The Role of Portable Air Purifiers and Effective Ventilation in Improving Indoor Air Quality in University Classrooms
Abstract
1. Introduction
2. Methods
2.1. Measurement Sites and Protocol
2.2. Instrumentation
2.3. Additional Calculations
2.3.1. Indoor Particle Penetration (P) in the Set of Classrooms
2.3.2. Air Purifier’s Efficiency in Classroom 3
3. Results and Discussion
3.1. Indoor Monitoring of PM, PN, and CO2 Concentrations in the Set of Classrooms
3.1.1. Indoor CO2 Levels
3.1.2. Particle Mass and Number Concentrations and Indoor-to-Outdoor Ratios inside the Classrooms
3.2. Indoor Monitoring of PM, PN, and CO2 Concentrations in Classroom 3 in the Presence of Indoor Particle Pollution Source
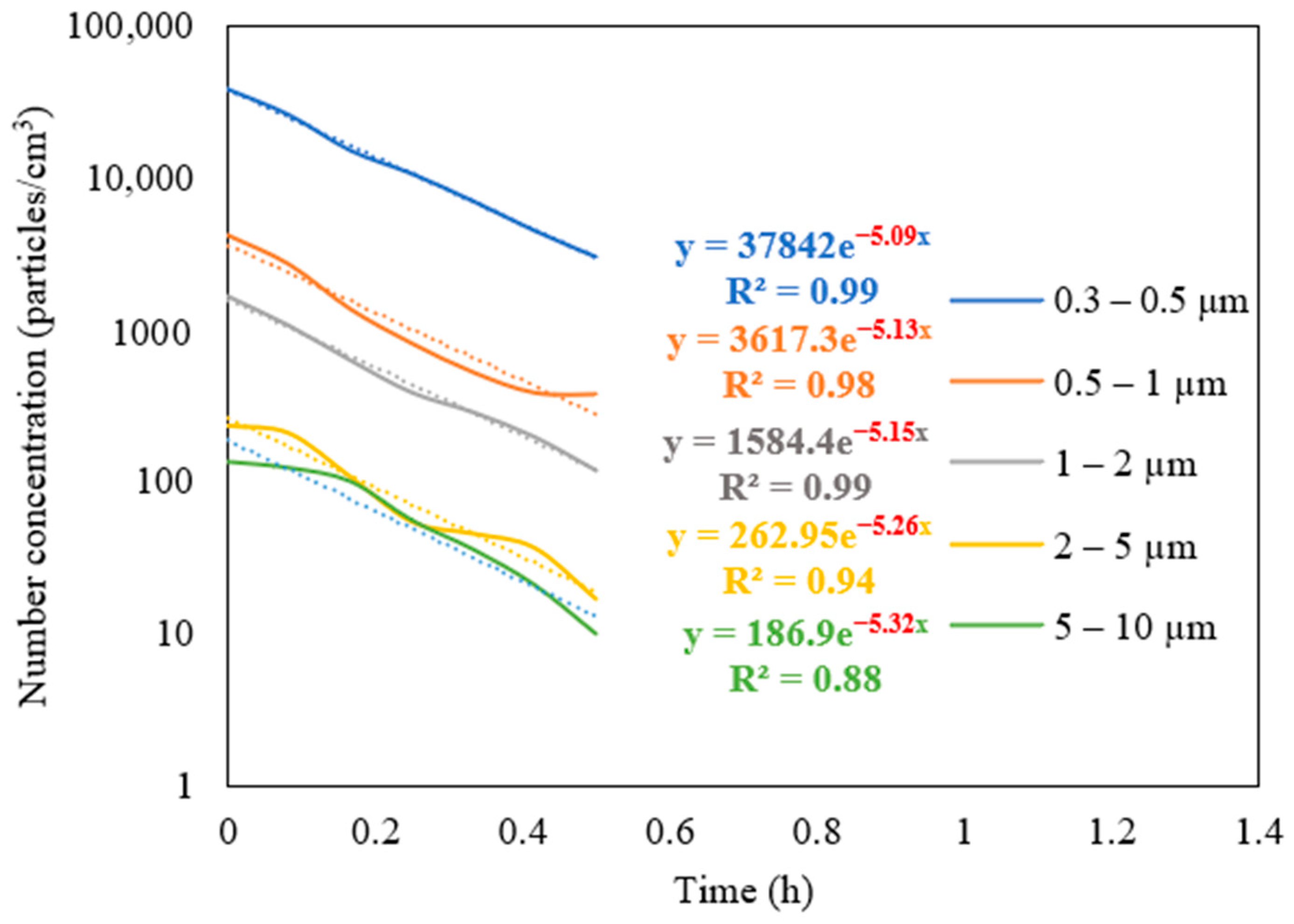
3.2.1. PM and PN Decay Rates with and without the Use of Air Purifier at Different Volumetric Flow Rates
3.2.2. Removal Efficiency as a Function of Particle Size
4. Summary and Conclusions
Supplementary Materials
Author Contributions
Funding
Institutional Review Board Statement
Informed Consent Statement
Data Availability Statement
Acknowledgments
Conflicts of Interest
References
- Ma, H.; Shen, H.; Shui, T.; Li, Q.; Zhou, L. Experimental Study on Ultrafine Particle Removal Performance of Portable Air Cleaners with Different Filters in an Office Room. Int. J. Environ. Res. Public Health 2016, 13, 102. [Google Scholar] [CrossRef] [PubMed]
- Cheek, E.; Guercio, V.; Shrubsole, C.; Dimitroulopoulou, S. Portable Air Purification: Review of Impacts on Indoor Air Quality and Health. Sci. Total Environ. 2021, 766, 142585. [Google Scholar] [CrossRef] [PubMed]
- Cooper, E.; Wang, Y.; Stamp, S.; Burman, E.; Mumovic, D. Use of Portable Air Purifiers in Homes: Operating Behavior, Effect on Indoor PM2.5 and Perceived Indoor Air Quality. Build. Environ. 2021, 191, 107621. [Google Scholar] [CrossRef]
- Pacitto, A.; Amato, F.; Moreno, T.; Pandolfi, M.; Fonseca, A.; Mazaheri, M.; Stabile, L.; Buonanno, G.; Querol, X. Effect of Ventilation Strategies and Air Purifiers on the Children’s Exposure to Airborne Particles and Gaseous Pollutants in School Gyms. Sci. Total Environ. 2020, 712, 135673. [Google Scholar] [CrossRef] [PubMed]
- World Health Organization (WHO). Household Air Pollution and Health. Available online: https://www.who.int/health-topics/air-pollution (accessed on 19 March 2022).
- Polichetti, G.; Cocco, S.; Spinali, A.; Trimarco, V.; Nunziata, A. Effects of Particulate Matter (PM10, PM2.5 and PM1) on the Cardiovascular System. Toxicology 2009, 261, 1–8. [Google Scholar] [CrossRef] [PubMed]
- Anderson, J.O.; Thundiyil, J.G.; Stolbach, A. Clearing the Air: A Review of the Effects of Particulate Matter Air Pollution on Human Health. J. Med. Toxicol. 2012, 8, 166–175. [Google Scholar] [CrossRef]
- Oberdörster, G. Toxicology of Ultrafine Particles: In Vivo Studies. Philos. Trans. R. Soc. A Math. Phys. Eng. Sci. 2000, 358, 2719–2740. [Google Scholar] [CrossRef]
- Hoskins, J.A. Health Effects Due to Indoor Air Pollution. Indoor Built Environ. 2003, 12, 427–433. [Google Scholar] [CrossRef]
- Perez-Padilla, R.; Schilmann, A.; Riojas-Rodriguez, H.; Murray, J.F. Respiratory Health Effects of Indoor Air Pollution. Int. J. Tuberc. Lung Dis. 2010, 14, 1079–1086. [Google Scholar]
- Chang, T.Y.; Zivin, J.G.; Gross, T.; Neidell, M. The Effect of Pollution on Worker Productivity: Evidence from Call Center Workers in China. Am. Econ. J. Appl. Econ. 2019, 11, 151–172. [Google Scholar] [CrossRef]
- Jayaweera, M.; Perera, H.; Gunawardana, B.; Manatunge, J. Transmission of COVID-19 Virus by Droplets and Aerosols: A Critical Review on the Unresolved Dichotomy. Environ. Res. 2020, 188, 109819. [Google Scholar] [CrossRef] [PubMed]
- Morawska, L.; Cao, J. Airborne Transmission of SARS-CoV-2: The World Should Face the Reality. Environ. Int. 2020, 139, 105730. [Google Scholar] [CrossRef] [PubMed]
- Kähler, C.J.; Fuchs, T.; Hain, R. Can Mobile Indoor Air Cleaners Effectively Reduce an Indirect Risk of SARS-CoV-2 Infection by Aerosols? MMWR 2020, 70, 972–976. [Google Scholar]
- Piscitelli, P.; Miani, A.; Setti, L.; de Gennaro, G.; Rodo, X.; Artinano, B.; Vara, E.; Rancan, L.; Arias, J.; Passarini, F.; et al. The Role of Outdoor and Indoor Air Quality in the Spread of SARS-CoV-2: Overview and Recommendations by the Research Group on COVID-19 and Particulate Matter (RESCOP Commission). Environ. Res. 2022, 211, 113038. [Google Scholar] [CrossRef]
- Schwarz, K.; Biller, H.; Windt, H.; Koch, W.; Hohlfeld, J.M. Characterization of Exhaled Particles from the Human Lungs in Airway Obstruction. J. Aerosol Med. Pulm. Drug Deliv. 2015, 28, 52–58. [Google Scholar] [CrossRef]
- Scheuch, G. Breathing Is Enough: For the Spread of Influenza Virus and SARS-CoV-2 by Breathing Only. J. Aerosol Med. Pulm. Drug Deliv. 2020, 33, 230–234. [Google Scholar] [CrossRef]
- Szabadi, J.; Meyer, J.; Lehmann, M.; Dittler, A. Simultaneous Temporal, Spatial and Size-Resolved Measurements of Aerosol Particles in Closed Indoor Environments Applying Mobile Filters in Various Use-Cases. J. Aerosol Sci. 2022, 160, 105906. [Google Scholar] [CrossRef]
- Lindsley, W.G.; Noti, J.D.; Blachere, F.M.; Szalajda, J.V.; Beezhold, D.H. Efficacy of Face Shields against Cough Aerosol Droplets from a Cough Simulator. J. Occup. Environ. Hyg. 2014, 11, 509–518. [Google Scholar] [CrossRef]
- Xie, X.; Li, Y.; Chwang, A.T.Y.; Ho, P.L.; Seto, W.H. How Far Droplets Can Move in Indoor Environments-Revisiting the Wells Evaporation-Falling Curve. Indoor Air 2007, 17, 211–225. [Google Scholar] [CrossRef]
- Fennelly, K.P. Particle Sizes of Infectious Aerosols: Implications for Infection Control. Lancet Respir. Med. 2020, 8, 914–924. [Google Scholar] [CrossRef]
- Küpper, M.; Asbach, C.; Schneiderwind, U.; Finger, H.; Spiegelhoff, D.; Schumacher, S. Testing of an Indoor Air Cleaner for Particulate Pollutants under Realistic Conditions in an Office Room. Aerosol Air Qual. Res. 2019, 19, 1655. [Google Scholar] [CrossRef]
- Sultan, Z.M.; Nilsson, G.J.; Magee, R.J. Removal of Ultrafine Particles in Indoor Air: Performance of Various Portable Air Cleaner Technologies. HVAC R Res. 2011, 17, 513–525. [Google Scholar] [CrossRef]
- Shaughnessy, R.J.; Sextro, R.G. What Is an Effective Portable Air Cleaning Device? A Review. J. Occup. Environ. Hyg. 2006, 3, 169–181. [Google Scholar] [CrossRef]
- Kim, H.J.; Han, B.; Kim, Y.J.; Jeong, C.S.; Lee, S.H. A Simple and Efficient Method for Evaluating Air-Cleaning Performance against Airborne Allergen Particles. Build. Environ. 2013, 60, 272–279. [Google Scholar] [CrossRef]
- van der Zee, S.C.; Strak, M.; Dijkema, M.B.A.; Brunekreef, B.; Janssen, N.A.H. The Impact of Particle Filtration on Indoor Air Quality in a Classroom near a Highway. Indoor Air 2017, 27, 291–302. [Google Scholar] [CrossRef] [PubMed]
- Sublett, J.L. Effectiveness of Air Filters and Air Cleaners in Allergic Respiratory Diseases: A Review of the Recent Literature. Curr. Allergy Asthma Rep. 2011, 11, 395–402. [Google Scholar] [CrossRef]
- Batterman, S.; Godwin, C.; Jia, C. Long Duration Tests of Room Air Filters in Cigarette Smokers’ Homes. Environ. Sci. Technol. 2005, 39, 7260–7268. [Google Scholar] [CrossRef]
- Barn, P.; Larson, T.; Noullett, M.; Kennedy, S.; Copes, R.; Brauer, M. Infiltration of Forest Fire and Residential Wood Smoke: An Evaluation of Air Cleaner Effectiveness. J. Expo. Sci. Environ. Epidemiol. 2008, 18, 503–511. [Google Scholar] [CrossRef]
- Lin, C.C.; Peng, C.K. Characterization of Indoor PM10, PM2.5, and Ultrafine Particles in Elementary School Classrooms: A Review. Environ. Eng. Sci. 2010, 27, 915–922. [Google Scholar] [CrossRef]
- Guo, H.; Morawska, L.; He, C.; Gilbert, D. Impact of Ventilation Scenario on Air Exchange Rates and on Indoor Particle Number Concentrations in an Air-Conditioned Classroom. Atmos. Environ. 2008, 42, 757–768. [Google Scholar] [CrossRef]
- You, Y.; Niu, C.; Zhou, J.; Liu, Y.; Bai, Z.; Zhang, J.; He, F.; Zhang, N. Measurement of Air Exchange Rates in Different Indoor Environments Using Continuous CO2 Sensors. J. Environ. Sci. 2012, 24, 657–664. [Google Scholar] [CrossRef]
- Li, Y.; Chen, Z. A Balance-Point Method for Assessing the Effect of Natural Ventilation on Indoor Particle Concentrations. Atmos. Environ. 2003, 37, 4277–4285. [Google Scholar] [CrossRef]
- Zhao, B.; Liu, Y.; Chen, C. Air Purifiers: A Supplementary Measure to Remove Airborne SARS-CoV-2. Build. Environ. 2020, 177, 106918. [Google Scholar] [CrossRef] [PubMed]
- Curtius, J.; Granzin, M.; Schrod, J. Testing Mobile Air Purifiers in a School Classroom: Reducing the Airborne Transmission Risk for SARS-CoV-2. Aerosol Sci. Technol. 2021, 55, 586–599. [Google Scholar] [CrossRef]
- Burgmann, S.; Janoske, U. Transmission and Reduction of Aerosols in Classrooms Using Air Purifier Systems. Phys. Fluids 2021, 33, 033321. [Google Scholar] [CrossRef]
- Liu, D.T.; Phillips, K.M.; Speth, M.M.; Besser, G.; Mueller, C.A.; Sedaghat, A.R. Portable HEPA Purifiers to Eliminate Airborne SARS-CoV-2: A Systematic Review. Otolaryngol.-Head Neck Surg. 2022, 166, 615–622. [Google Scholar] [CrossRef]
- Holmgren, H.; Ljungström, E.; Almstrand, A.-C.; Bake, B.; Olin, A.-C. Size Distribution of Exhaled Particles in the Range from 0.01 to 2.0 μm. J. Aerosol Sci. 2010, 41, 439–446. [Google Scholar] [CrossRef]
- Johnson, G.R.; Morawska, L. The Mechanism of Breath Aerosol Formation. J. Aerosol Med. Pulm. Drug Deliv. 2009, 22, 229–237. [Google Scholar] [CrossRef]
- Fabian, P.; McDevitt, J.J.; DeHaan, W.H.; Fung, R.O.P.; Cowling, B.J.; Chan, K.H.; Leung, G.M.; Milton, D.K. Influenza Virus in Human Exhaled Breath: An Observational Study. PLoS ONE 2008, 3, e2691. [Google Scholar] [CrossRef]
- Han, Z.Y.; Weng, W.G.; Huang, Q.Y. Characterizations of Particle Size Distribution of the Droplets Exhaled by Sneeze. J. R. Soc. Interface 2013, 10, 20130560. [Google Scholar] [CrossRef]
- Chao, C.Y.H.; Wan, M.P.; Morawska, L.; Johnson, G.R.; Ristovski, Z.D.; Hargreaves, M.; Mengersen, K.; Corbett, S.; Li, Y.; Xie, X.; et al. Characterization of Expiration Air Jets and Droplet Size Distributions Immediately at the Mouth Opening. J. Aerosol Sci. 2009, 40, 122–133. [Google Scholar] [CrossRef] [PubMed]
- Elsaid, A.M.; Ahmed, M.S. Indoor Air Quality Strategies for Air-Conditioning and Ventilation Systems with the Spread of the Global Coronavirus (COVID-19) Epidemic: Improvements and Recommendations. Environ. Res. 2021, 199, 111314. [Google Scholar] [CrossRef] [PubMed]
- Zuraimi, M.S.; Nilsson, G.J.; Magee, R.J. Removing Indoor Particles Using Portable Air Cleaners: Implications for Residential Infection Transmission. Build. Environ. 2011, 46, 2512–2519. [Google Scholar] [CrossRef]
- Heim, M.; Mullins, B.J.; Wild, M.; Meyer, J.; Kasper, G. Filtration Efficiency of Aerosol Particles below 20 Nanometers. Aerosol Sci. Technol. 2005, 39, 782–789. [Google Scholar] [CrossRef]
- Edwards, N.J.; Colder, B.; Sullivan, J.; Naramore, L. A Practical Approach to Indoor Air Quality for Municipal Public Health and Safety. Open J. Polit. Sci. 2021, 11, 176–191. [Google Scholar] [CrossRef]
- National Institute for Occupational Safety and Health (NIOSH). Determination of Particulate Filter Efficiency Level for N95 Series Filters against Solid Particulates for Non-Powered, Air-Purifying Respirators Standard Testing Procedure (STP); National Personal Protective Technology Laboratory: Washington, DC, USA, 2019.
- Chao, C.Y.H.; Wan, M.P.; Cheng, E.C.K. Penetration Coefficient and Deposition Rate as a Function of Particle Size in Non-Smoking Naturally Ventilated Residences. Atmos. Environ. 2003, 37, 4233–4241. [Google Scholar] [CrossRef]
- Morawska, L.; Johnson, G.R.; Ristovski, Z.D.; Hargreaves, M.; Mengersen, K.; Corbett, S.; Chao, C.Y.H.; Li, Y.; Katoshevski, D. Size Distribution and Sites of Origin of Droplets Expelled from the Human Respiratory Tract during Expiratory Activities. J. Aerosol Sci. 2009, 40, 256–269. [Google Scholar] [CrossRef]
- Alsved, M.; Matamis, A.; Bohlin, R.; Richter, M.; Bengtsson, P.-E.; Fraenkel, C.-J.; Medstrand, P.; Löndahl, J. Exhaled Respiratory Particles during Singing and Talking. Aerosol Sci. Technol. 2020, 54, 1245–1248. [Google Scholar] [CrossRef]
- Asadi, S.; Wexler, A.S.; Cappa, C.D.; Barreda, S.; Bouvier, N.M.; Ristenpart, W.D. Effect of Voicing and Articulation Manner on Aerosol Particle Emission during Human Speech. PLoS ONE 2020, 15, e0227699. [Google Scholar] [CrossRef]
- Koutrakis, P.; Briggs, S.; Leaderer, B. Source Apportionment of Indoor Aerosols in Suffolk and Onondaga Counties, New York. Environ. Sci. Technol. 1992, 26, 521–527. [Google Scholar] [CrossRef]
- Wallace, L. Indoor Particles: A Review. J. Air Waste Manag. Assoc. 1996, 46, 98–126. [Google Scholar] [CrossRef] [PubMed]
- Long, C.M.; Suh, H.H.; Catalano, P.J.; Koutrakis, P. Using Time- and Size-Resolved Particulate Data to Quantify Indoor Penetration and Deposition Behavior. Environ. Sci. Technol. 2001, 35, 2089–2099. [Google Scholar] [CrossRef] [PubMed]
- American Society of Heating Refrigerating and Air Conditioning (ASHRAE). Engineers Standard 62.1: Ventilation for Acceptable Indoor Air Quality. Available online: https://www.ashrae.org/technical-resources/standards-and-guidelines/read-only-versions-of-ashrae-standards (accessed on 23 April 2022).
- MacNaughton, P.; Spengler, J.; Vallarino, J.; Santanam, S.; Satish, U.; Allen, J. Environmental Perceptions and Health before and after Relocation to a Green Building. Build. Environ. 2016, 104, 138–144. [Google Scholar] [CrossRef] [PubMed]
- Allen, J.G.; MacNaughton, P.; Satish, U.; Santanam, S.; Vallarino, J.; Spengler, J.D. Associations of Cognitive Function Scores with Carbon Dioxide, Ventilation, and Volatile Organic Compound Exposures in Office Workers: A Controlled Exposure Study of Green and Conventional Office Environments. Environ. Health Perspect. 2016, 124, 805–812. [Google Scholar] [CrossRef]
- Simoni, M.; Annesi-Maesano, I.; Sigsgaard, T.; Norback, D.; Wieslander, G.; Nystad, W.; Cancianie, M.; Sestini, P.; Viegi, G. School Air Quality Related to Dry Cough, Rhinitis and Nasal Patency in Children. Eur. Respir. J. 2010, 35, 742–749. [Google Scholar] [CrossRef]
- Myhvold, A.; Olsen, E.; Lauridsen, O. Indoor Environment in Schools: Pupils Health & Performance in Regard to CO2 Concentrations. Indoor Air 1996, 96, 369–374. [Google Scholar]
- Norbäck, D.; Nordström, K.; Zhao, Z. Carbon Dioxide (CO2) Demand-Controlled Ventilation in University Computer Classrooms and Possible Effects on Headache, Fatigue and Perceived Indoor Environment: An Intervention Study. Int. Arch. Occup. Environ. Health 2013, 86, 199–209. [Google Scholar] [CrossRef]
- Vehviläinen, T.; Lindholm, H.; Rintamäki, H.; Pääkkönen, R.; Hirvonen, A.; Niemi, O.; Vinha, J. High Indoor CO2 Concentrations in an Office Environment Increases the Transcutaneous CO2 Level and Sleepiness during Cognitive Work. J. Occup. Environ. Hyg. 2016, 13, 19–29. [Google Scholar] [CrossRef]
- Shriram, S.; Ramamurthy, K.; Ramakrishnan, S. Effect of Occupant-Induced Indoor CO2 Concentration and Bioeffluents on Human Physiology Using a Spirometric Test. Build. Environ. 2019, 149, 58–67. [Google Scholar] [CrossRef]
- Kim, J.; Hong, T.; Kong, M.; Jeong, K. Building Occupants’ Psycho-Physiological Response to Indoor Climate and CO2 Concentration Changes in Office Buildings. Build. Environ. 2020, 169, 106596. [Google Scholar] [CrossRef]
- Azuma, K.; Kagi, N.; Yanagi, U.; Osawa, H. Effects of Low-Level Inhalation Exposure to Carbon Dioxide in Indoor Environments: A Short Review on Human Health and Psychomotor Performance. Environ. Int. 2018, 121, 51–56. [Google Scholar] [CrossRef] [PubMed]
- Hou, Y.; Liu, J.; Li, J. Investigation of Indoor Air Quality in Primary School Classrooms. Procedia Eng. 2015, 121, 830–837. [Google Scholar] [CrossRef]
- di Gilio, A.; Palmisani, J.; Pulimeno, M.; Cerino, F.; Cacace, M.; Miani, A.; de Gennaro, G. CO2 Concentration Monitoring inside Educational Buildings as a Strategic Tool to Reduce the Risk of Sars-CoV-2 Airborne Transmission. Environ. Res. 2021, 202, 111560. [Google Scholar] [CrossRef]
- Zhai, Z.; Li, H.; Bahl, R.; Trace, K. Application of Portable Air Purifiers for Mitigating COVID-19 in Large Public Spaces. Buildings 2021, 11, 329. [Google Scholar] [CrossRef]
- Lowther, S.D.; Deng, W.; Fang, Z.; Booker, D.; Whyatt, D.J.; Wild, O.; Wang, X.; Jones, K.C. How Efficiently Can HEPA Purifiers Remove Priority Fine and Ultrafine Particles from Indoor Air? Environ. Int. 2020, 144, 106001. [Google Scholar] [CrossRef] [PubMed]
- Christopherson, D.A.; Yao, W.C.; Lu, M.; Vijayakumar, R.; Sedaghat, A.R. High-Efficiency Particulate Air Filters in the Era of COVID-19: Function and Efficacy. Otolaryngol.-Head Neck Surg. 2020, 163, 1153–1155. [Google Scholar] [CrossRef]
- Fruin, S.A.; Hudda, N.; Sioutas, C.; Delfino, R.J. Predictive Model for Vehicle Air Exchange Rates Based on a Large, Representative Sample. Environ. Sci. Technol. 2011, 45, 3569–3575. [Google Scholar] [CrossRef]
- Hudda, N.; Kostenidou, E.; Sioutas, C.; Delfino, R.J.; Fruin, S.A. Vehicle and Driving Characteristics That Influence In-Cabin Particle Number Concentrations. Environ. Sci. Technol. 2011, 45, 8691–8697. [Google Scholar] [CrossRef]








| No. | Classroom | Building Name | Number of Students | Room Height (m) | Floor Area (m2) | Volume (m3) |
|---|---|---|---|---|---|---|
| 1 | OHE136 | Olin Hall (OHE) | 21 | 3.05 | 86.12 | 262.50 |
| 2 | RTH 105 | Tutor Hall (RTH) | 7 | 3.05 | 97.73 | 297.89 |
| 3 | SGM 226 | Seeley G. Mudd Building (SGM) | 8 | 3.05 | 63.64 | 193.97 |
| 4 | GFS 221 | Grace Ford Salvatori Hall (GFS) | 20 | 3.05 | 36.42 | 111.00 |
| 5 | GFS 205 | Grace Ford Salvatori Hall (GFS) | 12 | 3.05 | 36.51 | 111.29 |
| 6 | KAP159 | Kaprielian Hall (KAP) | 20 | 3.05 | 37.63 | 114.68 |
| 7 | OHE 120 | Olin Hall (OHE) | 6 | 3.05 | 56.49 | 172.17 |
| 8 | KDC 236 | Glorya Kaufman International Dance Center (KDC) | 26 | 3.05 | 89.00 | 271.28 |
| 9 | THH 118 | Taper Hall (THH) | 22 | 3.05 | 76.83 | 234.18 |
| PM2.5 Mass Concentration (PM) (µg/m3) | |||||||||
| First Phase | Second Phase | Third Phase | |||||||
| Indoor | Outdoor | I/O | Indoor | Outdoor | I/O | Indoor | Outdoor | I/O | |
| Classroom 1 | 1.19 | 7.90 | 0.15 | 0.07 | 2.04 | 0.03 | 0.21 | 9.00 | 0.02 |
| Classroom 2 | 0.31 | 8.2 | 0.04 | 0.48 | 46.01 | 0.01 | <LOD | 24.33 | NA |
| Classroom 3 | 8.62 | 19.55 | 0.44 | 1.25 | 3.04 | 0.41 | 10.97 | 42.39 | 0.26 |
| Classroom 4 | 1.29 | 10.60 | 0.12 | 0.61 | 9.56 | 0.06 | 2.03 | 28.22 | 0.07 |
| Classroom 5 | 1.24 | 13.44 | 0.09 | 1.04 | 10.31 | 0.10 | 0.73 | 6.60 | 0.11 |
| Classroom 6 | 1.00 | 5.63 | 0.18 | 0.15 | 2.75 | 0.05 | 0.77 | 22.93 | 0.03 |
| Classroom 7 | 0.27 | 7.83 | 0.03 | <LOD | 4.08 | NA | <LOD | 11.67 | NA |
| Classroom 8 | 0.95 | 5.69 | 0.17 | 2.99 | 33.91 | 0.09 | 2.20 | 60.25 | 0.04 |
| Classroom 9 | 2.43 | 21.67 | 0.11 | 1.92 | 18.71 | 0.10 | 0.87 | 11.85 | 0.07 |
| Particle Number Concentration (PN) (particles/cm3) | |||||||||
| First Phase | Second Phase | Third Phase | |||||||
| Indoor | Outdoor | I/O | Indoor | Outdoor | I/O | Indoor | Outdoor | I/O | |
| Classroom 1 | 207.4 | 8523.5 | 0.02 | 90.6 | 4798.5 | 0.02 | 84.0 | 2972.8 | 0.03 |
| Classroom 2 | 113.73 | 2290.07 | 0.05 | 165.87 | 5285.31 | 0.03 | 42.76 | 3672.92 | 0.01 |
| Classroom 3 | 2328.7 | 6693.6 | 0.35 | 1800.0 | 5557.3 | 0.32 | 1917.8 | 7050.2 | 0.27 |
| Classroom 4 | 258.6 | 5537.9 | 0.05 | 306.2 | 6704.9 | 0.05 | 253.8 | 6944.3 | 0.04 |
| Classroom 5 | 345.6 | 8453.6 | 0.04 | 151.0 | 8414.1 | 0.02 | 363.1 | 17704.5 | 0.02 |
| Classroom 6 | 1389.0 | 14338.6 | 0.10 | 299.1 | 12158.4 | 0.02 | 89.4 | 10312.7 | 0.01 |
| Classroom 7 | 76.36 | 6215.27 | 0.01 | 52.33 | 4425.42 | 0.01 | 53.41 | 5573.16 | 0.01 |
| Classroom 8 | 388.0 | 13783.6 | 0.03 | 220.0 | 7050.2 | 0.03 | 90.4 | 5807.8 | 0.02 |
| Classroom 9 | 1100.2 | 17763.5 | 0.06 | 673.5 | 14862.2 | 0.05 | 543.5 | 15294.1 | 0.04 |
| Theoretical K (h−1) | Experimental K (h−1) | |
|---|---|---|
| Without purifier (Knatural) | 4.32 | 4.74 ± 0.15 |
| Purifier at low setting (Kpurifier (low)) | 5.22 | 5.09 ± 0.13 |
| Purifier at high setting (Kpurifier (high)) | 6.90 | 6.70 ± 0.33 |
Publisher’s Note: MDPI stays neutral with regard to jurisdictional claims in published maps and institutional affiliations. |
© 2022 by the authors. Licensee MDPI, Basel, Switzerland. This article is an open access article distributed under the terms and conditions of the Creative Commons Attribution (CC BY) license (https://creativecommons.org/licenses/by/4.0/).
Share and Cite
Aldekheel, M.; Altuwayjiri, A.; Tohidi, R.; Jalali Farahani, V.; Sioutas, C. The Role of Portable Air Purifiers and Effective Ventilation in Improving Indoor Air Quality in University Classrooms. Int. J. Environ. Res. Public Health 2022, 19, 14558. https://doi.org/10.3390/ijerph192114558
Aldekheel M, Altuwayjiri A, Tohidi R, Jalali Farahani V, Sioutas C. The Role of Portable Air Purifiers and Effective Ventilation in Improving Indoor Air Quality in University Classrooms. International Journal of Environmental Research and Public Health. 2022; 19(21):14558. https://doi.org/10.3390/ijerph192114558
Chicago/Turabian StyleAldekheel, Mohammad, Abdulmalik Altuwayjiri, Ramin Tohidi, Vahid Jalali Farahani, and Constantinos Sioutas. 2022. "The Role of Portable Air Purifiers and Effective Ventilation in Improving Indoor Air Quality in University Classrooms" International Journal of Environmental Research and Public Health 19, no. 21: 14558. https://doi.org/10.3390/ijerph192114558
APA StyleAldekheel, M., Altuwayjiri, A., Tohidi, R., Jalali Farahani, V., & Sioutas, C. (2022). The Role of Portable Air Purifiers and Effective Ventilation in Improving Indoor Air Quality in University Classrooms. International Journal of Environmental Research and Public Health, 19(21), 14558. https://doi.org/10.3390/ijerph192114558

