Potential Zoning of Construction Land Consolidation in the Loess Plateau Based on the Evolution of Human–Land Relationship
Abstract
1. Introduction
2. Materials and Methods
2.1. Study Area
2.2. Research Data
2.3. Research Methods
2.3.1. Rank-Size Rule
2.3.2. Allometric Scaling Law
3. Results
3.1. The Characteristics of Structures and Changes in Population Size and Construction Land
3.1.1. More Than Half of the Town Population Has Decreased, and the Overall Spatial Feature of Population Size Is “Small in the North and Large in the South”
3.1.2. The Overall Quantity of Construction Land Increased and the Spatial Feature Is “Large in the South and North but Small in the Middle”
3.2. The Rank-Size Characteristics of Population Size and Construction Land
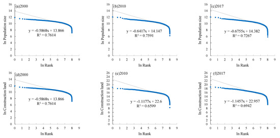
3.2.1. The Population Size Hierarchy Tends to Equilibrium Distribution, and the Major Town Population Sizes Are Small and Medium-Sized
3.2.2. The Construction Land Hierarchy Tends to Concentrate Distribution, and the Majority of Towns Are Large-Sized


3.3. The Allometric Scaling Relationship between Population and Construction Land
3.3.1. The Integrity of the Town System Is Gradually Improved and Gradually Shifts to a More Reasonable Pattern
3.3.2. The Major Allometric Type of All Towns Is Positive Allometry, and Most Towns Are with the Weak Coordinated Human–land Relationship
- (1)
- The allometry type of the zone of the Gullied Loess Plateau is mainly negative allometry which is dominated by Population Growth Negative Allometry II, Population Shrinkage Negative Allometry II, and Population Growth Negative Allometry I, with each type accounting for 55.32, 51.82 and 48.35% of the towns. The population of the East Qinghai area continues to grow and the speed is faster than the growth of construction land because of the large minority population and animal husbandry. Due to the fragile ecological environment in the Middle Gansu, and the South Ningxia areas, these towns are mainly engaged in the agricultural industry; the government reduces the population mechanically through a series of immigration programs. For example, in 2020, the permanent residence rate of Pengyang County was only 65%. The difference between the natural environmental and government policies has led to a large difference in the human–land relationship within this zone.
- (2)
- The zone of the Loess Hilly and Gully Area is dominated by positive allometry, specifically Population Growth Positive Allometry III (30.14%), Population Shrinkage Positive Allometry I (23.34%) and Population Shrinkage Positive Allometry III (22.78%). This zone has a fractured landscape and topography, and the major types are mainly distributed in the six northern counties of Yulin and Lvliang Mountain, indicating a sharp contradiction between humans and land. The six northern counties of Yulin are the core of the construction of the energy and chemical industry base in Northern Shaanxi, attracting population and industry for agglomeration, resulting in the fast-growing construction land. In 2018, Yulin’s energy and chemical industrial construction land accounted for 26% of Yulin’s total construction land, but its output level was significantly lower than that of industrial parks in the same area, resulting in poor intensive land use. The Lvliang Mountain has a fragile ecological environment and serious soil erosion problem, and the population is gradually migrating outwards. However, the construction land is growing extensively, resulting in an urgent and complicated consolidation.
- (3)
- The dominant allometric types in the zone of the Valley Plain are Population Growth Positive Allometry II (24.33%), Population Growth Positive Allometry III (24.32%) and Population Shrinkage Negative Allometry I (23.53%). The zone is the center of regional economic activities and has formed the Taiyuan Urban Agglomeration and Guanzhong Plain Urban Agglomeration. In general, this zone is experiencing accelerated non-agriculturalization of the rural population and rapid expansion of construction land. With Xi’an, Linfen, Taiyuan and other prefecture-level cities as the core, a series of “city building campaigns” led to a large number of cultivated land being turned into construction land. What is more, it has significant destructive power on the evolution of the town system.
- (4)
- The allometry type of the zone of Rocky Mountain Area is dominated by Population Shrinkage Positive Allometry III and II (accounting for 44.35 and 25.78% of the towns, respectively). The towns of these two allometry types are mainly distributed in the mountainous areas in the middle and north of Taihang Mountain, where hills are widely distributed, and there are few plains. Since Jincheng, Changzhi, Yangquan and other cities have coal resources, since the 1990s, local people have been engaged in agriculture and industry at the same time. For example, the non-agricultural employment rate of the rural population in Qinshui County has been maintained at about 35%. In the context of ecological environment governance, the merger and abandonment of small-scale enterprises led to a large amount of construction land being in an idle state. The construction land is increasing while the population keeps decreasing leading to a notable phenomenon of a “hollow village”, and the outflow population in this zone generally gathers in the county town.
- (5)
- The zone of the Irrigated Agricultural Area is mainly composed of the Ningxia Yellow River Irrigation Areas and Inner Mongolia Hetao Plain Irrigation Areas, within which the water source is sufficient and large oases and agricultural irrigation areas are widespread. The dominant allometry types of this zone are Population Growth Positive AllometryII, and Population Growth Negative Allometry II and I (accounting for 11.33, 7.79 and 8.79% of the towns, respectively). Due to the existence of the urban agglomeration along the Yellow River in Ningxia and the Hohhot–Baotou-Ordo urban agglomeration, the construction land is mounting up steadily, such as the famous “ghost town” phenomenon.
- (6)
- The Sandy and Desert Area is distributed in the hinterland of the Ordos Plateau with the Mu Us Desert being the dominant geomorphic unit. The main allometry types of this zone are Population Growth Positive Allometry I, Population Shrinkage Positive Allometry I and Population Growth Positive Allometry II (accounting for 4.55, 3.08 and 2.67% of the towns, respectively). Due to the development of coal resources, the construction land in Ordos, which borders Shaanxi, has increased significantly and faster than the population.
3.4. The Zones of Construction Land Consolidation and Consolidation Suggestions
4. Discussion
5. Conclusions
- (1)
- The majority of the towns in the Loess Plateau have small and medium-sized populations, and 62% of the towns in this area experience a reduction in population size. Geographically, the overall distribution pattern of the population sizes is “small in the north and large in the south”, and the population is concentrated in the Valley Plain; 96% of the towns show an increment in construction land, and the distribution pattern of construction land quantity is “large in the south and north but small in the middle”; the construction land is concentrated in the Valley Plain and Sandy and Desert Area.
- (2)
- This paper confirms that the rank-size distributions of both population and construction land comply with the power-law relation. The whole town hierarchic system of the Loess Plateau is gradually tending to the optimal distribution, there is evidence of the transition of the population hierarchy from equilibrium to concentration, that is, the population tends to concentrate in high-level towns. Contrarily, the hierarchy of construction land shows an opposite pattern. The Zipf coefficient of construction land is always greater than the Zipf coefficient of the population, indicating that construction land is more concentrated than the population. What is more, this result is significantly different in each geographical zone; the zone of Valley Plain has the most balanced distribution of population and construction land; the town hierarchic system has not yet formed an ideal sequence structure.
- (3)
- Based on the allometric scaling coefficient of population and construction land, 10 allometric types are divided. The major allometric type is positive allometry. From the results of cross-sectional allometry, the population-construction land relationship of the town system hierarchic on the Loess Plateau obeys the allometric scaling law for a long time, and the allometric scaling coefficient is in a reasonable range, which means that the human–land relationship tends to be coordinated, and the town system tends to be reasonable. However, this result is not stable in different geographical zones, especially in the zone of Irrigated Agricultural Area, where the human–land relationship is the most uncoordinated. From the results of longitudinal allometry, 90% of the town population and construction land are weakly coordinated. The reason is that the impact of the natural environment is long-term and stable, and the changes that do not follow the allometric scaling law are mainly related to socio-economic factors.
- (4)
- The consolidation potential of construction land is divided into five types: High Consolidation Potential Area I, High Consolidation Potential Area II, Medium Consolidation Potential Area, Low Consolidation Potential Area, and Human–Land Coordination Area. The overall spatial feature of potential areas is “high in the east and low in the west”. According to the spatial distribution of different types, the corresponding suggestions for the consolidation of construction land are put forward.
Author Contributions
Funding
Institutional Review Board Statement
Informed Consent Statement
Data Availability Statement
Conflicts of Interest
References
- Yao, Z.; Wang, B.; Huang, J.; Zhang, Y.; Yang, J.; Deng, R.; Yang, Q. Analysis of land use changes and driving forces in the Yanhe River Basin from 1980 to 2015. J. Sens. 2021, 2021, 061102. [Google Scholar] [CrossRef]
- Long, H.; Zhang, Y.; Tu, S. Rural vitalization in China: A perspective of land consolidation. J. Geogr. Sci. 2019, 4, 517–530. [Google Scholar] [CrossRef]
- Sun, H.; Liu, Y.; Xu, K. Hollow villages and rural restructuring in major rural regions of China: A case study of Yucheng City, Shandong Province. Chin. Geogr. Sci. 2011, 21, 354–363. [Google Scholar] [CrossRef]
- Liu, Y.; Li, Y. Revitalize the world’s countryside. Nature 2017, 548, 275–277. [Google Scholar] [CrossRef]
- Liu, Y.; Fang, F.; Li, Y. Key issues of land use in China and implications for policy making. Land Use Policy 2014, 40, 6–12. [Google Scholar] [CrossRef]
- Jiang, Y.; Long, H.; Tang, Y. Land consolidation and rural vitalization: A perspective of land use multifunctionality. Prog. Geogr. 2021, 40, 487–497. [Google Scholar] [CrossRef]
- Hersperger, A.M.; Oliveira, E.; Pagliarin, S.; Palka, G.; Verburg, P.; Bolliger, J.; Gradinaru, S. Urban land-use change: The role of strategic spatial planning. Global Environ. Chang. 2018, 51, 32–42. [Google Scholar] [CrossRef]
- Xu, X.; Chen, Q.; Zhu, Z. Evolutionary Overview of Land Consolidation Based on Bibliometric Analysis in Web of Science from 2000 to 2020. Int. J. Environ. Res. Public Health 2022, 19, 3218. [Google Scholar] [CrossRef]
- Lin, Y.; Chen, D. Functional Zoning and Path Selection of Land Comprehensive Consolidation Based on Grey Constellation Clustering: A Case Study of Dongying City, China. Int. J. Environ. Res. Public Health 2022, 19, 6407. [Google Scholar] [CrossRef]
- Fan, Y.; Jin, X.; Zhang, X.; Sun, Y.; Han, B. Mechanism Analysis and Case Study of Comprehensive Land Consolidation from the Perspective of Rural Restructuring. Chin. Land Sci. 2018, 32, 73–80. [Google Scholar]
- Li, T.; Long, H.; Wang, Y.; Tu, S. The spatio-temporal characteristics and consolidation potential of rural housing land in farming area of the Huang-Huai-Hai Plain: The cases of five villages in Yucheng city. J. Nat. Resour. 2020, 35, 2241–2253. [Google Scholar] [CrossRef]
- Gao, Y.; Zhang, F.; Hao, J.; Zhang, B.; Zhou, J. Consolidation sequence of rural residential land, based on consolidation potential and urgency degree. Resour. Sci. 2016, 38, 185–195. [Google Scholar]
- Bahar, S.K.; Kirmikil, M. The evaluation of agricultural landowner inputs before and after land consolidation: The Kesik Village example. Land Use Policy 2021, 109, 105605. [Google Scholar] [CrossRef]
- Cui, J.; Kong, X.; Liu, Y.; Wang, S. Spatio-temporal variation of agricultural land consolidation in China: Case study of Huangshi, Hubei Province. J. Maps. 2016, 12, 493–497. [Google Scholar] [CrossRef]
- Fang, Y.; Shi, K.; Niu, C. A comparison of the means and ends of rural construction land consolidation: Case studies of villagers’ attitudes and behaviours in Changchun City, Jilin province, China. J. Rural Stud. 2016, 47, 459–473. [Google Scholar] [CrossRef]
- Nguyen, T.H.T.; Thai, T.Q.N.; Tran, V.T.; Pham, T.P.; Doan, Q.C.; Vu, K.H.; Doan, H.G.; Bui, Q.T. Land Consolidation at the Household Level in the Red River Delta, Vietnam. Land 2020, 9, 196. [Google Scholar] [CrossRef]
- Wang, Y.; Li, Y. Promotion of degraded land consolidation to rural poverty alleviation in the agro-pastoral transition zone of northern China. Land Use Policy 2019, 88, 104114. [Google Scholar] [CrossRef]
- Zhou, X.; Shen, D.; Gu, X. Influences of Land Policy on Urban Ecological Corridors Governance: A Case Study from Shanghai. Int. J. Environ. Res. Public Health 2022, 19, 974712. [Google Scholar] [CrossRef]
- Zhou, Z.; Liu, D.; Sun, Y.; He, J. Predicting joint effects of multiple land consolidation strategies on ecosystem service interactions. Environ. Sci. Pollut. R. 2022, 29, 37234–37247. [Google Scholar] [CrossRef]
- Rybicki, R. Environmental Effects of Reducing Land Fragmentation in Land Consolidation at West Roztocze at the Slope Scale. J. Ecol. Eng. 2021, 22, 241–249. [Google Scholar] [CrossRef]
- Balawejder, M.; Matkowska, K.; Rymarczyk, E. Effects of land consolidation in Southern Poland. Acta Sci. Pol. Adm. Locorum 2021, 20, 269–282. [Google Scholar] [CrossRef]
- Guo, B.; Fang, Y.; Jin, X.; Zhou, Y. Monitoring the effects of land consolidation on the ecological environmental quality based on remote sensing: A case study of Chaohu Lake Basin, China. Land Use Policy 2020, 95, 104569. [Google Scholar] [CrossRef]
- Janus, J.; Taszakowski, J. Spatial differentiation of indicators presenting selected barriers in the productivity of agricultural areas: A regional approach to setting land consolidation priorities. Ecol. Indic. 2018, 93, 718–729. [Google Scholar] [CrossRef]
- Allahyari, M.S.; Damalas, C.A.; Masouleh, Z.D.; Ghorbani, M. Land consolidation success in paddy fields of northern Iran: An assessment based on farmers’ satisfaction. Land Use Policy 2018, 73, 95–101. [Google Scholar] [CrossRef]
- Dudzińska, M.; Bacior, S.; Prus, B. Considering the level of socio-economic development of rural areas in the context of infrastructural and traditional consolidations in Poland. Land Use Policy 2018, 79, 759–773. [Google Scholar] [CrossRef]
- Wójcik-Lén, J.; Sobolewska-Mikulska, K.; Sajnóg, N.; Lén, P. The idea of rational management of problematic agricultural areas in the course of land consolidation. Land Use Policy 2018, 78, 36–45. [Google Scholar] [CrossRef]
- Janus, J.; Ertunç, E. Differences in the effectiveness of land consolidation projects in various countries and their causes: Examples of Poland and Turkey. Land Use Policy 2021, 108, 105542. [Google Scholar] [CrossRef]
- Sagaydak, A.; Sagaydak, A. Agricultural land consolidation vs. land fragmentation in Russia. Int. J. Eng. Geosci. 2021, 7, 128–141. [Google Scholar] [CrossRef]
- Postek, P.; Lén, P.; Strek, Z. The proposed indicator of fragmentation of agricultural land. Ecol. Indic. 2019, 103, 581–588. [Google Scholar] [CrossRef]
- Zhao, J.; Chen, Y.; Li, S. Bi-fractal structure and evolution of the Beijing-Tianjin-Hebei region urban land-use patterns. Prog. Geogr. 2019, 28, 77–87. [Google Scholar]
- Qiu, B. Significance, mistakes and policies to the renovations of rural villages in China. Urban Dev. Stud. 2006, 13, 1–6. (In Chinese) [Google Scholar]
- He, Y.; Chen, Y.; Yao, Y.; Wei, N.; Xu, X.; Tang, P.; Yu, Q. Commentary on Study Methodology of Rural Residential Land Consolidation Potential. Geogr. Geo-Inf. Sci 2008, 24, 80–83. (In Chinese) [Google Scholar]
- Li, X.; Hu, Y. Research on potential zoning and realization path of rural construction land consolidation in China. Chin. J. Agric. Resour. Reg. Plan. 2021, 42, 69–78. (In Chinese) [Google Scholar]
- Xiao, P.; Zhao, C.; Zhou, Y.; Feng, H.; Li, X.; Jiang, J. Study on Land Consolidation Zoning in Hubei Province Based on the Coupling of Neural Network and Cluster Analysis. Land 2021, 10, 756. [Google Scholar] [CrossRef]
- Xu, Z.; Jiao, L.; Jia, Q.; Lei, W.; Lan, T.; Zhao, R.; Xu, G. Assessment of multidimensional performance for Chinese cities based on urban scaling law. Geogr. Res. 2021, 40, 1596–1609. [Google Scholar]
- He, Q.; Tan, S.; Yin, C.; Zhou, M. Collaborative optimization of rural residential land consolidation and urban construction land expansion: A case study of Huangpi in Wuhan, China. Comput. Environ. Urban 2019, 74, 218–228. [Google Scholar] [CrossRef]
- Chen, Y. The spatial meaning of Pareto’s scaling exponent of city- size distributions. Fractals 2014, 22, 1450001. [Google Scholar] [CrossRef]
- Song, W.; Chen, B.; Chen, X. Theoretical and empirical analysis of potential calculation model for rural habitat consolidation. Trans. CSAE 2008, 24, 1–5. (In Chinese) [Google Scholar]
- Zhang, M.; Wang, X.; Zhang, Z.; Zhao, X. Assessing the Potential of Rural Settlement Land Consolidation in China: A Method Based on Comprehensive Evaluation of Restricted Factors. Sustainability 2018, 10, 3102. [Google Scholar] [CrossRef]
- Yang, Y.; Li, Y.; Huang, Q. Comparison on spatio-temporal dynamics of urban land and population size distribution in China: A case study of the Bohai Rim. Geogr. Res. 2021, 40, 1596–1609. [Google Scholar]
- Naroll, R.S.; Bertalanffy, V.L. The principle of allometry in biology and social sciences. Gen. Syst. Yearb. 1956, 1, 76–89. [Google Scholar]
- Bettercourt, L.M.A. The origins of scaling in cities. Science 2013, 340, 1438–1441. [Google Scholar] [CrossRef] [PubMed]
- Bettercourt, L.M.A.; Lebo, J.; Helbing, D.; Kuehnert, C.; West, G.B. Growth innovation, scaling, and the pace of life in cities. Proc. Natl. Acad. Sci. USA 2007, 104, 7301–7306. [Google Scholar] [CrossRef] [PubMed]
- Batty, M. A theory of city size. Science 2013, 340, 1418–1419. [Google Scholar] [CrossRef]
- Batty, M. The size, scale, and shape of cities. Science 2008, 319, 769–771. [Google Scholar] [CrossRef]
- Chen, Y. The rise, fall, and revival process of allometric scaling analysis in urban studies. Geogr. Res. 2013, 32, 1033–1045. [Google Scholar]
- Lv, M.; Cao, X. Allometric scaling analysis of population and accessibility on the Loess Plateau from 1980 to 2016. Prog. Geogr. 2020, 39, 1884–1897. [Google Scholar] [CrossRef]
- Chen, Y.; Zhang, L. An allometric analysis of the scaling relations between population and urban area of Xinyang. Prog. Geogr. 2014, 33, 1058–1067. [Google Scholar]
- Hong, J.; Guo, B.; Fu, Y.; Nie, H. Analytical method for man-land coupling allometric growth under the background of new-type urbanization. J. Geo-Inf. Sci. 2020, 22, 1049–1062. [Google Scholar]
- Chen, Y.; Feng, J. A hierarchical allometric scaling analysis of Chines cities: 1991–2014. Discret. Dyn. Nat. Soc. 2017, 2017, 5243287. [Google Scholar] [CrossRef]
- Long, Y.; Chen, Y. Multi-scaling allometric analysis of the Beijing-Tianjin-Hebei urban system based on nighttime light data. Prog. Geogr. 2019, 38, 88–100. [Google Scholar]
- Zhou, J.; Cao, X. What is the policy improvement of China’s land consolidation? Evidence from completed land consolidation projects in Shaanxi Province. Land Use Policy 2022, 99, 104847. [Google Scholar] [CrossRef]
- Cao, Y.; Kong, L.; Zhang, L.; Ouyang, Z. The balance between economic development and ecosystem service value in the process of land urbanization: A case study of china’s land urbanization from 2000 to 2015. Land Use Policy 2021, 108, 105536. [Google Scholar] [CrossRef]







| Type | Criteria | Allometric Levels | Description | Consolidation Zone |
|---|---|---|---|---|
| Positive Allometry | Population Shrinkage Positive Allometry III | The relative growth rate of construction land is much higher than the relative decline rate of the population | High Consolidation Potential I | |
| Population Shrinkage Positive Allometry II | The relative growth rate of construction land is higher than the relative decline rate of the population | High Consolidation Potential I | ||
| Population Shrinkage Positive Allometry I | The relative growth rate of construction land is less high than the relative decline rate of the population | High Consolidation Potential I | ||
| Negative Allometry | Population Shrinkage Negative Allometry I | The relative decline rate of the population is less high than the relative growth rate of construction land | Medium Consolidation Potential | |
| Population Shrinkage Negative Allometry II | The relative decline rate of the population is higher than the relative growth rate of construction land | Medium Consolidation Potential | ||
| Population Growth Negative Allometry II | The relative growth rate of the population is higher than the relative growth rate of construction land | Low Consolidation Potential | ||
| Population Growth Negative Allometry I | The relative growth rate of population is coordinated with the relative growth rate of construction land | Human–land Coordination | ||
| Positive Allometry | Population Growth Positive Allometry I | The relative growth rate of construction land is coordinated with the relative growth rate of the population | Human–land Coordination | |
| Population Growth Positive Allometry II | The relative growth rate of construction land is higher than the relative growth rate of the population | High Consolidation Potential II | ||
| Population Growth Positive Allometry III | The relative growth rate of construction land is much higher than the relative growth rate of the population | High Consolidation Potential II |
| Year | The Loess Plateau | Valley Plain | Gullied Loess Plateau | Loess Hilly and Gully Area | Irrigated Agricultural Area | Rocky Mountain Area | Sandy and Desert Area |
|---|---|---|---|---|---|---|---|
| 2000 | 1.4404 | 1.3845 | 1.3912 | 1.1682 | 0.6321 | 1.3642 | 0.7999 |
| 2010 | 1.1644 | 1.0429 | 1.331 | 0.9752 | 0.3828 | 0.9671 | 0.8551 |
| 2017 | 0.9666 | 0.9696 | 1.2688 | 0.6754 | 0.3007 | 0.8350 | 1.058 |
Publisher’s Note: MDPI stays neutral with regard to jurisdictional claims in published maps and institutional affiliations. |
© 2022 by the authors. Licensee MDPI, Basel, Switzerland. This article is an open access article distributed under the terms and conditions of the Creative Commons Attribution (CC BY) license (https://creativecommons.org/licenses/by/4.0/).
Share and Cite
Lv, M.; Chen, Z.; Yao, L.; Dang, X.; Li, P.; Cao, X. Potential Zoning of Construction Land Consolidation in the Loess Plateau Based on the Evolution of Human–Land Relationship. Int. J. Environ. Res. Public Health 2022, 19, 14927. https://doi.org/10.3390/ijerph192214927
Lv M, Chen Z, Yao L, Dang X, Li P, Cao X. Potential Zoning of Construction Land Consolidation in the Loess Plateau Based on the Evolution of Human–Land Relationship. International Journal of Environmental Research and Public Health. 2022; 19(22):14927. https://doi.org/10.3390/ijerph192214927
Chicago/Turabian StyleLv, Minjuan, Zhiting Chen, Lingling Yao, Xiaohu Dang, Peng Li, and Xiaoshu Cao. 2022. "Potential Zoning of Construction Land Consolidation in the Loess Plateau Based on the Evolution of Human–Land Relationship" International Journal of Environmental Research and Public Health 19, no. 22: 14927. https://doi.org/10.3390/ijerph192214927
APA StyleLv, M., Chen, Z., Yao, L., Dang, X., Li, P., & Cao, X. (2022). Potential Zoning of Construction Land Consolidation in the Loess Plateau Based on the Evolution of Human–Land Relationship. International Journal of Environmental Research and Public Health, 19(22), 14927. https://doi.org/10.3390/ijerph192214927

