Living in Liquid Times: The Relationships among Job Insecurity, Life Uncertainty, and Psychosocial Well-Being
Abstract
1. Introduction
1.1. Job Market Outcomes of the Pandemic
1.2. The Theoretical Framework: Uncertainty as a Source of Stress
1.3. Job Insecurity and Psychosocial Well-Being
1.4. Life Uncertainty
1.5. Aim and Hypotheses of the Present Study
2. Method
2.1. Participants and Procedures
2.2. Measures
2.3. Data Analyses
3. Results
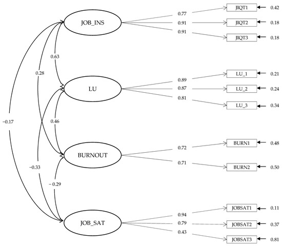
3.1. The Measurement Model
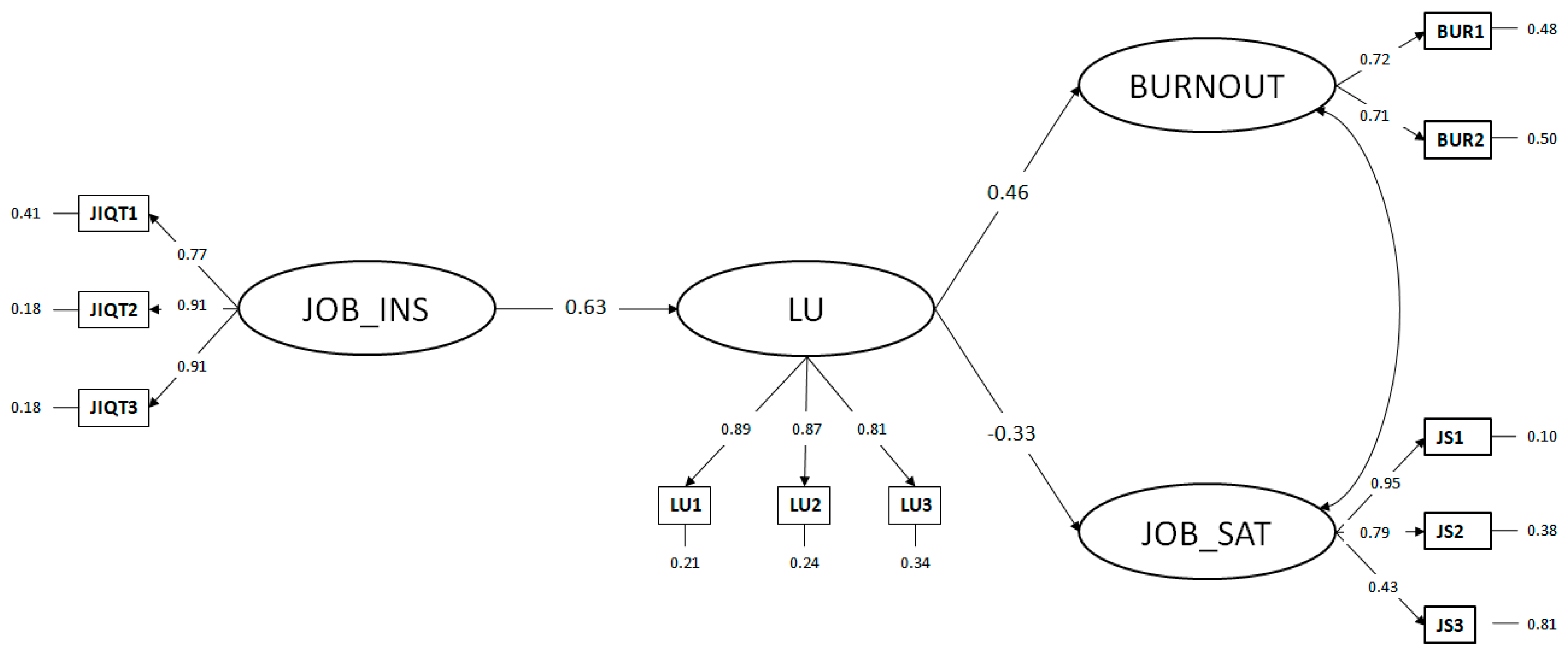
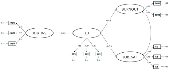
3.2. The Path Model with Latent Variables
4. Discussion
5. Conclusions
Author Contributions
Funding
Institutional Review Board Statement
Informed Consent Statement
Data Availability Statement
Conflicts of Interest
Appendix A
| Sociodemographic Characteristics | Study Sample (n = 357) % | Representative Sample of Italian Working Population (n = 15,076) % |
|---|---|---|
| Education level | ||
| 1. Middle school | 9.7 | 31.3 |
| 2. High school | 50.7 | 42.9 |
| 3. University degree or higher | 40.1 | 25.8 |
| Socio-economic status | ||
| 1. Low | 8.4 | 8.8 |
| 2. Medium low | 24.9 | 23.5 |
| 3. Medium | 53.5 | 41.2 |
| 4. Medium high | 12.9 | 7.1 |
| 5. High | 0.3 | 1.2 |
| Contract | ||
| 1. Permanent | 51.0 | 64 |
| 2. Temporary | 7.6 | 9.7 |
| 3. Self employed | 22.4 | 23.1 |
| 4. No contract (e.g., occasional job, gig economy) | 17.1 | 3.3 |
| Occupational status | ||
| 1. Full-time | 68.3 | 82.5 |
| 2. Part-time | 17 | 17.5 |
| 3. Occasional | 14.6 | NA |
| Productive sector | ||
| 1. Industry | 21.3 | 22.9 |
| 2. Service | 76.8 | 73.9 |
| 3. Agricultural | 2.0 | 3.2 |
| Organizational sector | ||
| 1. Public | 72.8 | 27 |
| 2. Private | 27.2 | 73 |
References
- Rampini, F. L’età del Caos (The Age of Chaos); Mondadori: Milan, Italy, 2015. [Google Scholar]
- Baumann, Z. Liquid Times: Living in an Age of Uncertainty; Polity Press: Cambridge, UK, 2007. [Google Scholar]
- Moisi, D. The Geopolitics of Emotion: How Cultures of Fear, Humiliation, and Hope Are Reshaping the World; Anchor Books: New York, NY, USA, 2010. [Google Scholar]
- Eurobarometer. Public Opinion Monitoring at a Glance in the Time of COVID-19; European Parliament: Strasbourg, France, 2020; Available online: https://www.europarl.europa.eu/at-your-service/it/be-heard/eurobarometer?year=2020&type=eng.aac.eurobarometer.filters.type.specificSurveys (accessed on 12 April 2022).
- Eurobarometer. Spring 2021 Survey; European Parliament: Strasbourg, France, 2021; Available online: https://europa.eu/eurobarometer/surveys/detail/2572 (accessed on 12 April 2022).
- Cullen, W.; Gulati, G.; Kelly, B.D. Mental health in the COVID-19 pandemic. QJM Int. J. Med. 2020, 113, 311–312. [Google Scholar] [CrossRef] [PubMed]
- Pfefferbaum, B.; North, C.S. Mental health and the COVID-19 pandemic. N. Engl. J. Med. 2020, 383, 510–512. [Google Scholar] [CrossRef] [PubMed]
- Usher, K.; Durkin, J.; Bhullar, N. The COVID-19 pandemic and mental health impacts. Int. J. Ment. Health Nurs. 2020, 29, 315–318. [Google Scholar] [CrossRef] [PubMed]
- Aguiar-Quintana, T.; Nguyen, T.H.H.; Araujo-Cabrera, Y.; Sanabria-Díaz, J.M. Do job insecurity, anxiety and depression caused by the COVID-19 pandemic influence hotel employees’ self-rated task performance? The moderating role of employee resilience. Int. J. Hosp. Manag. 2021, 94, 102868. [Google Scholar] [CrossRef] [PubMed]
- Rudolph, C.W.; Allan, B.; Clark, M.; Hertel, G.; Hirschi, A.; Kunze, F.; Shockley, K.; Shoss, M.; Sonnentag, S.; Zacher, H. COVID-19: Implications for research and practice in industrial and organizational psychology. Ind. Organ. Psychol. 2021, 14, 1–35. [Google Scholar] [CrossRef]
- Sinclair, R.R.; Allen, T.; Barber, L.; Bergman, M.; Britt, T.; Butler, A.; Ford, M.; Hammer, L.; Kath, L.; Probst, T.; et al. Occupational health science in the time of COVID-19: Now more than ever. Occup. Health Sci. 2020, 4, 1–22. [Google Scholar] [CrossRef] [PubMed]
- Wilson, J.M.; Lee, J.; Fitzgerald, H.N.; Oosterhoff, B.; Sevi, B.; Shook, N.J. Job insecurity and financial concern during the COVID-19 pandemic are associated with worse mental health. J. Occup. Environ. Med. 2020, 62, 686–691. [Google Scholar] [CrossRef]
- Brodeur, A.; Gray, D.; Islam, A.; Bhuiyan, S. A literature review of the economics of COVID-19. J. Econ. Surv. 2021, 35, 1007–1044. [Google Scholar] [CrossRef]
- Kahn, L.B.; Lange, F.; Wiczer, D.G. Labor Demand in the Time of COVID-19: Evidence from Vacancy Postings and UI Claims; NBER Working Paper, 2020 No. 27061; National Bureau of Economic Research: Cambridge, MA, USA, 2020. [Google Scholar]
- Coibion, O.; Gorodnichenko, Y.; Weber, M. Labor Markets during the COVID-19 Crisis: A Preliminary View; NBER Working Paper, 2020 No. 27017; National Bureau of Economic Research: Cambridge, MA, USA, 2020. [Google Scholar]
- Gupta, S.; Montenovo, L.; Nguyen, T.D.; Rojas, F.L.; Schmutte, I.M.; Simon, K.I.; Weinberg, B.A.; Wing, C. Effects of Social Distancing Policy on Labor Market Outcomes; NBER Working Paper, 2020 No. 27280; National Bureau of Economic Research: Cambridge, MA, USA, 2020. [Google Scholar]
- Rojas, F.L.; Jiang, X.; Montenovo, L.; Simon, K.I.; Weinberg, B.A.; Wing, C. Is the Cure Worse Than the Problem Itself? Immediate Labor Market Effects of COVID-19 Case Rates and School Closures in the U.S.; NBER Working Paper, 2020 No. 27127; National Bureau of Economic Research: Cambridge, MA, USA, 2020. [Google Scholar]
- Adams-Prassl, A.; Boneva, T.; Golin, M.; Rauh, C. Inequality in the impact of the coronavirus shock: Evidence from real time surveys. J. Public Econ. 2020, 189, 104245. [Google Scholar] [CrossRef]
- Alstadsæter, A.; Bratsberg, B.; Eielsen, G.; Kopczuk, W.; Markussen, S.; Raaum, O.; Røed, K. The First Weeks of the Coronavirus Crisis: Who Got Hit, When and Why? Evidence from Norway; NBER Working Paper, 2020 No. 27131; National Bureau of Economic Research: Cambridge, MA, USA, 2020. [Google Scholar] [CrossRef]
- Yasenov, V.I. Who Can Work from Home? IZA Discussion Paper No. 13197; Institute of Labor Economics: Cambridge, MA, USA, 2020; Available online: http://ftp.iza.org/dp13197.pdf (accessed on 4 September 2022).
- Fairlie, R. The impact of COVID-19 on small business owners: Evidence from the first three months after wide-spread social-distancing restrictions. J. Econ. Manag. Strategy 2020, 29, 727–740. [Google Scholar] [CrossRef]
- Auriemma, V.; Iannaccone, C. COVID-19 pandemic: Socio-economic consequences of social distancing measures in Italy. Front. Sociol. 2020, 5, 575791. [Google Scholar] [CrossRef] [PubMed]
- Organisation for Economic Co-operation and Development. Employment Outlook. 2018. Available online: https://read.oecd-ilibrary.org/employment/oecd-employment-outlook-2018_empl_outlook-2018-en#page1 (accessed on 4 September 2022).
- Monda, P. Contratto di Lavoro Pubblico, Potere Organizzativo e Valutazione [Public Employment Contract, Organizational Power and Evaluation]; Giappichelli Editore: Turin, Italy, 2016; ISBN 978-88-921-0476-1. [Google Scholar]
- Corti, M. Flessibilità e Sicurezza dopo il Jobs Act: La Flexicurity Italiana Nell’ordinamento Multilivello [Flexibility and Security after the Jobs Act: Italian Flexicurity in the Multilevel System]; Giappichelli Editore: Turin, Italy, 2018; ISBN 9788892114562. [Google Scholar]
- ILO (International Labour Organization). ILO: As Job Losses Escalate, Nearly Half of Global Workforce at Risk of Losing Livelihoods. 2020. Available online: https://www.ilo.org/global/about-the-ilo/newsroom/news/WCMS_743036/lang--en/index.htm (accessed on 4 September 2022).
- Stynen, D.; Forrier, A.; Sels, L.; De Witte, H. The relationship between qualitative job insecurity and OCB: Differences across age groups. Econ. Ind. Democr. 2015, 36, 383–405. [Google Scholar] [CrossRef]
- Staufenbiel, T.; König, C.J. A model for the effects of job insecurity on performance, turnover intention, and absenteeism. J. Occup. Organ. Psychol. 2010, 83, 101–117. [Google Scholar] [CrossRef]
- Shoss, M.K. Job insecurity: An integrative review and agenda for future research. J. Manag. 2017, 43, 1911–1939. [Google Scholar] [CrossRef]
- Cheng, G.H.L.; Chan, D.K.S. Who Suffers More from Job Insecurity? A Meta-Analytic Review. Appl. Psychol. Int. Rev. 2008, 57, 272–303. [Google Scholar] [CrossRef]
- Sverke, M.; Hellgren, J.; Naswall, K. No security: A meta-analysis and review of job insecurity and its consequences. J. Occup. Health Psychol. 2002, 7, 242–264. [Google Scholar] [CrossRef]
- De Witte, H. Job insecurity: Review of the international literature on definitions, prevalence, antecedents and consequences. SA J. Ind. Psychol. 2005, 31, 1–6. [Google Scholar] [CrossRef]
- Lazarus, R.S.; Folkman, S. Stress, Appraisal, and Coping; Springer: New York, NY, USA, 1984. [Google Scholar]
- Lazarus, R.S. The role of coping in the emotions and how coping changes over the life course. In Handbook of Emotion, Adult Development, and Aging; Academic Press: New York, NY, USA, 1996; pp. 289–306. [Google Scholar]
- Folkman, S. Positive psychological states and coping with severe stress. Soc. Sci. Med. 1997, 45, 1207–1221. [Google Scholar] [CrossRef]
- Folkman, S.; Lazarus, R.S. If it changes it must be a process: Study of emotion and coping during three stages of a college examination. J. Pers. Soc. Psychol. 1985, 48, 150–170. [Google Scholar] [CrossRef]
- Folkman, S.; Lazarus, R.S. Coping as a mediator of emotion. J. Pers. Soc. Psychol. 1988, 54, 466–475. [Google Scholar] [CrossRef]
- Lazarus, R.S. Theory-based stress measurement. Psychol. Inq. 1990, 1, 3–13. [Google Scholar] [CrossRef]
- Lazarus, R.S.; De Longis, A.; Folkman, S.; Gruen, R. Stress and adaptational outcomes: The problem of confounded measures. Am. Psychol. 1985, 40, 770–779. [Google Scholar] [CrossRef] [PubMed]
- Mishel, M.H. Uncertainty in illness. Image J. Nurs. Scholarsh. 1988, 20, 225–232. [Google Scholar] [CrossRef] [PubMed]
- Carleton, R.N.; Norton, M.P.J.; Asmundson, G.J. Fearing the unknown: A short version of the Intolerance of Uncertainty Scale. J. Anxiety Disord. 2007, 21, 105–117. [Google Scholar] [CrossRef]
- De Witte, H.; Naswall, K. “Objective” vs. “Subjective” Job Insecurity: Consequences of Temporary Work for Job Satisfaction and Organizational Commitment in Four European Countries. Econ. Ind. Democr. 2003, 24, 149–188. [Google Scholar] [CrossRef]
- Heydayati, M.; Dugas, M.J.; Buhr, K.; Francis, K. The relationship between intolerance of uncertainty and the interpretation of ambiguous and unambiguous information. In Proceedings of the Annual Convention of the Association for Advancement of Behaviour Therapy, Boston, MA, USA, November 2003. [Google Scholar]
- Greco, V.; Roger, D. Coping with uncertainty: The construction and validation of a new measure. Personal. Individ. Differ. 2001, 31, 519–534. [Google Scholar] [CrossRef]
- Greco, V.; Roger, D. Uncertainty, stress, and health. Personal. Individ. Differ. 2003, 34, 1057–1068. [Google Scholar] [CrossRef]
- Laugesen, N.; Dugas, M.J.; Bukowski, W.M. Understanding adolescent worry: The application of a cognitive model. J. Abnorm. Child Psychol. 2003, 31, 55–64. [Google Scholar] [CrossRef]
- Dugas, M.J.; Gagnon, F.; Ladouceur, R.; Freeston, M.H. Generalized anxiety disorder: A preliminary test of a conceptual model. Behav. Res. Ther. 1998, 36, 215–226. [Google Scholar] [CrossRef]
- Dugas, M.J.; Gosselin, P.; Ladouceur, R. Intolerance of uncertainty and worry: Investigating specificity in a nonclinical sample. Cogn. Ther. Res. 2001, 25, 551–558. [Google Scholar] [CrossRef]
- Tolin, D.F.; Abramowitz, J.S.; Brigidi, B.D.; Foa, E.B. Intolerance of uncertainty in obsessive-compulsive disorder. J. Anxiety Disord. 2003, 17, 233–242. [Google Scholar] [CrossRef]
- Dugas, M.J.; Freeston, M.H.; Ladouceur, R. Intolerance of uncertainty and problem orientation in worry. Cogn. Ther. Res. 1997, 21, 593–606. [Google Scholar] [CrossRef]
- Carleton, R.N.; Mulvogue, M.K.; Thibodeau, M.A.; McCabe, R.E.; Antony, M.M.; Asmundson, G.J. Increasingly certain about uncertainty: Intolerance of uncertainty across anxiety and depression. J. Anxiety Disord. 2012, 26, 468–479. [Google Scholar] [CrossRef] [PubMed]
- Grupe, D.W.; Nitschke, J.B. Uncertainty and anticipation in anxiety: An integrated neurobiological and psychological perspective. Nat. Rev. Neurosci. 2013, 14, 488–501. [Google Scholar] [CrossRef]
- van den Bos, K. Making sense of life: The existential self trying to deal with personal uncertainty. Psychol. Inq. 2009, 20, 197–217. [Google Scholar] [CrossRef]
- Mishel, M.H. The measurement of uncertainty in illness. Nurs. Res. 1981, 30, 258–263. Available online: https://pubmed.ncbi.nlm.nih.gov/6912987 (accessed on 4 September 2022). [CrossRef]
- Mishel, M.H. Perceived uncertainty and stress in illness. Res. Nurs. Health 1984, 7, 163–171. [Google Scholar] [CrossRef]
- Mishel, M.H. Uncertainty in Acute Illness. Annu. Rev. Nurs. Res. 1997, 15, 57–80. [Google Scholar] [CrossRef]
- Moors, A.; Ellsworth, P.C.; Scherer, K.R.; Frijda, N.H. Appraisal theories of emotion: State of the art and future development. Emot. Rev. 2013, 5, 119–124. [Google Scholar] [CrossRef]
- Chirumbolo, A.; Urbini, F.; Callea, A. Dimensionality, Reliability and Validity of a Multidimensional Job Insecurity Questionnaire. Preliminary Findings in the Italian Context. Rass. Psicol. 2020, 37, 35–46. [Google Scholar] [CrossRef]
- Hartley, J.; Jacobson, D.; Klandermans, B.; Van Vuuren, T. Job Insecurity: Coping with Jobs at Risk; Sage Publications: Thousand Oaks, CA, USA, 1990. [Google Scholar]
- Jiang, L.; Lavaysse, L.M. Cognitive and affective job insecurity: A meta-analysis and a primary study. J. Manag. 2018, 44, 2307–2342. [Google Scholar] [CrossRef]
- Kim, T.J.; von dem Knesebeck, O. Perceived job insecurity, unemployment and depressive symptoms: A systematic review and meta-analysis of prospective observational studies. Int. Arch. Occup. Environ. Health 2016, 89, 561–573. [Google Scholar] [CrossRef] [PubMed]
- Virtanen, M.; Nyberg, S.T.; Batty, G.D.; Jokela, M.; Heikkilä, K.; Fransson, E.I.; Alfredsson, L.; Bjorner, J.B.; Borritz, M.; Burr, H.; et al. Perceived job insecurity as a risk factor for incident coronary heart disease: Systematic review and meta-analysis. Bmj 2013, 347, 4746. [Google Scholar] [CrossRef] [PubMed]
- De Witte, H.; Vander Elst, T.; De Cuyper, N. Job Insecurity, Health and Well-Being. In Sustainable Working Lives; Springer: Berlin/Heidelberg, Germany, 2015; pp. 109–128. ISBN 9789401797986. [Google Scholar]
- Buonocore, F.; Russo, M.; Ferrara, M. Work—Family conflict and job insecurity: Are workers from different generations experiencing true differences? Community Work Fam. 2015, 18, 299–316. [Google Scholar] [CrossRef]
- Richter, A.; Näswall, K.; Sverke, M. Job insecurity and its relation to work—Family conflict: Mediation with a longitudinal data set. Econ. Ind. Democr. 2010, 31, 265–280. [Google Scholar] [CrossRef]
- Antino, M.; Ruiz-Zorrilla, P.; Sanz-Vergel, A.I.; Leon-Perez, J.M.; Rodriguez-Muñoz, A. The role of job insecurity and work-family conflict on mental health evolution during COVID-19 lockdown. Eur. J. Work Organ. Psychol. 2022, 31, 667–684. [Google Scholar] [CrossRef]
- De Raeve, L.; Jansen, N.W.; van den Brandt, P.A.; Vasse, R.M.; Kant, I. Risk factors for interpersonal conflicts at work. Scand. J. Work Environ. Health 2008, 34, 96–106. [Google Scholar] [CrossRef]
- Kim, H.C.; Kwon, K.S.; Koh, D.H.; Leem, J.H.; Park, S.G.; Shin, J.Y.; Lee, Y.C.; Kim, Y.K. The relationship between job stress and psychosocial stress among nurses at a university hospital. Korean J. Occup. Environ. Med. 2006, 18, 25–34. [Google Scholar] [CrossRef]
- Chirumbolo, A.; Callea, A.; Urbini, F. The Effect of Job Insecurity and Life Uncertainty on Everyday Consumptions and Broader Life Projects during COVID-19 Pandemic. Int. J. Environ. Res. Public Health 2021, 18, 5363. [Google Scholar] [CrossRef]
- Lozza, E.; Castiglioni, C.; Bonanomi, A. The effects of changes in job insecurity on daily consumption and major life decisions. Econ. Ind. Democr. 2020, 41, 610–629. [Google Scholar] [CrossRef]
- Nappo, N. Self-perceived job insecurity and self-reported health: Differences between native-born and migrant workers based on evidence from the Sixth European Working Conditions Survey. PLoS ONE 2022, 17, e0267252. [Google Scholar] [CrossRef] [PubMed]
- Scicchitano, S.; Biagetti, M.; Chirumbolo, A. More insecure and less paid? The effect of perceived job insecurity on wage distribution. Appl. Econ. 2020, 52, 1998–2013. [Google Scholar] [CrossRef]
- Ferrie, J.E. Is job insecurity harmful to health? J. R. Soc. Med. 2001, 94, 71–76. [Google Scholar] [CrossRef] [PubMed]
- De Witte, H.; Pienaar, J.; de Cuyper, N. Review of 30 Years of Longitudinal Studies on the Association between Job Insecurity and Health and Well-Being: Is There Causal Evidence? Aust. Psychol. 2016, 51, 18–31. [Google Scholar] [CrossRef]
- Chirumbolo, A.; Urbini, F.; Callea, A.; Lo Presti, A.; Talamo, A. Occupations at risk and organizational well-being: An empirical test of a job insecurity integrated model. Front. Psychol. 2017, 8, 2084. [Google Scholar] [CrossRef]
- Probst, T.M.; Petitta, L.; Barbaranelli, C.; Lavaysse, L.M. Moderating effects of contingent work on the relationship between job insecurity and employee safety. Saf. Sci. 2018, 106, 285–293. [Google Scholar] [CrossRef]
- Jiang, L.; Probst, T.M. A multilevel examination of affective job insecurity climate on safety outcomes. J. Occup. Health Psychol. 2016, 21, 366–377. [Google Scholar] [CrossRef]
- Chirumbolo, A. The impact of job insecurity on counterproductive work behaviors: The moderating role of honesty—Humility personality trait. J. Psychol. 2015, 149, 554–569. [Google Scholar] [CrossRef]
- Van den Broeck, A.; Sulea, C.; Vander Elst, T.; Fischmann, G.; Iliescu, D.; De Witte, H. The mediating role of psychological needs in the relation between qualitative job insecurity and counterproductive work behavior. Career Dev. Int. 2014, 19, 526–547. [Google Scholar] [CrossRef]
- Yiwen, F.; Hahn, J. Job Insecurity in the COVID-19 Pandemic on Counterproductive Work Behavior of Millennials: A Time-Lagged Mediated and Moderated Model. Int. J. Environ. Res. Public Health 2021, 18, 8354. [Google Scholar] [CrossRef]
- Reuter, M.; Wahrendorf, M.; Di Tecco, C.; Probst, T.M.; Chirumbolo, A.; Ritz-Timme, S.; Dragano, N. Precarious employment and self-reported experiences of unwanted sexual attention and sexual harassment at work. An analysis of the European Working Conditions Survey. PLoS ONE 2020, 15, e0233683. [Google Scholar] [CrossRef] [PubMed]
- Urbini, F.; Lo Presti, A.; Chirumbolo, A.; Callea, A. Two is worse than one. The mediating role of precariousness of life in the association between qualitative job insecurity and distress among Italian temps. Electron. J. Appl. Stat. 2020, 13, 634–651. [Google Scholar] [CrossRef]
- Gieseck, A.; Rujin, S. The Impact of the Recent Spike in Uncertainty on Economic Activity in the Euro Area. Econ. Bull. 2020, 6, 61–64. Available online: https://www.ecb.europa.eu/pub/economic-bulletin/focus/2020/html/ecb.ebbox202006_04~e36366efeb.en.html (accessed on 4 September 2022).
- Callea, A.; Urbini, F.; Lo Presti, A. Valutare la salute dei lavoratori a tempo determinato: Validazione del Precariousness of Life Inventory (PLI-9)—Versione breve [Assessing the Health of temporary workers: Validation of the Precariousness of Life Inventory (PLI-9)—Short version]. Psicol. Della Salut. 2016, 1, 133–149. [Google Scholar] [CrossRef]
- Judge, T.A.; Zhang, S.C.; Glerum, D.R. Job satisfaction. In Essentials of Job Attitudes and Other Workplace Psychological Constructs; Routledge: New York, NY, USA, 2020; pp. 207–241. [Google Scholar]
- Maslach, C.; Leiter, M.P. Burnout. In Stress: Concepts, Cognition, Emotion, and Behavior; Academic Press: Cambridge, MA, USA, 2016; pp. 351–357. [Google Scholar]
- Rothmann, S. Job satisfaction, occupational stress, burnout and work engagement as components of work-related wellbeing. SA J. Ind. Psychol. 2008, 34, 11–16. [Google Scholar] [CrossRef]
- Sverke, M.; Hellgren, J. The nature of job insecurity: Understanding employment uncertainty on the brink of a new millennium. Appl. Psychol. 2002, 51, 23–42. [Google Scholar] [CrossRef]
- Hogg, M.A. Uncertainty-Identity Theory. In Advances in Experimental Social Psychology; Zanna, M.P., Ed.; Academic Press: New York, NY, USA, 2007; pp. 70–126. [Google Scholar]
- Van den Bos, K.; Lind, E.A. Uncertainty Management by Means of Fairness Judgments. In Advances in Experimental Social Psychology; Zanna, M.P., Ed.; Cambridge University Press: Cambridge, UK, 2002; pp. 1–60. [Google Scholar]
- Morelli, M.; Cattelino, E.; Baiocco, R.; Trumello, C.; Babore, A.; Candelori, C.; Chirumbolo, A. Parents and Children during the COVID-19 Lockdown: The Influence of Parenting Distress and Parenting Self-Efficacy on Children’s Emotional Well-Being. Front. Psychol. 2020, 11, 2584. [Google Scholar] [CrossRef]
- Kline, P. Handbook of Psychological Testing; Routledge: London, UK, 2013; ISBN 9781315812274. [Google Scholar]
- Cohen, J. Statistical Power Analysis for the Behavioral Sciences, 2nd ed.; Erlbaum: Hillsdale, NJ, USA, 1988. [Google Scholar]
- Soper, D.S. Post-hoc Statistical Power Calculator for Hierarchical Multiple Regression. 2020. Available online: http://www.danielsoper.com/statcalc (accessed on 12 April 2022).
- Vander Elst, T.; De Witte, H.; De Cuyper, N. The Job Insecurity Scale: A psychometric evaluation across five European countries. Eur. J. Work Organ. Psychol. 2014, 23, 364–380. [Google Scholar] [CrossRef]
- Cammann, C.; Fichman, M.; Jenkins, D.; Klesh, J. Michigan Organizational Assessment Questionnaire. In Assessing Organizational Change: A Guide to Methods, Measures, and Practices; Wiley-Interscience: New York, NY, USA, 1983; pp. 71–138. [Google Scholar]
- Bowling, N.A.; Hammond, G.D. A meta-analytic examination of the construct validity of the Michigan Organizational Assessment Questionnaire Job Satisfaction Subscale. J. Vocat. Behav. 2008, 73, 63–77. [Google Scholar] [CrossRef]
- Borgogni, L.; Galati, D.; Petitta, L. Questionario di Check-Up Organizzativo. Manuale; Giunti Organizzazioni Speciali: Florence, Italy, 2005. [Google Scholar]
- Schaufeli, W.B.; Leiter, M.P.; Maslach, C.; Jackson, S.E. Maslach Burnout Inventory—General Survey (MBI-GS). In MBI Manual, 3rd ed.; Consulting Psychology Press: Palo Alto, CA, USA, 1996; pp. 19–25. [Google Scholar]
- Borgogni, L.; Consiglio, C.; Alessandri, G.; Schaufeli, W.B. “Do not throw the baby out with the bathwater!” Interpersonal strain at work and burnout. Eur. J. Work Organ. Psychol. 2012, 21, 875–889. [Google Scholar] [CrossRef]
- Muthén, L.K.; Muthén, B.O. Mplus User’s Guide, 8th ed.; Muthén & Muthén: Los Angeles, CA, USA, 2017. [Google Scholar]
- Podsakoff, P.M.; MacKenzie, S.B.; Podsakoff, N.P. Sources of method bias in social science research and recommendations on how to control it. Annu. Rev. Psychol. 2012, 63, 539–569. [Google Scholar] [CrossRef] [PubMed]
- Satorra, A.; Bentler, P.M. A scaled difference chi-square test statistic for moment structure analysis. Psychometrika 2001, 66, 507–514. [Google Scholar] [CrossRef]
- Coffman, D.L.; MacCallum, R.C. Using parcels to convert path analysis models into latent variable models. Multivar. Behav. Res. 2005, 40, 235–259. [Google Scholar] [CrossRef]
- Little, T.D.; Cunningham, W.A.; Shahar, G.; Widaman, K.F. To parcel or not to parcel: Exploring the question, weighing the merits. Struct. Equ. Model. 2002, 9, 151–173. [Google Scholar] [CrossRef]
- Bollen, K.A. A new incremental fit index for general structural equation models. Sociol. Methods Res. 1989, 17, 303–316. [Google Scholar] [CrossRef]
- Marsh, H.W.; Hau, K.T.; Wen, Z. In Search of Golden Rules: Comment on Hypothesis-Testing Approaches to Setting Cutoff Values for Fit Indexes and Dangers in Overgeneralizing Hu and Bentler’s Findings. Struct. Equ. Model. 2004, 11, 320–341. [Google Scholar] [CrossRef]
- Hayes, A.F. Beyond Baron and Kenny: Statistical Mediation Analysis in the New Millennium. Commun. Monographs 2009, 76, 408–420. [Google Scholar] [CrossRef]
- Preacher, K.J.; Hayes, A.F. Asymptotic and resampling strategies for assessing and comparing indirect effects in multiple mediator models. Behav. Res. Methods 2008, 40, 879–891. [Google Scholar] [CrossRef]
- James, L.R.; Mulaik, S.A.; Brett, J.M. A tale of two methods. Organ. Res. Methods 2006, 9, 233–244. [Google Scholar] [CrossRef]
- Castelnuovo, E. Uncertainty before and during COVID-19: A survey. J. Econ. Surv. 2022. early view. [Google Scholar] [CrossRef]
- Dietrich, A.; Kuester, K.; Muller, G.; Schoenle, R. News and Uncertainty about COVID-19: Survey Evidence and Short-Run Economic Impact. Jour. Mon. Econ. 2022, 129, S35–S51. [Google Scholar] [CrossRef] [PubMed]
- Baker, S.R.; Bloom, N.; Davis, S.J.; Kost, K.; Sammon, M.; Viratyosin, T. The unprecedented stock market reaction to COVID-19. 2020. Available online: https://www.nber.org/papers/w26945 (accessed on 4 September 2022).
- Ludvigson, S.C.; Ma, S.; Ng, S. Uncertainty and business cycles: Exogenous impulse or endogenous response? Am. Econ. J. Macroecon. 2021, 13, 369–410. [Google Scholar] [CrossRef]
- Pellegrino, G.; Ravenna, F.; Züllig, G. The impact of pessimistic expectations on the effects of COVID-19-induced uncertainty in the Euro area. Oxf. Bull. Econ. Stat. 2021, 83, 841–869. [Google Scholar] [CrossRef] [PubMed]
- Meyer, B.; Mihaylov, E.; Barrero, J.M.; Davis, S.J.; Altig, D.; Bloom, N. Pandemic-Era Uncertainty. 2022. Available online: https://www.nber.org/papers/w29958 (accessed on 4 September 2022).
- Altig, D.; Barrero, J.; Bloom, N.; Davis, S.J.; Meyer, B.; Mihaylov, E. Firm-Level Planning Frequencies and Forecast Horizons. SSRN 2021. [Google Scholar] [CrossRef]
- Giuntella, O.; Hyde, K.; Saccardo, S.; Sadoff, S. Lifestyle and mental health disruptions during COVID-19. Proc. Natl. Acad. Sci. USA 2021, 118, e2016632118. [Google Scholar] [CrossRef]
- Adams-Prassl, A.; Boneva, T.; Golin, M.; Rauh, C. The Impact of the Coronavirus Lockdown on Mental Health: Evidence from the United States. Econ. Policy 2022, 37, 139–155. [Google Scholar] [CrossRef]
- de Pedraza, P.; Guzi, M.; Tijdens, K. Life Dissatisfaction and Anxiety in COVID-19 Pandemic; EUR 30243 EN; Publications Office of the European Union: Luxembourg, 2020; ISBN 978-92-76-19341-8. [Google Scholar]
- Kumar, A.; Nayar, K.R. COVID 19 and its mental health consequences. J. Ment. Health 2021, 30, 244. [Google Scholar] [CrossRef]
- Vindegaard, N.; Benros, M.E. COVID-19 pandemic and mental health consequences: Systematic review of the current evidence. Brain Behav. Immun. 2020, 89, 531–542. [Google Scholar] [CrossRef]
- Couch, K.A.; Fairlie, R.W.; Xu, H. Early evidence of the impacts of COVID-19 on minority unemployment. J. Public Econ. 2020, 192, 104287. [Google Scholar] [CrossRef]
- Kniffin, K.M.; Narayanan, J.; Anseel, F.; Antonakis, J.; Ashford, S.P.; Bakker, A.B.; Vugt, M.V. COVID-19 and the workplace: Implications, issues, and insights for future research and action. Am. Psychol. 2021, 76, 63. [Google Scholar] [CrossRef]
- Baltar, F.; Brunet, I. Social research 2.0: Virtual snowball sampling method using Facebook. Internet Res. 2012, 22, 57–74. [Google Scholar] [CrossRef]
- Maxwell, S.E.; Cole, D.A. Bias in Cross-Sectional Analyses of Longitudinal Mediation. Psychol. Methods 2007, 12, 23–44. [Google Scholar] [CrossRef] [PubMed]
- Spector, P.E. Do not cross me: Optimizing the use of cross-sectional designs. J. Bus. Psychol. 2019, 34, 125–137. [Google Scholar] [CrossRef]
- INAPP. Indagine Campionaria Sulla Qualità del Lavoro. Available online: https://www.inapp.org/it/dati/qualitadellavoro (accessed on 4 September 2022).



| Sociodemographic Characteristics | % |
|---|---|
| Education level | |
| 1. Middle school | 9.7 |
| 2. High school | 50.7 |
| 3. University degree or higher | 40.1 |
| Marital status | |
| 1. Single | 37.5 |
| 2. Married (or lived with a partner) | 50.4 |
| 3. Divorced | 9.4 |
| 4. Widowed | 2.5 |
| Socioeconomic status | |
| 1. Low | 8.4 |
| 2. Medium low | 24.9 |
| 3. Medium | 53.5 |
| 4. Medium high | 12.9 |
| 5. High | 0.3 |
| Contract | |
| 1. Permanent | 51.0 |
| 2. Temporary | 7.6 |
| 3. Self employed | 22.4 |
| 4. No contract (e.g., occasional job and gig economy) | 17.1 |
| Occupational status | |
| 1. Full-time | 68.3 |
| 2. Part-time | 17 |
| 3. Occasional | 14.6 |
| Productive sector | |
| 1. Industry | 21.3 |
| 2. Service | 76.8 |
| 3. Agricultural | 2.0 |
| Organizational sector | |
| 1. Public | 72.8 |
| 2. Private | 27.2 |
| Variables | M | SD | 1 | 2 | 3 | 4 |
|---|---|---|---|---|---|---|
| 1. Job Insecurity | 2.31 | 1.02 | 1 | |||
| 2. Life Uncertainty | 2.29 | 0.98 | 0.59 ** | 1 | ||
| 3. Job Satisfaction | 3.82 | 1.04 | −0.23 ** | −0.32 ** | 1 | |
| 4. Burnout | 1.89 | 0.82 | 0.18 ** | 0.36 ** | −0.34 ** | 1 |
| Job Ins | LU | Job Sat | Burnout | |
|---|---|---|---|---|
| Living with a partner | −0.07 | −0.18 *** | 0.15 ** | 0.04 |
| Education | −0.11 * | −0.12 * | 0.19 *** | −0.01 |
| Occupational sector (private) | 0.22 *** | 0.04 | −0.01 | 0.07 |
| Socioeconomic status | 0.07 | 0.08 | −0.09 | 0.08 |
| Worse economic conditions | 0.38 *** | 0.32 *** | −0.14 ** | 0.01 |
| COVID exposure | 0.005 | −0.01 | 0.10 | 0.03 |
| Contingent job | 0.32 *** | 0.23 *** | −0.17 ** | 0.004 |
| Full-time Job | −0.22 *** | −0.22 *** | 0.28 *** | 0.13 * |
| Precarity of work | 0.47 *** | 0.41 *** | −0.27 *** | −0.02 |
| Working conditions during lockdown (worse) | 0.33 *** | 0.27 *** | −0.19 *** | −0.10 |
| Models | Chi-Square | df | CFI | TLI | RMSEA | SRMR |
|---|---|---|---|---|---|---|
| M1: One Factor | 937.28 | 44 | 0.57 | 0.47 | 0.24 | 0.14 |
| M2: Four Factors | 151.39 | 38 | 0.95 | 0.92 | 0.09 | 0.07 |
| Indirect Effect | Effect | SE | p | Bootstrap 95% CI |
|---|---|---|---|---|
| Indirect Effect: JI → LU → Burnout | 0.29 | 0.074 | 0.01 | [0.147; 0.441] |
| Indirect Effect: JI → LU → Job Satisfaction | −0.23 | 0.055 | 0.01 | [−0.324; −0.125] |
Publisher’s Note: MDPI stays neutral with regard to jurisdictional claims in published maps and institutional affiliations. |
© 2022 by the authors. Licensee MDPI, Basel, Switzerland. This article is an open access article distributed under the terms and conditions of the Creative Commons Attribution (CC BY) license (https://creativecommons.org/licenses/by/4.0/).
Share and Cite
Chirumbolo, A.; Callea, A.; Urbini, F. Living in Liquid Times: The Relationships among Job Insecurity, Life Uncertainty, and Psychosocial Well-Being. Int. J. Environ. Res. Public Health 2022, 19, 15225. https://doi.org/10.3390/ijerph192215225
Chirumbolo A, Callea A, Urbini F. Living in Liquid Times: The Relationships among Job Insecurity, Life Uncertainty, and Psychosocial Well-Being. International Journal of Environmental Research and Public Health. 2022; 19(22):15225. https://doi.org/10.3390/ijerph192215225
Chicago/Turabian StyleChirumbolo, Antonio, Antonino Callea, and Flavio Urbini. 2022. "Living in Liquid Times: The Relationships among Job Insecurity, Life Uncertainty, and Psychosocial Well-Being" International Journal of Environmental Research and Public Health 19, no. 22: 15225. https://doi.org/10.3390/ijerph192215225
APA StyleChirumbolo, A., Callea, A., & Urbini, F. (2022). Living in Liquid Times: The Relationships among Job Insecurity, Life Uncertainty, and Psychosocial Well-Being. International Journal of Environmental Research and Public Health, 19(22), 15225. https://doi.org/10.3390/ijerph192215225

