis of personal monitoring data. Environ. Health Perspect. 2012, 120, 1286–1290. [Google Scholar] [CrossRef]
- United Nations. World Population Prospects: The 2017 Revision, Key Findings and Advance Tables; Working Paper No. ESA/P/WP/248; Department of Economic and Social Affairs: New York, NY, USA, 2017; p. 53. Available online: https://population.un.org/wpp/Publications/Files/WPP2017_KeyFindings.pdf (accessed on 12 January 2021).
- GBD Chronic Respiratory Disease Collaborators. Global, regional, and national deaths, prevalence, disability-adjusted life years, and years lived with disability for chronic obstructive pulmonary disease and asthma, 1990–2015: A systematic analysis for the Global Burden of Disease Study 2015. Lancet. Respir. Med. 2017, 5, 691–706. [Google Scholar] [CrossRef]
- WHO. Ambient Air Pollution Data. Available online: https://www.who.int/data/gho/data/themes/air-pollution/ambient-air-pollution (accessed on 21 January 2021).
- IQAir. World Air Quality Report: Region & City PM2.5 Ranking; IQAir: Goldach, Switzerland, 2020; pp. 1–40. Available online: https://www.iqair.com/world-most-polluted-cities/world-air-quality-report-2020-en.pdf (accessed on 12 December 2020).
- Chowdhury, S.; Dey, S. Cause-specific premature death from ambient PM2. 5 exposure in India: Estimate adjusted for baseline mortality. Environ. Int. 2016, 91, 283–290. [Google Scholar] [CrossRef] [PubMed]
- Salvi, S.; Kumar, G.A.; Dhaliwal, R.S.; Paulson, K.; Agrawal, A.; Koul, P.A.; Mahesh, P.A.; Nair, S.; Singh, V.; Aggarwal, A.N. The burden of chronic respiratory diseases and their heterogeneity across the states of India: The Global Burden of Disease Study 1990–2016. Lancet Glob. Health 2018, 6, e1363–e1374. [Google Scholar] [CrossRef]
- Chokshi, M.; Patil, B.; Khanna, R.; Neogi, S.B.; Sharma, J.; Paul, V.K.; Zodpey, S. Health systems in India. J. Perinatol. 2016, 36, S9–S12. [Google Scholar] [CrossRef]
- Institute for Health Metrics and Evaluation. GBD Compare. Available online: http://vizhub.healthdata.org/gbd-compare (accessed on 16 October 2021).
- Indian Council of Medical Research Public Health Foundation of India Institute of Health Metrics and Evaluation. GBD India Compare Data Visualization; IHME, University of Washington: Seattle, WA, USA, 2019; Available online: http://vizhub.healthdata.org/gbd-compare/india (accessed on 21 October 2020).
- Lai, C.K.; Beasley, R.; Crane, J.; Foliaki, S.; Shah, J.; Weiland, S.; Group, I.P.T.S. Global variation in the prevalence and severity of asthma symptoms: Phase three of the International Study of Asthma and Allergies in Childhood (ISAAC). Thorax 2009, 64, 476–483. [Google Scholar] [CrossRef] [PubMed]
- Sinha, S.; Singh, J.; Kumar Jindal, S.; Birbian, N. Association of IL13R alpha 1+ 1398A/G polymorphism in a North Indian population with asthma: A case-control study. Allergy Rhinol. Provid. 2015, 6, 111–117. [Google Scholar] [CrossRef] [PubMed]
- Jindal, S.K.; Aggarwal, A.N.; Gupta, D.; Agarwal, R.; Kumar, R.; Kaur, T.; Chaudhry, K.; Shah, B. Indian Study on Epidemiology of Asthma, Respiratory Symptoms and Chronic Bronchitis in adults (INSEARCH). Int. J. Tuberc. Lung Dis. 2012, 16, 1270–1277. [Google Scholar] [CrossRef]
- Weier, J.; Herring, D. Measuring Vegetation (NDVI & EVI). Available online: http://earthobservatory.nasa.gov/Features/MeasuringVegetation (accessed on 15 January 2021).
- QGIS Development Team Open Source Geospatial Foundation Project. Quantum Geographic Information System. Available online: https://www.qgis.org (accessed on 15 October 2020).
- Ministry of Environment Forest and Climate Change. Revised National Ambient Air Quality Standards (NAAQS) 2009 Notified. 2009. Available online: http://moef.gov.in/wp-content/uploads/2019/10/Press-Note-on-RNAAQS_1.pdf (accessed on 21 June 2020).
- Central Pollution Control Board India. National Ambient Air Quality Standards Central Pollution Control Board Notification in the Gazette of India, Extraordinary. Available online: http://www.cpcb.nic.in/upload/Latest/Latest_48_FINAL_AIR_STANDARD.pdf (accessed on 21 August 2021).
- Central Pollution Control Board. National Ambient Air Quality Status and Trends 2019. 2019, 156. Available online: http://www.cpcb.nic.in (accessed on 21 August 2021).
- Government of India. Census of India 2011. Available online: http://dataforall.org/dashboard/censusinfoindia_pca/ (accessed on 21 June 2020).
- Government of India. Census of India 2011; 00-001-2011-Cen-Book (E); Office of Registerar General of India: New Delhi, India, 2011; pp. 1–13. Available online: https://censusindia.gov.in/2011-prov-results/data_files/india/paper_contentsetc.pdf (accessed on 23 June 2020).
- Ministry of Statistics and Program Implementation. Children in India 2018—A Statistical Appraisal; Social Statistics Division-Central Statistics Office, Government of India: New Delhi, India, 2018; pp. 1–138. Available online: https://www.mospi.gov.in (accessed on 21 January 2021).
- Kapoor, A.; Kapoor, M.; Krylova, P. Social Progress Index: States of India 2005–2016, Methodology Report; Institute for Competitiveness: Gurgaon, India, 2017; pp. 1–34. Available online: https://socialprogress.in/wp-content/uploads/2017/10/SPI_2017_Methodology.pdf (accessed on 12 December 2020).
- Kapoor, A.; Kapoor, M.; Krylova, P. Social Progress Index: States of India 2005–2016, Eleven Years of Progress Report Findings; Institute for Competitiveness: Gurgaon, India, 2017; pp. 1–120. Available online: https://socialprogress.in/wp-content/uploads/2017/10/SPI_2017_Findings.pdf (accessed on 12 December 2020).
- Pilat, M.A.; McFarland, A.; Snelgrove, A.; Collins, K.; Waliczek, T.M.; Zajicek, J. The effect of tree cover and vegetation on incidence of childhood asthma in metropolitan statistical areas of Texas. HortTechnology 2012, 22, 631–637. [Google Scholar] [CrossRef]
- Sbihi, H.; Koehoorn, M.; Tamburic, L.; Brauer, M. Asthma trajectories in a population-based birth cohort. Impacts of air pollution and greenness. Am. J. Respir. Crit. Care Med. 2017, 195, 607–613. [Google Scholar] [CrossRef]
- Tischer, C.; Dadvand, P.; Basagana, X.; Fuertes, E.; Bergström, A.; Gruzieva, O.; Melen, E.; Berdel, D.; Heinrich, J.; Koletzko, S. Urban upbringing and childhood respiratory and allergic conditions: A multi-country holistic study. Environ. Res. 2018, 161, 276–283. [Google Scholar] [CrossRef]
- Feng, X.; Astell-Burt, T. Is neighborhood green space protective against associations between child asthma, neighborhood traffic volume and perceived lack of area safety? Multilevel analysis of 4447 Australian children. Int. J. Environ. Res. Public Health 2017, 14, 543. [Google Scholar] [CrossRef]
- Eldeirawi, K.; Kunzweiler, C.; Zenk, S.; Finn, P.; Nyenhuis, S.; Rosenberg, N.; Persky, V. Associations of urban greenness with asthma and respiratory symptoms in Mexican American children. Ann. Allergy Asthma Immunol. 2019, 122, 289–295. [Google Scholar] [CrossRef] [PubMed]
- DellaValle, C.T.; Triche, E.W.; Leaderer, B.P.; Bell, M.L. Effects of ambient pollen concentrations on frequency and severity of asthma symptoms among asthmatic children. Epidemiology 2012, 23, 55. [Google Scholar] [CrossRef] [PubMed]
- Corsini, E.; Sokooti, M.; Galli, C.L.; Moretto, A.; Colosio, C. Pesticide induced immunotoxicity in humans: A comprehensive review of the existing evidence. Toxicology 2013, 307, 123–135. [Google Scholar] [CrossRef]
- Bartra, J.; Belmonte, J.; Torres-Rodriguez, J.M.; Cistero-Bahima, A. Sensitization to Alternaria in patients with respiratory allergy. Front. Biosci. 2009, 14, 9. [Google Scholar] [CrossRef]
- De Linares, C.; Belmonte, J.; Canela, M.; de la Guardia, C.D.; Alba-Sanchez, F.; Sabariego, S.; Alonso-Pérez, S. Dispersal patterns of Alternaria conidia in Spain. Agric. For. Meteorol. 2010, 150, 1491–1500. [Google Scholar] [CrossRef]
- Rook, G.A. Regulation of the immune system by biodiversity from the natural environment: An ecosystem service essential to health. Proc. Natl. Acad. Sci. USA 2013, 110, 18360–18367. [Google Scholar] [CrossRef] [PubMed]
- Hanski, I.; von Hertzen, L.; Fyhrquist, N.; Koskinen, K.; Torppa, K.; Laatikainen, T.; Karisola, P.; Auvinen, P.; Paulin, L.; Mäkelä, M.J.; et al. Environmental biodiversity, human microbiota, and allergy are interrelated. Proc. Natl. Acad. Sci. USA 2012, 109, 8334–8339. [Google Scholar] [CrossRef] [PubMed]
- Mhuireach, G.; Johnson, B.R.; Altrichter, A.E.; Ladau, J.; Meadow, J.F.; Pollard, K.S.; Green, J.L. Urban greenness influences airborne bacterial community composition. Sci. Total Environ. 2016, 571, 680–687. [Google Scholar] [CrossRef]
- Baiardini, I.; Sicuro, F.; Balbi, F.; Canonica, G.W.; Braido, F. Psychological aspects in asthma: Do psychological factors affect asthma management? Asthma Res. Pract. 2015, 1, 1–6. [Google Scholar] [CrossRef]
- Tischer, C.; Gascon, M.; Fernández-Somoano, A.; Tardón, A.; Materola, A.L.; Ibarluzea, J.; Ferrero, A.; Estarlich, M.; Cirach, M.; Vrijheid, M. Urban green and grey space in relation to respiratory health in children. Eur. Respir. J. 2017, 49, 1502112. [Google Scholar] [CrossRef]
- Astell-Burt, T.; Feng, X.; Kolt, G.S. Mental health benefits of neighbourhood green space are stronger among physically active adults in middle-to-older age: Evidence from 260,061 Australians. Prev. Med. 2013, 57, 601–606. [Google Scholar] [CrossRef] [PubMed]
- Chen, E.; Schreier, H.M.C.; Strunk, R.C.; Brauer, M. Chronic traffic-related air pollution and stress interact to predict biologic and clinical outcomes in asthma. Environ. Health Perspect. 2008, 116, 970–975. [Google Scholar] [CrossRef] [PubMed]
- Islam, M.N.; Rahman, K.-S.; Bahar, M.M.; Habib, M.A.; Ando, K.; Hattori, N. Pollution attenuation by roadside greenbelt in and around urban areas. Urban For. Urban Green. 2012, 11, 460–464. [Google Scholar] [CrossRef]
- Shankardass, K.; McConnell, R.; Jerrett, M.; Milam, J.; Richardson, J.; Berhane, K. Parental stress increases the effect of traffic-related air pollution on childhood asthma incidence. Proc. Natl. Acad. Sci. USA 2009, 106, 12406–12411. [Google Scholar] [CrossRef] [PubMed]
- Sbihi, H.; Tamburic, L.; Koehoorn, M.; Brauer, M. Greenness and Incident Childhood Asthma: A 10-Year Follow-up in a Population-based Birth Cohort. Am. J. Respir. Crit. Care Med. 2015, 192, 1131–1133. [Google Scholar] [CrossRef] [PubMed]
- Indian Institute of Management. Evaluation of Central Pollution Control Board (CPCB); Ministry of Environment and Forest Government of India (GOI): Lucknow, India, 2010; p. 70. Available online: http://cpcbnicin/cpcbold/IIMLkopdf (accessed on 21 December 2020).
- Srivastava, A.; Gupta, S.; Jain, V.K. Source Apportionment of Total Suspended Particulate Matter in Coarse and Fine Size Ranges Over Delhi. Aerosol Air Qual. Res. 2008, 8, 188–200. [Google Scholar] [CrossRef]
- Saxena, M.; Sharma, A.; Sen, A.; Saxena, P.; Saraswati; Mandal, T.K.; Sharma, S.K.; Sharma, C. Water soluble inorganic species of PM10 and PM2.5 at an urban site of Delhi, India: Seasonal variability and sources. Atmos. Res. 2017, 184, 112–125. [Google Scholar] [CrossRef]




| 2005 | 2011 | 2017 | |||||||
|---|---|---|---|---|---|---|---|---|---|
| Measures | Mean (SD) | Median (IQR) | Min, Max | Mean (SD) | Median (IQR) | Min, Max | Mean (SD) | Median (IQR) | Min, Max |
| Asthma prevalence (per 100,000) | 1275.559 (±381.06) | 1076.84 (1496.51–992.40) | 870.90, 2188.52 | 1776.096 (±480.23) | 1609.06 (2038.12–1417.31) | 1247.45, 2894.67 | 1419.96 (±303.84) | 1255.00 (1589.02–1219.12) | 1419.96, 2276.06 |
| Environmental factors | |||||||||
| NDVI | 0.41 (±0.18) | 0.41 (0.54–0.27) | 0.0621, 0.77 | 0.41 (±0.15) | 0.40 (0.54–0.30) | 0.097, 0.746 | 0.47 (±0.18) | 0.42 (0.64–0.34) | 0.130, 0.801 |
| Air pollutants | |||||||||
| PM2.5 (µgm/m3) | 37.92 (±20.05) | 32.25 (44.9–23.45) | 15.4, 119 | 38.12 (±23.46) | 34.05 (44.05–23.17) | 12.1, 113 | 49.41 (±26.52) | 40.00 (60.25–31.75) | 16.59, 119 |
| PM10 (µgm/m3) | 95.78 (±39.56) | 85.00 (117.5–67.25) | 39, 199 | 106.96 (±49.27) | 96.34 (149.6–72.5) | 12, 222 | 107.20 (±48.83) | 91.00 (145.5–71) | 38, 240 |
| SO2 (µgm/m3) | 10.57 (±6.94) | 10.00 (15–6) | 2, 29 | 8.92 (±7.07) | 6.89 (13.17–2.85) | 1, 28 | 8.73 (±5.91) | 7.0 (10.25–5.75) | 2, 25 |
| NO2(µgm/m3) | 26.61 (±18.71) | 24.00 (30–15) | 2, 90 | 22.25 (±13.97) | 19.00 (28.25–12) | 3.2, 57 | 22.14 (±12.43) | 21.00 (27.25–14.5) | 4.8, 68 |
| O3 (µgm/m3) | 33.51 (±8.96) | 40.82 | 17, 47.1 | 27.41 (±9.77) | 43.56 (31.96–20.66) | 10, 46.5 | 25.47 (±6.12) | 46.35 (29.62–22.05) | 8, 31 |
| Meteorological variables | |||||||||
| Maximum temperature (degree Celsius) | 29.06 (±3.54) | 30(31.02–27.63) | 16.5, 35 | 29.18 (±4.23) | 29.75 (32–26.78) | 16, 35 | 29.51 (±3.91) | 30.25 (32, 27.76) | 16, 34.79 |
| Relative humidity (%) | 68.75 (±9.13) | 69(76.5–61.5) | 50, 85 | 71.13 (±10.33) | 70 (80.37–65.5) | 50, 90 | 71.85 (±11.29) | 74 (80.5–64.5) | 50, 85 |
| Average annual rainfall (mm) | 1660.91 (±969.92) | 1347.65 (2387.25–1056.75) | 520.8, 4692.8 | 1738.53 (±1099.12) | 1359.68 (2378.49–1055.47) | 528.13, 5388.8 | 1601.43 (±903.70) | 1297.6 (2624.9–898.37) | 299.2, 3443.45 |
| Maximum temperature (degree Celsius) | 29.06 (±3.54) | 30(31.02–27.63) | 16.5, 35 | 29.18 (±4.23) | 29.75 (32–26.78) | 16, 35 | 29.51 (±3.91) | 30.25 (32–27.76) | 16, 34.79 |
| Socio-economic variables | |||||||||
| Social progress index (SPI) score | 48.45 (±5.9) | 48.36 (54.72–35.81) | 35.81, 59.05 | 53.85 (±5.9) | 53.75 (59.71–49.03) | 41.24, 63.04 | 57.00 (±5.5) | 56.38 (62.31–53.43) | 44.89, 68.09 |
| Population density (PD) (persons/sqkm) | 613.36 (±1665.75) | 276.5 (478.5–117.25) | 13, 9340 | 727.16 (±2015.87) | 308 (551.25–130) | 17, 11297 | 800.03 (±2217.45) | 339 (606.5–143.75) | 18, 12427 |
| Unadjusted | Model 1 | Model 2 | Model 3 | Model 4 | Model 5 | Model 6 | |
|---|---|---|---|---|---|---|---|
| Variables | |||||||
| NDVI continuous | 0.425 (0.390, 0.460) * | 0.161 (0.121,0.200) * | 0.144 (0.101, 0.186) * | 0.035 (−0.006, 0.076) | 0.121 (0.082, 0.161) * | 0.098 (0.058, 0.138) * | −0.190 (−0.267, −0.113) * |
| Particulate matter < 2.5 µgm (PM2.5), high | −0.137 (−0.153, −0.122) * | −0.094 (−0.111, −0.077) * | −0.051 (−0.070, −0.033) * | ..NA | ..NA | ..NA | ..NA |
| Particulate matter < 10 µgm (PM10), high | 0.015 (−0.002, −0.028) * | 0.037 (0.022, 0.052) * | ..NA | 0.062 (0.047, 0.078) * | ..NA | ..NA | ..NA |
| Sulfur dioxide (SO2), high | −0.150(−0.163, −0.137) * | −0.102 (−0.116, −0.088) * | ..NA | ..NA | −0.096 (−0.110, −0.080) * | ..NA | ..NA |
| Nitrogen dioxide (NO2), high | −0.074 (−0.086, −0.061) * | −0.038 (−0.052, −0.025) * | ..NA | ..NA | ..NA | −0.006 (−0.021, −0.008) | ..NA |
| Ozone (O3), high | −0.160 (−0.173, −0.146) * | −0.121 (−0.138, −0.103) * | ..NA | ..NA | ..NA | ..NA | −0.118 (−0.135, −0.100) * |
| Max temperature | 0.0008 (−0.0008, 0.0025) | ..NA | 0.007 (0.006, 0.009) * | 0.010 (0.008, 0.012) * | 0.006 (0.005, 0.008) * | 0.005 (0.003, 0.007) * | 0.033 (0.030, 0.037) * |
| Relative humidity | 0.008 (0.008, 0.009) * | ..NA | 0.006 (0.005, 0.007) * | 0.006 (0.005, 0.007) * | 0.005 (0.004, 0.006) * | 0.005 (0.005, 0.006) * | −3.08 × 10−4 (-9.2 × 10−4, 9.1× 10−4) |
| Average annual rainfall | 1.2 × 10−5 (1.2 × 10−5, 1.3 × 10−4) * | ..NA | 9.0 x10−5 (9.0 × 10−5, 1.0 × 10−5) * | 1.0 × 10−4 (1.0 × 10−4, 1.1 × 10−4) * | 9.0 × 10−5 (8.0 × 10−5, 9.0 × 10−5) * | 9.0 × 10−4 (9.0 × 10−4, 1.0 × 10−4) * | 1.8 × 10−4 (1.7 × 10−4, 2.0 × 10−4) * |
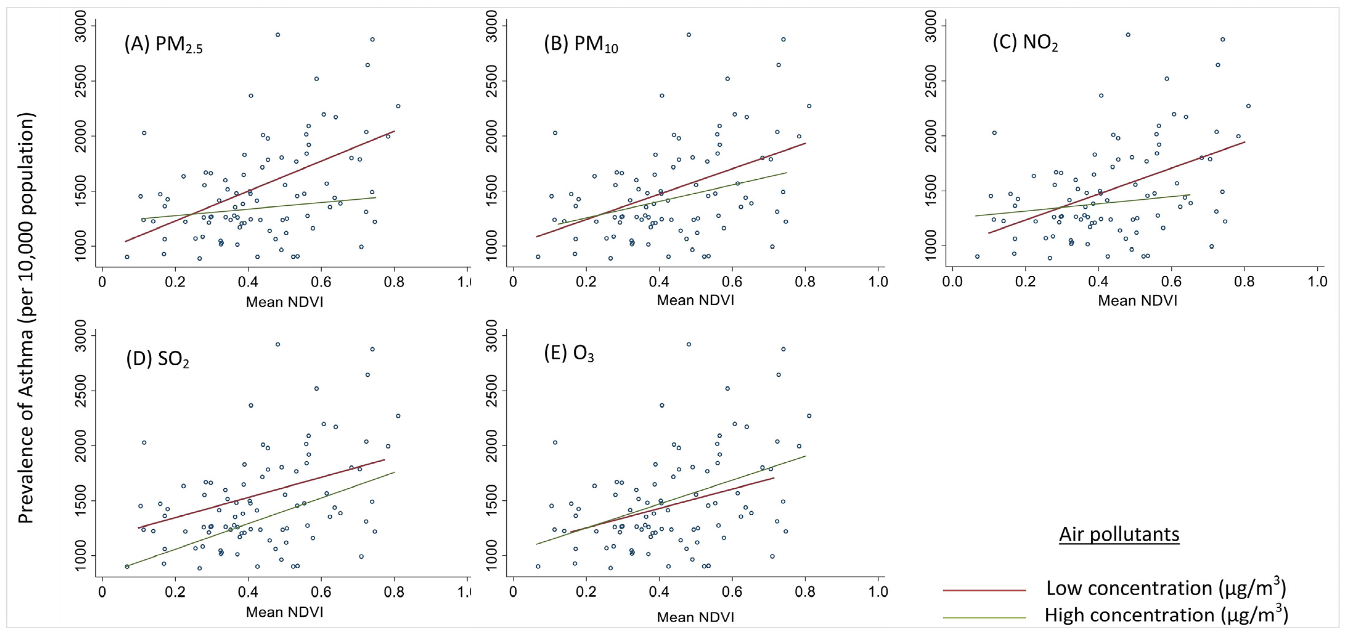
| Asthma Prevalence | |||||
|---|---|---|---|---|---|
| Variables | N | Interaction Coefficient (β) (95% CI) | p-Int Value | Coefficient (β) (95% CI) of NDVI | p-Int Value |
| PM2.5 c.NDVI × PM2.5high | 82 | −0.96 (−1.07, −0.85) * | p < 0.001 | 0.38 (0.33, 0.42) * | p < 0.001 |
| PM10 c.NDVI × PM10high | 85 | −1.14 (−1.24, −1.04) * | p < 0.001 | 0.261 (0.218, 0.305) * | p < 0.001 |
| SO2 c.NDVI × SO2high | 87 | −0.03 (−0.12, 0.059) | 0.499 | 0.16 (0.12, 0.20) * | p < 0.001 |
| NO2 c.NDVI × NO2high | 87 | −1.32 (−1.43, −1.22) * | p < 0.001 | 0.27 (0.23, 0.31) * | p < 0.001 |
| O3 c.NDVI × O3high | 45 | −0.47 (0.31, 0.62) * | p < 0.001 | −0.21 (−0.30, −0.12) * | p < 0.001 |
Publisher’s Note: MDPI stays neutral with regard to jurisdictional claims in published maps and institutional affiliations. |
© 2022 by the authors. Licensee MDPI, Basel, Switzerland. This article is an open access article distributed under the terms and conditions of the Creative Commons Attribution (CC BY) license (https://creativecommons.org/licenses/by/4.0/).
Share and Cite
Malamardi, S.; Lambert, K.A.; Praveena, A.S.; Anand, M.P.; Erbas, B. Time Trends of Greenspaces, Air Pollution, and Asthma Prevalence among Children and Adolescents in India. Int. J. Environ. Res. Public Health 2022, 19, 15273. https://doi.org/10.3390/ijerph192215273
Malamardi S, Lambert KA, Praveena AS, Anand MP, Erbas B. Time Trends of Greenspaces, Air Pollution, and Asthma Prevalence among Children and Adolescents in India. International Journal of Environmental Research and Public Health. 2022; 19(22):15273. https://doi.org/10.3390/ijerph192215273
Chicago/Turabian StyleMalamardi, Sowmya, Katrina A. Lambert, Attahalli Shivanarayanaprasad Praveena, Mahesh Padukudru Anand, and Bircan Erbas. 2022. "Time Trends of Greenspaces, Air Pollution, and Asthma Prevalence among Children and Adolescents in India" International Journal of Environmental Research and Public Health 19, no. 22: 15273. https://doi.org/10.3390/ijerph192215273
APA StyleMalamardi, S., Lambert, K. A., Praveena, A. S., Anand, M. P., & Erbas, B. (2022). Time Trends of Greenspaces, Air Pollution, and Asthma Prevalence among Children and Adolescents in India. International Journal of Environmental Research and Public Health, 19(22), 15273. https://doi.org/10.3390/ijerph192215273

