Effectiveness of Digital Cognitive Behavior Therapy for the Treatment of Insomnia: Spillover Effects of dCBT
Abstract
1. Introduction
1.1. Digital Cognitive Behavioral Therapy for Insomnia
1.2. Fatigue and Insomnia
1.3. Cognitive Flexibility
1.4. Flow and Insomnia
1.5. The Current Study
2. Materials and Methods
2.1. Design and Participants
2.2. Procedure and Materials
2.2.1. CBT Intervention and Conventional Sleep Education
2.2.2. Measurement of Outcomes
- Cognitive flexibility tasks: At present, the study of cognitive flexibility focuses on two paradigms: deductive and inductive. The main deductive paradigm assessment methods are the Dimensional Change Card Sort, Stroop, Stop-Signal Task, Hand game, Ramp Causality Task, and day and night task. Inductive paradigm methods include the Wisconsin Card Sorting Test, Flexible Induction of Meaning Task, and Flexible Item Selection Task [45]. We used the task switching test to assess the cognitive flexibility of all groups of participants. A testing website was used to present the assessment program on participants’ computers, who were instructed to adjust the resolution. The assessment consisted of cue and target stimuli. There were two kinds of cues—solid lines and dashed lines. The target stimulus contained two dimensions of color (red/blue) and shape (circle/triangle), and the subset of the two dimensions was randomly combined to form four target stimuli: red triangle, red circle, blue triangle, and blue circle. The cue and target stimuli were presented at random. The task required participants to react to the target stimulus (shape/color) based on the cues (solid/dashed lines) such as “react to the shape when the cue is a solid line (press the “F” key for triangles and press the “J” key on the circle)”; “react to the color when the cue is a dashed line (press the “F” key in blue, press the “J” key in red).” If the present cue is the same as the previous cue, it is called a task repetition, and if it is different from the previous cue, it is called a task switch. The tasks appeared at random. In the test, a “+” fixation was presented in the center of the computer screen for a duration of 200 ms, followed by a 1000 ms cue trail and a target stimulus presentation. The target stimulus had no time limit, and the computer automatically recorded participants’ response time and accuracy. The experiment consisted of 20 practice and 120 formal trials, with feedback on whether the practice phase was correct or not in the formal lab phase. The program flow is illustrated in Figure 2. The accuracy rate of the repeat and switch tasks, and the reaction time were used as analysis indicators.
- Pittsburgh Sleep Quality Index (PSQI): The Chinese version of the PSQI (CPSQI), a widely used quantitative scale with good reliability and validity, was used to assess participants’ sleep status. The PSQI was originally designed to measure sleep quality in clinical populations [46]. The use of the scale was then extended to people with insomnia and healthy populations [47].
- The CPSQI, revised by previous investigators, has an overall reliability coefficient of 0.82–0.83 [48]. It includes 19 questions, divided into seven dimensions: (1) sleep quality; (2) sleep time; (3) sleep duration; (4) sleep efficiency; (5) sleep disorders; (6) use of hypnotics; and (7) daytime dysfunction. Each dimension was scored from 0 to 3 and the scores were added to obtain the total CPSQI score; a higher score indicated poorer subjective sleep quality. A CPSQI score ≥ 5 was used as the truncated value to determine sleep quality [39].
- Fatigue Severity Scale (FSS): The degree of fatigue was measured using the FSS. It is a self-assessment scale used to evaluate fatigue severity and its impact on daily functioning; it contains nine questions on a seven-point scale (1 = total disagreement, 7 = complete agreement). The higher the score, the more severe the fatigue level. The FSS was originally compiled by Krupp et al. [49] to measure the degree of fatigue in patients with multiple sclerosis. Studies have proven that it has good reliability and validity in other populations, with Cronbach Alpha > 0.89 [50,51].
- Flow Experience Scale (FES: Hoffman and Novak [52] were the first to propose a one-dimensional flow structure and develop a flow experience scale. In addition, later studies have proposed a two-dimensional theory of flow (enjoyment and concentration) and created a scale accordingly [53]. Some researchers are of the opinion that flow can be measured in four dimensions: enjoyment, concentration, control, and curiosity [54]. This study uses a localized, single-dimensional scale (the FES) to measure flow, and considers the loss of sense of time, pleasure, control, and concentration [55]. We adapted this scale from its predecessor and combined it with daily learning to produce a total of five items on a Likert-scale ranging from 1 (total disagreement) to 7 (complete agreement) (e.g., When I am studying, I sometimes ignore what is happening around me). The FES used in this experiment has high reliability and validity (Cronbach Alpha = 0.850).
2.3. Analysis
3. Results
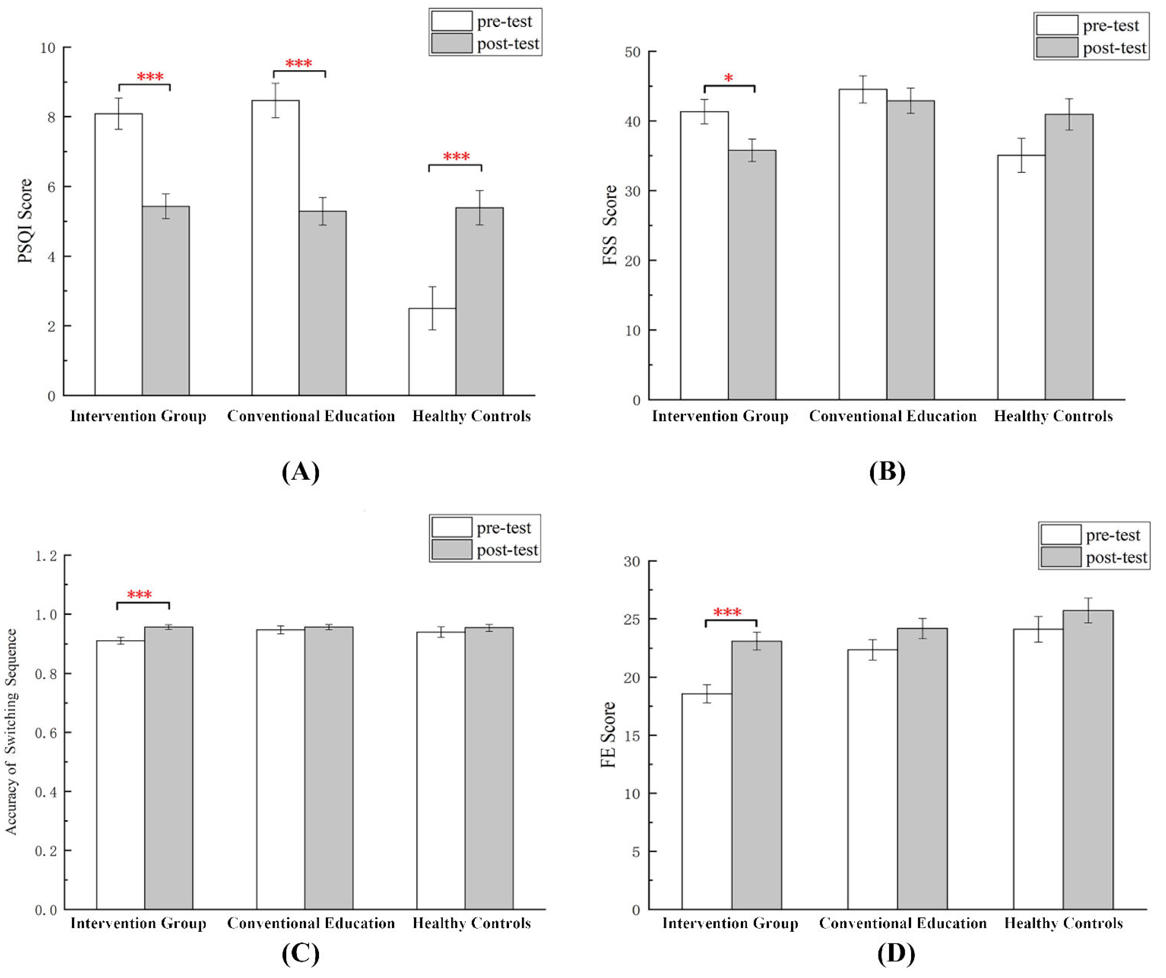
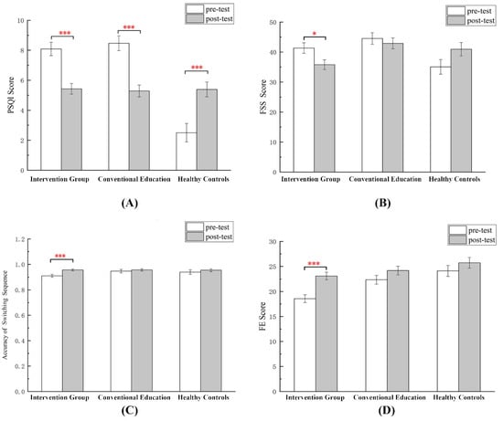
3.1. CPSQI Differences
3.2. FSS Differences
3.3. Cognitive Flexibility Differences
3.4. FES Differences
4. Discussion
5. Conclusions
Author Contributions
Funding
Institutional Review Board Statement
Informed Consent Statement
Data Availability Statement
Acknowledgments
Conflicts of Interest
References
- American Psychiatric Association. Diagnostic and Statistical Manual of Mental Disorders (DSM-5®); American Psychiatric Association Publishing: Washington, DC, USA, 2013. [Google Scholar]
- Perlis, M.; Pigeon, W.; Gehrman, P.; Findley, J.; Drummond, S. Neurobiological Mechanisms in Chronic Insomnia. Sleep Med. Clin. 2009, 4, 549–558. [Google Scholar] [CrossRef] [PubMed]
- van der Zweerde, T.; Lancee, J.; Ida Luik, A.; van Straten, A. Internet-Delivered Cognitive Behavioral Therapy for Insomnia: Tailoring Cognitive Behavioral Therapy for Insomnia for Patients with Chronic Insomnia. Sleep Med. Clin. 2020, 15, 117–131. [Google Scholar] [CrossRef]
- Trauer, J.M.; Qian, M.Y.; Doyle, J.S.; Rajaratnam, S.M.; Cunnington, D. Cognitive Behavioral Therapy for Chronic Insomnia: A Systematic Review and Meta-analysis. Ann. Intern. Med. 2015, 163, 191–204. [Google Scholar] [CrossRef] [PubMed]
- Luik, A.I.; van der Zweerde, T.; van Straten, A.; Lancee, J. Digital Delivery of Cognitive Behavioral Therapy for Insomnia. Curr. Psychiatry Rep. 2019, 21, 50. [Google Scholar] [CrossRef]
- Morin, C.M.; LeBlanc, M.; Belanger, L.; Ivers, H.; Merette, C.; Savard, J. Prevalence of insomnia and its treatment in Canada. Can. J. Psychiatry 2011, 56, 540–548. [Google Scholar] [CrossRef] [PubMed]
- Kim, S.J.; Kim, S.; Jeon, S.; Leary, E.B.; Barwick, F.; Mignot, E. Factors associated with fatigue in patients with insomnia. J. Psychiatr. Res. 2019, 117, 24–30. [Google Scholar] [CrossRef]
- Roniger, D.D.G.; Lechuga, Y.A.; Leon, E.E.; Robles, R.O.G.; Escandon, O.S.; Perez, G.J.T.; Moctezuma, J.V. Cognitive behavioral therapy for insomnia helps to reverse cognitive impairment in insomnia patients. Sleep Sci. 2022, 15, 355–360. [Google Scholar] [CrossRef] [PubMed]
- Okajima, I.; Akitomi, J.; Kajiyama, I.; Ishii, M.; Murakami, H.; Yamaguchi, M. Effects of a Tailored Brief Behavioral Therapy Application on Insomnia Severity and Social Disabilities Among Workers with Insomnia in Japan: A Randomized Clinical Trial. JAMA Netw. Open. 2020, 3, e202775. [Google Scholar] [CrossRef] [PubMed]
- Luik, A.I.; Kyle, S.D.; Espie, C.A. Digital Cognitive Behavioral Therapy (dCBT) for Insomnia: A State-of-the-Science Review. Curr. Sleep Med. Rep. 2017, 3, 48–56. [Google Scholar] [CrossRef]
- Lancee, J.; van Straten, A.; Morina, N.; Kaldo, V.; Kamphuis, J.H. Guided Online or Face-to-Face Cognitive Behavioral Treatment for Insomnia: A Randomized Wait-List Controlled Trial. Sleep 2016, 39, 183–191. [Google Scholar] [CrossRef]
- Tsai, H.-J.; Yang, A.C.; Zhu, J.-D.; Hsu, Y.-Y.; Hsu, T.-F.; Tsai, S.-J. Effectiveness of Digital Cognitive Behavioral Therapy for Insomnia in Young People: Preliminary Findings from Systematic Review and Meta-Analysis. J. Pers. Med. 2022, 12, 481. [Google Scholar] [CrossRef] [PubMed]
- Rajabi Majd, N.; Brostrom, A.; Ulander, M.; Lin, C.Y.; Griffiths, M.D.; Imani, V.; Ahorsu, D.K.; Ohayon, M.M.; Pakpour, A.H. Efficacy of a Theory-Based Cognitive Behavioral Technique App-Based Intervention for Patients with Insomnia: Randomized Controlled Trial. J. Med. Internet Res. 2020, 22, e15841. [Google Scholar] [CrossRef]
- Cheng, P.; Casement, M.D.; Kalmbach, D.A.; Castelan, A.C.; Drake, C.L. Digital cognitive behavioral therapy for insomnia promotes later health resilience during the coronavirus disease 19 (COVID-19) pandemic. Sleep 2021, 44, 695–701. [Google Scholar] [CrossRef] [PubMed]
- van Straten, A.; van der Zweerde, T.; Kleiboer, A.; Cuijpers, P.; Morin, C.M.; Lancee, J. Cognitive and behavioral therapies in the treatment of insomnia: A meta-analysis. Sleep Med. Rev. 2018, 38, 3–16. [Google Scholar] [CrossRef] [PubMed]
- Zhang, C.; Yang, L.; Liu, S.; Xu, Y.; Zheng, H.; Zhang, B. One-Week Self-Guided Internet Cognitive Behavioral Treatments for Insomnia in Adults with Situational Insomnia during the COVID-19 Outbreak. Front. Neurosci. 2020, 14, 622749. [Google Scholar] [CrossRef] [PubMed]
- Daley, M.; Morin, C.M.; LeBlanc, M.; Gregoire, J.P.; Savard, J.; Baillargeon, L. Insomnia and its relationship to health-care utilization, work absenteeism, productivity and accidents. Sleep Med. 2009, 10, 427–438. [Google Scholar] [CrossRef] [PubMed]
- Kyle, S.D.; Espie, C.A.; Morgan, K. “…Not just a minor thing, it is something major, which stops you from functioning daily”: Quality of life and daytime functioning in insomnia. Behav. Sleep Med. 2010, 8, 123–140. [Google Scholar] [CrossRef]
- Andrea, H.; Kant, I.J.; Beurskens, A.J.H.M.; Metsemakers, J.F.M.; van Schayck, C.P. Associations between fatigue attributions and fatigue, health, and psychosocial work characteristics: A study among employees visiting a physician with fatigue. Occup. Environ. Med. 2003, 60, i99–i104. [Google Scholar] [CrossRef]
- Campbell, R.; Tobback, E.; Delesie, L.; Vogelaers, D.; Mariman, A.; Vansteenkiste, M. Basic psychological need experiences, fatigue, and sleep in individuals with unexplained chronic fatigue. Stress Health 2017, 33, 645–655. [Google Scholar] [CrossRef]
- Mariman, A.; Delesie, L.; Tobback, E.; Hanoulle, I.; Sermijn, E.; Vermeir, P.; Pevernagie, D.; Vogelaers, D. Undiagnosed and comorbid disorders in patients with presumed chronic fatigue syndrome. J. Psychosom. Res. 2013, 75, 491–496. [Google Scholar] [CrossRef][Green Version]
- Pastier, N.; Jansen, E.; Boolani, A. Sleep quality in relation to trait energy and fatigue: An exploratory study of healthy young adults. Sleep Sci. 2022, 15, 375–379. [Google Scholar] [CrossRef] [PubMed]
- Manierre, M.; Jansen, E.; Boolani, A. Sleep quality and sex modify the relationships between trait energy and fatigue on state energy and fatigue. PLoS ONE 2020, 15, e0227511. [Google Scholar] [CrossRef] [PubMed]
- Ballesio, A.; Aquino, M.; Feige, B.; Johann, A.F.; Kyle, S.D.; Spiegelhalder, K.; Lombardo, C.; Rucker, G.; Riemann, D.; Baglioni, C. The effectiveness of behavioural and cognitive behavioural therapies for insomnia on depressive and fatigue symptoms: A systematic review and network meta-analysis. Sleep Med. Rev. 2018, 37, 114–129. [Google Scholar] [CrossRef] [PubMed]
- Killgore, W.D.; Kahn-Greene, E.T.; Lipizzi, E.L.; Newman, R.A.; Kamimori, G.H.; Balkin, T.J. Sleep deprivation reduces perceived emotional intelligence and constructive thinking skills. Sleep Med. 2008, 9, 517–526. [Google Scholar] [CrossRef]
- Killgore, W.D.; Grugle, N.L.; Balkin, T.J. Gambling when sleep deprived: Don’t bet on stimulants. Chronobiol. Int. 2012, 29, 43–54. [Google Scholar] [CrossRef]
- Killgore, W.D. Effects of sleep deprivation on cognition. Prog. Brain Res. 2010, 185, 105–129. [Google Scholar] [CrossRef]
- Fortier-Brochu, E.; Beaulieu-Bonneau, S.; Ivers, H.; Morin, C.M. Insomnia and daytime cognitive performance: A meta-analysis. Sleep Med. Rev. 2012, 16, 83–94. [Google Scholar] [CrossRef] [PubMed]
- Herbert, V.; Kyle, S.D.; Pratt, D. Does cogni tive behavioural therapy for insomnia improve cognitive performance? A systematic review and narrative synthesis. Sleep Med. Rev. 2018, 39, 37–51. [Google Scholar] [CrossRef] [PubMed]
- Bower, E.M. Review of Beyond boredom and anxiety: The experience of play in work and games. Am. J. Orthopsychiatry 1976, 46, 729–730. [Google Scholar] [CrossRef]
- Järvilehto, L. Intuition and Flow. In Flow Experience: Empirical Research and Applications; Harmat, L., Orsted Andersen, F., Ullén, F., Wright, J., Sadlo, G., Eds.; Springer International Publishing: Cham, Switzerland, 2016; pp. 95–104. ISBN 978-3-319-28632-7. [Google Scholar]
- Kaida, K.; Niki, K. Total sleep deprivation decreases flow experience and mood status. Neuropsychiatr. Dis. Treat. 2014, 10, 19–25. [Google Scholar] [CrossRef]
- Bakker, A.B. Flow among music teachers and their students: The crossover of peak experiences. J. Vocat. Behav. 2005, 66, 26–44. [Google Scholar] [CrossRef]
- Bakker, A.B.; Oerlemans, W.; Demerouti, E.; Slot, B.B.; Ali, D.K. Flow and performance: A study among talented Dutch soccer players. Psychol. Sport Exerc. 2011, 12, 442–450. [Google Scholar] [CrossRef]
- Jackson, S.A.; Ford, S.K.; Kimiecik, J.C.; Marsh, H.W. Psychological Correlates of Flow in Sport. J. Sport Exerc. Psychol. 1998, 20, 358–378. [Google Scholar] [CrossRef]
- Leger, D.; Metlaine, A.; Choudat, D. Insomnia and sleep disruption: Relevance for athletic performance. Clin. Sports Med. 2005, 24, 269–285. [Google Scholar] [CrossRef] [PubMed]
- Kaida, K.; Takeda, Y.; Tsuzuki, K. The relationship between flow, sleepiness and cognitive performance: The effects of short afternoon nap and bright light exposure. Ind. Health 2012, 50, 189–196. [Google Scholar] [CrossRef]
- Smith, L.J.; King, D.L.; Richardson, C.; Roane, B.M.; Gradisar, M. Mechanisms influencing older adolescents’ bedtimes during videogaming: The roles of game difficulty and flow. Sleep Med. 2017, 39, 70–76. [Google Scholar] [CrossRef] [PubMed]
- Benjamin-Chung, J.; Arnold, B.F.; Berger, D.; Luby, S.P.; Miguel, E.; Colford, J.M., Jr.; Hubbard, A.E. Spillover effects in epidemiology: Parameters, study designs and methodological considerations. Int. J. Epidemiol. 2018, 47, 332–347. [Google Scholar] [CrossRef] [PubMed]
- Verfuerth, C.; Jones, C.R.; Gregory-Smith, D.; Oates, C. Understanding Contextual Spillover: Using Identity Process Theory as a Lens for Analyzing Behavioral Responses to a Workplace Dietary Choice Intervention. Front. Psychol. 2019, 10, 345. [Google Scholar] [CrossRef]
- Espie, C.A.; Emsley, R.; Kyle, S.D.; Gordon, C.; Drake, C.L.; Siriwardena, A.N.; Cape, J.; Ong, J.C.; Sheaves, B.; Foster, R.; et al. Effect of Digital Cognitive Behavioral Therapy for Insomnia on Health, Psychological Well-being, and Sleep-Related Quality of Life: A Randomized Clinical Trial. JAMA Psychiatry 2019, 76, 21–30. [Google Scholar] [CrossRef] [PubMed]
- Benham, G. Stress and sleep in college students prior to and during the COVID-19 pandemic. Stress Health 2021, 37, 504–515. [Google Scholar] [CrossRef]
- Kyle, S.D.; Hurry, M.E.D.; Emsley, R.; Marsden, A.; Omlin, X.; Juss, A.; Spiegelhalder, K.; Bisdounis, L.; Luik, A.I.; Espie, C.A.; et al. The effects of digital cognitive behavioral therapy for insomnia on cognitive function: A randomized controlled trial. Sleep 2020, 43, 1–12. [Google Scholar] [CrossRef]
- Vedaa, O.; Kallestad, H.; Scott, J.; Smith, O.R.F.; Pallesen, S.; Morken, G.; Langsrud, K.; Gehrman, P.; Thorndike, F.P.; Ritterband, L.M.; et al. Effects of digital cognitive behavioural therapy for insomnia on insomnia severity: A large-scale randomised controlled trial. Lancet Digit. Health 2020, 2, e397–e406. [Google Scholar] [CrossRef]
- Paast, N.; Khosravi, Z.; Memari, A.H.; Shayestehfar, M.; Arbabi, M. Comparison of cognitive flexibility and planning ability in patients with obsessive compulsive disorder, patients with obsessive compulsive personality disorder, and healthy controls. Shanghai Arch. Psychiatry 2016, 28, 28–34. [Google Scholar] [CrossRef] [PubMed]
- Buysse, D.J.; Iii, C.; Monk, T.H.; Berman, S.R.; Kupfer, D.J. The Pittsburgh Sleep Quality Index: A new instrument for psychiatric practice and research. Psychiatry Res. 1989, 28, 193–213. [Google Scholar] [CrossRef]
- Backhaus, J.; Junghanns, K.; Broocks, A.; Riemann, D.; Hohagen, F. Test-retest reliability and validity of the Pittsburgh Sleep Quality Index in primary insomnia. J. Psychosom. Res. 2002, 53, 737–740. [Google Scholar] [CrossRef]
- Tsai, P.S.; Wang, S.Y.; Wang, M.Y.; Su, C.T.; Yang, T.T.; Huang, C.J.; Fang, S.C. Psychometric evaluation of the Chinese version of the Pittsburgh Sleep Quality Index (CPSQI) in primary insomnia and control subjects. Qual. Life Res. 2005, 14, 1943–1952. [Google Scholar] [CrossRef] [PubMed]
- Krupp, L.B.; Larocca, N.G.; Muir-Nash, J.; Steinberg, A.D. The Fatigue Severity Scale. Application to patients with multiple sclerosis and systemic lupus erythematosus. JAMA Neurol. 1989, 46, 1121–1123. [Google Scholar] [CrossRef]
- Armutlu, K.; Korkmaz, N.C.; Keser, I.; Sumbuloglu, V.; Akbiyik, D.I.; Guney, Z.; Karabudak, R. The validity and reliability of the Fatigue Severity Scale in Turkish multiple sclerosis patients. Int. J. Rehabil. Res. 2007, 30, 81–85. [Google Scholar] [CrossRef]
- Johansson, K.; Wasling, P.; Axelsson, M. Fatigue, insomnia and daytime sleepiness in multiple sclerosis versus narcolepsy. Acta Neurol. Scand. 2021, 144, 566–575. [Google Scholar] [CrossRef] [PubMed]
- Hoffman, D.L.; Novak, T.P. Marketing in Hypermedia Computer-Mediated Environments: Conceptual Foundations. J. Mark. 1996, 60, 50–68. [Google Scholar] [CrossRef]
- Ghani, J.A.; Supnick, R.; Rooney, P. The experience of flow in computer-mediated and in face-to-face groups. In Proceedings of the Twelfth International Conference on Information Systems, New York, NY, USA, 1 January 1991; pp. 229–237. [Google Scholar]
- Hsu, C.-L.; Chang, K.-C.; Chen, M.-C. The impact of website quality on customer satisfaction and purchase intention: Perceived playfulness and perceived flow as mediators. Inf. Syst. E-Bus. Manag. 2011, 10, 549–570. [Google Scholar] [CrossRef]
- Skadberg, Y.X.; Kimmel, J.R. Visitors’ flow experience while browsing a Web site: Its measurement, contributing factors and consequences. Comput. Hum. Behav. 2004, 20, 403–422. [Google Scholar] [CrossRef]
- Kyle, S.D.; Hurry, M.E.D.; Emsley, R.; Luik, A.I.; Omlin, X.; Spiegelhalder, K.; Espie, C.A.; Sexton, C.E. Effects of digital Cognitive Behavioural Therapy for Insomnia on cognitive function: Study protocol for a randomised controlled trial. Trials 2017, 18, 281. [Google Scholar] [CrossRef] [PubMed]
- Luik, A.I.; Marsden, A.; Emsley, R.; Henry, A.L.; Stott, R.; Miller, C.B.; Espie, C.A. Long-term benefits of digital cognitive behavioural therapy for insomnia: Follow-up report from a randomized clinical trial. J. Sleep Res. 2020, 29, e13018. [Google Scholar] [CrossRef]
- Cai, Z.; Cui, Q.; Liu, Z.; Li, J.; Gong, X.; Liu, J.; Wan, Z.; Yuan, X.; Li, X.; Chen, C.; et al. Nurses endured high risks of psychological problems under the epidemic of COVID-19 in a longitudinal study in Wuhan China. J. Psychiatr. Res. 2020, 131, 132–137. [Google Scholar] [CrossRef]
- Gao, C.; Scullin, M.K. Sleep health early in the coronavirus disease 2019 (COVID-19) outbreak in the United States: Integrating longitudinal, cross-sectional, and retrospective recall data. Sleep Med. 2020, 73, 1–10. [Google Scholar] [CrossRef] [PubMed]
- Bonanomi, A.; Facchin, F.; Barello, S.; Villani, D. Prevalence and health correlates of Onine Fatigue: A cross-sectional study on the Italian academic community during the COVID-19 pandemic. PLoS ONE 2021, 16, e0255181. [Google Scholar] [CrossRef] [PubMed]
- Huang, Y.; Wang, Y.; Zeng, L.; Yang, J.; Song, X.; Rao, W.; Li, H.; Ning, Y.; He, H.; Li, T.; et al. Prevalence and Correlation of Anxiety, Insomnia and Somatic Symptoms in a Chinese Population during the COVID-19 Epidemic. Front. Psychiatry 2020, 11, 568329. [Google Scholar] [CrossRef] [PubMed]
- Pappa, S.; Ntella, V.; Giannakas, T.; Giannakoulis, V.G.; Papoutsi, E.; Katsaounou, P. Prevalence of depression, anxiety, and insomnia among healthcare workers during the COVID-19 pandemic: A systematic review and meta-analysis. Brain Behav. Immun. 2020, 88, 901–907. [Google Scholar] [CrossRef] [PubMed]
- Zhan, Y.; Liu, Y.; Liu, H.; Li, M.; Shen, Y.; Gui, L.; Zhang, J.; Luo, Z.; Tao, X.; Yu, J. Factors associated with insomnia among Chinese front-line nurses fighting against COVID-19 in Wuhan: A cross-sectional survey. J. Nurs. Manag. 2020, 28, 1525–1535. [Google Scholar] [CrossRef]
- Brown, L.A.; Hamlett, G.E.; Zhu, Y.; Wiley, J.F.; Moore, T.M.; DiDomenico, G.E.; Visoki, E.; Greenberg, D.M.; Gur, R.C.; Gur, R.E.; et al. Worry about COVID-19 as a predictor of future insomnia. J. Sleep Res. 2022, e13564. [Google Scholar] [CrossRef]
- Yu, C.; Li, X.; Qi, G.; Yang, L.; Fu, W.; Yao, Q.; Wei, L.; Zhou, D.; Zhang, X.; Zheng, H. Prevalence, Risk Factors, and Clinical Correlates of Insomnia in China College Student during the COVID-19. Front. Psychiatry 2021, 12, 694051. [Google Scholar] [CrossRef] [PubMed]
- Wang, C.; Pan, R.; Wan, X.; Tan, Y.; Xu, L.; Ho, C.S.; Ho, R.C. Immediate Psychological Responses and Associated Factors during the Initial Stage of the 2019 Coronavirus Disease (COVID-19) Epidemic among the General Population in China. Int. J. Environ. Res. Public Health 2020, 17, 1729. [Google Scholar] [CrossRef] [PubMed]
- Haddad, J.M.; Macenski, C.; Mosier-Mills, A.; Hibara, A.; Kester, K.; Schneider, M.; Conrad, R.C.; Liu, C.H. The Impact of Social Media on College Mental Health during the COVID-19 Pandemic: A Multinational Review of the Existing Literature. Curr. Psychiatry Rep. 2021, 23, 70. [Google Scholar] [CrossRef] [PubMed]
- Barello, S.; Palamenghi, L.; Graffigna, G. Burnout and somatic symptoms among frontline healthcare professionals at the peak of the Italian COVID-19 pandemic. Psychiatry Res. 2020, 290, 113129. [Google Scholar] [CrossRef] [PubMed]
- Ruiz-Robledillo, N.; Vela-Bermejo, J.; Clement-Carbonell, V.; Ferrer-Cascales, R.; Alcocer-Bruno, C.; Albaladejo-Blazquez, N. Impact of COVID-19 Pandemic on Academic Stress and Perceived Classroom Climate in Spanish University Students. Int. J. Environ. Res. Public Health 2022, 19, 4398. [Google Scholar] [CrossRef] [PubMed]
- Barutchu, A.; Becker, S.I.; Carter, O.; Hester, R.; Levy, N.L. The Role of Task-Related Learned Representations in Explaining Asymmetries in Task Switching. PLoS ONE 2013, 8, e61729. [Google Scholar] [CrossRef] [PubMed]
- Liu, H.; Fan, N.; Rossi, S.; Yao, P.; Chen, B. The effect of cognitive flexibility on task switching and language switching. Int. J. Billing. 2016, 20, 563–579. [Google Scholar] [CrossRef]
- Clancy, M.; Drerup, M.; Sullivan, A.B. Outcomes of Cognitive-Behavioral Treatment for Insomnia on Insomnia, Depression, and Fatigue for Individuals with Multiple Sclerosis. Int. J. MS Care 2015, 17, 261–267. [Google Scholar] [CrossRef]
- Siengsukon, C.F.; Alshehri, M.; Williams, C.; Drerup, M.; Lynch, S. Feasibility and treatment effect of cognitive behavioral therapy for insomnia in individuals with multiple sclerosis: A pilot randomized controlled trial. Mult. Scler. Relat. Disord. 2020, 40, 101958. [Google Scholar] [CrossRef] [PubMed]
- Roth, T.; Coulouvrat, C.; Hajak, G.; Lakoma, M.D.; Sampson, N.A.; Shahly, V.; Shillington, A.C.; Stephenson, J.J.; Walsh, J.K.; Kessler, R.C. Prevalence and Perceived Health Associated with Insomnia Based on DSM-IV-TR.; International Statistical Classification of Diseases and Related Health Problems, Tenth Revision; and Research Diagnostic Criteria/International Classification of Sleep Disorders, Second Edition Criteria: Results from the America Insomnia Survey. Biol. Psychiatry 2011, 69, 592–600. [Google Scholar] [CrossRef] [PubMed]



| Component | Explanation |
|---|---|
| Sleep hygiene education | Exercise regularly, eat regularly, and do not go to bed on an empty stomach. Make sure the bedroom is comfortable and free from light and sound. Avoid excessive beverages at night, avoid alcohol and smoking, and reduce caffeine intake. Avoid naps during the day and so on. |
| Stimulus control | Reduce waking time while in bed. Recreate the positive connection between drowsiness and the bed. Go to bed only when you are drowsy at night or when it is time to sleep. If the sequence fails to fall asleep, leave the bedroom for some relaxation activities. |
| Sleep restriction | Shorten the time spent awake in bed and increase the drive to fall asleep to improve sleep efficiency. Gradually increase your time in bed as your effective sleep time increases. |
| Relaxation | Muscle relaxation, breathing relaxation, imagery training, mindfulness relaxation, enhancing the control of the brain over the nervous system, reducing anxiety, relieving tension and other emotions, so that you can relax from the stress of the day and improve sleep quality. |
| Cognitive therapy | Correct unrealistic sleep expectations; keep falling asleep naturally, avoid over-focusing and trying to fall asleep; do not worry about losing control over your sleep; do not associate nighttime dreams with adverse daytime outcomes; Frustration arises; develop tolerance to the effects of insomnia, and do not compensate for lack of sleep at night and sleep more during the day. |
| Intervention Groups (n = 39) | Conventional Education Groups (n = 37) | Healthy Controls (n = 20) | |
|---|---|---|---|
| Mean age (years) * | 20.56 ± 1.79 | 21.38 ± 2.13 | 20.90 ± 1.41 |
| Sex * | |||
| Male * | 30 (76.9) | 28 (75.7) | 15 (75.0) |
| Female * | 9 (23.1) | 9 (24.3) | 5 (25.0) |
| Education level * | |||
| Undergraduate * | 32 (82.1) | 19 (51.4) | 15 (75.0) |
| Postgraduate * | 7 (17.9) | 18 (48.6) | 5 (25.0) |
| Yearly income * | |||
| <50,000 RMB * | 8 (20.5) | 9 (24.3) | 6 (30.0) |
| 50,000–100,000 RMB * | 16 (41.0) | 8 (21.6) | 4 (20.0) |
| 100,000–200,000 RMB * | 9 (23.1) | 14 (37.8) | 5 (25.0) |
| 200,000–400,000 RMB * | 4 (10.3) | 5 (13.5) | 5 (25.0) |
| >400,000 RMB * | 2 (5.1) | 1 (2.7) | 0 (0) |
Publisher’s Note: MDPI stays neutral with regard to jurisdictional claims in published maps and institutional affiliations. |
© 2022 by the authors. Licensee MDPI, Basel, Switzerland. This article is an open access article distributed under the terms and conditions of the Creative Commons Attribution (CC BY) license (https://creativecommons.org/licenses/by/4.0/).
Share and Cite
Li, X.; Liu, H.; Kuang, M.; Li, H.; He, W.; Luo, J. Effectiveness of Digital Cognitive Behavior Therapy for the Treatment of Insomnia: Spillover Effects of dCBT. Int. J. Environ. Res. Public Health 2022, 19, 9544. https://doi.org/10.3390/ijerph19159544
Li X, Liu H, Kuang M, Li H, He W, Luo J. Effectiveness of Digital Cognitive Behavior Therapy for the Treatment of Insomnia: Spillover Effects of dCBT. International Journal of Environmental Research and Public Health. 2022; 19(15):9544. https://doi.org/10.3390/ijerph19159544
Chicago/Turabian StyleLi, Xinyi, Hongying Liu, Ming Kuang, Haijiang Li, Wen He, and Junlong Luo. 2022. "Effectiveness of Digital Cognitive Behavior Therapy for the Treatment of Insomnia: Spillover Effects of dCBT" International Journal of Environmental Research and Public Health 19, no. 15: 9544. https://doi.org/10.3390/ijerph19159544
APA StyleLi, X., Liu, H., Kuang, M., Li, H., He, W., & Luo, J. (2022). Effectiveness of Digital Cognitive Behavior Therapy for the Treatment of Insomnia: Spillover Effects of dCBT. International Journal of Environmental Research and Public Health, 19(15), 9544. https://doi.org/10.3390/ijerph19159544

