Stress Levels in Handball Coaching–Case Study: Preliminary Analysis of the Differences between Training and Match
Abstract
:1. Introduction
2. Methods
2.1. Participants
2.2. Experimental Approach
2.3. Methodology
2.4. Statistical Analysis
3. Results
4. Discussion
Limitations and Future Research Lines
5. Conclusions
Author Contributions
Funding
Institutional Review Board Statement
Informed Consent Statement
Data Availability Statement
Conflicts of Interest
References
- Fink, G. Stress, Definitions, Mechanisms, and Effects Outlined: Lessons from Anxiety. In Stress: Concepts, Cognition, Emotion, and Behavior; Elsevier: Amsterdam, The Netherlands, 2016; pp. 3–11. [Google Scholar] [CrossRef]
- Kim, J.J.; Diamond, D.M. The stressed hippocampus, synaptic plasticity and lost memories. Nat. Rev. Neurosci. 2002, 3, 453–462. [Google Scholar] [CrossRef] [PubMed]
- Thoits, P.A. Stress and health: Major findings and policy implications. J. Health Soc. Behav. 2010, 51, S41–S53. [Google Scholar] [CrossRef] [PubMed]
- Yaribeygi, H.; Panahi, Y.; Sahraei, H.; Johnston, T.P.; Sahebkar, A. The impact of stress on body function: A review. EXCLI J. 2017, 16, 1057. [Google Scholar] [CrossRef] [PubMed]
- Russell, D.W.; Altmaier, E.; Van Velzen, D. Job-related stress, social support, and burnout among classroom teachers. J. Appl. Psychol. 1987, 72, 269–274. [Google Scholar] [CrossRef]
- Ornelas, S.; Kleiner, B.H. New developments in managing job related stress. Equal. Oppor. Int. 2003, 22, 64–70. [Google Scholar] [CrossRef]
- Trivellas, P.; Reklitis, P.; Platis, C. The effect of job related stress on employees’ satisfaction: A survey in health care. Procedia-Soc. Behav. Sci. 2013, 73, 718–726. [Google Scholar] [CrossRef]
- Leis, O.; Lautenbach, F. Psychological and physiological stress in non-competitive and competitive esports settings: A systematic review. Psychol. Sport Exerc. 2020, 51, 101738. [Google Scholar] [CrossRef]
- Eisenberg, J.; Thompson, W.F. The effects of competition on improvisers’ motivation, stress, and creative performance. Creat. Res. J. 2011, 23, 129–136. [Google Scholar] [CrossRef]
- Hanton, S.; Fletcher, D.; Coughlan, G. Stress in elite sport performers: A comparative study of competitive and organizational stressors. J. Sports Sci. 2005, 23, 1129–1141. [Google Scholar] [CrossRef]
- Jones, J.; Hardy, L.E. Stress and Performance in Sport; John Wiley & Sons: Hoboken, NJ, USA, 1990. [Google Scholar] [CrossRef]
- Olusoga, P.; Butt, J.; Hays, K.; Maynard, I. Stress in elite sports coaching: Identifying stressors. J. Appl. Sport Psychol. 2009, 21, 442–459. [Google Scholar] [CrossRef]
- Mellalieu, S.D.; Hanton, S.; Fletcher, D. A Competitive Anxiety Review: Recent Directions in Sport Psychology Research; Nova Science Publishers: Hauppauge, NY, USA, 2009. [Google Scholar]
- Olusoga, P.; Butt, J.; Maynard, I.; Hays, K. Stress and coping: A study of world class coaches. J. Appl. Sport Psychol. 2010, 22, 274–293. [Google Scholar] [CrossRef]
- Foretić, N.; Nikolovski, Z.; Pavlinović, V. Handball coach match stress responses: A preliminary study. In Proceedings of the 9th International Scientific Conference on Kinesiology, Opatija, Croatia, 15–19 September 2021; p. 570. [Google Scholar]
- Rai, B.; Kaur, J. Salivary stress markers and psychological stress in simulated microgravity: 21 days in 6 head-down tilt. J. Oral Sci. 2011, 53, 103–107. [Google Scholar] [CrossRef] [PubMed]
- Takai, N.; Yamaguchi, M.; Aragaki, T.; Eto, K.; Uchihashi, K.; Nishikawa, Y. Effect of psychological stress on the salivary cortisol and amylase levels in healthy young adults. Arch. Oral. Biol. 2004, 49, 963–968. [Google Scholar] [CrossRef] [PubMed]
- White, R.J.; Averner, M. Humans in space. Nature 2001, 409, 1115–1118. [Google Scholar] [CrossRef]
- Loupos, D.; Tsalis, G.; Barkoukis, V.; Semoglou, K.; Mougios, V. Psychophysiological Effects of Competitive Stress on Swimming Coaches. J. Swim. Res. 2004, 16, 1–5. [Google Scholar]
- Hudson, J.; Davison, G.; Robinson, P. Psychophysiological and stress responses to competition in team sport coaches: An exploratory study. Scand. J. Med. Sci. Sports 2013, 23, e279–e285. [Google Scholar] [CrossRef]
- Nater, U.M.; Rohleder, N.; Schlotz, W.; Ehlert, U.; Kirschbaum, C. Determinants of the diurnal course of salivary alpha-amylase. Psychoneuroendocrinology 2007, 32, 392–401. [Google Scholar] [CrossRef]
- Spielberger, C.D. State-Trait Anxiety Inventory. In The Corsini Encyclopedia of Psychology; John Wiley & Sons: Hoboken, NJ, USA, 2010; p. 1. [Google Scholar] [CrossRef]
- Sewell, D.F.; Edmondson, A.M. Relationships between field position and pre-match competitive state anxiety in soccer and field hockey. Int. J. Sport Psychol. 1996, 27, 159–172. [Google Scholar]
- Kant, S. Relaxation as Related to Arousal and Performance in Handball. Int. J. Phys. Educ. Sports 2017, 2, 71–73. [Google Scholar]
- Mamassis, G.; Doganis, G. The effects of a mental training program on juniors pre-competitive anxiety, self-confidence, and tennis performance. J. Appl. Sport Psychol. 2004, 16, 118–137. [Google Scholar] [CrossRef]
- Preston, S.D.; Buchanan, T.W.; Stansfield, R.B.; Bechara, A. Effects of anticipatory stress on decision making in a gambling task. Behav. Neurosci. 2007, 121, 257–263. [Google Scholar] [CrossRef] [PubMed]
- Eysenck, M.W.; Derakshan, N.; Santos, R.; Calvo, M.G. Anxiety and cognitive performance: Attentional control theory. Emotion 2007, 7, 336. [Google Scholar] [CrossRef] [PubMed]
- Boyce, W.T.; Ellis, B.J. Biological sensitivity to context: I. An evolutionary–developmental theory of the origins and functions of stress reactivity. Dev. Psychopathol. 2005, 17, 271–301. [Google Scholar] [CrossRef] [PubMed]
- Starcke, K.; Wolf, O.T.; Markowitsch, H.J.; Brand, M. Anticipatory stress influences decision making under explicit risk conditions. Behav. Neurosci. 2008, 122, 1352–1360. [Google Scholar] [CrossRef] [PubMed]
- Engert, V.; Efanov, S.I.; Duchesne, A.; Vogel, S.; Corbo, V.; Pruessner, J.C. Differentiating anticipatory from reactive cortisol responses to psychosocial stress. Psychoneuroendocrinology 2013, 38, 1328–1337. [Google Scholar] [CrossRef]
- van Paridon, K.N.; Timmis, M.A.; Nevison, C.M.; Bristow, M. The anticipatory stress response to sport competition; a systematic review with meta-analysis of cortisol reactivity. BMJ Open Sport Exerc. Med. 2017, 3, e000261. [Google Scholar] [CrossRef]
- Hanrahan, S.J.; Andersen, M.B. Routledge Handbook of Applied Sport Psychology; Routledge: London, UK; Taylor & Francis: Abingdon, UK, 2010. [Google Scholar]
- Mowat, T.J. Arousal and Behaviour of Coaches during Competition; Victoria University of Technology: Footscray, Australia, 2004. [Google Scholar]
- Frey, M. College coaches’ experiences with stress— “Problem solvers” have problems, too. Sport Psychol. 2007, 21, 38–57. [Google Scholar] [CrossRef]
- Fletcher, D.; Hanton, S. Sources of organizational stress in elite sports performers. Sport Psychol. 2003, 17, 175–195. [Google Scholar] [CrossRef]
- Thelwell, R.C.; Weston, N.J.; Greenlees, I.A.; Hutchings, N.V. Stressors in elite sport: A coach perspective. J. Sports Sci. 2008, 26, 905–918. [Google Scholar] [CrossRef]
- Elloumi, M.; Maso, F.; Michaux, O.; Robert, A.; Lac, G. Behaviour of saliva cortisol [C], testosterone [T] and the T/C ratio during a rugby match and during the post-competition recovery days. Eur. J. Appl. Physiol. 2003, 90, 23–28. [Google Scholar] [CrossRef]
- Foretic, N.; Nikolovski, Z.; Peric, I.; Sekulic, D. Testosterone, cortisol and alpha-amylase levels during a handball match; analysis of dynamics and associations. Res. Sports Med. 2020, 28, 360–370. [Google Scholar] [CrossRef] [PubMed]
- Borresen, J.; Lambert, M.I. Autonomic control of heart rate during and after exercise. Sports Med. 2008, 38, 633–646. [Google Scholar] [CrossRef] [PubMed]






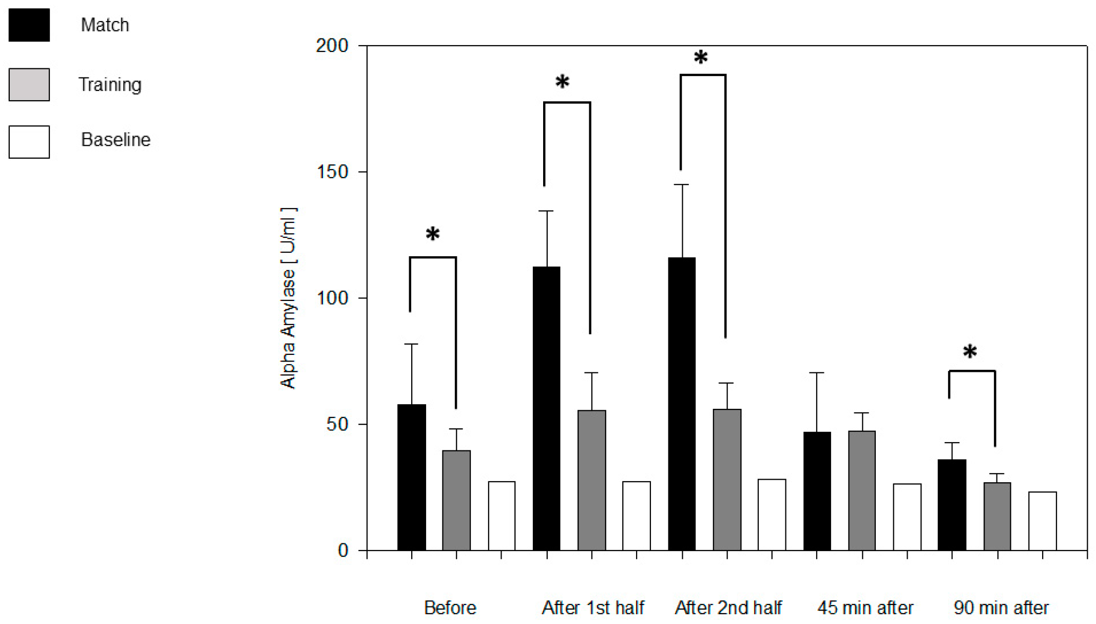
| Time Point | Heart Rate (bpm) | Cortisol (µg/dL) | Alpha-Amylase (U/mL) | |||
|---|---|---|---|---|---|---|
| Match X ± SD | Training X ± SD | Match X ± SD | Training X ± SD | Match X ± SD | Training X ± SD | |
| Before the match | 94.48 ± 7.60 | 75.24 ± 3.99 | 0.38 ± 0.08 | 0.18 ± 0.02 | 57.66 ± 24.07 | 39.52 ± 8.72 |
| p = 0.01 *; d = 3.29 †† | p = 0.01 *; d = 3.43 †† | p = 0.30; d = 1.12 †† | ||||
| After 1st half | 110.04 ± 20.36 | 90.86 ± 8.89 | 0.38 ± 0.16 | 0.15 ± 0.02 | 112.37 ± 22.26 | 55.45 ± 14.99 |
| p = 0.05 *; d = 1.99 †† | p = 0.01 *; d = 2.30 †† | p = 0.01 *; d = 3.35 †† | ||||
| After 2nd half | 121.56 ± 13.22 | 91.02 ± 5.00 | 0.27 ± 0.06 | 0.11 ± 0.02 | 116.27 ± 28.93 | 56.21 ± 10.51 |
| p = 0.01 *; d = 6.58 †† | p = 0.01 *; d = 3.58 †† | p = 0.01 *; d = 3.09 †† | ||||
| 45 min after the match | 111.04 ± 11.76 | 75.84 ± 2.94 | 0.25 ± 0.05 | 0.13 ± 0.03 | 46.94 ± 23.66 | 47.53 ± 7.19 |
| p = 0.01 *; d = 8.59 †† | p = 0.01 *; d = 2.91 †† | p = 0.83; d = 0.04 | ||||
| 90 min after the match | 85.48 ± 22.95 | 67.22 ± 3.25 | 0.16 ± 0.02 | 0.10 ± 0.07 | 35.85 ± 7.15 | 26.99 ± 3.60 |
| p = 0.06; d = 1.39 †† | p = 0.14; d = 1.17 †† | p = 0.04 *; d = 1.75 †† | ||||
Publisher’s Note: MDPI stays neutral with regard to jurisdictional claims in published maps and institutional affiliations. |
© 2022 by the authors. Licensee MDPI, Basel, Switzerland. This article is an open access article distributed under the terms and conditions of the Creative Commons Attribution (CC BY) license (https://creativecommons.org/licenses/by/4.0/).
Share and Cite
Foretić, N.; Nikolovski, Z.; Marić, D.; Gabrilo, G.; Sekulić, D.; Jaksić, D.; Drid, P. Stress Levels in Handball Coaching–Case Study: Preliminary Analysis of the Differences between Training and Match. Int. J. Environ. Res. Public Health 2022, 19, 10251. https://doi.org/10.3390/ijerph191610251
Foretić N, Nikolovski Z, Marić D, Gabrilo G, Sekulić D, Jaksić D, Drid P. Stress Levels in Handball Coaching–Case Study: Preliminary Analysis of the Differences between Training and Match. International Journal of Environmental Research and Public Health. 2022; 19(16):10251. https://doi.org/10.3390/ijerph191610251
Chicago/Turabian StyleForetić, Nikola, Zoran Nikolovski, Dora Marić, Goran Gabrilo, Damir Sekulić, Damjan Jaksić, and Patrik Drid. 2022. "Stress Levels in Handball Coaching–Case Study: Preliminary Analysis of the Differences between Training and Match" International Journal of Environmental Research and Public Health 19, no. 16: 10251. https://doi.org/10.3390/ijerph191610251
APA StyleForetić, N., Nikolovski, Z., Marić, D., Gabrilo, G., Sekulić, D., Jaksić, D., & Drid, P. (2022). Stress Levels in Handball Coaching–Case Study: Preliminary Analysis of the Differences between Training and Match. International Journal of Environmental Research and Public Health, 19(16), 10251. https://doi.org/10.3390/ijerph191610251

