Air Pollution Characteristics during the 2022 Beijing Winter Olympics
Abstract
:1. Introduction
2. Data and Methods
2.1. Data Acquisition
2.2. Methodology
2.2.1. Time Period Divisions
2.2.2. Correlation Analysis
3. Results and Discussion
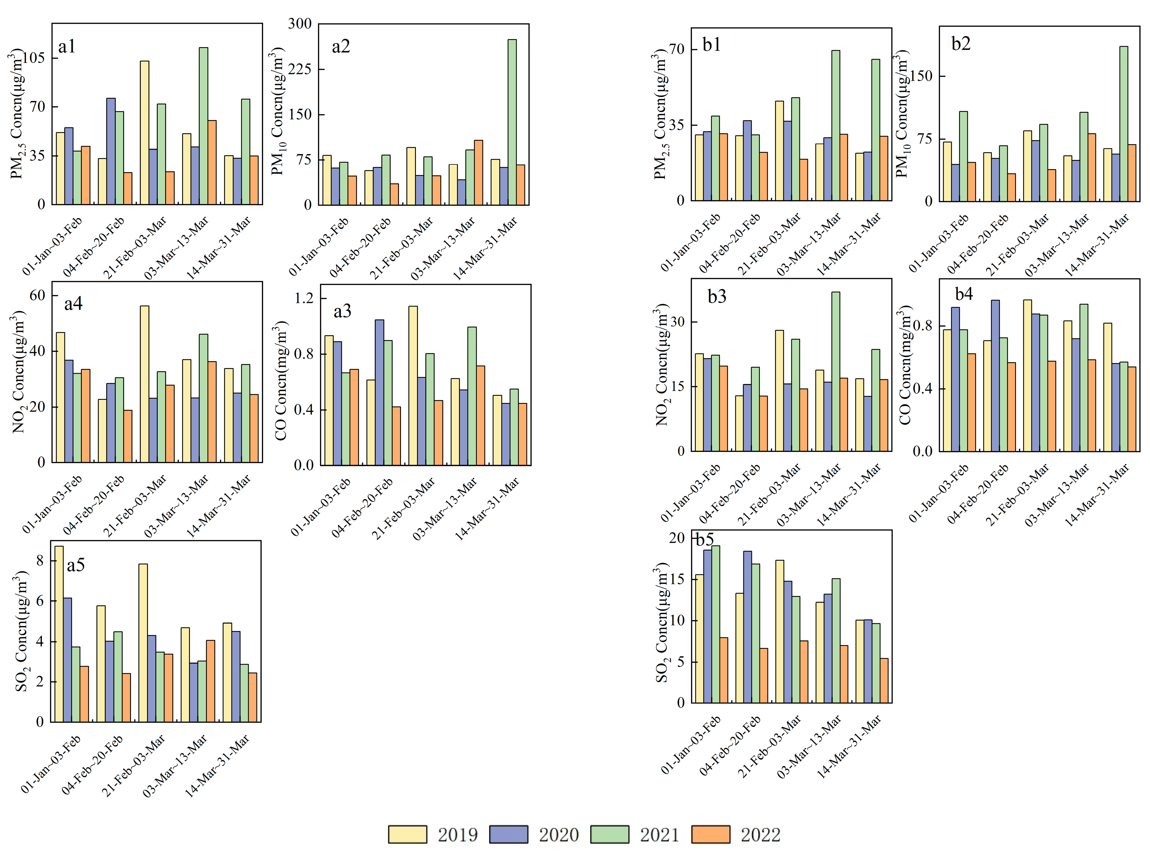
3.1. Overall Changes in Pollutant Concentrations
3.2. Daily Changes in Pollutant Concentrations
3.3. Daily Pollutant Variations
3.4. Meteorological Influences
3.5. Composite Pollution Characterization
4. Conclusions
- (1)
- The concentrations of all five pollutants (PM2.5, PM10, NO2, CO, and SO2) in Beijing were in the order of DWO < BWO < AWP < DWP and those in Zhangjiakou city were in the order of DWO < BWO < DWP.
- (2)
- DWO, the average concentrations of PM2.5 (45.51%) and NO2 (43.67%) in Beijing decreased the most compared to the levels BWO, while the SO2 concentration (13.52%) decreased the least. NO2 exhibited the largest decrease in Zhangjiakou at 34.96%.
- (3)
- On the opening day of the Olympics (4 February), the PM2.5, PM10, CO, NO2, and SO2 concentrations reached very low values in Beijing (13.82 µg/m3, 20.13 µg/m3, 7.40 µg/m3, 0.47 mg/m3, and 6.09 µg/m3, respectively). The PM2.5 and PM10 concentrations varied widely without substantial peaks and the daily average maximum values were 65.56 and 69.79% lower than those DWO, respectively.
- (4)
- The frequency of southerly winds in Beijing DWO was ~20%, while only two days with southerly winds were observed in Zhangjiakou. The dominant wind direction on the ground was northerly/northwesterly for much of this time. The overall meteorological conditions were better in 2022 than during the same period in 2021.
- (5)
- The PM2.5/PM10 ratios in Beijing and Zhangjiakou were 0.65 and 0.67, respectively, DWO, which were 18.69 and 46.93% lower than those in the same period in 2021, respectively. This indicates that the contributions of coarse particulate matter to air pollution increased DWO. PM2.5/SO2 and NO2/SO2 values for Beijing and Zhangjiakou were lower DWO than those during other phases of the 2022 Winter Olympics, indicating a decrease in the contribution of traffic emissions.
Author Contributions
Funding
Data Availability Statement
Acknowledgments
Conflicts of Interest
References
- Wu, D.; Xin, J.Y.; Sun, Y.; Wang, Y.S.; Wang, P.C. Changes in background concentrations of air pollutants in North China during the 2008 Olympic Games. Environ. Sci. 2010, 31, 1130–1138. (In Chinese) [Google Scholar]
- Wang, T.; Nie, W.; Gao, J.; Xue, L.K.; Gao, X.M.; Wang, X.F.; Qiu, J.; Poon, C.N.; Meinardi, S.; Blake, D.; et al. Air quality during the 2008 Beijing Olympics: Secondary pollutants and regional impact. Atmos. Chem. Phys. 2010, 10, 7603–7615. [Google Scholar] [CrossRef]
- Wang, S.; Gao, J.; Zhang, Y.; Zhang, J.; Cha, F.; Wang, T.; Ren, C.; Wang, W. Impact of emission control on regional air quality: An observational study of air pollutants before, during and after the Beijing Olympic Games. J. Environ. Sci. 2014, 26, 175–180. [Google Scholar] [CrossRef]
- Cheng, N.L.; Li, Y.T.; Zhang, D.W.; Chen, T.; Sun, F.; Li, L.J.; Li, J.X. Analysis of air quality improvement in Beijing during APEC 2014. Environ. Sci. 2016, 37, 66–73. (In Chinese) [Google Scholar]
- Huang, K.; Zhang, X.; Lin, Y. The “APEC Blue” phenomenon: Regional emission control effects observed from space. Atmos. Res. 2015, 164, 65–75. [Google Scholar] [CrossRef]
- Li, R.; Mao, H.; Wu, L.; He, J.; Ren, P.; Li, X. The evaluation of emission control to PM concentration during Beijing APEC in 2014. Atmos. Pollut. Res. 2016, 7, 363–369. [Google Scholar] [CrossRef]
- Sun, F.K. Impact of APEC Restrictions on Air Quality. Masters’ Thesis, Shandong University, Jinan, China, 2016. (In Chinese). [Google Scholar]
- Zhang, S.H. Study on the Linkage Management of Regional Air Pollution Considering Intercity Transmission. Ph.D. Thesis, Shanghai University, Shanghai, China, 2017. (In Chinese). [Google Scholar]
- Bo, X.; Wang, G.; Wen, R.; He, Y.J.; Ding, F.; Wu, C.; Meng, F. Air pollution impacts of thermal power plants in Beijing-Tianjin-Hebei region. China Environ. Sci. 2015, 35, 364–373. (In Chinese) [Google Scholar]
- Zheng, K. Observation and Simulation Study of Spatial and Temporal Variation of Near-Surface CO2 in the Beijing-Tianjin-Hebei Region. Masters’ Thesis, Nanjing Information Engineering University, Nanjing, China, 2020. (In Chinese). [Google Scholar]
- Li, R.; Li, Z.; Gao, W.; Ding, W.; Xu, Q.; Song, X. Diurnal, seasonal, and spatial variation of PM 2.5 in Beijing. Sci. Bull. 2015, 60, 387–395. [Google Scholar] [CrossRef]
- Yu, Y.J.; Meng, X.Y.; Wang, Z.; Zhou, W.; Yu, H.X. Trends and causes of urban ozone pollution in Beijing-Tianjin-Hebei region. Environ. Sci. 2020, 41, 106–114. (In Chinese) [Google Scholar]
- Li, J.D. Characteristics of PM2.5 Pollution and Source Changes in Zhangjiakou in the Context of Clean Atmospheric Environment in the Mountainous Area at the Northwest Edge of Beijing-Tianjin-Hebei. Masters’ Thesis, Nanjing Information Engineering University, Nanjing, China, 2021. (In Chinese). [Google Scholar]
- Pan, J.X.; Yan, P.Z.; Li, Y.T.; Zhang, D.W.; Wang, Z.S. Numerical simulation of air pollution during the same period of the Beijing Winter Olympics. Environ. Sci. Res. 2017, 30, 1325–1334. (In Chinese) [Google Scholar]
- Chen, W.J.; Wang, D.D.; Lu, Y.X.; Han, Y.I. Characteristics of six air quality indexes and their responses to environmental factors in the sites of 24th Winter Olympic Games. J. Northwest For. Acad. 2021, 36, 1–10. (In Chinese) [Google Scholar]
- Xiao, Z.M.; Cai, Z.Y.; Li, P.; Xu, H.; Liu, B.; Zheng, N.Y.; Tang, M.; Chen, K.; Deng, X. Analysis of pollution characteristics of heavy polluted weather in Tianjin during the Spring Festival in 2020. J. Environ. Sci. 2020, 40, 4442–4452. (In Chinese) [Google Scholar]
- Li, Y.; Tang, W.; Du, Z.H.; Zhang, Z.Z.; Du, X.H.; Xue, Z.G. Evaluation of the effect of air pollution control measures in autumn and winter in “2+26” cities. China Environ. Sci. 2021, 41, 4484–4494. (In Chinese) [Google Scholar]
- Xu, S.X.; Zhang, Z.C.; Du, X.H.; Li, Y.; Zhang, S.X.; Meng, F. Impacts of residential bulk coal combustion control in Beijing, Tianjin, Hebei and surrounding areas on PM2.5 in Beijing. Environ. Sci. Res. 2021, 34, 2876–2886. (In Chinese) [Google Scholar]
- Li, Y.Y.; Pan, R. An empirical study on the impact of heavy-duty trucks on heavy pollution weather in Beijing. In Proceedings of the Chinese Academy of Environmental Sciences 2019 Annual Conference, Xi’an, China, 23–25 August 2019; Volume 605–610. (In Chinese). [Google Scholar]
- Xiaoqi, W.; Wenjiao, D.; Jiaxian, Z.; Wei, W.; Shuiyuan, C.; Shushuai, M. Nonlinear influence of winter meteorology and precursor on PM2.5 based on mathematical and numerical models: A COVID-19 and Winter Olympics case study. Atmos. Environ. 2022, 278, 119072. [Google Scholar] [CrossRef]
- Zheng, B.; Tong, D.; Li, M.; Liu, F.; Hong, C.; Geng, G.; Li, H.; Li, X.; Peng, L.; Qi, J.; et al. Concentrations, correlations and chemical species of PM2.5/PM10 based on published data in China: Potential implications for the revised particulate standard. Chemosphere 2018, 144, 518–526. [Google Scholar]
- Jiang, P.; Khishgee, S.; Alimujiang, A.; Dong, H. Cost-effective approaches for reducing carbon and air pollution emissions in the power industry in China. J. Environ. Manag. 2020, 264, 110452. [Google Scholar] [CrossRef]
- Shao, P. Joint Observation Study of Air Pollution in Zhangjiakou, Beijing and Langfang. Masters’ Thesis, Nanjing University of Information Engineering, Nanjing, China, 2012. (In Chinese). [Google Scholar]
- Shen, Y.; Yang, J.K.; Duan, W. Air Quality characterization of Kunming City in 2019. J. Environ. Sci. 2021, 40, 60–63. (In Chinese) [Google Scholar]
- Liu, C.; Bai, W.G.; Zhang, P.; Sun, Y.W.; Si, F.Q. Analysis of global atmospheric CO column concentration inversion method and results based on satellite platform. J. Phys. 2013, 62, 101–107. (In Chinese) [Google Scholar]
- Zhao, Y.Y.; Zhang, X.P.; Chen, X.X.; Gao, S.S.; Li, R.K. Regional differences and attribution analysis of urban air quality in China. J. Geogr. 2021, 76, 2814–2829. (In Chinese) [Google Scholar]
- Yan, P.; Huang, R.D. Preliminary study on the influence of peripheral areas on ground-level SO2 in Beijing. J. Appl. Meteorol. 2002, 18, 144–152. (In Chinese) [Google Scholar]
- Ding, Y.T.; Zhang, M.; Qian, X.Y.; Li, C.G.; Chen, S.; Wang, W.W. Using the geographical detector technique to explore the impact of socioeconomic factors on PM2.5 concentrations in China. J. Clean. Prod. 2019, 211, 1480–1490. [Google Scholar] [CrossRef]
- Ji, D.D.; Cui, Y.; Li, L.; He, J.; Wang, L.L.; Zhang, H.L.; Wang, W.; Zhou, L.X.; Maenhaut, W.; Wen, T.X.; et al. Characterization and source identification of fine particulate matter in urban Beijing during the 2015 Spring Festival. Sci. Total Environ. 2018, 628–629, 430–440. [Google Scholar] [CrossRef] [PubMed]
- Song, Y.M.; Huang, B.; He, Q.Q.; Chen, B.; Wei, J.; Mahmood, R. Dynamic assessment of PM2.5 exposure and health risk using remote sensing and geo-spatial big data. Environ. Pollut. 2019, 253, 288–296. [Google Scholar] [CrossRef] [PubMed]
- Xie, W.J.; Xu, W.S.; Xian, A.D. Analysis of the impact of fireworks display on air quality in Sanya City. Environ. Chem. 2021, 40, 3491–3500. (In Chinese) [Google Scholar]
- Xu, W.; Shuai, W.; Chen, R.; Chen, K.; Zhao, D.H.; Xie, X.; Meng, X.; Xue, Y. Impact of fireworks display on air quality in Haikou City during the Spring Festival. China Environ. Monitor. 2020, 36, 104–111. (In Chinese) [Google Scholar]
- Laakso, L.; Hussein, T.; Aarnio, P.; Komppula, M.; Hiltunen, V.; Viisanen, Y.; Kulmala, M. Diurnal and annual characteristics of particle mass and number concentrations in urban, rural and Arctic environments in Finland. Atmos. Environ. 2003, 37, 2629–2641. [Google Scholar] [CrossRef]
- Zhao, X.; Zhang, X.; Xu, X.; Xu, J.; Meng, W.; Pu, W. Seasonal and diurnal variations of ambient PM2.5 concentration in urban and rural environments in Beijing. Atmos. Environ. 2009, 43, 2893–2900. [Google Scholar] [CrossRef]
- Briz-Redón, Á.; Belenguer-Sapiña, C.; Serrano-Aroca, Á. Changes in air pollution during COVID-19 lockdown in Spain: A multi-city study. J. Environ. Sci. 2021, 101, 16–26. [Google Scholar] [CrossRef]
- Wang, H.; Miao, Q.; Shen, L.; Yang, Q.; Wu, Y.; Wei, H.; Yin, Y.; Zhao, T.; Zhu, B.; Lu, W. Characterization of the aerosol chemical composition during the COVID-19 lockdown period in Suzhou in the Yangtze River Delta, China. J. Environ. Sci. 2021, 102, 110–122. [Google Scholar] [CrossRef]
- Lin, W.; Xu, X.; Ge, B.; Zhang, X. Characteristics of gaseous pollutants at Gunching, a rural site southwest of Beijing. J. Geophys. Res. 2009, 114, D2. [Google Scholar]
- Zhang, Z.Y.; Li, Y.; Dai, G.J.; Wang, W.Q.; Cheng, Y.X. Characteristics of changes in concentrations of major air pollutants in Chaoyang district, Beijing. J. Meteorol. Environ. 2016, 32, 44–51. (In Chinese) [Google Scholar]
- Luo, Q.W. A Successful Weather Forecast for the Opening Ceremony. Beijing Daily, 5 February 2022. (In Chinese) [Google Scholar]
- Zhao, F.; Zheng, Y.F.; Zhang, Y.X.; Wang, Z.S. Spatial and temporal distribution of air pollution and population exposure in Beijing, Tianjin and Hebei. J. Environ. Sci. 2020, 40, 1–12. (In Chinese) [Google Scholar]
- Zhang, H.Y.; Wen, W.; Cheng, S.H.; Lv, Z. Study on typical heavy pollution processes and feedback effects in Beijing-Tianjin-Hebei region. China Environ. Sci. 2018, 38, 1209–1220. (In Chinese) [Google Scholar]
- Gao, Y.Z.; Pan, H.S.; Zhang, G.H.; Li, T.; Zhou, X.J. Impact of changing meteorological conditions on air quality in Harbin. Meteorol. Sci. Technol. 2003, 12, 361–365. (In Chinese) [Google Scholar]
- Giorgi, F.; Meleux, F. Modelling the regional effects of climate change on air quality. Comptes Rendus Geosci. 2007, 339, 721–733. [Google Scholar] [CrossRef]
- Vardoulakis, S.; Kassomenos, P. Sources and factors affecting PM10 levels in two European cities: Implications for local air quality management. Atmos. Environ. 2008, 42, 3949–3963. [Google Scholar] [CrossRef]
- He, J.J.; Yu, Y.; Liu, N.; Zhao, S.P.; Chen, J.B.; Yu, L.J. Effects of meteorological conditions and pollutant emissions on winter air quality in Lanzhou City. Highl. Meteorol. 2016, 35, 1577–1583. (In Chinese) [Google Scholar]
- Tie, X.; Huang, R.; Cao, J.; Zhang, Q.; Cheng, Y.; Su, H.; Chang, D.; Pöschl, U.; Hoffmann, T.; Dusek, U.; et al. Severe pollution in China amplified by atmospheric moisture. Sci. Rep. 2017, 7, 15760. [Google Scholar] [CrossRef]
- Zhang, N.; Xiong, H.G.; Ge, X.X.; Duan, P.C.; Mao, X.R.; Wang, Y.L. Response of human respiratory height PM2.5 variation characteristics to meteorological factors during winter haze days in Beijing. Environ. Sci. 2016, 37, 2419–2427. (In Chinese) [Google Scholar]
- Miao, Y.C.; Peng, Y.Y.; Li, J.; Zhang, G. Study on the characteristics of aerosol pollution in high altitude circulation during the historical period of Beijing Winter Olympic Games and Winter Paralympic Games. J. Peking Univ. (Nat. Sci. Ed.) 2020, 56, 815–823. (In Chinese) [Google Scholar]
- Yang, S.K. Analysis of air pollution characteristics and meteorological factors in Tianjin. Environ. Sustain. Dev. 2021, 46, 144–150. (In Chinese) [Google Scholar]
- Zhao, C.X.; Wang, Y.Q.; Wang, Y.J.; Zhang, H.L.; Zhao, B.Q. Spatial and temporal distribution of PM2.5 and PM10 pollution levels in Beijing in winter and spring and their relationship with meteorological conditions. Environ. Sci. 2014, 35, 418–427. (In Chinese) [Google Scholar]
- Zhou, X.; Cao, Z.; Ma, Y.; Wang, L.P.; Wu, R.D.; Wang, W.X. Concentrations, correlations and chemical species of P M2.5/PM10 based on published data in China: Potential implications for the revised particulate standard. Chemosphere. Sci. 2016, 144, 518–526. [Google Scholar] [CrossRef] [PubMed]
- Song, C.; He, J.; Wu, L.; Jin, T.; Chen, X.; Li, R.; Ren, P.; Zhang, L.; Mao, H. Health burden attributable to ambient PM2.5 in China. Environ. Pollut. 2017, 223, 575–586. [Google Scholar] [CrossRef]
- Aneja, V.P.; Agarwal, A.; Roelle, P.A.; Phillips, S.B.; Tong, Q.; Watkins, N.; Yablonsky, R. Measurements and analysis of criteria pollutants in New Delhi, India. Environ. Int. 2001, 27, 35–42. [Google Scholar] [CrossRef]





| Time Period | NO2 | CO | PM10 | PM2.5 | SO2 | |
|---|---|---|---|---|---|---|
| Beijing | Total Average | −16.08% | −23.45% | −52.35% | −42.29% | −20.59% |
| DWO | −38.08% | −52.95% | −57.94% | −65.80% | −46.33% | |
| DWP | −21.16% | −28.15% | 17.28% | −46.43% | 33.80% | |
| Spring Festival | −71.82% | −60.19% | −79.19% | −76.69% | −38.38% | |
| Zhangjiakou | Total Average | −30.01% | −22.37% | −54.90% | −41.34% | −54.74% |
| DWO | −34.16% | −21.73% | −50.27% | −26.93% | −60.55% | |
| DWP | −54.14% | −37.61% | −23.66% | −55.68% | −53.54% | |
| Spring Festival | −56.33% | −21.46% | −73.14% | −48.75% | −57.81% |
| Period | Beijing | Zhangjiakou | ||||
|---|---|---|---|---|---|---|
| Wind Speed (m/s) | Temperature (°C) | Relative Humidity (%) | Wind Speed (m/s) | Temperature (℃) | Relative Humidity (%) | |
| BWO | 2.27 | −2.61 | 49.5 | 2.5 | −7.61 | 46.65 |
| DWO | 2.84 | −2.63 | 39.76 | 3.08 | −8.58 | 45.47 |
| Interval | 2.86 | 3.55 | 29.45 | 2.92 | −1.66 | 33.91 |
| DWP | 2.3 | 7.52 | 43.3 | 3.01 | 4.92 | 32.8 |
| AWP | 2.66 | 7.02 | 51.72 | 2.97 | 9.35 | 49.61 |
| 1 January–31 March 2022 | 2.53 | 1.19 | 44.97 | 2.81 | −2.28 | 43.92 |
| 1 January–31 March 2021 | 2.6 | 2.21 | 45.54 | 2.97 | −1.04 | 40.61 |
| Meteorological Factor | NO2 | CO | PM10 | PM2.5 | SO2 |
|---|---|---|---|---|---|
| Wind Speed | −0.485 ** | −0.429 ** | −0.213 * | −0.362 ** | −0.170 |
| Temperature | −0.230 * | −0.220 * | 0.279 ** | 0.024 | −0.040 |
| Relative Humidity | 0.488 ** | 0.644 ** | 0.384 ** | 0.624 ** | 0.081 |
| Ratio | Beijing | Zhangjiakou | ||||
|---|---|---|---|---|---|---|
| NO2/SO2 | PM2.5/PM10 | PM2.5/SO2 | NO2/SO2 | PM2.5/PM10 | PM2.5/SO2 | |
| BWO | 12.04 | 0.87 | 15.04 | 2.48 | 0.66 | 3.90 |
| DWO | 7.84 | 0.65 | 9.48 | 1.93 | 0.67 | 3.36 |
| Interval | 8.25 | 0.48 | 6.96 | 1.91 | 0.50 | 2.52 |
| DWP | 8.94 | 0.56 | 14.86 | 2.41 | 0.38 | 4.40 |
| AWP | 10.05 | 0.53 | 14.42 | 3.06 | 0.44 | 5.51 |
| 1 January–31 March 2022 | 9.99 | 0.66 | 12.85 | 2.39 | 0.54 | 3.93 |
| 1 January–31 March 2021 | 9.46 | 0.54 | 17.68 | 1.54 | 0.42 | 3.03 |
Publisher’s Note: MDPI stays neutral with regard to jurisdictional claims in published maps and institutional affiliations. |
© 2022 by the authors. Licensee MDPI, Basel, Switzerland. This article is an open access article distributed under the terms and conditions of the Creative Commons Attribution (CC BY) license (https://creativecommons.org/licenses/by/4.0/).
Share and Cite
Chu, F.; Gong, C.; Sun, S.; Li, L.; Yang, X.; Zhao, W. Air Pollution Characteristics during the 2022 Beijing Winter Olympics. Int. J. Environ. Res. Public Health 2022, 19, 11616. https://doi.org/10.3390/ijerph191811616
Chu F, Gong C, Sun S, Li L, Yang X, Zhao W. Air Pollution Characteristics during the 2022 Beijing Winter Olympics. International Journal of Environmental Research and Public Health. 2022; 19(18):11616. https://doi.org/10.3390/ijerph191811616
Chicago/Turabian StyleChu, Fangjie, Chengao Gong, Shuang Sun, Lingjun Li, Xingchuan Yang, and Wenji Zhao. 2022. "Air Pollution Characteristics during the 2022 Beijing Winter Olympics" International Journal of Environmental Research and Public Health 19, no. 18: 11616. https://doi.org/10.3390/ijerph191811616
APA StyleChu, F., Gong, C., Sun, S., Li, L., Yang, X., & Zhao, W. (2022). Air Pollution Characteristics during the 2022 Beijing Winter Olympics. International Journal of Environmental Research and Public Health, 19(18), 11616. https://doi.org/10.3390/ijerph191811616
