Combined Effect of Temperature and Relative Humidity on the Survival of Salmonella Isolates on Stainless Steel Coupons
Abstract
1. Introduction
2. Material and Methods
2.1. Bacterial Strains
2.2. Pet Food Factory Environmental Monitoring
2.3. Survival Experiment
2.4. Data Preparation and Analysis
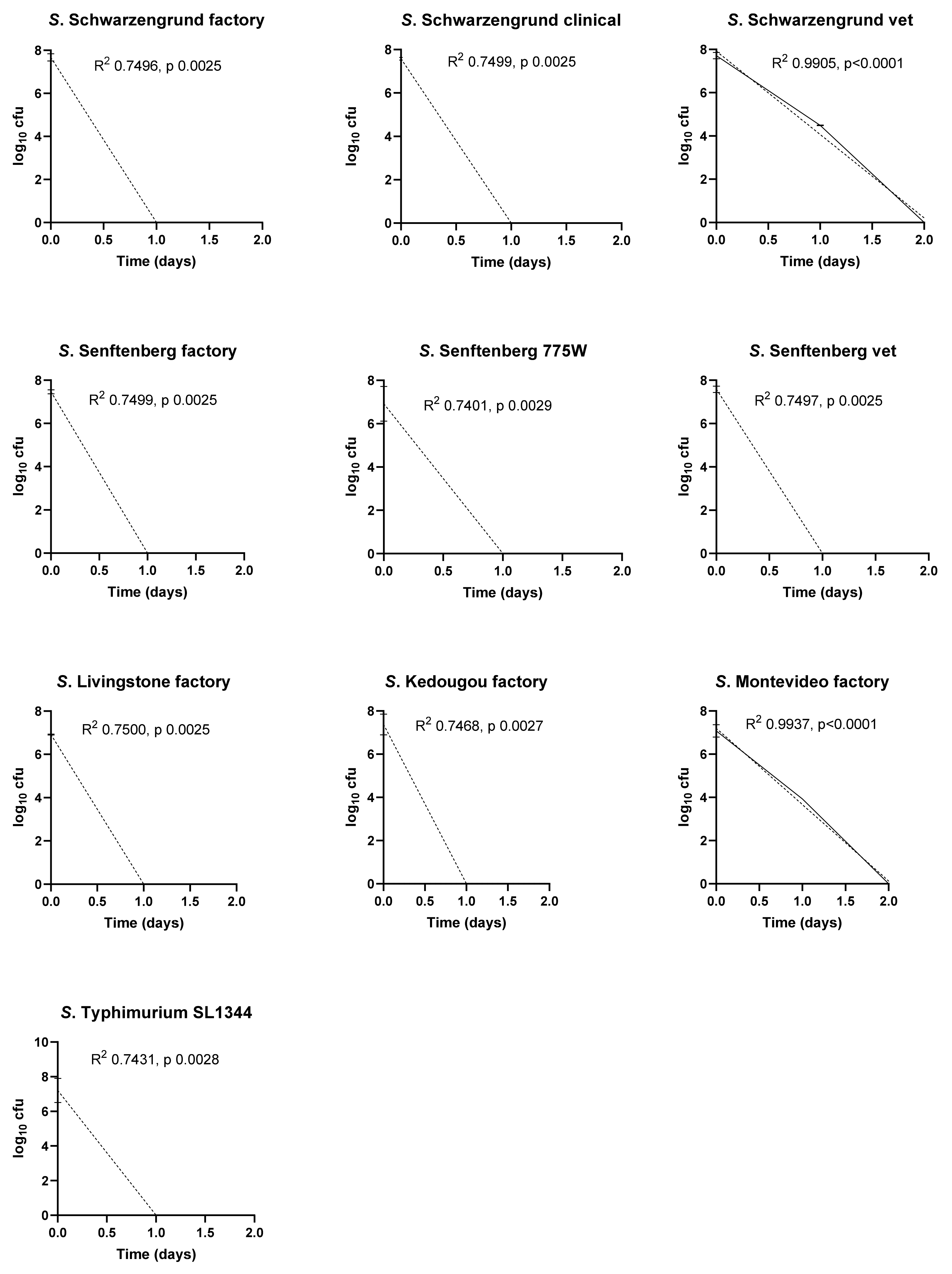
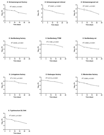
3. Results
4. Discussion
5. Conclusions
Supplementary Materials
Author Contributions
Funding
Institutional Review Board Statement
Informed Consent Statement
Data Availability Statement
Acknowledgments
Conflicts of Interest
References
- Bintsis, T. Foodborne pathogens. AIMS Microbiol. 2017, 3, 529–563. [Google Scholar] [CrossRef] [PubMed]
- Ehuwa, O.; Jaiswal, A.K.; Jaiswal, S. Salmonella, food safety and food handling practices. Foods 2021, 10, 907. [Google Scholar] [CrossRef] [PubMed]
- Igo, M.J.; Schaffner, D.W. Models for factors influencing pathogen survival in low water activity foods from literature data are highly significant but show large unexplained variance. Food Microbiol. 2021, 98, 103783. [Google Scholar] [CrossRef] [PubMed]
- Finn, S.; Condell, O.; McClure, P.; Amezquita, A.; Fanning, S. Mechanisms of survival, responses and sources of Salmonella in low-moisture environments. Front. Microbiol. 2013, 4, 331. [Google Scholar] [CrossRef] [PubMed]
- Carrasco, E.; Morales-Rueda, A.; Garcia-Gimeno, R.M. Cross-contamination and recontamination by Salmonella in foods: A review. Food Res. Int. 2012, 45, 545–556. [Google Scholar] [CrossRef]
- Behravesh, C.B.; Ferraro, A.; Deasy, M., 3rd; Dato, V.; Moll, M.; Sandt, C.; Rea, N.K.; Rickert, R.; Marriott, C.; Warren, K.; et al. Human Salmonella infections linked to contaminated dry dog and cat food, 2006–2008. Pediatrics 2010, 126, 477–483. [Google Scholar] [CrossRef] [PubMed]
- Centers for Disease Control and Prevention. Update: Recall of dry dog and cat food products associated with human Salmonella Schwarzengrund infections—United States. Morb. Mortal. Wkly. Rep. 2008, 57, 1200–1202. [Google Scholar]
- Centers for Disease Control and Prevention. Multistate outbreak of Salmonella infections associated with peanut butter and peanut butter–containing products—United States, 2008–2009. Morb. Mortal. Wkly. Rep. 2009, 58, 85–90. [Google Scholar]
- Gieraltowski, L.; Julian, E.; Pringle, J.; Macdonald, K.; Quilliam, D.; Marsden-Haug, N.; Saathoff-Huber, L.; Von Stein, D.; Kissler, B.; Parish, M.; et al. Nationwide outbreak of Salmonella Montevideo infections associated with contaminated imported black and red pepper: Warehouse membership cards provide critical clues to identify the source. Epidemiol. Infect. 2013, 141, 1244–1252. [Google Scholar] [CrossRef]
- Holah, J.; Lelieveld, H. Hygienic Design of Food Factories, 1st ed.; Woodhead Publishing: Cambridge, UK, 2011. [Google Scholar]
- Faille, C.; Cunault, C.; Dubois, T.; Benezech, T. Hygienic design of food processing lines to mitigate the risk of bacterial food contamination with respect to environmental concerns. Innov. Food Sci. Emerg. Technol. 2018, 46, 65–73. [Google Scholar] [CrossRef]
- Baker, C.G.J.; Ranken, D.; Kill, R.C. Food Industries Manual, 24th ed.; Springer: New York, NY, USA, 2012. [Google Scholar]
- Oliveira, K.; Oliveira, T.; Teixeira, P.; Azeredo, J.; Oliveira, R. Adhesion of Salmonella enteritidis to stainless steel surfaces. Braz. J. Microbiol. 2007, 38, 318–323. [Google Scholar] [CrossRef]
- Habimana, O.; Moretro, T.; Langsrud, S.; Vestby, L.; Nesse, L.; Heir, E. Micro ecosystems from feed industry surfaces: A survival and biofilm study of Salmonella versus host resident flora strains. BMC Vet. Res. 2010, 6, 48. [Google Scholar] [CrossRef] [PubMed]
- Veluz, G.A.; Pitchiah, S.; Alvarado, C.Z. Attachment of Salmonella serovars and Listeria monocytogenes to stainless steel and plastic conveyor belts. Poultry Sci. 2012, 91, 2004–2010. [Google Scholar] [CrossRef]
- Partington, E. Stainless Steel in the Food and Beverage Industry. In Materials and Applications Series, 1st ed.; Euro Inox, European Stainless Steel Development Association: Brussels, Belgium, 2006; Volume 7. [Google Scholar]
- Margas, E.; Meneses, N.; Conde-Petit, B.; Dodd, C.E.R.; Holah, J. Survival and death kinetics of Salmonella strains at low relative humidity, attached to stainless steel surfaces. Int. J. Food Microbiol. 2014, 187, 33–40. [Google Scholar] [CrossRef] [PubMed]
- Nguyen, S.V.; Harhay, G.P.; Bono, J.L.; Smith, T.P.L.; Harhay, D.M. Genome sequence of the thermotolerant foodborne pathogen Salmonella enterica serovar Senftenberg ATCC 43845 and phylogenetic analysis of loci encoding increased protein quality control mechanisms. mSystems 2017, 2, e00190-16. [Google Scholar] [CrossRef] [PubMed]
- Geeraerd, A.; Valdramidis, V.; Van Impe, J. GInaFiT, a freeware tool to assess non-log-linear microbial survivor curves. Int. J. Food Microbiol. 2005, 102, 95–105. [Google Scholar] [CrossRef] [PubMed]
- Bevilacqua, A.; Speranza, B.; Sinigaglia, M.; Corbo, M.R. A focus on the death kinetics in predictive microbiology: Benefits and limits of the most important models and some tools dealing with their application in foods. Foods 2012, 4, 565–580. [Google Scholar] [CrossRef]
- Van der Waal, Z. GInaFit: A User Guide. Available online: https://www.food.gov.uk/sites/default/files/media/document/fs241040glnafitmodelbuildguide.pdf (accessed on 7 November 2021).
- Albert, I.; Mafart, P.A. Modified Weibull model for bacterial inactivation. Int. J. Food Microbiol. 2005, 100, 197–211. [Google Scholar] [CrossRef]
- Coroller, L.; Leguerinel, I.; Mettler, E.; Savy, N.; Mafart, P. General model, based on two mixed Weibull distributions of bacterial resistance, for describing various shapes of inactivation curves. Appl. Environ. Microbiol. 2006, 72, 6493–6502. [Google Scholar] [CrossRef]
- Chaitiemwong, N.; Hazeleger, W.C.; Beumer, R.R. Survival of Listeria monocytogenes on a conveyor belt material with or without antimicrobial additives. Int. J. Food Microbiol. 2010, 142, 260–263. [Google Scholar] [CrossRef][Green Version]
- Shimoda, T.; Okubo, T.; Enoeda, Y.; Yano, R.; Nakamura, S.; Thapa, J.; Yamaguchi, H. Effect of thermal control of dry fomites on regulating the survival of human pathogenic bacteria responsible for nosocomial infections. PLoS ONE 2019, 14, e0226952. [Google Scholar] [CrossRef] [PubMed]
- Bashir, A.; Azeem, A.; Stedman, Y.; Hilton, A. Pet food factory isolates of Salmonella serotypes do not demonstrate enhanced biofilm formation compared to serotype-matched clinical and veterinary isolates. BioMed. Res. Int. 2019, 2019, 8569459. [Google Scholar] [CrossRef] [PubMed]
- Deblais, L.; Helmy, Y.; Testen, A.; Vrisman, C.; Jimenez Madrid, A.; Kathayat, D.; Miller, S.; Rajashekara, G. Specific environmental temperature and relative humidity conditions and grafting affect the persistence and dissemination of Salmonella enterica subsp. enterica serotype Typhimurium in tomato plant tissues. Appl. Environ. Microbiol. 2019, 85, e00403-19. [Google Scholar] [CrossRef] [PubMed]
- Lobacz, A.; Kowalik, J.; Zulewska, J. Determination of the survival kinetics of Salmonella spp. on the surface of ripened raw milk cheese during storage at different temperatures. Int. J. Food Sci. Technol. 2019, 55, 610–618. [Google Scholar] [CrossRef]




| Strain | Source |
|---|---|
| S. Schwarzengrund | Pet food factory USA |
| S. Schwarzengrund | FSL S5-458 American clinical |
| S. Schwarzengrund | Veterinary |
| S. Senftenberg | Pet food factory UK |
| S. Senftenberg 775W | ATCC 43845 |
| S. Senftenberg | Veterinary |
| S. Livingstone | Pet food factory UK |
| S. Kedougou | Pet food factory UK |
| S. Montevideo | Pet food factory UK |
| S. Typhimurium SL1344 | NCTC 13347 |
| 15% RH | 20% RH | 30% RH | 50% RH | 70% RH | |
|---|---|---|---|---|---|
| 37 °C | X | X | X | X | |
| 25 °C | X | X | X | X | |
| 10 °C | X | X | X |
| Strains | DRT at 10 °C/70% RH | DRT at 25 °C/15% RH | DRT at 37 °C/20% RH |
|---|---|---|---|
| S. Schwarzengrund factory | 4.91 | 9.12 | 0.26 |
| S. Schwarzengrund clinical | 3.90 | 8.08 | 0.26 |
| S. Schwarzengrund vet | 3.68 | 7.54 | 0.26 |
| S. Senftenberg factory | 6.10 | 10.68 | 0.27 |
| S. Senftenberg 775W | 2.76 (3.41) * | 18.04 | 0.29 |
| S. Senftenberg vet | 3.17 | 9.52 | 0.26 |
| S. Livingstone factory | 3.54 | 15.48 | 0.29 |
| S. Kedougou factory | 3.13 (7.05) * | 14.95 | 0.27 |
| S. Montevideo factory | 2.79 (5.20) * | 8.94 | 0.27 |
| S. Typhimurium SL1344 | 4.97 | 7.83 | 0.28 |
Publisher’s Note: MDPI stays neutral with regard to jurisdictional claims in published maps and institutional affiliations. |
© 2022 by the authors. Licensee MDPI, Basel, Switzerland. This article is an open access article distributed under the terms and conditions of the Creative Commons Attribution (CC BY) license (https://creativecommons.org/licenses/by/4.0/).
Share and Cite
Bashir, A.; Lambert, P.A.; Stedman, Y.; Hilton, A.C. Combined Effect of Temperature and Relative Humidity on the Survival of Salmonella Isolates on Stainless Steel Coupons. Int. J. Environ. Res. Public Health 2022, 19, 909. https://doi.org/10.3390/ijerph19020909
Bashir A, Lambert PA, Stedman Y, Hilton AC. Combined Effect of Temperature and Relative Humidity on the Survival of Salmonella Isolates on Stainless Steel Coupons. International Journal of Environmental Research and Public Health. 2022; 19(2):909. https://doi.org/10.3390/ijerph19020909
Chicago/Turabian StyleBashir, Amreen, Peter A. Lambert, Yvonne Stedman, and Anthony C. Hilton. 2022. "Combined Effect of Temperature and Relative Humidity on the Survival of Salmonella Isolates on Stainless Steel Coupons" International Journal of Environmental Research and Public Health 19, no. 2: 909. https://doi.org/10.3390/ijerph19020909
APA StyleBashir, A., Lambert, P. A., Stedman, Y., & Hilton, A. C. (2022). Combined Effect of Temperature and Relative Humidity on the Survival of Salmonella Isolates on Stainless Steel Coupons. International Journal of Environmental Research and Public Health, 19(2), 909. https://doi.org/10.3390/ijerph19020909

