Spatial and Temporal Variation of Land Surface Temperature and Its Spatially Heterogeneous Response in the Urban Agglomeration on the Northern Slopes of the Tianshan Mountains, Northwest China
Abstract
1. Introduction
2. Study Area and Data Sources
2.1. Study Area
2.2. Data Sources
2.2.1. LST Data
2.2.2. Other Data
3. Research Methods
3.1. LST Level Classification
3.2. Trend Change Analysis
3.2.1. Mann–Kendall Test
3.2.2. Sen’s Slope
3.2.3. Hurst Index
3.3. Geodetector Model
3.3.1. Factor Detector
3.3.2. Interaction Detector
3.3.3. Data Preparation
3.4. MGWR Model
4. Results
4.1. LST Spatiotemporal Variation Analysis
4.2. Trend Change Analysis and Forecast
4.2.1. Trend Change Analysis
4.2.2. Predicted Temporal Trends in LST
4.3. LST Impact Factor Geographic Detection
4.4. Drivers of LST and Analysis of Spatial Differences
5. Discussion
5.1. Comparative Analysis of LST Differences
5.2. Temporal Variation Trend of LST and Its Spatial Heterogeneity
5.3. Analysis of Landscape Pattern and LST Spatial Relationship
5.4. Limitations and Future Perspectives
6. Conclusions
- (1)
- The average spring temperature of the urban agglomeration on the northern slopes of the Tianshan Mountains from 2003 to 2020 was 31.53 °C, with a slope of 0.125 °C·a−1; the average summer temperature was 47.29 °C, with a slope of 0.007 °C·a−1; the average autumn temperature was 22.38 °C, with a slope of −0.05 °C·a−1; and the average winter temperature was −5.20 °C, with a slope of 0.099 °C·a−1. EHT and HT are mainly distributed in bare land; MT and LT are primarily distributed in agricultural land, grass land, and built land; ELT is mainly distributed in forest land and water bodies.
- (2)
- Using the Mann–Kendall test, Sen’s slope, and Hurst index, we analyzed the trend of LST changes and the future development direction of the urban agglomeration on the northern slopes of the Tianshan Mountains. The results showed that LST showed an increasing trend in spring, summer, and winter and a decreasing trend in autumn; bare land and grass land LST warmed more rapidly. Agricultural land LST had a significant cooling effect. In terms of future development, the pre-mountain basin was the first to warm up in spring, with CI occupying a more extensive area; the transition from summer to autumn FITD dominated; LST continued to degrade in autumn, with CD accounting for 61.71% of the total study area; and LST continued to rise in winter, with bare land being the first to warm up in the transition from winter to spring.
- (3)
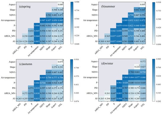
- The results of geodetector factor detection showed that air temperature and precipitation had the most significant effects on LST, and the magnitude of the q-value of each influence factor in summer was P > air temperature > NDVI > PD > AI > AREA_MN > slope > aspect > NTL. The interaction detection results show that air temperature∩NDVI, P∩air temperature, and P∩NDVI have the most substantial effect on LST.
- (4)
- The MGWR model was used to analyze the relationship between each influence factor in space and local LST. The effects of PD, air temperature, and slope on LST were mainly positive, AREA_MN, AI, P, and NDVI were primarily negative, and the impact of aspect and NTL on LST were relatively weak.
Author Contributions
Funding
Institutional Review Board Statement
Informed Consent Statement
Data Availability Statement
Acknowledgments
Conflicts of Interest
References
- Zhang, Y.; Sun, L. Spatial-temporal impacts of urban land use land cover on land surface temperature: Case studies of two Canadian urban areas. Int. J. Appl. Earth Obs. 2019, 75, 171–181. [Google Scholar] [CrossRef]
- Haynes, M.W.; Horowitz, F.G.; Sambridge, M.; Gerner, E.J.; Beardsmore, G.R. Australian mean land-surface temperature. Geothermics 2018, 72, 156–162. [Google Scholar] [CrossRef]
- Rawat, V.; Saraf, A.K.; Das, J.; Sharma, K.; Shujat, Y. Anomalous land surface temperature and outgoing long-wave radiation observations prior to earthquakes in India and Romania. Nat. Hazards 2011, 59, 33–46. [Google Scholar] [CrossRef]
- Zhang, Y.; Liang, S. Impacts of land cover transitions on surface temperature in China based on satellite observations. Environ. Res. Lett. 2018, 13, 024010. [Google Scholar] [CrossRef]
- Nimish, G.; Bharath, H.A.; Lalitha, A. Exploring temperature indices by deriving relationship between land surface temperature and urban landscape. Remote Sens. Appl. Soc. Environ. 2020, 18, 100299. [Google Scholar] [CrossRef]
- Rizvi, S.H.; Fatima, H.; Iqbal, M.J.; Alam, K. The effect of urbanization on the intensification of SUHIs: Analysis by LULC on Karachi. J. Atmos. Sol. Terr. Phys. 2020, 207, 105374. [Google Scholar] [CrossRef]
- Neteler, M. Estimating daily land surface temperatures in mountainous environments by reconstructed MODIS LST data. Remote Sens. 2010, 2, 333–351. [Google Scholar] [CrossRef]
- Chen, Y.; Chiu, H.; Su, Y.; Wu, Y.; Cheng, K. Does urbanization increase diurnal land surface temperature variation? Evidence and implications. Landsc. Urban Plan. 2017, 157, 247–258. [Google Scholar] [CrossRef]
- Willie, Y.A.; Pillay, R.; Zhou, L.; Orimoloye, I.R. Monitoring spatial pattern of land surface thermal characteristics and urban growth: A case study of King Williams using remote sensing and GIS. Earth Sci. Inform. 2019, 12, 447–464. [Google Scholar] [CrossRef]
- Zhao, W.; He, J.; Wu, Y.; Xiong, D.; Wen, F.; Li, A. An analysis of land surface temperature trends in the central Himalayan region based on MODIS products. Remote Sens. 2019, 11, 900. [Google Scholar] [CrossRef]
- Malakar, N.K.; Hulley, G.C.; Hook, S.J.; Laraby, K.; Cook, M.; Schott, J.R. An operational land surface temperature product for Landsat thermal data: Methodology and validation. IEEE Trans. Geosci. Remote Sens. 2018, 56, 5717–5735. [Google Scholar] [CrossRef]
- Sobrino, J.A.; Jiménez-Muñoz, J.C.; Paolini, L. Land surface temperature retrieval from LANDSAT TM 5. Remote Sens. Environ. 2004, 90, 434–440. [Google Scholar] [CrossRef]
- How Jin Aik, D.; Ismail, M.H.; Muharam, F.M. Land use/land cover changes and the relationship with land surface temperature using Landsat and MODIS imageries in Cameron Highlands, Malaysia. Land 2020, 9, 372. [Google Scholar] [CrossRef]
- Panwar, M.; Agarwal, A.; Devadas, V. Analyzing land surface temperature trends using non-parametric approach: A case of Delhi, India. Urban Clim. 2018, 24, 19–25. [Google Scholar] [CrossRef]
- Dinpashoh, Y.; Jhajharia, D.; Fakheri-Fard, A.; Singh, V.P.; Kahya, E. Trends in reference crop evapotranspiration over Iran. J. Hydrol. 2011, 399, 422–433. [Google Scholar] [CrossRef]
- Li, W.; Bai, Y.; Chen, Q.; He, K.; Ji, X.; Han, C. Discrepant impacts of land use and land cover on urban heat islands: A case study of Shanghai, China. Ecol. Indic. 2014, 47, 171–178. [Google Scholar] [CrossRef]
- Zhao, X.; Liu, J.; Bu, Y. Quantitative analysis of spatial heterogeneity and driving forces of the thermal environment in urban built-up areas: A case study in Xi’an, China. Sustainability 2021, 13, 1870. [Google Scholar] [CrossRef]
- Govind, N.R.; Ramesh, H. The impact of spatiotemporal patterns of land use land cover and land surface temperature on an urban cool island: A case study of Bengaluru. Environ. Monit. Assess. 2019, 191, 283. [Google Scholar] [CrossRef]
- Xiang, Y.; Ye, Y.; Peng, C.; Teng, M.; Zhou, Z. Seasonal variations for combined effects of landscape metrics on land surface temperature (LST) and aerosol optical depth (AOD). Ecol. Indic. 2022, 138, 108810. [Google Scholar] [CrossRef]
- Kowe, P.; Mutanga, O.; Odindi, J.; Dube, T.J.G.; Sensing, R. Effect of landscape pattern and spatial configuration of vegetation patches on urban warming and cooling in Harare metropolitan city, Zimbabwe. GISci. Remote Sens. 2021, 58, 261–280. [Google Scholar] [CrossRef]
- Ali, S.; Patnaik, S.; Madguni, O. Microclimate land surface temperatures across urban land use/land cover forms. Glob. J. Environ. Sci. Manag. 2017, 3, 231–242. [Google Scholar]
- Feizizadeh, B.; Blaschke, T. Examining urban heat island relations to land use and air pollution: Multiple endmember spectral mixture analysis for thermal remote sensing. IEEE J. Sel. Top. Appl. Earth Obs. Remote Sens. 2013, 6, 1749–1756. [Google Scholar] [CrossRef]
- Wang, Y.; Guo, Z.; Han, J. The relationship between urban heat island and air pollutants and them with influencing factors in the Yangtze River Delta, China. Ecol. Indic. 2021, 129, 107976. [Google Scholar] [CrossRef]
- Du, H.; Wang, D.; Wang, Y.; Zhao, X.; Qin, F.; Jiang, H.; Cai, Y. Influences of land cover types, meteorological conditions, anthropogenic heat and urban area on surface urban heat island in the Yangtze River Delta Urban Agglomeration. Sci. Total Environ. 2016, 571, 461–470. [Google Scholar] [CrossRef]
- Mao, C.; Xie, M.; Fu, M. Thermal response to patch characteristics and configurations of industrial and mining land in a Chinese mining city. Ecol. Indic. 2020, 112, 106075. [Google Scholar] [CrossRef]
- Singh, V.K.; Mughal, M.; Martilli, A.; Acero, J.A.; Ivanchev, J.; Norford, L.K. Numerical analysis of the impact of anthropogenic emissions on the urban environment of Singapore. Sci. Total Environ. 2022, 806, 150534. [Google Scholar] [CrossRef] [PubMed]
- Yang, Z.; Chen, Y.; Guo, G.; Zheng, Z.; Wu, Z. Characteristics of land surface temperature clusters: Case study of the central urban area of Guangzhou. Sust. Cities Soc. 2021, 73, 103140. [Google Scholar] [CrossRef]
- Mathew, A.; Khandelwal, S.; Kaul, N. Investigating spatial and seasonal variations of urban heat island effect over Jaipur city and its relationship with vegetation, urbanization and elevation parameters. Sustain. Cities Soc. 2017, 35, 157–177. [Google Scholar] [CrossRef]
- Saavedra, M.; Junquas, C.; Espinoza, J.-C.; Silva, Y. Impacts of topography and land use changes on the air surface temperature and precipitation over the central Peruvian Andes. Atmos. Res. 2020, 234, 104711. [Google Scholar] [CrossRef]
- Dutta, D.; Rahman, A.; Paul, S.; Kundu, A. Impervious surface growth and its inter-relationship with vegetation cover and land surface temperature in peri-urban areas of Delhi. Urban Clim. 2021, 37, 100799. [Google Scholar] [CrossRef]
- Peng, Y.; Wang, Q.; Bai, L. Identification of the key landscape metrics indicating regional temperature at different spatial scales and vegetation transpiration. Ecol. Indic. 2020, 111, 106066. [Google Scholar] [CrossRef]
- Guo, A.; Yang, J.; Sun, W.; Xiao, X.; Cecilia, J.X.; Jin, C.; Li, X. Impact of urban morphology and landscape characteristics on spatiotemporal heterogeneity of land surface temperature. Sustain. Cities Soc. 2020, 63, 102443. [Google Scholar] [CrossRef]
- Kumar, D.; Shekhar, S. Statistical analysis of land surface temperature–vegetation indexes relationship through thermal remote sensing. Ecotoxicol. Environ. Saf. 2015, 121, 39–44. [Google Scholar] [CrossRef] [PubMed]
- Luintel, N.; Ma, W.; Ma, Y.; Wang, B.; Subba, S. Spatial and temporal variation of daytime and nighttime MODIS land surface temperature across Nepal. Atmos. Ocean. Sci. Lett. 2019, 12, 305–312. [Google Scholar] [CrossRef]
- Su, Y.; Li, T.; Cheng, S.; Wang, X. Spatial distribution exploration and driving factor identification for soil salinisation based on geodetector models in coastal area. Ecol. Eng. 2020, 156, 105961. [Google Scholar] [CrossRef]
- Song, Y.; Wang, J.; Ge, Y.; Xu, C. An optimal parameters-based geographical detector model enhances geographic characteristics of explanatory variables for spatial heterogeneity analysis: Cases with different types of spatial data. GISci. Remote Sens. 2020, 57, 593–610. [Google Scholar] [CrossRef]
- Liu, K.; Qiao, Y.R.; Zhou, Q. Analysis of China’s Industrial Green Development Efficiency and Driving Factors: Research Based on MGWR. Int. J. Environ. Res. Public Health 2021, 18, 3960. [Google Scholar] [CrossRef] [PubMed]
- Yang, L.; Yu, K.; Ai, J.; Liu, Y.; Yang, W.; Liu, J. Dominant factors and spatial heterogeneity of land surface temperatures in urban areas: A case study in Fuzhou, China. Remote Sens. 2022, 14, 1266. [Google Scholar] [CrossRef]
- Zhu, X.; Wang, X.; Yan, D.; Liu, Z.; Zhou, Y. Analysis of remotely-sensed ecological indexes’ influence on urban thermal environment dynamic using an integrated ecological index: A case study of Xi’an, China. Int. J. Remote Sens. 2019, 40, 3421–3447. [Google Scholar] [CrossRef]
- Gazi, M.Y.; Rahman, M.Z.; Uddin, M.M.; Arifur Rahman, F.M. Spatio-temporal dynamic land cover changes and their impacts on the urban thermal environment in the Chittagong metropolitan area, Bangladesh. GeoJ 2021, 86, 2119–2134. [Google Scholar] [CrossRef]
- Ma, Y.; Zhang, S.; Yang, K.; Li, M. Influence of spatiotemporal pattern changes of impervious surface of urban megaregion on thermal environment: A case study of the Guangdong–Hong Kong–Macao Greater Bay Area of China. Ecol. Indic. 2021, 121, 107106. [Google Scholar] [CrossRef]
- Chen, M.; Zhou, Y.; Hu, M.; Zhou, Y. Influence of urban scale and urban expansion on the urban heat island effect in metropolitan areas: Case study of Beijing–Tianjin–Hebei urban agglomeration. Remote Sens. 2020, 12, 3491. [Google Scholar] [CrossRef]
- Gao, Q.; Fang, C.; Liu, H.; Zhang, L. Conjugate evaluation of sustainable carrying capacity of urban agglomeration and multi-scenario policy regulation. Sci. Total Environ. 2021, 785, 147373. [Google Scholar] [CrossRef]
- Hao, X.; Li, W.; Deng, H. The oasis effect and summer temperature rise in arid regions-case study in Tarim Basin. Sci. Rep. 2016, 6, 35418. [Google Scholar] [CrossRef]
- Zhang, F.; Kung, H.; Johnson, V.C.; LaGrone, B.I.; Wang, J. Change detection of land surface temperature (LST) and some related parameters using Landsat image: A case study of the Ebinur lake watershed, Xinjiang, China. Wetlands 2018, 38, 65–80. [Google Scholar] [CrossRef]
- Yu, W.; Ma, M.; Yang, H.; Tan, J.; Li, X. Supplement of the radiance-based method to validate satellite-derived land surface temperature products over heterogeneous land surfaces. Remote Sens. Environ. 2019, 230, 111188. [Google Scholar] [CrossRef]
- Duan, S.; Li, Z.; Wu, H.; Leng, P.; Gao, M.; Wang, C. Radiance-based validation of land surface temperature products derived from Collection 6 MODIS thermal infrared data. Int. J. Appl. Earth Observ. Geoinform. 2018, 70, 84–92. [Google Scholar] [CrossRef]
- Wan, Z. New refinements and validation of the MODIS land-surface temperature/emissivity products. Remote Sens. Environ. 2008, 112, 59–74. [Google Scholar] [CrossRef]
- Lu, Y.; He, T.; Xu, X.; Qiao, Z. Investigation the robustness of standard classification methods for defining urban heat islands. IEEE J. Sel. Top. Appl. Earth Obs. Remote Sens. 2021, 14, 11386–11394. [Google Scholar] [CrossRef]
- Bayable, G.; Alemu, G. Spatiotemporal variability of land surface temperature in north-western Ethiopia. Environ. Sci. Pollut. Res. 2022, 29, 2629–2641. [Google Scholar] [CrossRef]
- Gaznayee, H.A.A.; Al-Quraishi, A.M.F.; Mahdi, K.; Ritsema, C. A geospatial approach for analysis of drought impacts on vegetation cover and land surface temperature in the Kurdistan Region of Iraq. Water 2022, 14, 927. [Google Scholar] [CrossRef]
- Saher, R.; Stephen, H.; Ahmad, S. Effect of land use change on summertime surface temperature, albedo, and evapotranspiration in Las Vegas Valley. Urban Clim. 2021, 39, 100966. [Google Scholar] [CrossRef]
- Hassan, Q.K.; Ejiagha, I.R.; Ahmed, M.R.; Gupta, A.; Rangelova, E.; Dewan, A. Remote sensing of local warming trend in Alberta, Canada during 2001–2020, and its relationship with large-scale atmospheric circulations. Remote Sens. 2021, 13, 3441. [Google Scholar] [CrossRef]
- Hurst, H.E. Long-term storage capacity of reservoirs. Trans. Am. Soc. Civ. Eng. 1951, 116, 770–799. [Google Scholar] [CrossRef]
- Tong, S.; Zhang, J.; Bao, Y.; Lai, Q.; Lian, X.; Li, N.; Bao, Y. Analyzing vegetation dynamic trend on the Mongolian Plateau based on the Hurst exponent and influencing factors from 1982–2013. J. Geogr. Sci. 2018, 28, 595–610. [Google Scholar] [CrossRef]
- Wang, J.F.; Hu, Y. Environmental health risk detection with GeogDetector. Environ. Model. Softw. 2012, 33, 114–115. [Google Scholar] [CrossRef]
- Zhao, Y.; Kasimu, A.; Liang, H.; Reheman, R. Construction and Restoration of Landscape Ecological Network in Urumqi City Based on Landscape Ecological Risk Assessment. Sustainability 2022, 14, 8154. [Google Scholar] [CrossRef]
- Tian, P.; Cao, L.; Li, J.; Pu, R.; Shi, X.; Wang, L.; Liu, R.; Xu, H.; Tong, C.; Zhou, Z. Landscape grain effect in Yancheng coastal wetland and its response to landscape changes. Int. J. Environ. Res. Public Health 2019, 16, 2225. [Google Scholar] [CrossRef]
- Fotheringham, A.S.; Yang, W.; Kang, W. Multiscale geographically weighted regression (MGWR). Ann. Am. Assoc. Geogr. 2017, 107, 1247–1265. [Google Scholar] [CrossRef]
- Liu, P.Y.; Wu, C.; Chen, M.M.; Ye, X.Y.; Peng, Y.F.; Li, S. A Spatiotemporal Analysis of the Effects of Urbanization’s Socio-Economic Factors on Landscape Patterns Considering Operational Scales. Sustainability 2020, 12, 2543. [Google Scholar] [CrossRef]
- Hamoodi, M.N.; Corner, R.; Dewan, A. Thermophysical behaviour of LULC surfaces and their effect on the urban thermal environment. J. Spat. Sci. 2019, 64, 111–130. [Google Scholar] [CrossRef]
- Zhuang, Q.; Wu, S.; Yan, Y.; Niu, Y.; Yang, F.; Xie, C. Monitoring land surface thermal environments under the background of landscape patterns in arid regions: A case study in Aksu river basin. Sci. Total Environ. 2020, 710, 136336. [Google Scholar] [CrossRef] [PubMed]
- Chen, Y.; Li, Z.; Fan, Y.; Wang, H.; Deng, H. Progress and prospects of climate change impacts on hydrology in the arid region of northwest China. Environ. Res. 2015, 139, 11–19. [Google Scholar] [CrossRef] [PubMed]
- Zhou, L.; Wu, R. Interdecadal variability of winter precipitation in Northwest China and its association with the North Atlantic SST change. Int. J. Climatol. 2015, 35, 1172–1179. [Google Scholar] [CrossRef]
- Zhu, Y.L.; Liu, Y.; Wang, H.J.; Sun, J.Q. Changes in the interannual summer drought variation along with the regime shift over Northwest China in the late 1980s. J. Geophys. Res. Atmos. 2019, 124, 2868–2881. [Google Scholar] [CrossRef]
- Abulizi, A.; Yang, Y.; Mamat, Z.; Luo, J.; Abdulslam, D.; Xu, Z.; Zayiti, A.; Ahat, A.; Halik, W. Land-use change and its effects in Charchan Oasis, Xinjiang, China. Land Degrad. Dev. 2017, 28, 106–115. [Google Scholar] [CrossRef]
- Wang, Y.; Shataer, R.; Xia, T.; Chang, X.; Zhen, H.; Li, Z. Evaluation on the change characteristics of ecosystem service function in the northern Xinjiang based on land use change. Sustainability 2021, 13, 9679. [Google Scholar] [CrossRef]
- Liang, H.W.; Kasimu, A.; Ma, H.T.; Zhao, Y.Y.; Zhang, X.L.; Wei, B.H. Exploring the Variations and Influencing Factors of Land Surface Temperature in the Urban Agglomeration on the Northern Slope of the Tianshan Mountains. Sustainability 2022, 14, 10663. [Google Scholar] [CrossRef]
- Zhou, D.C.; Zhao, S.Q.; Liu, S.G.; Zhang, L.X.; Zhu, C. Surface urban heat island in China’s 32 major cities: Spatial patterns and drivers. Remote Sens. Environ. 2016, 11, 074009. [Google Scholar] [CrossRef]
- Siddiqui, A.; Kushwaha, G.; Nikam, B.; Srivastav, S.K.; Shelar, A.; Kumar, P. Analysing the day/night seasonal and annual changes and trends in land surface temperature and surface urban heat island intensity (SUHII) for Indian cities. Sustain. Cities Soc. 2021, 75, 103374. [Google Scholar] [CrossRef]
- Liu, J.; Ding, J.; Li, L.; Li, X.; Zhang, Z.; Ran, S.; Ge, X.; Zhang, J.; Wang, J. Characteristics of aerosol optical depth over land types in central Asia. Sci. Total Environ. 2020, 727, 138676. [Google Scholar] [CrossRef]
- Peng, J.; Xie, P.; Liu, Y.; Ma, J. Urban thermal environment dynamics and associated landscape pattern factors: A case study in the Beijing metropolitan region. Remote Sens. Environ. 2016, 173, 145–155. [Google Scholar] [CrossRef]
- Li, W.; Cao, Q.; Lang, K.; Wu, J. Linking potential heat source and sink to urban heat island: Heterogeneous effects of landscape pattern on land surface temperature. Sci. Total Environ. 2017, 586, 457–465. [Google Scholar] [CrossRef] [PubMed]
- Guo, G.; Wu, Z.; Chen, Y. Complex mechanisms linking land surface temperature to greenspace spatial patterns: Evidence from four southeastern Chinese cities. Sci. Total Environ. 2019, 674, 77–87. [Google Scholar] [CrossRef] [PubMed]
- Masoudi, M.; Tan, P.Y. Multi-year comparison of the effects of spatial pattern of urban green spaces on urban land surface temperature. Landsc. Urban Plan. 2019, 184, 44–58. [Google Scholar] [CrossRef]
- Li, B.; Shi, X.; Wang, H.; Qin, M. Analysis of the relationship between urban landscape patterns and thermal environment: A case study of Zhengzhou City, China. Environ. Monit. Assess. 2020, 192, 540. [Google Scholar] [CrossRef]
- Bechtel, B.; Zakšek, K.; Hoshyaripour, G. Downscaling land surface temperature in an urban area: A case study for Hamburg, Germany. Remote Sens. 2012, 4, 3184–3200. [Google Scholar] [CrossRef]
- Hutengs, C.; Vohland, M. Downscaling land surface temperatures at regional scales with random forest regression. Remote Sens. Environ. 2016, 178, 127–141. [Google Scholar] [CrossRef]
- Iamarino, M.; Beevers, S.; Grimmond, C. High-resolution (space, time) anthropogenic heat emissions: London 1970–2025. Int. J. Climatol. 2012, 32, 1754–1767. [Google Scholar] [CrossRef]








| LST Level | Classification Range | Spring/°C | Summer/°C | Autumn/°C | Winter/°C |
|---|---|---|---|---|---|
| ELT | T < μ − 1.5 std | −11.97~16.41 | −0.33~27.09 | −14.99~10.58 | −25.38~−12.03 |
| LT | μ − 1.5 std ≤ T < μ − 0.5 std | 16.41~25.79 | 27.45~38.45 | 10.58~18.53 | −12.03~−4.96 |
| MT | μ − 0.5 std ≤ T < μ + 0.5 std | 25.79~35.17 | 38.45~49.81 | 18.53~26.48 | −4.96~2.12 |
| HT | μ + 0.5 std ≤ T < μ + 1.5 std | 35.17~44.55 | 49.81~61.17 | 26.48~34.43 | 2.12~9.19 |
| EHT | T > μ + 1.5 std | 44.55~50.90 | 61.17~68.21 | 34.43~38.54 | 9.19~14.66 |
| Level | Spring | Summer | Autumn | Winter | ||||
|---|---|---|---|---|---|---|---|---|
| Area km2 | Proportion % | Area km2 | Proportion % | Area km2 | Proportion % | Area km2 | Proportion % | |
| ELT | 17,343.9 | 9.94 | 19,106.1 | 10.95 | 15,728.4 | 9.01 | 3131.1 | 1.79 |
| LT | 20,399.4 | 11.69 | 28,377.0 | 16.26 | 28,169.1 | 16.14 | 72,622.8 | 41.60 |
| MT | 74,097.0 | 42.45 | 55,137.6 | 31.59 | 67,531.5 | 38.69 | 29,198.7 | 16.73 |
| HT | 60,199.2 | 34.49 | 68,825.7 | 39.43 | 61,272.9 | 35.10 | 57,188.7 | 32.76 |
| EHT | 2522.7 | 1.45 | 3115.8 | 1.78 | 1860.3 | 1.07 | 12,420.9 | 7.12 |
| Season | SDL | GDL | NS | GR | SR |
|---|---|---|---|---|---|
| Spring | 0.03 ** | 0.14 * | 94.15 | 4.88 * | 0.79 ** |
| Summer | 6.82 ** | 2.28 * | 85.20 | 3.84 * | 1.87 ** |
| Autumn | 2.30 ** | 6.15 * | 91.34 | 0.18 * | 0.04 ** |
| Winter | 0.00 ** | 0.05 * | 87.29 | 9.94 * | 2.71 ** |
| Season | CI/% | FITD/% | CD/% | FDTI/% | RV/% |
|---|---|---|---|---|---|
| Spring | 44.67 | 42.74 | 6.53 | 6.04 | 0.02 |
| Summer | 15.30 | 42.75 | 16.00 | 25.80 | 0.15 |
| Autumn | 4.53 | 15.03 | 61.71 | 18.70 | 0.03 |
| Winter | 36.10 | 51.70 | 3.77 | 8.42 | 0.01 |
| Variable | 2003 Year | 2010 Year | 2020 Year | |||||||||
|---|---|---|---|---|---|---|---|---|---|---|---|---|
| Spring | Summer | Autumn | Winter | Spring | Summer | Autumn | Winter | Spring | Summer | Autumn | Winter | |
| PD | 0.202 * | 0.194 * | 0.243 * | 0.177 * | 0.234 * | 0.203 * | 0.220 * | 0.163 * | 0.202 * | 0.341 * | 0.223 * | 0.190 * |
| AREA_MN | 0.202 * | 0.192 * | 0.251 * | 0.206 * | 0.241 * | 0.199 * | 0.230 * | 0.199 * | 0.183 * | 0.310 * | 0.238 * | 0.225 * |
| AI | 0.197 * | 0.194 * | 0.241 * | 0.170 * | 0.227 * | 0.195 * | 0.215 * | 0.156 * | 0.201 * | 0.324 * | 0.219 * | 0.188 * |
| P | 0.630 * | 0.842 * | 0.490 * | 0.648 * | 0.663 * | 0.768 * | 0.496 * | 0.739 * | 0.333 * | 0.815 * | 0.469 * | 0.589 * |
| Air temperature | 0.818 * | 0.873 * | 0.710 * | 0.841 * | 0.647 * | 0.832 * | 0.757 * | 0.820 * | 0.846 * | 0.801 * | 0.770 * | 0.867 * |
| NDVI | 0.525 * | 0.544 * | 0.634 * | 0.573 * | 0.563 * | 0.525 * | 0.450 * | 0.629 * | 0.451 * | 0.458 * | 0.468 * | 0.649 * |
| Slope | 0.202 * | 0.217 * | 0.191 * | 0.141 * | 0.156 * | 0.205 * | 0.173 * | 0.142 * | 0.256 * | 0.202 * | 0.217 * | 0.158 * |
| Aspect | 0.022 * | 0.027 * | 0.027 * | 0.052 * | 0.034 * | 0.025 * | 0.018 * | 0.045 * | 0.025 * | 0.038 * | 0.023 * | 0.052 * |
| NTL | 0.044 * | 0.020 * | 0.088 * | 0.378 * | 0.127 * | 0.059 * | 0.084 * | 0.222 * | 0.006 * | 0.012 * | 0.008 * | 0.330 * |
| Index | RSS | LIK | AIC | R2 | Adjust R2 |
|---|---|---|---|---|---|
| OLS | 450.859 | −1337.611 | 2697.222 | 0.882 | 0.882 |
| MGWR | 73.335 | 2139.357 | −2961.946 | 0.981 | 0.978 |
Publisher’s Note: MDPI stays neutral with regard to jurisdictional claims in published maps and institutional affiliations. |
© 2022 by the authors. Licensee MDPI, Basel, Switzerland. This article is an open access article distributed under the terms and conditions of the Creative Commons Attribution (CC BY) license (https://creativecommons.org/licenses/by/4.0/).
Share and Cite
Zhang, X.; Kasimu, A.; Liang, H.; Wei, B.; Aizizi, Y. Spatial and Temporal Variation of Land Surface Temperature and Its Spatially Heterogeneous Response in the Urban Agglomeration on the Northern Slopes of the Tianshan Mountains, Northwest China. Int. J. Environ. Res. Public Health 2022, 19, 13067. https://doi.org/10.3390/ijerph192013067
Zhang X, Kasimu A, Liang H, Wei B, Aizizi Y. Spatial and Temporal Variation of Land Surface Temperature and Its Spatially Heterogeneous Response in the Urban Agglomeration on the Northern Slopes of the Tianshan Mountains, Northwest China. International Journal of Environmental Research and Public Health. 2022; 19(20):13067. https://doi.org/10.3390/ijerph192013067
Chicago/Turabian StyleZhang, Xueling, Alimujiang Kasimu, Hongwu Liang, Bohao Wei, and Yimuranzi Aizizi. 2022. "Spatial and Temporal Variation of Land Surface Temperature and Its Spatially Heterogeneous Response in the Urban Agglomeration on the Northern Slopes of the Tianshan Mountains, Northwest China" International Journal of Environmental Research and Public Health 19, no. 20: 13067. https://doi.org/10.3390/ijerph192013067
APA StyleZhang, X., Kasimu, A., Liang, H., Wei, B., & Aizizi, Y. (2022). Spatial and Temporal Variation of Land Surface Temperature and Its Spatially Heterogeneous Response in the Urban Agglomeration on the Northern Slopes of the Tianshan Mountains, Northwest China. International Journal of Environmental Research and Public Health, 19(20), 13067. https://doi.org/10.3390/ijerph192013067

