Cooling Effect of Green Space and Water on Urban Heat Island and the Perception of Residents: A Case Study of Xi’an City
Abstract
1. Introduction
2. Materials and Methods
2.1. Study Area
2.2. Data Sources
2.3. Interpretation Landscape Types
2.4. Land Surface Temperature Retrieval
3. Results
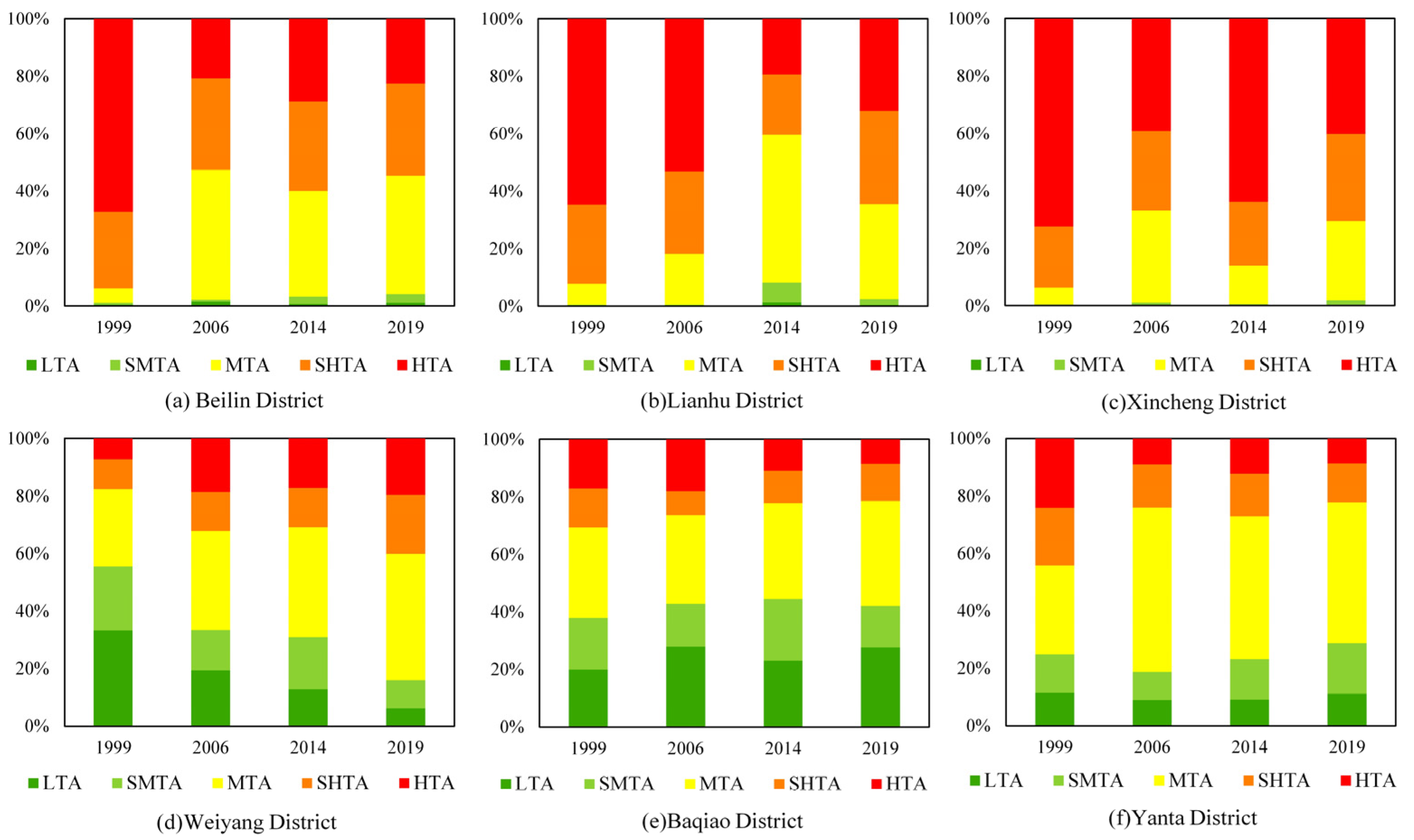
3.1. Spatiotemporal Evolution of UHI
3.2. Migration of the UHI Center
3.3. Evaluation of Cooling Effect of Green Space and Water in Urban Parks
4. Discussion
4.1. Correlation between Landscape Pattern and LST
4.2. Residents’ Perceptions of the Cooling Effect of Green Space and Water
4.3. Comparison between Remote Sensing Inversion and Residents’ Perceptions
4.4. Limitations and Future Research Directions
5. Conclusions
Supplementary Materials
Author Contributions
Funding
Institutional Review Board Statement
Informed Consent Statement
Data Availability Statement
Conflicts of Interest
References
- Grimm, N.B.; Faeth, S.H.; Golubiewski, N.E.; Redman, C.L.; Wu, J.; Bai, X.; Briggs, J.M. Global change and the ecology of cities. Science 2008, 319, 756–760. [Google Scholar] [CrossRef] [PubMed]
- Peng, J.; Ma, J.; Liu, Q.Y.; Liu, Y.X.; Hu, Y.N.; Li, Y.R.; Yue, Y.M. Spatial-temporal change of land surface temperature across 285 cities in China: An urban-rural contrast perspective. Sci. Total Environ. 2018, 635, 487–497. [Google Scholar] [CrossRef] [PubMed]
- Peng, S.L.; Zhou, K.; Ye, Y.H.; Su, J. Research progress in urban heat island. Ecol. Environ. 2005, 14, 574–579. [Google Scholar] [CrossRef]
- Voogt, J.A.; Oke, T.R. Thermal remote sensing of urban climates. Remote Sens. Environ. 2003, 86, 370–384. [Google Scholar] [CrossRef]
- Chen, L.D.; Sun, R.H.; Liu, H.L. Eco-environmental effects of urban landscape pattern changes: Progresses, problems, and perspectives. Acta Ecol. Sin. 2013, 33, 1042–1050. [Google Scholar] [CrossRef]
- Oke, T.R. The heat island of the urban boundary layer: Characteristics, causes and effects. In Wind Climate in Cities; Cermak, J.E., Davenport, A.G., Plate, E.J., Viegas, D.X., Eds.; Springer: Dordrecht, The Netherlands, 1995; Volume 277, pp. 81–107. [Google Scholar] [CrossRef]
- Hu, L.Q.; Brunsell, N.A. The impact of temporal aggregation of land surface temperature data for surface urban heat island (SUHI) monitoring. Remote Sens. Environ. 2013, 134, 162–174. [Google Scholar] [CrossRef]
- Zhou, W.Q.; Wang, J.; Cadenasso, M.L. Effects of the spatial configuration of trees on urban heat mitigation: A comparative study. Remote Sens. Environ. 2017, 195, 1–12. [Google Scholar] [CrossRef]
- Yu, Z.W.; Guo, Q.H.; Sun, R.H. Impacts of urban cooling effect based on landscape scale: A review. Chin. J. Appl. Ecol. 2015, 26, 636–642. [Google Scholar] [CrossRef]
- Peng, J.; Xie, P.; Liu, Y.X.; Ma, J. Urban thermal environment dynamics and associated landscape pattern factors: A case study in the Beijing metropolitan region. Remote Sens. Environ. 2016, 173, 145–155. [Google Scholar] [CrossRef]
- Sun, R.H.; Lü, Y.H.; Yang, X.J.; Chen, L.D. Understanding the variability of urban heat islands from local background climate and urbanization. J. Clean Prod. 2019, 208, 743–752. [Google Scholar] [CrossRef]
- Li, X.M.; Zhou, W.Q. Optimizing urban greenspace spatial pattern to mitigate urban heat island effects: Extending understanding from local to the city scale. Urban For. Urban Gree. 2019, 41, 255–263. [Google Scholar] [CrossRef]
- Yu, Z.W.; Yang, G.Y.; Zuo, S.D.; Jørgensen, G.; Koga, M.; Vejre, H. Critical review on the cooling effect of urban blue-green space: A threshold-size perspective. Urban For. Urban Gree. 2020, 49, 126630. [Google Scholar] [CrossRef]
- Kong, F.H.; Yin, H.W.; Liu, J.Y.; Yan, W.J.; Sun, C.F. A review of research on the urban green space cooling effect. J. Nat. Resour. 2013, 28, 171–181. [Google Scholar] [CrossRef]
- Peng, S.J.; Feng, Z.L.; Liao, H.X.; Huang, B.; Peng, S.L.; Zhou, T. Spatial-temporal pattern of, and driving forces for, urban heat island in China. Ecol. Indic. 2019, 96, 127–132. [Google Scholar] [CrossRef]
- Du, H.Y.; Wang, D.D.; Wang, Y.Y.; Zhao, X.; Qin, F.; Jiang, H.; Cai, Y. Influences of land cover types, meteorological conditions, anthropogenic heat and urban area on surface urban heat island in the Yangtze River Delta Urban Agglomeration. Sci. Total Environ. 2016, 571, 461–470. [Google Scholar] [CrossRef]
- Yang, G.Y.; Yu, Z.W.; Jrgensen, G.; Vejre, H. How can urban blue-green space be planned for climate adaption in high-latitude cities? A seasonal perspective. Sustain. Cities Soc. 2020, 53, 101932. [Google Scholar] [CrossRef]
- Wang, J.; Zhou, W.Q.; Jiao, M.; Zheng, Z.; Ren, T.; Zhang, Q.M. Significant effects of ecological context on urban tree’s cooling efficiency. ISPRS J. Photogramm. 2020, 159, 78–89. [Google Scholar] [CrossRef]
- Zhen, G.X.; Zhao, J.H.; Zhang, Y.; Chen, C.; Ban, J.; Li, T.T. Heat wave perception and its influencing factors in Shunyi District, Beijing. J. Hyg. Res. 2015, 44, 684–688. [Google Scholar] [CrossRef]
- Ye, S.L.; Qi, X.H.; Cheng, Y.; Lin, R.P. A study on the perception of heat waves among urban residents: Based on a survey in Fuzhou. Acta Ecol. Sin. 2015, 35, 6814–6820. [Google Scholar] [CrossRef]
- Huang, X.J.; Qi, M.Y.; Zhao, K.X.; Zheng, D.Y.; Liu, M.M. Assessment of population vulnerability to heat stress and spatial differentiation in Xi’an. Geogr. Res. 2021, 40, 1684–1700. [Google Scholar] [CrossRef]
- Xie, P.; Wang, Y.L.; Peng, J.; Liu, Y.X. Health related urban heat wave vulnerability assessment: Research progress and framework. Prog. Geogr. 2015, 34, 165–174. [Google Scholar] [CrossRef]
- Zhao, L.; Wang, C.K.; Li, X.D.; Chen, P. Public perceptions of heat wave and its impacts and adaptation for different people groups in Hainan. J. Arid Meteorol. 2015, 33, 310–316. [Google Scholar] [CrossRef]
- Qin, Y.M.; Liu, K.; Wang, Y.J. Ecological functions of green land system in Xi’an. Chin. J. Ecol. 2006, 25, 135–139. [Google Scholar] [CrossRef]
- Gu, M.M.; Hei, W.Y.; Li, C.C.; Lu, G.Z. Treatment methods and research on reginal integration based on data of the Landsat images mosaic. J. Geomat. 2018, 43, 55–58. [Google Scholar] [CrossRef]
- Shen, W.M.; Wang, W.J.; Luo, H.J.; Zhang, F.; Liu, X.M.; Xiong, W.C. Classification methods of remote sensing image based on decision tree technologies. Remote Sens. Tech. Appl. 2007, 22, 333–338. [Google Scholar] [CrossRef]
- Feyisa, G.L.; Meilby, H.; Fensholt, R.; Proud, S.R. Automated Water Extraction Index: A new technique for surface water mapping using Landsat imagery. Remote Sens. Environ. 2014, 140, 23–35. [Google Scholar] [CrossRef]
- Zhang, T.; Wang, Y.L.; Liu, Y.X.; Peng, J. Multi-temporal detection of landscape evolution in western Shenzhen City during 1987–2015. Acta Geogr. Sin. 2016, 71, 2170–2184. [Google Scholar] [CrossRef]
- Naserikia, M.; Shamsabadi, E.A.; Rafieian, M.; Walter, L.F. The urban heat island in an urban context: A case study of Mashhad, Iran. Int. J. Environ. Res. Public Health. 2019, 16, 313. [Google Scholar] [CrossRef]
- Oupa, E.M. Inland waterbody mapping: Towards improving discrimination and extraction of inland surface water features. Int. J. Remote Sens. 2016, 37, 4574–4589. [Google Scholar] [CrossRef]
- Zha, Y.; Gao, J.; Ni, S. Use of normalized difference built-up index in automatically mapping urban areas from TM imagery. Int. J. Remote Sens. 2003, 24, 583–594. [Google Scholar] [CrossRef]
- Liu, Y.X.; Peng, J.; Wang, Y.L. Diversification of land surface temperature change under urban landscape renewal: A case study in the main city of Shenzhen, China. Remote Sens. 2017, 9, 919. [Google Scholar] [CrossRef]
- Barsi, J.A.; Schott, J.R.; Palluconi, F.D.; Hook, S.J. Validation of a web-based atmospheric correction tool for single thermal band instruments. Earth Obs. Syst. X SPIE 2005, 5882, 136–142. [Google Scholar] [CrossRef]
- Ding, H.Y.; Shi, H.C. Detection and changing analysis of the urban heat islands based on the Landsat data—By taking Nanjing City as a case study sample. J. Saf. Environ. 2018, 18, 2033–2044. [Google Scholar] [CrossRef]
- Shen, Z.J.; Zeng, J. Spatial relationship of urban development to land surface temperature in three cities of southern Fujian. Acta Geogr. Sin. 2021, 76, 566–583. [Google Scholar] [CrossRef]
- Shen, Q.X.; Li, C.G.; Ma, Z.P.; Zhou, G.L.; Hu, S.J. The expansion of the functional space of Changchun City based on service space. Sci. Geogr. Sin. 2016, 36, 274–282. [Google Scholar] [CrossRef]
- Qi, Y.J.; Yang, Y.; Jin, F.J. China’s economic development stage and its patio-temporal evolution: A prefectural-level analysis. Acta Geogr. Sin. 2013, 68, 517–531. [Google Scholar] [CrossRef]
- Reply of the State Council on approving the relocation of the resident of the People’s Government of Xi’an, Shaanxi Province. Gaz. State Counc. People’s Repub. China 2006, 18, 48.
- Li, Y.; Pan, J.H. Spatial-temporal pattern of thermal environment and cooling effect of parks in summer of Xi’an. Environ. Sci. Technol. 2017, 40, 15–26. [Google Scholar] [CrossRef]
- Chen, B.; Xu, S.Z.; Yang, D.; Wang, H.Z. Thermal environmental effects of park landscape of main urban region in Wuhan. Remote Sens. Inform. 2021, 36, 58–66. [Google Scholar] [CrossRef]
- Zhang, X.D.; Zhao, Y.X.; Ma, F.H.; Liu, N.J.; Zhang, Y.; Zhu, X.D.; Wu, W.Z. Analysis on cooling effect of urban parks on urban thermal environment in Yinchuan City based on remote sensing. Bull. Soil Water Conserv. 2021, 41, 338–347. [Google Scholar] [CrossRef]
- Vitek, J.D.; Berta, S.M. Improving perception of and response to natural hazards: The need for local education. J. Geogr. 1982, 81, 225–228. [Google Scholar] [CrossRef]
- Toan do, T.T.; Kien, V.D.; Bao, G.K.; Minh, H.V.; Wright, P. Perceptions of climate change and its impact on human health: An integrated quantitative and qualitative approach. Glob. Health Action 2014, 7, 23025. [Google Scholar] [CrossRef] [PubMed]
- Jin, X.X.; Zhang, C.W.; Li, L.B.; Qi, X.; Pan, D.L.; Qi, X.H. The influence of heat waves on the exercise behavior of urban residents: Based on 563 questionnaires. J. Fujian Norm. Univ. 2017, 33, 100–108. [Google Scholar] [CrossRef]






| Data Type | Dataset | Temporal Resolution | Spatial Resolution | Acquisition Date |
|---|---|---|---|---|
| Remote sensing images | Landsat 5 TM images | 16-day | 30 m for bands 1–5 and 7; 120 m for band 6 | 22 August 1999, 9 August 2006 |
| Landsat8 OLI/TIRS images | 16-day | 30 m for bands 1–7 and 9; 15 m for band 8; 100 m for bands 10–11 | 15 August 2014, 13 August 2019 | |
| Vector datasets | Administrative boundaries of Xi’an City | / | / | 2015 |
| Field survey sites | / | / | July 2021 | |
| Questionnaires | 325 valid questionnaires obtained from investigation | / | / | July 2021 |
| Type | LTA | SMTA | MTA | SHTA | HTA | Total |
|---|---|---|---|---|---|---|
| LTA | / | 23.51 | 79.86 | 27.26 | 23.10 | 153.73 |
| SMTA | 16.91 | / | 64.30 | 22.80 | 17.46 | 121.46 |
| MTA | 33.54 | 30.64 | / | 38.16 | 29.57 | 131.90 |
| SHTA | 20.21 | 14.28 | 51.99 | / | 15.90 | 102.38 |
| HTA | 35.96 | 15.78 | 51.60 | 34.69 | / | 138.03 |
| Total | 106.61 | 84.21 | 247.75 | 122.92 | 86.02 | / |
| Name of Park | Inner Temperature | Cooling Intensity | Cooling Amplitude | Name of Park | Inner Temperature | Cooling Intensity | Cooling Amplitude |
|---|---|---|---|---|---|---|---|
| Park of Xingqing Palace | 33.95 | 4.25 | 180 | Xi’an Expo Park | 33.98 | 3.86 | 420 |
| Huancheng Park | 34.03 | 1.32 | 120 | Xi’an Expo Park (green space) | 34.49 | 3.43 | 420 |
| Huancheng Park (green space) | 35.36 | 1.18 | 120 | Xi’an Expo Park (water) | 33.58 | 4.22 | 450 |
| Huancheng Park (water) | 33.61 | 2.67 | 210 | Dayan Pagoda | 37.07 | 1.95 | 210 |
| Lianhu Park | 34.98 | 5.03 | 300 | Black Dragon Temple | 37.12 | 2.02 | 120 |
| Bell and Drum Tower Square | 39.82 | 0.47 | 210 | Qujiang Pool Heritage Park | 33.97 | 4.41 | 150 |
| Changle Park | 34.67 | 3.78 | 210 | Qujiang Pool Heritage Park (green space) | 34.11 | 4.02 | 150 |
| Hancheng Lake Park | 33.83 | 3.40 | 360 | Qujiang Pool Heritage Park (water) | 31.92 | 5.27 | 240 |
| Hancheng Lake Park (green space) | 33.98 | 3.14 | 360 | Qujiang Youth Park | 36.11 | 1.21 | 150 |
| Hancheng Lake Park (water) | 33.43 | 4.06 | 450 | Xi’an Botanical Garden | 33.77 | 2.00 | 150 |
| Kaiyuan Park | 36.41 | 1.32 | 90 |
| Category | Type | Getting Better (n (%)) | Unsureness (n (%)) | Getting Worse (n (%)) | χ2 | p |
|---|---|---|---|---|---|---|
| Age | <18 | 21 (8.82%) | 5 (7.46%) | 1 (5.00%) | 23.054 | 0.011 |
| 18–29 | 57 (23.95%) | 28 (41.79%) | 1 (5.00%) | |||
| 30–39 | 25 (10.50%) | 8 (11.94%) | 3 (15.00%) | |||
| 40–49 | 33 (13.87%) | 10 (14.93%) | 2 (10.00%) | |||
| 50–59 | 39 (16.39%) | 6 (8.96%) | 2 (10.00%) | |||
| ≥60 | 63 (26.47%) | 10 (14.93%) | 11 (55.00%) | |||
| Education | Junior high school and below | 50 (21.01%) | 7 (10.45%) | 7 (35.00%) | 16.790 | 0.032 |
| High school (secondary specialized school or vocational-technical college) | 66 (27.73%) | 11 (16.42%) | 6 (30.00%) | |||
| Junior college | 38 (15.97%) | 14 (20.90%) | 3 (15.00%) | |||
| Undergraduate | 76 (31.93%) | 29 (43.28%) | 3 (15.00%) | |||
| Postgraduate and above | 8 (3.36%) | 6 (8.96%) | 1 (5.00%) | |||
| Cooling equipment at home | None | 1 (0.42%) | 0 | 1 (5.00%) | 16.113 | 0.013 |
| One | 68 (28.57%) | 27 (40.30%) | 2 (10.00%) | |||
| Two | 40 (16.81%) | 12 (17.91%) | 2 (10.00%) | |||
| Three | 129 (54.20%) | 28 (41.79%) | 15 (75.00%) |
| Category | Type | Area Influences Cooling Effect (n (%)) | Area Does not Influence Cooling Effect (n (%)) | Unsure (n (%)) | χ2 | p |
|---|---|---|---|---|---|---|
| Gender | Male | 129 (50.19%) | 17 (56.67%) | 28 (73.68%) | 7.473 | 0.024 |
| Female | 128 (49.81%) | 13 (43.33%) | 10 (26.32%) | |||
| Education | Junior high school and below | 44 (17.12%) | 13 (43.33%) | 7 (18.42%) | 23.767 | 0.003 |
| High school (secondary specialized school or vocational-technical college) | 70 (27.24%) | 8 (26.67%) | 5 (13.16%) | |||
| Junior college | 41 (15.95%) | 4 (13.33%) | 10 (26.32%) | |||
| Undergraduate | 93 (36.19%) | 3 (10.00%) | 12 (31.58%) | |||
| Postgraduate and above | 9 (3.50%) | 2 (6.67%) | 4 (10.53%) | |||
| Occupation | Public institution | 18 (7.00%) | 0 | 6 (15.79%) | 30.045 | 0.018 |
| Company employee | 17 (6.61%) | 1 (3.33%) | 5 (13.16%) | |||
| Service industry | 14 (5.45%) | 1 (3.33%) | 1 (2.63%) | |||
| Student | 66 (25.68%) | 2 (6.67%) | 7 (18.42%) | |||
| Outdoor worker | 21 (8.17%) | 3 (10.00%) | 5 (13.16%) | |||
| Retiree | 73 (28.40%) | 9 (30.00%) | 6 (15.79%) | |||
| Individual business | 8 (3.11%) | 3 (10.00%) | 1 (2.63%) | |||
| Unemployed | 15 (5.84%) | 5 (16.67%) | 5 (13.16%) | |||
| Other | 25 (9.73%) | 6 (20.00%) | 2 (5.26%) | |||
| Income | Under CNY 2000 | 57 (30.65%) | 6 (28.57%) | 8 (33.33%) | 15.620 | 0.048 |
| CNY 2000–4000 | 51 (27.42%) | 9 (42.86%) | 2 (8.33%) | |||
| CNY 4000–6000 | 44 (23.66%) | 2 (9.52%) | 3 (12.50%) | |||
| CNY 6000–8000 | 19 (10.22%) | 2 (9.52%) | 6 (25.00%) | |||
| Over CNY 8000 | 15 (8.06%) | 2 (9.52%) | 5 (20.83%) |
| Category | Type | Shape Influences Cooling Effect (n (%)) | Shape Does not Influence Cooling Effect (n (%)) | Unsure (n (%)) | χ2 | p |
|---|---|---|---|---|---|---|
| Occupation | Public institutions | 7 (5.26%) | 9 (7.20%) | 8 (11.94%) | 26.452 | 0.048 |
| Company employee | 6 (4.51%) | 9 (7.20%) | 8 (11.94%) | |||
| Service industry | 9 (6.77%) | 6 (4.80%) | 1 (1.49%) | |||
| Student | 41 (30.83%) | 19 (15.20%) | 15 (22.39%) | |||
| Outdoor worker | 11 (8.27%) | 13 (10.40%) | 5 (7.46%) | |||
| Retiree | 31 (23.31%) | 41 (32.80%) | 16 (23.88%) | |||
| Individual business | 4 (3.01%) | 7 (5.60%) | 1 (1.49%) | |||
| Unemployed | 9 (6.77%) | 13 (10.40%) | 3 (4.48%) | |||
| Other | 15 (11.28%) | 8 (6.40%) | 10 (14.93%) | |||
| Housing types | Not top floor of apartment building | 90 (67.67%) | 99 (79.20%) | 53 (79.10%) | 16.500 | 0.036 |
| Top floor of apartment building | 20 (15.04%) | 17 (13.60%) | 2 (2.99%) | |||
| Flat building | 16 (12.03%) | 9 (7.20%) | 8 (11.94%) | |||
| Villa | 3 (2.26%) | 0 | 1 (1.49%) | |||
| Other | 4 (3.01%) | 0 | 3 (4.48%) |
Publisher’s Note: MDPI stays neutral with regard to jurisdictional claims in published maps and institutional affiliations. |
© 2022 by the authors. Licensee MDPI, Basel, Switzerland. This article is an open access article distributed under the terms and conditions of the Creative Commons Attribution (CC BY) license (https://creativecommons.org/licenses/by/4.0/).
Share and Cite
Huang, R.; Yang, M.; Lin, G.; Ma, X.; Wang, X.; Huang, Q.; Zhang, T. Cooling Effect of Green Space and Water on Urban Heat Island and the Perception of Residents: A Case Study of Xi’an City. Int. J. Environ. Res. Public Health 2022, 19, 14880. https://doi.org/10.3390/ijerph192214880
Huang R, Yang M, Lin G, Ma X, Wang X, Huang Q, Zhang T. Cooling Effect of Green Space and Water on Urban Heat Island and the Perception of Residents: A Case Study of Xi’an City. International Journal of Environmental Research and Public Health. 2022; 19(22):14880. https://doi.org/10.3390/ijerph192214880
Chicago/Turabian StyleHuang, Rong, Mei Yang, Guohua Lin, Xiaoyan Ma, Xuan Wang, Qian Huang, and Tian Zhang. 2022. "Cooling Effect of Green Space and Water on Urban Heat Island and the Perception of Residents: A Case Study of Xi’an City" International Journal of Environmental Research and Public Health 19, no. 22: 14880. https://doi.org/10.3390/ijerph192214880
APA StyleHuang, R., Yang, M., Lin, G., Ma, X., Wang, X., Huang, Q., & Zhang, T. (2022). Cooling Effect of Green Space and Water on Urban Heat Island and the Perception of Residents: A Case Study of Xi’an City. International Journal of Environmental Research and Public Health, 19(22), 14880. https://doi.org/10.3390/ijerph192214880

