Optimization of Conditions for Feather Waste Biodegradation by Geophilic Trichophyton ajelloi Fungal Strains towards Further Agricultural Use
Abstract
1. Introduction
2. Materials and Methods
2.1. Isolation of Trichophyton ajelloi Strains
2.2. Trichophyton ajelloi Identification
2.2.1. Characteristics of Morphological Features
2.2.2. Identification Using Molecular Methods
2.3. Preliminary Evaluation of the Effect of Temperature on the Growth of Trichophyton ajelloi Fungi
2.4. Preliminary Evaluation of Hydrolytic Abilities of Trichophyton ajelloi Strains
2.5. Optimization of Medium Composition and Culture Conditions of Trichophyton ajelloi Strains in the Process of Feather Keratin Biodegradation
2.5.1. Fungal Culture
2.5.2. Optimization of Substrate Composition
2.5.3. Determination of Optimal Medium pH
2.5.4. Determination of Optimal Culture Temperature
2.5.5. Determination of Optimal Culture Method
2.6. Parameters of Trichophyton ajelloi Biodegradation Activity
2.6.1. Determination of the Activity of Enzymes Involved Feather Keratin Biodegradation
2.6.2. Determination of Organic and Mineral Forms of Nitrogen and Sulfur and pH
2.6.3. Feather Weight Loss
2.7. Statistical Analysis
3. Results
3.1. Preliminary Evaluation of Temperature Effect on Trichophyton ajelloi Growth
3.2. Preliminary Evaluation of Hydrolytic Abilities of Trichophyton ajelloi
3.3. Optimization of Culture Conditions and Substrate Composition
3.3.1. Effect of Carbon and Nitrogen Source on Feather Keratin Biodegradation by Trichophyton ajelloi
Enzymatic Activity
Release of Soluble Proteins, Peptides and Amino Acids
Ammonium Ion Release and Sulfate Ion Generation
Effect of Chicken Feather Waste Concentration on Biodegradation Activity of Trichophyton ajelloi
Changes in the pH of Culture Fluids
Feather Weight Loss
3.3.2. Effect of Culture Medium pH on Biodegradation of Chicken Feathers
Enzymatic Activity
Release of Soluble Proteins, Peptides, and Amino Acids
Ammonium Ion Release and Sulfate Ion Generation
Changes in Medium pH
Feather Weight Loss
3.3.3. Effect of Culture Medium Temperature on Chicken Feather Biodegradation
Enzymatic Activity
Release of Soluble Proteins, Peptides, and Amino Acids
Ammonium Ion Release and Sulfate Ion Generation
Changes in the pH of Culture Fluids
Feather Weight Loss
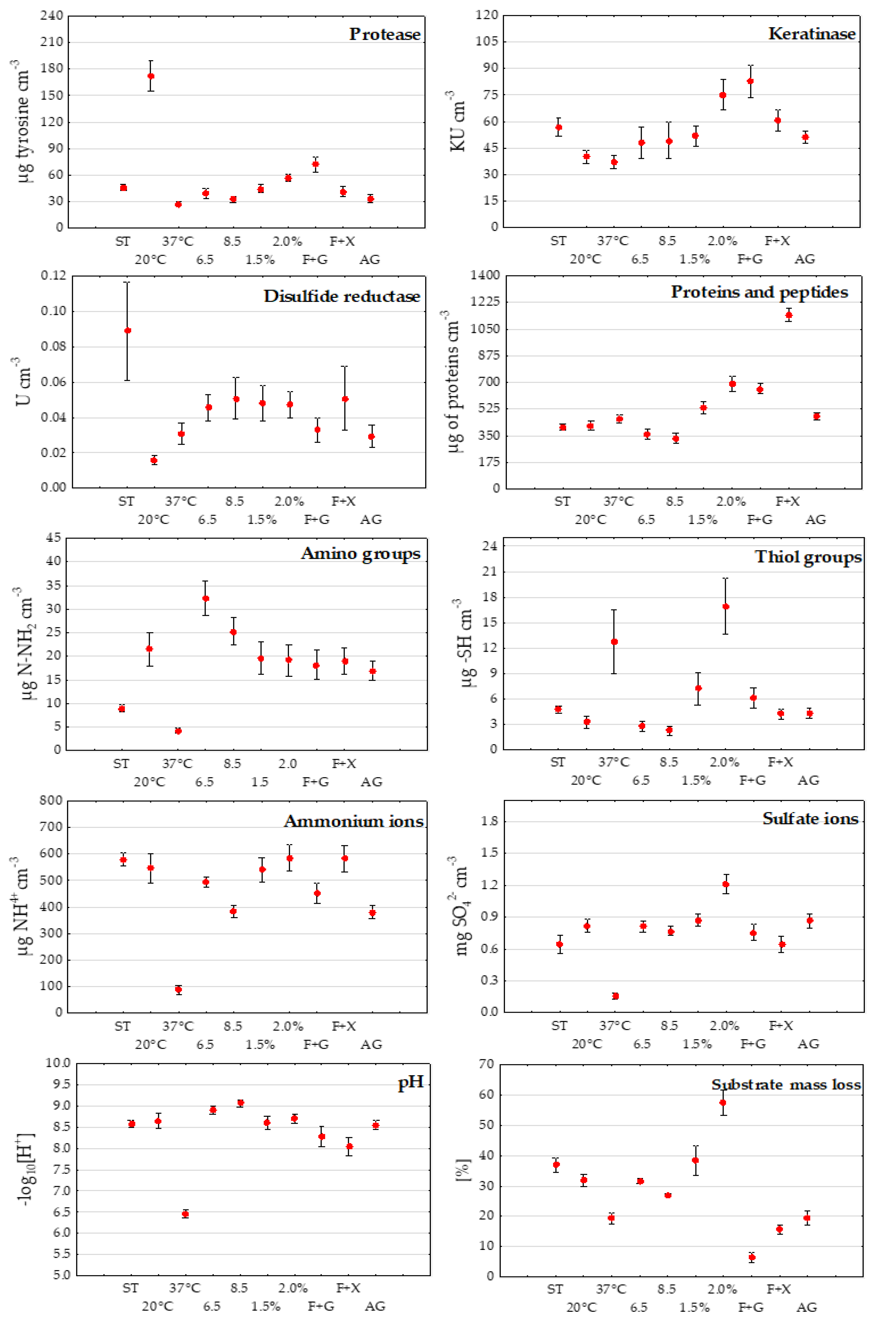
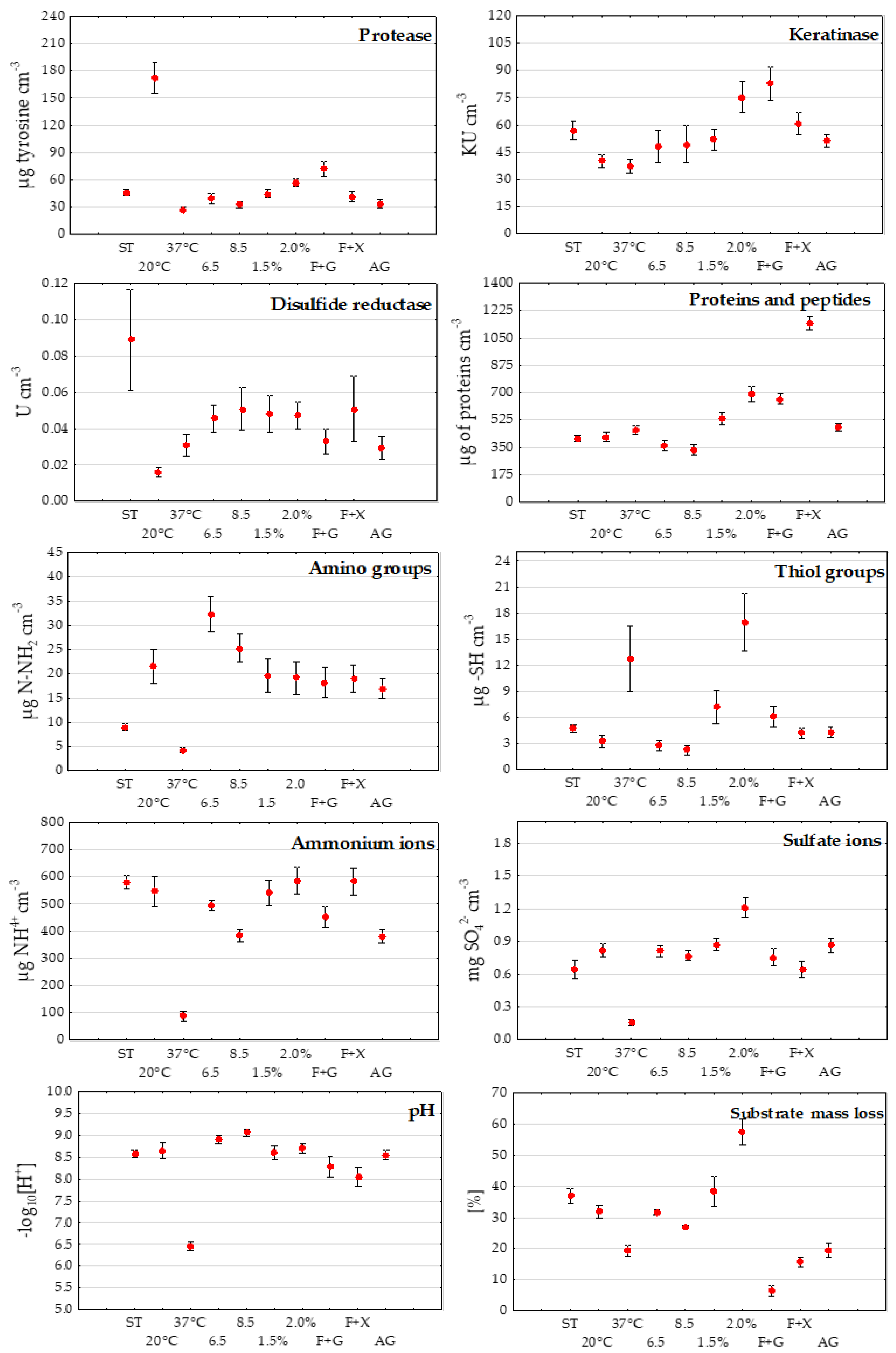
3.3.4. Effect of Culture Method on Chicken Feather Biodegradation
Enzymatic Activity
Release of Soluble Proteins, Peptides and Amino Acids
Ammonium Ion Release and Sulfate Ion Generation
Changes in the pH of Culture Fluids
Feather Weight Loss
3.3.5. Amino Acid Composition in Optimized Cultures
3.4. Statistical Evaluation of Culture Condition Optimization
4. Discussion
4.1. Feather Weight Loss
4.2. Enzymatic Activity under Optimized Culture Conditions
4.3. Soluble Proteins and Peptides, Amino Acids and Mineral Biodegradation Products of Chicken Feather Keratin
5. Conclusions
Supplementary Materials
Author Contributions
Funding
Institutional Review Board Statement
Informed Consent Statement
Data Availability Statement
Acknowledgments
Conflicts of Interest
References
- Korniłłowicz–Kowalska, T.; Bohacz, J. Biodegradation of keratin waste: Theory and practical aspects. Waste Manag. 2011, 31, 1689–1701. [Google Scholar] [CrossRef] [PubMed]
- Statistics Poland. Statistical Yearbook of Agriculture; Statistical Publishing Establishment: Warsaw, Poland, 2021; pp. 178–180.
- OECD–FAO. Agricultural Outlook 2017–2026; OECD Publishing: Paris, France, 2017; pp. 131–132. [Google Scholar] [CrossRef]
- Journal of Laws 2013, Item 21, Act on Waste of December 14, 2012; Government Legislative Center: Warsaw, Poland, 2013.
- Regulation (EC) No 1069/2009 of the European Parliament and of the Council of 21 October 2009 laying down health rules as regards animal by–products and derived products not intended for human consumption and repealing Regulation (EC) No 1774/2002 (Animal by–products Regulation). In Official Journal of European Union; Publications Office of the European Union: Luxembourg, 2009; pp. 1–33. [CrossRef]
- Bohacz, J. Lignocellulose–degrading enzymes, free–radical transformations during composting of lignocellulosic waste and biothermal phases in small–scale reactors. Sci. Total Environ. 2017, 580, 744–754. [Google Scholar] [CrossRef]
- Bohacz, J.; Korniłłowicz–Kowalska, J. Changes in enzymatic activity in composts containing chicken feathers. Bioresour. Technol. 2009, 100, 3604–3612. [Google Scholar] [CrossRef] [PubMed]
- Korniłłowicz–Kowalska, T.; Bohacz, J. Dynamics of growth and succession of bacterial and fungal communities during composting of feather waste. Bioresour. Technol. 2010, 101, 1268–1276. [Google Scholar] [CrossRef] [PubMed]
- Bohacz, J. Microbial strategies and biochemical activity during lignocellulosic waste composting in relation to the occurring biothermal phases. J. Environ. Manag. 2018, 206, 1052–1062. [Google Scholar] [CrossRef] [PubMed]
- Bohacz, J.; Korniłłowicz–Kowalska, T. Fungal diversity and keratinolytic activity of fungi from lignocellulosic composts with chicken feathers. Process Biochem. 2019, 80, 119–128. [Google Scholar] [CrossRef]
- Bohacz, J. Changes in mineral forms of nitrogen and sulfur and enzymatic activities during composting of lignocellulosic waste and chicken feathers. Environ. Sci. Pollut. R 2019, 26, 10333–10342. [Google Scholar] [CrossRef] [PubMed]
- Bohacz, J. Biodegradation of feather waste keratin by a keratinolytic soil fungus of the genus Chrysosporium and statistical optimization of feather mass loss. World J. Microbiol. Biot. 2017, 33, 13. [Google Scholar] [CrossRef]
- Bohacz, J.; Korniłłowicz–Kowalska, T.; Kitowski, I.; Ciesielska, A. Degradation of chicken feathers by Aphanoascus keratinophilus and Chrysosporium tropicum strains from pellets of predatory birds and its practical aspect. Int. Biodeter. Biodegr. 2020, 151, 104968. [Google Scholar] [CrossRef]
- Bohacz, J.; Możejko, M.; Kitowski, I. Arthroderma tuberculatum and Arthroderma multifidum isolated from soils in rook (Corvus frugilegus) colonies as producers of keratinolytic enzymes and mineral forms of N and S. Int. J. Environ. Res. Public Health 2020, 17, 9162. [Google Scholar] [CrossRef]
- Brandelli, A.; Sala, L.; Kalil, S.J. Microbial enzymes for bioconversion of poultry waste into added–value products. Food Res. Int. 2015, 73, 3–12. [Google Scholar] [CrossRef]
- Łaba, W.; Rodziewicz, A. Biodegradation of keratinous wastes from poultry industry involving bacteria of genera Bacillus and Sarcina. Acta Sci. Pol. Biotechnol. 2004, 3, 109–120. (In Polish) [Google Scholar]
- Chao, Y.; Xie, F.; Yang, J.; Lu, J.; Qian, S. Screening for a new Streptomyces strain capable on efficient keratin degradation. J. Environ. Sci. 2007, 19, 1125–1128. [Google Scholar] [CrossRef]
- Syed, D.G.; Lee, J.C.; Li, W.; Kim, C.; Agasar, D. Production, characterization and application of keratinase from Streptomyces gulbargensis. Bioresour. Technol. 2009, 100, 1868–1871. [Google Scholar] [CrossRef]
- Xie, F.; Chao, Y.; Yang, X.; Yang, J.; Xue, Z.; Luo, Y.; Qian, S. Purification and characterization of four keratinases produced by Streptomyces sp. strain 16 in native human foot skin medium. Bioresour. Technol. 2010, 101, 344–350. [Google Scholar] [CrossRef]
- Kačinová, J.; Tančinová, D.; Medo, J. Production of extracellular keratinase by Chrysosporium tropicum and Trichophyton ajelloi. J. Microbiol. Biotechnol. Food Sci. 2014, 3, 103–106. [Google Scholar]
- Kumar, J.; Kushwaha, R.K.S. Screening of fungi efficient in feather degradation and keratinase production. Arch. Appl. Sci. Res. 2014, 6, 73–78. [Google Scholar]
- Gopinath, S.C.B.; Anbu, P.; Lakshmipriya, T.; Tang, T.; Chen, Y.; Hashim, U.; Ruslinda, A.R.; Arshad, M.K.M. Biotechnological aspects and perspective of microbial keratinase production. BioMed Res. Int. 2015, 2015, 140726. [Google Scholar] [CrossRef]
- Śpiewak, R.; Szostak, W. Zoophilic and geophilic dermatophytoses among farmers and non–farmers in Eastern Poland. Ann. Agric. Environ. Med. 2000, 7, 125–129. [Google Scholar]
- Kačinová, J.; Tančinová, D.; Labuda, R. Keratinophilic fungi in soils stressed by occurrence of animals. J. Microbiol. Biotechnol. Food Sci. 2013, 2, 1436–1446. [Google Scholar]
- Bohacz, J.; Korniłłowicz–Kowalska, T. Species diversity of keratinophilic fungi in various soil types. Cent. Eur. J. Biol. 2012, 7, 259–266. [Google Scholar] [CrossRef]
- Bohacz, J.; Możejko, M.; Korniłłowicz–Kowalska, T.; Siebielec, G. Impact of ecological factors on the occurrence and spatial–taxonomic structure of keratinophilic fungi and their co–occurrence in arable soils. Agriculture 2022, 12, 194. [Google Scholar] [CrossRef]
- Korniłłowicz–Kowalska, T.; Kitowski, I.; Iglik, H. Geophilic dermatophytes and other keratinophilic fungi in the nests of wetland birds. Acta Mycol. 2011, 46, 83–107. [Google Scholar] [CrossRef]
- Ulfig, K. The occurrence of keratinolytic fungi in waste and waste–contaminated habitats. In Biology of Dermatophytes and Other Keratinophilic Fungi; Kushwaha, R., Guarro, J., Eds.; Revista Iberoamericana de Micologia: Bilbao, Spain, 2000; Volume 17, pp. 44–50. [Google Scholar]
- Ciesielska, A.; Bohacz, J.; Korniłłowicz–Kowalska, T.; Stączek, P. Microsatellite–primed PCR for intra–species genetic relatedness in Trichophyton ajelloi strains isolated in Poland from various soil samples. Microbes Environ. 2014, 29, 178–183. [Google Scholar] [CrossRef]
- Korniłłowicz–Kowalska, T. Studies on the decomposition of keratin wastes by saprotrophic microfungi. I. Criteria for evaluating keratinolytic activity. Acta Mycol. 1997, 32, 51–79. [Google Scholar] [CrossRef]
- Korniłłowicz–Kowalska, T. Studies on the decomposition of keratin wastes by saprotrophic microfungi. II. Sulphur and nitrogen balance. Acta Mycol. 1997, 32, 81–93. [Google Scholar] [CrossRef]
- Cai, C.; Zheng, X. Medium optimization for keratinase production in hair substrate by a new Bacillus subtilis KD–N2 using response surface methodology. J. Ind. Microbiol. Biot. 2009, 36, 875–883. [Google Scholar] [CrossRef]
- Pylak, M.; Oszust, K.; Frąc, M. Review report on the role of bioproducts, biopreparations, biostimulants and microbial inoculants in organic production of fruit. Rev. Environ. Sci. Biol. 2019, 18, 597–616. [Google Scholar] [CrossRef]
- World Reference Base of Soil Resources. International Soil Classification System for Naming Soils and Creating Legends for Soil Maps; Update 2015; World Soil Recourses Reports No. 106; FAO: Rome, Italy, 2015. [Google Scholar]
- Liu, D.; Paterson, R.R.M. Chrysosporium. In Molecular Detection of Human Fungal Pathogens, 1st ed.; Liu, D., Ed.; CRC Press, Taylor &Francis Group: Boca Raton, FL, USA, 2011; pp. 197–200. [Google Scholar]
- De Lima, G.G.; Schoenherr, Z.C.P.; Magalhães, W.L.E.; Tavares, L.B.B.; Helm, C.V. Enzymatic activities and analysis of a mycelium–based composite formation using peach palm (Bactris gasipaes) residues on Lentinula edodes. Bioresour. Bioprocess 2020, 7, 1–17. [Google Scholar] [CrossRef]
- Yu, R.J.; Harmon, S.R.; Blank, F. Isolation and purification of an extracellular keratinase of Trichophyton mentagrophytes. J. Bacteriol. 1968, 96, 1435–1436. [Google Scholar] [CrossRef]
- Anbu, P.; Hilda, A.; Sur, H.W.; Hur, B.K.; Jayanthi, S. Extracellular keratinase from Trichophyton sp. HA–2 isolated from feather dumping soil. Int. Biodeter. Biodegr. 2008, 62, 287–292. [Google Scholar] [CrossRef]
- Anson, M.L. The estimation of pepsin, trypsin, papain and cathepsin with hemoglobin. J. Gen. Physiol. 1938, 22, 79–89. [Google Scholar] [CrossRef] [PubMed]
- Korniłłowicz, T. Methods for determining keratinolytic activity of saprophytic fungi. Acta Mycol. 1994, 29, 169–178. [Google Scholar] [CrossRef]
- Holmgren, A. Bovine thioredoxin system: Purification of thioredoxin reductase from calf liver and thymus and studies of its function in disulfide reduction. J. Biol. Chem. 1977, 252, 4600–4606. [Google Scholar] [CrossRef]
- Aharonowitz, Y.; Av–Gay, Y.; Schreiber, R.; Cohen, G. Characterization of a thioredoxin–like disulfide reductase from Streptomyces clavuligerus and its possible role in b–lactam antibiotic biosynthesis. J. Bacteriol. 1993, 175, 623–629. [Google Scholar] [CrossRef][Green Version]
- Lowry, O.; Rosenbrough, N.J.; Farr, A.L.; Randall, R.J. Protein measurement with Folin phenol reagent. J. Biol. Chem. 1951, 93, 265–275. [Google Scholar] [CrossRef]
- Schacterle, G.R.; Pollack, R.L. A simplified method for the quantitative assay of small amounts of protein in biologic material. Anal. Biochem. 1973, 51, 654–655. [Google Scholar] [CrossRef]
- Ellman, G.L. Tissue sulfhydryl groups. Arch. Biochem. Biophys. 1959, 82, 70–77. [Google Scholar] [CrossRef]
- Nilsson, M.; Andreas, L.; Lagerkvist, A. Effect of accelerated carbonation and zero valent iron on metal leaching from bottom ash. Waste Manag. 2016, 51, 97–104. [Google Scholar] [CrossRef]
- Liang, J.D.; Han, Y.F.; Zhang, J.W.; Du, W.; Liang, Z.Q.; Li, Z.Z. Optimal culture conditions for keratinase production by a novel thermophilic Myceliophthora thermophila strain GZUIFR–H49–1. J. Appl. Microbiol. 2011, 110, 871–880. [Google Scholar] [CrossRef]
- Kunert, J. Physiology of Keratinophilic Fungi. In Biology of Dermatophytes and Other Keratinophilic Fungi; Kushwaha, R., Guarro, J., Eds.; Revista Iberoamericana de Micologia: Bilbao, Spain, 2000; Volume 17, pp. 77–85. [Google Scholar]
- Günyar, O.A.; Kıraç, S.; Aldı, B.; Ergi, C. Isolation and identification of keratinophilic fungi in soil samples from excavation area of ancient city of Stratonikeia, Turkey and determination of its enzyme potentials. J. Environ. Biol. 2020, 41, 1521–1525. [Google Scholar] [CrossRef]
- Călin, M.; Constantinescu–Aruxandei, D.; Alexandrescu, E.; Răut, I.; Doni, M.B.; Arsene, M.L.; Oancea, F.; Jecu, L.; Lazăr, V. Degradation of keratin substrates by keratinolytic fungi. Electron. J. Biotechnol. 2017, 28, 101–112. [Google Scholar] [CrossRef]
- Muhsin, T.M.; Hadi, R.B. Degradation of keratin substrates by fungi isolated from sewage sludge. Mycopathologia 2001, 154, 185–189. [Google Scholar] [CrossRef]
- Li, Q. Structure, application, and biochemistry of microbial keratinases. Front. Microbiol. 2021, 12, 674345. [Google Scholar] [CrossRef]
- Mini, K.D.; George, S.M.; Mathew, J. Screening and selection of fungus for keratinase production by solid state fermentation and optimization of conditions of SSF and formulation of low cost medium for the production of keratinase by Aspergillus flavus S125. Int. J. Curr. Microbiol. Appl. Sci. 2015, 4, 535–548. [Google Scholar]
- Anbu, P.; Gopinath, S.C.B.; Hilda, A.; Lakshmipriya, T.; Annadurai, G. Optimization of extracellular keratinase production by poultry farm isolate Scopulariopsis brevicaulis. Bioresour. Technol. 2007, 98, 1298–1303. [Google Scholar] [CrossRef]
- Singh, C.J. Extracellular protease expression in Microsporum gypseum complex, its regulation and keratinolytic potential. Mycoses 2010, 54, 183–188. [Google Scholar] [CrossRef]
- Anbu, P.; Gopinath, S.C.B.; Hilda, A.; Mathivanan, N.; Annadurai, G. Secretion of keratinolytic enzymes and keratinolysis by Scopulariopsis brevicaulis and Trichophyton mentagrophytes: Regression analysis. Can J. Microbiol. 2006, 52, 1060–1069. [Google Scholar] [CrossRef]
- El–Ghonemy, D.H.; Ali, T.H. Optimization of physico–chemical parameters for hyper keratinase production from a newly isolated Aspergillus sp. DHE7 using chicken feather as substrate–Management of biowaste. J. Appl. Pharm. Sci. 2017, 7, 171–178. [Google Scholar] [CrossRef][Green Version]
- Vidmar, B.; Vodovnik, M. Microbial keratinases: Enzymes with promising biotechnological applications. Food Technol. Biotech. 2018, 56, 312–328. [Google Scholar] [CrossRef]
- Hubalek, Z. Keratinophilic fungi associated with free living mammals and birds. In Biology of Dermatophytes and Other Keratinophilic Fungi; Kushwaha, R., Guarro, J., Eds.; Revista Iberoamericana de Micologia: Bilbao, Spain, 2000; Volume 17, pp. 93–103. [Google Scholar]
- Kanchana, R.; Mesta, D. Native feather degradation by a keratinophilic fungus. Int. J. Chem. Technol. Res. 2013, 5, 2947–2954. [Google Scholar]
- Qiu, J.; Wilkens, C.; Barrett, K.; Meyer, A.S. Microbial enzymes catalyzing keratin degradation: Classification, structure, function. Biotechnol. Adv. 2020, 44, 107607. [Google Scholar] [CrossRef]
- Łaba, W.; Choińska, A.; Rodziewicz, A. The release of sulfur compounds during degradation of feather keratin by two Bacillus strains. Acta Sci. Pol. Biotechnol. 2013, 12, 29–40. [Google Scholar]
- Bhari, R.; Manpreet, K.; Singh, R.S. Chicken feather waste hydrolysate as a superior biofertilizer in agroindustry. Curr. Microbiol. 2021, 78, 2212–2230. [Google Scholar] [CrossRef]
- Rahayu, S.; Syah, D.; Suhartono, M.T. Degradation of keratin by keratinase and disulfide reductase from Bacillus sp. MTS of Indonesian origin. Biocatal. Agric. Biotech. 2012, 1, 152–158. [Google Scholar] [CrossRef]
- Galarza, B.; Cavello, I.; Garro, L.; Gortari, C.; Hours, R.; Cantera, C. Evaluation of increase at the production of keratinolytics enzymes. J. Ageic. 2012, 63, 70–74. [Google Scholar]
- Maruthi, A.Y.; Lakshmi, A.K.; Rao, R.S.; Chaitanya, A.D. Degradation of feather and hair by Chrysosporium tropicum: A potent keratinophilic fungus. Afr. J. Biotechnol. 2011, 10, 3579–3584. [Google Scholar] [CrossRef]
- Lasekan, A.; Abu Bakar, F.; Hashim, D. Potential of chicken by–products as sources of useful biological resources. Waste Manag. 2013, 33, 552–565. [Google Scholar] [CrossRef]
- Kumari, M.; Kumar, J. Chicken feather waste degradation by Alternaria tenuissima and its application on plant growth. J. Appl. Nat. Sci. 2020, 12, 411–414. [Google Scholar] [CrossRef]
- Näsholm, T.; Kielland, K.; Ganeteg, U. Uptake of organic nitrogen by plants. New Phytol. 2009, 182, 31–48. [Google Scholar] [CrossRef]
- Kaul, S.; Sumbali, G. Keratinolysis by poultry farm soil fungi. Mycopathologia 1997, 139, 137–140. [Google Scholar] [CrossRef] [PubMed]
- Jain, R.; Jain, P.C.; Agrawal, S.C. Feather degradation by Streptomyces exfoliatus CFS 1068. Ann. Microbiol. 2012, 62, 973–978. [Google Scholar] [CrossRef]
- Mehta, R.S.; Riddhi, J.; Jholapara, R.J.; Sawant, C.S. Isolation of a novel feather–degrading bacterium and optimization of its cultural conditions for enzyme production. Int. J. Pharm. Sci. 2014, 6, 194–201. [Google Scholar]
- Kunert, J. Biochemical mechanism of keratin degradation by the actinomycete Streptomyces fradiae and the fungus Microsporum gypseum: A comparison. J. Basic Microbiol. 1989, 29, 597–604. [Google Scholar] [CrossRef]
- Rajak, R.C.; Parwekar, S.; Malviya, H.; Hasija, S.K. Keratin degradation by fungi isolated from the grounds of a gelatin factory in Jabalpur, India. Mycopathologia 1991, 114, 83–87. [Google Scholar] [CrossRef]
- Godheja, J.; Shekhar, S.K. Biodegradation of keratin from chicken feathers by fungal species as a means of sustainable development. J. Bioremediat. Biodegrad. 2014, 5, 1–5. [Google Scholar] [CrossRef]







| T. ajelloi Strains | Days of Cultivation | Medium | Culture Temperature | |||
|---|---|---|---|---|---|---|
| 20 °C | 28 °C | 37 °C | 50 °C | |||
| III | 7 | Sabouraud | 27.33 ± 0.47 | 32.50 ± 1.89 | 0.00 | 0.00 |
| Maltose | 16.86 ± 0.37 | 22.67 ± 1.11 | 0.00 | 0.00 | ||
| 14 | Sabouraud | 52.17 ± 0.37 | 55.50 ± 7.46 | 0.00 | 0.00 | |
| Maltose | 33.83 ± 0.90 | 43.67 ± 0.75 | 0.00 | 0.00 | ||
| XII | 7 | Sabouraud | 27.33 ± 0.47 | 34.00 ± 1.15 | 0.00 | 0.00 |
| Maltose | 18.00 ± 2.16 | 24.00 ± 2.89 | 0.00 | 0.00 | ||
| 14 | Sabouraud | 52.50 ± 1.26 | 62.67 ± 1.25 | 0.00 | 0.00 | |
| Maltose | 33.17 ± 2.67 | 45.00 ± 1.00 | 0.00 | 0.00 | ||
| XIV | 7 | Sabouraud | 22.33 ± 1.25 | 32.00 ± 1.63 | 0.00 | 0.00 |
| Maltose | 14.00 ± 1.41 | 20.00 ± 0.82 | 0.00 | 0.00 | ||
| 14 | Sabouraud | 46.83 ± 1.57 | 64.00 ± 0.82 | 0.00 | 0.00 | |
| Maltose | 29.33 ± 2.36 | 41.50 ± 1.80 | 0.00 | 0.00 | ||
| Strain | Enzymatic Index | ||
|---|---|---|---|
| Proteolytic Activity | Lipolytic Activity | Amylolytic Activity | |
| III | 1.55 ± 016 a | 1.35 ± 0.11 a | 0.0 |
| XII | 1.59 ± 0.12 a | 1.32 ± 0.08 a | 0.0 |
| XIV | 1.94 ± 0.06 b | 1.20 ± 0.08 a | 0.0 |
| T. ajelloi Strain | Optimilized Parameters | Days of Analyses | |||||
|---|---|---|---|---|---|---|---|
| 7 | 14 | 21 | 28 | 35 | |||
| III | Cs | F B | 7.81 ± 0.13 bc | 8.90 ± 0.04 f | 8.77 ± 0.01 ef | 8.57 ± 0.02 ef | 8.39 ± 0.01 def |
| F + G A | 6.90 ± 0.03 a | 7.41 ± 0.26 ab | 8.86 ± 0.04 f | 8.82 ± 0.03 f | 8.76 ± 0.04 ef | ||
| F + X A | 6.93 ± 0.27 ab | 7.94 ± 0.37 bcd | 8.25 ± 0.15 cde | 8.46 ± 0.09 def | 8.64 ± 0.03 ef | ||
| Sc [%] | 1.0 A | 7.81 ± 0.13 a | 8.90 ± 0.04 def | 8.77 ± 0.01 cdef | 8.57 ± 0.02 bcd | 8.39 ± 0.01 bc | |
| 1.5 C | 8.53 ± 0.04 bcd | 9.07 ± 0.01 ef | 9.13 ± 0.04 f | 9.09 ± 0.01 ef | 8.77 ± 0.02 cdef | ||
| 2.0 B | 8.13 ± 0.36 ab | 8.81 ± 0.19 cdef | 8.95 ± 0.11 def | 8.95 ± 0.09 def | 8.67 ± 0.08 cde | ||
| pH | 4.5 A | 7.81 ± 0.13 a | 8.90 ± 0.04 fg | 8.77 ± 0.01 ef | 8.57 ± 0.02 bcd | 8.39 ± 0.01 b | |
| 6.5 B | 8.94 ± 0.03 fg | 9.24 ± 0.02 hi | 9.22 ± 0.04 hi | 8.42 ± 0.08 bc | 8.70 ± 0.05 de | ||
| 8.5 C | 9.08 ± 0.03 gh | 9.32 ± 0.02 i | 9.28 ± 0.01 i | 8.61 ± 0.01 cde | 9.01 ± 0.09 g | ||
| T [°C] | 20 C | 7.76 ± 0.11 c | 8.93 ± 0.02 fg | 9.08 ± 0.03 g | 9.10 ± 0.02 g | 8.90 ± 0.02 fg | |
| 28 B | 7.81 ± 0.13 c | 8.90 ± 0.04 fg | 8.77 ± 0.01 ef | 8.57 ± 0.02 de | 8.39 ± 0.01 d | ||
| 37 A | 6.39 ± 0.08 a | 6.48 ± 0.08 a | 6.72 ± 0.07 b | 6.88 ± 0.06 b | 6.92 ± 0.05 b | ||
| Cm | STA A | 7.81 ± 0.13 bc | 8.90 ± 0.04 a | 8.77 ± 0.01 a | 8.57 ± 0.02 a | 8.39 ± 0.01 ab | |
| AG A | 7.68 ± 0.45 c | 8.40 ± 0.27 ab | 8.76 ± 0.12 a | 8.67 ± 0.10 a | 8.65 ± 0.12 a | ||
| XII | Cs | F C | 8.55 ± 0.02 bcde | 8.79 ± 0.01 def | 8.66 ± 0.13 cdef | 8.71 ± 0.01 cdef | 8.51 ± 0.02 bcd |
| F + G B | 7.10 ± 0.12 a | 8.36 ± 0.13 bc | 8.93 ± 0.01 f | 8.92 ± 0.03 f | 8.87 ± 0.03 ef | ||
| F + X A | 7.00 ± 0.24 a | 8.21 ± 0.12 b | 8.49 ± 0.08 bcd | 8.53 ± 0.07 bcde | 8.64 ± 0.08 cdef | ||
| Sc [%] | 1.0A B | 8.55 ± 0.02 bc | 8.79 ± 0.01 bc | 8.66 ± 0.13 bc | 8.71 ± 0.01 bc | 8.51 ± 0.02 bc | |
| 1.5 A | 8.98 ± 0.49 e | 9.21 ± 0.28 fg | 9.17 ± 0.19 fg | 8.48 ± 0.12 a | 8.68 ± 0.06 cd | ||
| 2.0 B | 9.06 ± 0.21 ef | 9.32 ± 0.16 g | 9.27 ± 0.06 g | 8.54 ± 0.03 abc | 8.99 ± 0.04 e | ||
| pH | 4.5 A | 8.55 ± 0.02 abc | 8.79 ± 0.01 d | 8.66 ± 0.13 bcd | 8.71 ± 0.01 cd | 8.51 ± 0.02 ab | |
| 6.5 B | 7.74 ± 0.06 a | 8.67 ± 0.01 bc | 8.86 ± 0.03 bc | 8.86 ± 0.01 bc | 8.63 ± 0.04 bc | ||
| 8.5 C | 8.36 ± 0.02 ab | 8.68 ± 0.02 bc | 9.05 ± 0.01 c | 9.08 ± 0.03 c | 8.72 ± 0.06 bc | ||
| T [°C] | 20 B | 6.99 ± 0.19 b | 8.57 ± 0.18 c | 8.88 ± 0.12 c | 8.92 ± 0.10 c | 8.75 ± 0.11 c | |
| 28 C | 8.55 ± 0.02 c | 8.79 ± 0.01 c | 8.66 ± 0.13 c | 8.71 ± 0.01 c | 8.51 ± 0.02 c | ||
| 37 A | 6.35 ± 0.10 a | 6.48 ± 0.08 a | 6.65 ± 0.16 ab | 6.67 ± 0.12 ab | 6.66 ± 0.21 ab | ||
| Cm | STA A | 8.55 ± 0.02 abc | 8.79 ± 0.01 ab | 8.66 ± 0.13 abc | 8.71 ± 0.01 ab | 8.51 ± 0.02 ac | |
| AG A | 8.23 ± 0.11 c | 8.56 ± 0.35 abc | 8.98 ± 0.06 b | 8.72 ± 0.11 ab | 8.60 ± 0.07 abc | ||
| XIV | Cs | F C | 8.44 ± 0.06 de | 8.78 ± 0.05 e | 8.58 ± 0.05 de | 8.82 ± 0.04 e | 8.51 ± 0.04 de |
| F + G B | 7.03 ± 0.17 ab | 7.62 ± 0.05 bc | 8.79 ± 0.10 e | 8.84 ± 0.06 e | 8.88 ± 0.07 e | ||
| F + X A | 6.70 ± 0.23 a | 7.57 ± 0.37 bc | 8.01 ± 0.42 cd | 8.59 ± 0.04 de | 8.61 ± 0.03 de | ||
| Sc [%] | 1.0 A | 8.44 ± 0.06 cd | 8.78 ± 0.05 defg | 8.58 ± 0.05 cdef | 8.82 ± 0.04 defg | 8.51 ± 0.04 cdef | |
| 1.5 B | 7.24 ± 0.16 a | 8.35 ± 0.13 c | 8.70 ± 0.10 cdefg | 8.75 ± 0.10 defg | 8.56 ± 0.10 cdef | ||
| 2.0 A | 7.84 ± 0.28 b | 8.99 ± 0.07 g | 8.90 ± 0.08 fg | 8.87 ± 0.04 efg | 8.49 ± 0.05 cde | ||
| pH | 4.5 A | 8.44 ± 0.06 a | 8.78 ± 0.05 def | 8.58 ± 0.05 abcd | 8.82 ± 0.04 ef | 8.51 ± 0.04 abc | |
| 6.5 B | 8.92 ± 0.03 fg | 9.18 ± 0.04 h | 9.17 ± 0.05 h | 8.45 ± 0.05 ab | 8.67 ± 0.02 bcde | ||
| 8.5 C | 9.10 ± 0.12 gh | 9.28 ± 0.02 h | 9.26 ± 0.03 h | 8.68 ± 0.12 cde | 9.07 ± 0.10 gh | ||
| T [°C] | 20 C | 8.08 ± 0.05 b | 8.95 ± 0.02 e | 9.06 ± 0.04 e | 9.08 ± 0.03 e | 8.85 ± 0.03 de | |
| 28 B | 8.44 ± 0.06 c | 8.78 ± 0.05 cde | 8.58 ± 0.05 cd | 8.82 ± 0.04 de | 8.51 ± 0.04 cd | ||
| 37 A | 6.05 ± 0.10 a | 6.09 ± 0.12 a | 6.19 ± 0.12 a | 6.20 ± 0.13 a | 6.16 ± 0.25 a | ||
| Cm | STA A | 8.44 ± 0.06 b | 8.78 ± 0.05 cd | 8.58 ± 0.05 ab | 8.82 ± 0.04 cd | 8.51 ± 0.04 ab | |
| AG A | 8.19 ± 0.04 e | 8.70 ± 0.05 ac | 8.93 ± 0.02 d | 8.65 ± 0.04 ac | 8.53 ± 0.11 ab | ||
| Optimized Parameters | T. ajelloi Strains | |||
|---|---|---|---|---|
| III A | XII A | XIV A | ||
| Carbon sources | F C | 37.33 ± 4.64 d | 36.90 ± 0.62 d | 36.57 ± 1.37 d |
| F + G A | 5.10 ± 0.29 a | 5.03 ± 1.46 a | 8.97 ± 1.32 ab | |
| F + X B | 15.50 ± 0.94 bc | 14.77 ± 0.45 bc | 16.63 ± 2.33 c | |
| Substrate concentration | 1.0% A | 37.33 ± 4.64 a | 36.90 ± 0.62 a | 36.57 ± 1.37 a |
| 1.5% A | 41.43 ± 3.95 ac | 38.30 ± 7.22 a | 35.47 ± 4.29 a | |
| 2.0% B | 57.30 ± 5.51 b | 59.07 ± 3.54 b | 56.00 ± 5.53 bc | |
| Initial pH of culture medium | 4.5 C | 37.33 ± 4.64 c | 36.90 ± 0.62 c | 36.57 ± 1.37 bd |
| 6.5 B | 32.93 ± 0.29 bcd | 31.47 ± 0.78 abcd | 30.77 ± 1.03 abd | |
| 8.5 A | 27.33 ± 0.42 ab | 26.90 ± 0.14 a | 27.00 ± 0.79 ab | |
| Culture temperature | 20 °C B | 31.67 ± 1.28 ab | 29.77 ± 2.79 a | 34.17 ± 0.82 ab |
| 28 °C C | 37.33 ± 4.64 b | 36.90 ± 0.62 ab | 36.57 ± 1.37 ab | |
| 37 °C A | 17.33 ± 0.82 c | 19.70 ± 1.04 c | 20.97 ± 2.26 c | |
| Culture type | STA B | 37.33 ± 4.64 b | 36.90 ± 0.62 b | 36.57 ± 1.37 b |
| AG A | 21.77 ± 1.64 a | 20.33 ± 1.85 a | 16.00 ± 0.29 a | |
| Amino Acids | Optimized Parameters | |||||
|---|---|---|---|---|---|---|
| 20 °C | 37 °C | F + G | F + X | AG | Total | |
| Asp | 33.30 | 65.30 | 39.00 | 50.10 | 52.10 | 239.80 |
| Thr | 8.30 | 31.00 | 11.60 | 19.90 | 20.40 | 91.20 |
| Ser | 25.60 | 35.80 | 25.20 | 31.10 | 19.80 | 137.50 |
| Glu | 20.60 | 93.10 | 31.00 | 69.60 | 49.20 | 263.50 |
| Pro | 13.10 | 18.40 | 128.00 | 0.00 | 12.80 | 172.30 |
| Gly | 18.50 | 42.30 | 14.30 | 30.60 | 22.60 | 128.30 |
| Ala | 6.00 | 42.20 | 10.70 | 18.40 | 27.00 | 104.30 |
| Cyst. acid | 63.60 | 11.00 | 48.30 | 32.00 | 37.80 | 192.70 |
| Val | 2.90 | 34.10 | 10.10 | 21.70 | 15.40 | 84.20 |
| Sulf met | 4.58 | 9.45 | 5.73 | 9.69 | 7.04 | 36.49 |
| Ile | 2.20 | 28.60 | 8.00 | 16.00 | 29.90 | 84.70 |
| Leu | 4.30 | 46.00 | 6.80 | 26.00 | 18.70 | 101.80 |
| Tyr | 0.00 | 24.80 | 5.20 | 13.50 | 8.20 | 51.70 |
| Phe | 4.40 | 23.70 | 0.00 | 10.20 | 10.40 | 48.70 |
| His | 8.00 | 6.50 | 5.40 | 3.80 | 10.90 | 34.60 |
| Lys | 10.40 | 44.10 | 11.90 | 21.50 | 28.60 | 116.50 |
| Arg | 5.80 | 35.30 | 5.80 | 14.90 | 7.80 | 69.60 |
| Trp | 132.00 | 139.00 | 87.00 | 244.00 | 129.00 | 731.00 |
| Total | 363.58 | 730.65 | 454.03 | 632.99 | 507.64 | |
| Parameters | Trichophyton ajelloi Strains | ||
|---|---|---|---|
| III | XII | XIV | |
| Protease [µg tyrosine cm−3] | 59.14 ± 5.02 b | 56.41 ± 4.73 a | 54.78 ± 5.60 a |
| Keratinase [KU cm−3] | 58.99 ± 4.08 b | 53.41 ± 3.42 a | 53.79 ± 3.85 a |
| Disulfide reductase [U cm−3] | 0.04 ± 0.01 a | 0.05 ± 0.01 c | 0.04 ± 0.01 b |
| Proteins and peptides [µg proteins cm−3] | 559.10 ± 21.58 a | 551.86 ± 18.61 a | 534.88 ± 23.57 b |
| Amino groups [µg N–NH2 cm−3] | 18.72 ± 0.82 a | 18.65 ± 0.75 a | 18.19 ± 0.60 b |
| Sulfhydryl groups [µg −SH cm−3] | 5.57 ± 0.58 b | 7.02 ± 0.75 a | 6.80 ± 0.73 a |
| Ammonium ions [NH4+ cm−3] | 472.47 ± 24.80 a | 475.80 ± 22.31 a | 441.80 ± 21.06 b |
| Sulfate ions [mg SO42– cm−3] | 0.76 ± 0.03 b | 0.78 ± 0.03 c | 0.71 ± 0.03 a |
| pH [−log10 [H+]] | 8.41 ± 0.09 a | 8.41 ± 0.10 a | 8.32 ± 0.09 b |
Publisher’s Note: MDPI stays neutral with regard to jurisdictional claims in published maps and institutional affiliations. |
© 2022 by the authors. Licensee MDPI, Basel, Switzerland. This article is an open access article distributed under the terms and conditions of the Creative Commons Attribution (CC BY) license (https://creativecommons.org/licenses/by/4.0/).
Share and Cite
Możejko, M.; Bohacz, J. Optimization of Conditions for Feather Waste Biodegradation by Geophilic Trichophyton ajelloi Fungal Strains towards Further Agricultural Use. Int. J. Environ. Res. Public Health 2022, 19, 10858. https://doi.org/10.3390/ijerph191710858
Możejko M, Bohacz J. Optimization of Conditions for Feather Waste Biodegradation by Geophilic Trichophyton ajelloi Fungal Strains towards Further Agricultural Use. International Journal of Environmental Research and Public Health. 2022; 19(17):10858. https://doi.org/10.3390/ijerph191710858
Chicago/Turabian StyleMożejko, Michał, and Justyna Bohacz. 2022. "Optimization of Conditions for Feather Waste Biodegradation by Geophilic Trichophyton ajelloi Fungal Strains towards Further Agricultural Use" International Journal of Environmental Research and Public Health 19, no. 17: 10858. https://doi.org/10.3390/ijerph191710858
APA StyleMożejko, M., & Bohacz, J. (2022). Optimization of Conditions for Feather Waste Biodegradation by Geophilic Trichophyton ajelloi Fungal Strains towards Further Agricultural Use. International Journal of Environmental Research and Public Health, 19(17), 10858. https://doi.org/10.3390/ijerph191710858
