Substrates, Plants, and Their Combinations for Water Purification of Urban Household Aquaponics Systems
Abstract
:1. Introduction
2. Materials and Methods
2.1. Experimental Materials
2.2. Experimental Method and Design
2.2.1. Experimental Design
2.2.2. Experimental Methods
2.2.3. Data Analysis
3. Results and Discussion
3.1. Purification Effects of Different Substrate Materials on Wastewater
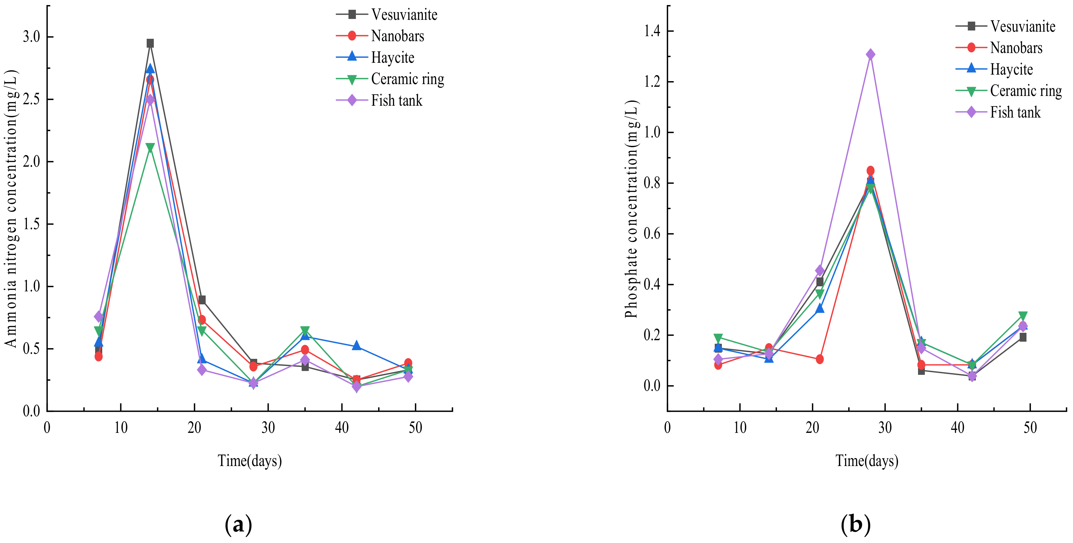
3.1.1. Effects of Different Substrates on the Removal of NH4+-N
3.1.2. Effects of Different Substrates on Phosphate Removal
3.1.3. Effects of Different Substrates on the Removal of Total Phosphorus
3.1.4. Variation in the CODcr of Different Substrate Filter Cells
3.1.5. Purification Capacity of Different Substrate Materials
3.1.6. Correlation Analysis of Water Quality Indices with Volcanic Stone Substrate
3.2. Effectiveness of Different Plants on Pollutant Removal
3.2.1. Effects of Different Plants on Ammonia Nitrogen Removal
3.2.2. Effects of Different Plants on Phosphate Removal
3.2.3. Variations in CODcr in Filter Tanks with Different Plants
3.2.4. Variations in Nitrate-Nitrogen Concentration in Filter Tanks with Different Plants
3.2.5. Purification Capacities of Different Plant Species for Nitrogen and Phosphorus
3.3. Analysis of Microbial Diversity on Different Substrate Surfaces
4. Conclusions
Author Contributions
Funding
Institutional Review Board Statement
Informed Consent Statement
Data Availability Statement
Conflicts of Interest
References
- Gao, P.; Li, X.D.; Zhai, X.; Hu, J.Y.; Zhang, R.M.; Liu, J.; Chen, H.F.; Rebi, G.L.S.T.; Lin, H.X. Changes of water quality index and income and expenditure of nitrogen and phosphorus. Fish Res. 2021, 43, 167–174. [Google Scholar]
- Luo, X.L.; Abdessan, R.; Xing, J.X.; Li, H.D.; Ji, H. Effect of circulating water system combined with fish dishes and UV treatment on the growth and water quality of Freshwater. Fisheries 2020, 50, 18–25. [Google Scholar]
- Lennard, W.A.; Leonard, B.V.A. A Comparison of Three Different Hydroponic Sub-systems (gravel be-d, floating and nutrient film technique) in an Aquaponic Test System. Aquacult. Int. 2006, 14, 539–550. [Google Scholar] [CrossRef]
- Gräber, A.; Junge, R. Aquaponic Systems: Nutrient recycling from fish wastewater by vegetable production. Desalination 2009, 246, 147–156. [Google Scholar] [CrossRef]
- Kasozi, N.; Kaiser, H.; Wilhelmi, B. Effect of Bacillus spp. on Lettuce Growth and Root Associated Bacterial Community in a Small-Scale Aquaponics System. Agronomy 2021, 11, 947. [Google Scholar] [CrossRef]
- Liu, F.R. Fish feed feeding skills. Hunan Agric. 2009, 18, 09. [Google Scholar]
- The National Environmental Protection Bureau. Water and Waste Water Monitoring and Analysis Method, 4th ed.; China Environmental Science Press: Beijing, China, 1989; pp. 45–134. [Google Scholar]
- Ministry of Ecology and Environment of the People’s Republic of China. Determination of Water Quality and Chemical Oxygen Demand by Dichromate Method: HJ 828-2017; China Environment Press: Beijing, China, 2017. [Google Scholar]
- Lu, R.K. Soil Agricultural Chemistry Analysis Methods; China Agricultural Press: Beijing, China, 1999; pp. 308–315. [Google Scholar]
- Maughan, H.; Wang, P.W.; Caballero, J.D.; Fung, P.; Gong, Y.; Donaldson, S.L.; Yuan, L.; Keshavjee, S.; Zhang, Y.; Yau, Y.C.W.; et al. Analysis of the cystic fibrosis lung microbiota via serial Illumina sequencing of bacterial 16S rRNA hypervariable regions. PLoS ONE 2012, 7, e45791. [Google Scholar] [CrossRef]
- Oladimeji, A.S.; Olufeagba, S.O.; Ayuba, V.O.; Sololmon, S.G.; Okomoda, V.T. Effects of different growth media on water quality and plant yield in a catfish-pumpkin aquaponics system. J. King Saud Univ. Sci. 2020, 32, 60–66. [Google Scholar] [CrossRef]
- Xu, D.L.; Zhang, C.Y. Effect of hydrocalamus on phosphorus spatial distribution and alkaline phosphatase activity in a simulated lake environment. Jiangsu Agric. Sci. 2014, 42, 368–370. [Google Scholar]
- Guo, K.; Luo, M.Z.; Yang, D.Q.; Luo, J.B.; Ruan, G.L.; Wei, W.; Li, R. Effects of different substrates on overwintering of two specific-ation broad-body gold leeches. Freshw. Fish 2019, 49, 98–101. [Google Scholar]
- Li, P.X.; Xin, H.G.; Ge, P. An Experimental Study on Ammonia-Nitrogen Removal from Waste Water with Modified Absorbent. Adv. Mater. Res. 2015, 3818, 591–595. [Google Scholar]
- Xie, Y.L.; Zeng, X.; Zhang, H.M. P adsorption properties of four constructed wetland matrices. Environ. Sci. Manag. 2020, 45, 99–103. [Google Scholar]
- Xi, C.C.; Cheng, W.; Meng, T.; Liu, B.; Wan, T. The adsorption characteristics of three wetland matrix in water. In Proceedings of the 2021 Science and Technology Annual Conference of the Chinese Society for Environmental Sciences, Tianjin, China, 19 October 2021; pp. 400–405. [Google Scholar] [CrossRef]
- Xiao, Q.L.; Xiong, L.P.; Peng, H.; Zhu, J.; Jian, Y.; Jia, J.L.; Ji, X.H. Comparison of nitrogen and phosphorus adsorption capacity in sewage by different combinations of matrix in constructed wetlands. Environ. Sci. Res. 2022, 35, 1277–1287. [Google Scholar] [CrossRef]
- Marschener, H. Role of root growth, arbuscular mycorrhiza, and root exudates for the efficiency in nutrient acquisition. Field Crops Res. 1998, 56, 203–207. [Google Scholar] [CrossRef]
- Zhao, N. The mechanism of action and its significance for the development of modern agriculture. Mod. Agric. 2020, 72–73. [Google Scholar] [CrossRef]
- Heise, J.; Müller, H.; Probst, A.J.; Meckenstock, R.U. Ammonium removal in aquaponics indicates participation of comammox nitrospira. Curr. Microbiol. 2021, 78, 894–903. [Google Scholar] [CrossRef]
- Zhou, Z.M.; Ye, Q.; Shen, C.H.; Zhao, Z.L. Study on the purification effect of 3 floating bed plant systems on eutrophic water. Environ. Eng. 2010, 4, 91–95. [Google Scholar]
- Zou, I.N.; Hu, Z.; Zhang, J.; Xie, H.J.; Liang, S. Research and Optimization of Nitrogen Transfer and Transformation in Fish-vegetable symbiotic System. Environ. Eng. 2015, 9, 4211–4216. [Google Scholar]
- Yin, W.; Li, P.J.; Qiu, Q.J.; Song, Z.W.; Xi, J.X. The contribution of plant uptake in nitrogen and phosphorus removal in constructed wetlands. J. Ecol. 2006, 2, 218–221. [Google Scholar]
- Hargreaves, J.A. Nitrogen biogeochemistry of aquaculture ponds. Aquaculture 1998, 166, 181–212. [Google Scholar] [CrossRef]
- Zhang, H.X.; Yu, Z.J.; Zhang, Y.P.; Zhang, A.F.; Wang, S.; Li, H.; Fu, H.Y. Freshwater Fisheries Analysis of the impact of breeding patterns on microbial communities in grass fish ponds. Freshw. Fish 2021, 51, 3–12. [Google Scholar]
- Wang, G.H.; Lin, C.; Lin, F.C.; Tian, X.; Wang, C.Y. Research on the removal effect of different mineral based adsorption materials on nitrogen and phosphorus in restaurant wastewater. New Chem. Mater. 2022, 50, 291–296. [Google Scholar] [CrossRef]
- Zhao, Y.G.; Ren, N.Q.; Wang, A.J.; Wan, C.L. Effect of organic pollutants on the community structure of real bacteria in water bodies. Microbiology 2007, 2, 313–318. [Google Scholar]
- Reuscher, C.M.; Klug, G. Antisense RNA asPcrL regulates expression of photosynthesis genes in Rhodobacter sphaeroides by promoting RNase III-dependent turn-over of puf mRNA. RNA Biol. 2021, 18, 1445–1457. [Google Scholar] [CrossRef] [PubMed]
- Liu, B.; Liu, W.B. Bioremediation effects of microorganisms on the aquaculture environment. Freshw. Fish 2003, 1, 50–53. [Google Scholar]







| Volcanic Stone (Vesuvianite) | Nanorods | Ceramic Granules (Haycite) | Ceramic Rings | |
|---|---|---|---|---|
| NH4+ | 88.8% ± 0.22 | 66.7% ± 0.19 | 68.2% ± 0.24 | 79.6% ± 0.10 |
| PO43- | 95.1% ± 0.17 | 59.9% ± 0.30 | 59.6% ± 0.30 | 60.1% ± 0.29 |
| COD | 63.1% ± 0.21 | 53.0% ± 0.29 | 55.8% ± 0.29 | 53.3% ± 0.25 |
| TN | −4.8% ± 0.02 | 27.1% ± 0.34 | 12.0% ± 0.20 | 10.9% ± 0.18 |
| TP | 83.3% ± 0.98 | 55.6% ± 0.53 | 53.6% ± 0.18 | 63.5% ± 0.08 |
| Species | Root Contribution (%) | Stem and Leaf Contribution (%) | Total Contribution of N Removal | Total Contribution of p Removal | ||
|---|---|---|---|---|---|---|
| Contribution of Root N Uptake | Contribution of Root p Uptake | Contribution of N Uptake of Stem and Leaves | Contribution of p Uptake in Stem and Leaves | |||
| Bean sprouts | 52.48% ± 0.02 | 0.81% ± 0.08 | 42.48% ± 0.11 | 0.56% ± 0.91 | 94.96% ± 0.59 | 1.37% ± 0.20 |
| water celery | 23.31% ± 0.13 | 0.68% ± 0.34 | 32.07% ± 0.28 | 0.62% ± 0.52 | 55.39% ± 0.56 | 1.30% ± 0.12 |
| Hollow cabbage | 42.79% ± 0.44 | 0.69% ± 0.25 | 39.65% ± 0.43 | 0.58% ± 0.44 | 56.99% ± 0.49 | 1.17% ± 0.17 |
| Lettuce | 4.75% ± 0.28 | 0.02% ± 0.89 | 52.24% ± 0.56 | 1.15% ± 0.77 | 83.44% ± 0.34 | 1.27% ± 0.29 |
| Chives | 28.22% ± 0.15 | 0.26% ± 0.17 | 31.87% ± 0.76 | 0.29% ± 0.22 | 60.09% ± 0.62 | 0.54% ± 0.34 |
| Water chestnut | - | - | 65.61% ± 0.88 | 12.07% ± 0.48 | 65.61% ± 0.31 | 12.07% ± 0.48 |
| Sample Name | Colony Abundance | Bacterial Diversity | ||
|---|---|---|---|---|
| Chao1 Index | ACE Index | Shannon Index | Simpson Index | |
| C1 | 292.5500 | 287.5490 | 3.564768 | 0.063534 |
| C2 | 258.6500 | 259.3762 | 3.603999 | 0.066217 |
| C3 | 253.1053 | 254.1199 | 3.574246 | 0.068435 |
| C4 | 278.1053 | 273.2113 | 3.223093 | 0.099475 |
Publisher’s Note: MDPI stays neutral with regard to jurisdictional claims in published maps and institutional affiliations. |
© 2022 by the authors. Licensee MDPI, Basel, Switzerland. This article is an open access article distributed under the terms and conditions of the Creative Commons Attribution (CC BY) license (https://creativecommons.org/licenses/by/4.0/).
Share and Cite
Wu, Y.-H.; Chen, Q.-F.; Wang, J.-N.; Liu, T.; Zhao, W.-Y. Substrates, Plants, and Their Combinations for Water Purification of Urban Household Aquaponics Systems. Int. J. Environ. Res. Public Health 2022, 19, 10276. https://doi.org/10.3390/ijerph191610276
Wu Y-H, Chen Q-F, Wang J-N, Liu T, Zhao W-Y. Substrates, Plants, and Their Combinations for Water Purification of Urban Household Aquaponics Systems. International Journal of Environmental Research and Public Health. 2022; 19(16):10276. https://doi.org/10.3390/ijerph191610276
Chicago/Turabian StyleWu, Yi-Han, Qing-Feng Chen, Jia-Nan Wang, Ting Liu, and Wei-Yi Zhao. 2022. "Substrates, Plants, and Their Combinations for Water Purification of Urban Household Aquaponics Systems" International Journal of Environmental Research and Public Health 19, no. 16: 10276. https://doi.org/10.3390/ijerph191610276
APA StyleWu, Y.-H., Chen, Q.-F., Wang, J.-N., Liu, T., & Zhao, W.-Y. (2022). Substrates, Plants, and Their Combinations for Water Purification of Urban Household Aquaponics Systems. International Journal of Environmental Research and Public Health, 19(16), 10276. https://doi.org/10.3390/ijerph191610276

