Effects of Acute Exercise on Cognitive Flexibility in Young Adults with Different Levels of Aerobic Fitness
Abstract
:1. Introduction
2. Materials and Methods
2.1. Participates
2.2. Procedure
2.3. Aerobic Fitness Assessment
2.4. Exercise Protocols
2.5. Task-Switching
2.6. Statistical Analysis
3. Results
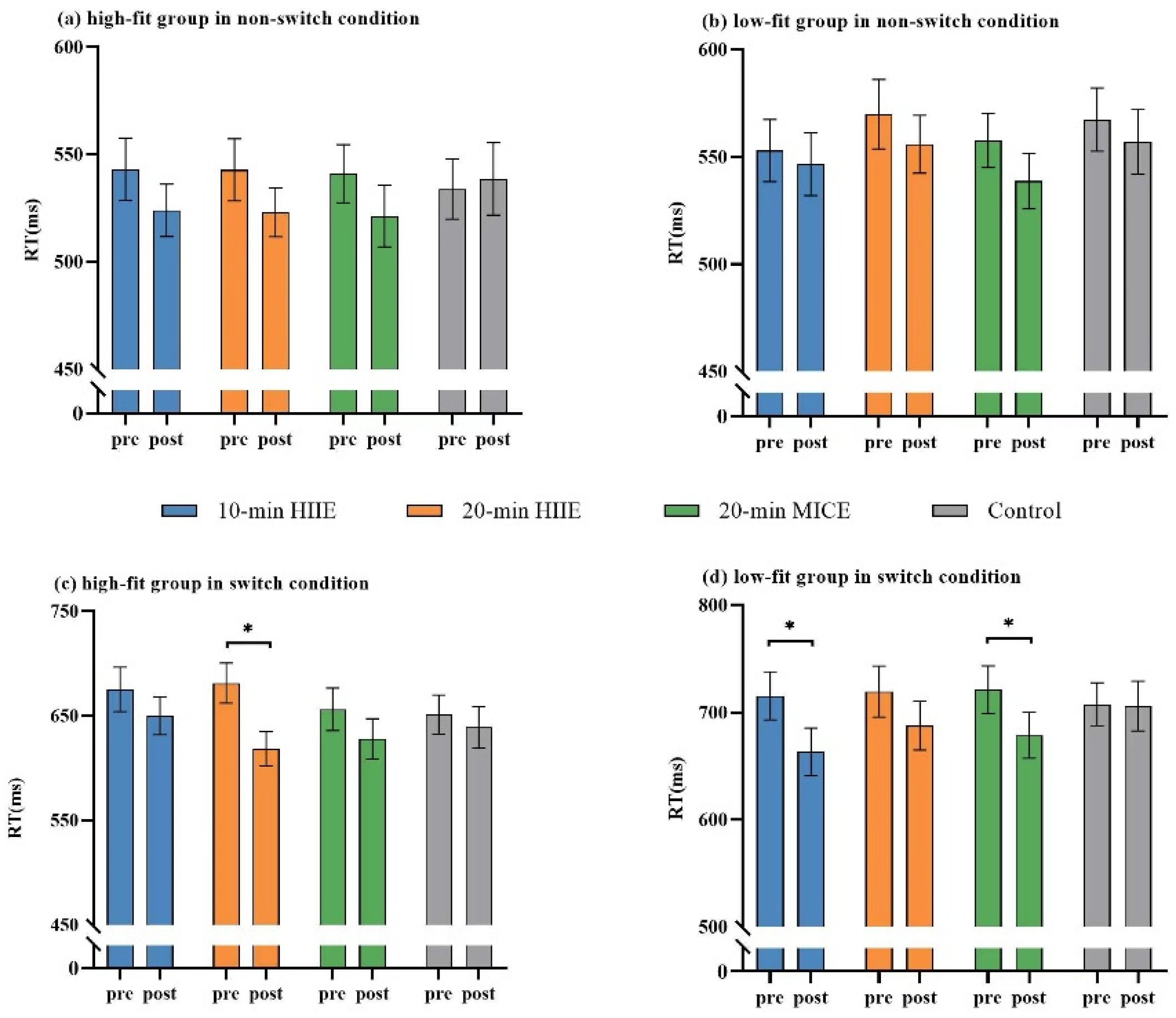
3.1. Reaction Time
3.2. Switch Cost
3.3. Accuracy
3.4. Acute Exercise Performance
4. Discussion
5. Conclusions
Supplementary Materials
Author Contributions
Funding
Institutional Review Board Statement
Informed Consent Statement
Data Availability Statement
Conflicts of Interest
References
- Braem, S.T.; Egner, T. Getting a grip on cognitive flexibility. Curr. Dir. Psychol. Sci. 2018, 27, 470–476. [Google Scholar] [CrossRef] [PubMed] [Green Version]
- De Greeff, J.W.; Bosker, R.J.; Oosterlaan, J.; Visscher, C.; Hartman, E. Effects of physical activity on executive functions, attention and academic performance in preadolescent children: A meta-analysis. J. Sci. Med. Sport 2018, 21, 501–507. [Google Scholar] [CrossRef] [PubMed]
- Lee, J.K.; Orsillo, S. Investigating cognitive flexibility as a potential mechanism of mindfulness in Generalized Anxiety Disorder. J. Behav. Ther. Exp. Psychiatry 2014, 45, 208–216. [Google Scholar] [CrossRef] [PubMed]
- Magalhães, S.; Carneiro, L.; Limpo, T.; Filipe, M. Executive functions predict literacy and mathematics achievements: The unique contribution of cognitive flexibility in grades 2, 4, and 6. Child Neuropsychol. 2020, 26, 934–952. [Google Scholar] [CrossRef] [PubMed]
- Uddin, L.Q. Cognitive and behavioural flexibility: Neural mechanisms and clinical considerations. Nat. Rev. Neurosci. 2021, 22, 167–179. [Google Scholar] [CrossRef]
- Kashihara, K.; Maruyama, T.; Murota, M.; Nakahara, Y. Positive effects of acute and moderate physical exercise on cognitive function. J. Physiol. Anthropol. 2009, 28, 155–164. [Google Scholar] [CrossRef] [Green Version]
- Berse, T.; Barenberg, J.; Urban, V.; Dutke, S. Agentic extraversion moderates the effect of physical exercise on executive shifting performance. J. Res. Pers. 2014, 52, 37–41. [Google Scholar] [CrossRef]
- Loprinzi, P.D.; Kane, C.J. Exercise and Cognitive Function: A Randomized Controlled Trial Examining Acute Exercise and Free-Living Physical Activity and Sedentary Effects. Mayo Clin. Proc. 2015, 90, 450–460. [Google Scholar] [CrossRef] [Green Version]
- Tomporowski, P.D.; Ganio, M.S. Short-term effects of aerobic exercise on executive processing, memory, and emotional reactivity. Int. J. Sport Exerc. Psychol. 2006, 4, 57–72. [Google Scholar] [CrossRef]
- Coles, K.; Tomporowski, P.D. Effects of acute exercise on executive processing, short-term and long-term memory. J. Sports Sci. 2008, 26, 333–344. [Google Scholar] [CrossRef]
- Chang, Y.K.; Labban, J.D.; Gapin, J.I.; Etnier, J.L. The effects of acute exercise on cognitive performance: A meta-analysis. Brain Res. 2012, 1453, 87–101. [Google Scholar] [CrossRef] [PubMed] [Green Version]
- McMorris, T.; Hale, B.J. Differential effects of differing intensities of acute exercise on speed and accuracy of cognition: A meta-analytical investigation. Brain Cogn. 2012, 80, 338–351. [Google Scholar] [CrossRef] [PubMed]
- McAuley, E.; Kramer, A.F.; Colcombe, S.J. Cardiovascular fitness and neurocognitive function in older Adults: A brief review. Brain Behav. Immun. 2004, 18, 214–220. [Google Scholar] [CrossRef]
- Donnelly, J.E.; Hillman, C.H.; Castelli, D.; Etnier, J.L.; Lee, S.; Tomporowski, P.; Szabo-Reed, A.N. Physical Activity, Fitness, Cognitive Function, and Academic Achievement in Children: A Systematic Review. Med. Sci. Sports Exerc. 2016, 48, 1197–1222. [Google Scholar] [CrossRef] [PubMed] [Green Version]
- Chen, F.-T.; Etnier, J.L.; Chan, K.-H.; Chiu, P.-K.; Hung, T.-M.; Chang, Y.-K. Effects of Exercise Training Interventions on Executive Function in Older Adults: A Systematic Review and Meta-Analysis. Sports Med. 2020, 50, 1451–1467. [Google Scholar] [CrossRef]
- Ludyga, S.; Gerber, M.; Brand, S.; Holsboer-Trachsler, E.; Pühse, U. Acute effects of moderate aerobic exercise on specific aspects of executive function in different age and fitness groups: A meta-analysis. Psychophysiology 2016, 53, 1611–1626. [Google Scholar] [CrossRef] [PubMed]
- Bae, S.; Masaki, H. Effects of Acute Aerobic Exercise on Cognitive Flexibility Required During Task-Switching Paradigm. Front. Hum. Neurosci. 2019, 13, 260. [Google Scholar] [CrossRef] [PubMed] [Green Version]
- Dupuy, O.; Billaut, F.; Raymond, F.; Benraiss, A.; Theurot, D.; Bosquet, L.; Fraser, S.; Tremblay, J. Effect of Acute Intermittent Exercise on Cognitive Flexibility: The Role of Exercise Intensity. J. Cogn. Enhanc. 2018, 2, 146–156. [Google Scholar] [CrossRef]
- Chen, F.-T.; Etnier, J.L.; Wu, C.-H.; Cho, Y.-M.; Hung, T.-M.; Chang, Y.-K. Dose-Response Relationship between Exercise Duration and Executive Function in Older Adults. J. Clin. Med. 2018, 7, 279. [Google Scholar] [CrossRef] [PubMed] [Green Version]
- Pesce, C.; Audiffren, M. Does Acute Exercise Switch Off Switch Costs? A Study With Younger and Older Athletes. J. Sport Exerc. Psychol. 2011, 33, 609–626. [Google Scholar] [CrossRef]
- Oberste, M.; Javelle, F.; Sharma, S.; Joisten, N.; Walzik, D.; Bloch, W.; Zimmer, P. Effects and Moderators of Acute Aerobic Exercise on Subsequent Interference Control: A Systematic Review and Meta-Analysis. Front. Psychol. 2019, 10, 2616. [Google Scholar] [CrossRef] [PubMed] [Green Version]
- Moreau, D.; Chou, E. The Acute Effect of High-Intensity Exercise on Executive Function: A Meta-Analysis. Perspect. Psychol. Sci. 2019, 14, 734–764. [Google Scholar] [CrossRef] [PubMed] [Green Version]
- Leahy, A.A.; Mavilidi, M.-F.; Smith, J.J.; Hillman, C.H.; Eather, N.; Barker, D.; Lubans, D.R. Review of High-Intensity Interval Training for Cognitive and Mental Health in Youth. Med. Sci. Sports Exerc. 2020, 52, 2224–2234. [Google Scholar] [CrossRef] [PubMed]
- Kao, S.-C.; Drollette, E.S.; Ritondale, J.P.; Khan, N.; Hillman, C.H. The acute effects of high-intensity interval training and moderate-intensity continuous exercise on declarative memory and inhibitory control. Psychol. Sport Exerc. 2018, 38, 90–99. [Google Scholar] [CrossRef]
- Marchant, D.; Hampson, S.; Finnigan, L.; Marrin, K.; Thorley, C. The Effects of Acute Moderate and High Intensity Exercise on Memory. Front. Psychol. 2020, 11, 1716. [Google Scholar] [CrossRef]
- Tian, S.; Mou, H.; Fang, Q.; Zhang, X.; Meng, F.; Qiu, F. Comparison of the Sustainability Effects of High-Intensity Interval Exercise and Moderate-Intensity Continuous Exercise on Cognitive Flexibility. Int. J. Environ. Res. Public Health 2021, 18, 9631. [Google Scholar] [CrossRef]
- Voss, M.W.; Nagamatsu, L.S.; Liu-Ambrose, T.; Kramer, A. Exercise, brain, and cognition across the life span. J. Appl. Physiol. 2011, 111, 1505–1513. [Google Scholar] [CrossRef] [Green Version]
- Hüttermann, S.; Memmert, D. Does the inverted-U function disappear in expert athletes? An analysis of the attentional behavior under physical exercise of athletes and non-athletes. Physiol. Behav. 2014, 131, 87–92. [Google Scholar] [CrossRef]
- Tsai, C.L.; Pan, C.Y.; Chen, F.C.; Wang, C.H.; Chou, F.Y. Effects of acute aerobic exercise on a task-switching protocol and brain-derived neurotrophic factor concentrations in young adults with different levels of cardiorespiratory fitness. Exp. Physiol. 2016, 101, 836–850. [Google Scholar] [CrossRef] [Green Version]
- Chu, C.-H.; Chen, A.-G.; Hung, T.-M.; Wang, C.-C.; Chang, Y.-K. Exercise and fitness modulate cognitive function in older adults. Psychol. Aging 2015, 30, 842–848. [Google Scholar] [CrossRef] [PubMed]
- Chang, Y.-K.; Chu, C.-H.; Wang, C.-C.; Song, T.-F.; Wei, G.-X. Effect of acute exercise and cardiovascular fitness on cognitive function: An event-related cortical desynchronization study. Psychophysiology 2015, 52, 342–351. [Google Scholar] [CrossRef] [PubMed]
- Kamijo, K.; Hayashi, Y.; Sakai, T.; Yahiro, T.; Tanaka, K.; Nishihira, Y. Acute Effects of Aerobic Exercise on Cognitive Function in Older Adults. J. Gerontol. Ser. B-Psychol. Sci. Soc. Sci. 2009, 64, 356–363. [Google Scholar] [CrossRef] [PubMed] [Green Version]
- Li, L.; Zhang, S.; Cui, J.; Chen, L.-Z.; Wang, X.; Fan, M.; Wei, G.-X. Fitness-Dependent Effect of Acute Aerobic Exercise on Executive Function. Front. Physiol. 2019, 10, 902. [Google Scholar] [CrossRef] [PubMed] [Green Version]
- Cui, J.; Zou, L.; Herold, F.; Yu, Q.; Jiao, C.; Zhang, Y.; Wang, C. Does Cardiorespiratory Fitness Influence the Effect of Acute Aerobic Exercise on Executive Function? Front. Hum. Neurosci. 2020, 14, 569010. [Google Scholar] [CrossRef]
- Kujach, S.; Byun, K.; Hyodo, K.; Suwabe, K.; Fukuie, T.; Laskowski, R.; Dan, I.; Soya, H. A transferable high-intensity intermittent exercise improves executive performance in association with dorsolateral prefrontal activation in young adults. NeuroImage 2018, 169, 117–125. [Google Scholar] [CrossRef] [PubMed]
- Thomas, S.; Reading, J.; Shephard, R.J. Revision of the Physical Activity Readiness Questionnaire (PAR-Q). Can. J. Sport Sci. 1992, 17, 338–345. [Google Scholar]
- Borg, G. Perceived exertion as an indicator of somatic stress. Scand. J. Rehabil. Med. 1970, 2, 92–98. [Google Scholar] [PubMed]
- Léger, L.A.; Mercier, D.; Gadoury, C.; Lambert, J. The multistage 20 metre shuttle run test for aerobic fitness. J. Sports Sci. 1988, 6, 93–101. [Google Scholar] [CrossRef]
- Lang, J.; Tomkinson, G.; Janssen, I.; Ruiz, J.R.; Ortega, F.B.; Léger, L.; Tremblay, M.S. Making a Case for Cardiorespiratory Fitness Surveillance Among Children and Youth. Exerc. Sport Sci. Rev. 2018, 46, 66–75. [Google Scholar] [CrossRef]
- Thompson, P.D.; Arena, R.; Riebe, D.; Pescatello, L.S. ACSM’s New Preparticipation Health Screening Recommendations from ACSM’s Guidelines for Exercise Testing and Prescription, Ninth Edition. Curr. Sports Med. Rep. 2013, 12, 215–217. [Google Scholar] [CrossRef] [PubMed]
- Mahon, A.D.; Marjerrison, A.D.; Lee, J.D.; Woodruff, M.E.; Hanna, L.E. Evaluating the Prediction of Maximal Heart Rate in Children and Adolescents. Res. Q. Exerc. Sport 2010, 81, 466–471. [Google Scholar] [CrossRef] [PubMed]
- Tian, S.; Mou, H.; Qiu, F. Sustained Effects of High-Intensity Interval Exercise and Moderate-Intensity Continuous Exercise on Inhibitory Control. Int. J. Environ. Res. Public Health 2021, 18, 2687. [Google Scholar] [CrossRef] [PubMed]
- Hillman, C.; Kramer, A.; Belopolsky, A.; Smith, D. A cross-sectional examination of age and physical activity on performance and event-related brain potentials in a task switching paradigm. Int. J. Psychophysiol. 2006, 59, 30–39. [Google Scholar] [CrossRef] [PubMed]
- Gauthier, C.J.; Lefort, M.; Mekary, S.; Desjardins-Crépeau, L.; Skimminge, A.; Iversen, P.; Madjar, C.; Desjardins, M.; Lesage, F.; Garde, E.; et al. Hearts and minds: Linking vascular rigidity and aerobic fitness with cognitive aging. Neurobiol. Aging 2015, 36, 304–314. [Google Scholar] [CrossRef] [PubMed]
- Williams, R.A.; Cooper, S.B.; Dring, K.J.; Hatch, L.; Morris, J.G.; Sunderland, C.; Nevill, M.E. Effect of football activity and physical fitness on information processing, inhibitory control and working memory in adolescents. BMC Public Health 2020, 20, 1–14. [Google Scholar] [CrossRef]
- Cooper, S.B.; Dring, K.J.; Morris, J.G.; Sunderland, C.; Bandelow, S.; Nevill, M.E. High intensity intermittent games-based activity and adolescents’ cognition: Moderating effect of physical fitness. BMC Public Health 2018, 18, 1–14. [Google Scholar] [CrossRef] [PubMed]
- Pontifex, M.B.; McGowan, A.L.; Chandler, M.C.; Gwizdala, K.L.; Parks, A.C.; Fenn, K.; Kamijo, K. A primer on investigating the after effects of acute bouts of physical activity on cognition. Psychol. Sport Exerc. 2019, 40, 1–22. [Google Scholar] [CrossRef]
- Kujach, S.; Olek, R.A.; Byun, K.; Suwabe, K.; Sitek, E.; Ziemann, E.; Laskowski, R.; Soya, H. Acute Sprint Interval Exercise Increases Both Cognitive Functions and Peripheral Neurotrophic Factors in Humans: The Possible Involvement of Lactate. Front. Neurosci. 2020, 13, 1455. [Google Scholar] [CrossRef]
- Dinoff, A.; Herrmann, N.; Swardfager, W.; Lanctôt, K.L. The effect of acute exercise on blood concentrations of brain-derived neurotrophic factor in healthy adults: A meta-analysis. Eur. J. Neurosci. 2017, 46, 1635–1646. [Google Scholar] [CrossRef]
- Ai, J.-Y.; Chen, F.-T.; Hsieh, S.-S.; Kao, S.-C.; Chen, A.-G.; Hung, T.-M.; Chang, Y.-K. The Effect of Acute High-Intensity Interval Training on Executive Function: A Systematic Review. Int. J. Environ. Res. Public Health 2021, 18, 3593. [Google Scholar] [CrossRef]
- Hogan, M.; Kiefer, M.; Kubesch, S.; Collins, P.; Kilmartin, L.; Brosnan, M. The interactive effects of physical fitness and acute aerobic exercise on electrophysiological coherence and cognitive performance in adolescents. Exp. Brain Res. 2013, 229, 85–96. [Google Scholar] [CrossRef] [PubMed] [Green Version]
- Netz, Y.; Argov, E.; Inbar, O. Fitness’s Moderation of the Facilitative Effect of Acute Exercise on Cognitive Flexibility in Older Women. J. Aging Phys. Act. 2009, 17, 154–166. [Google Scholar] [CrossRef]
- Hogan, M.J.; O’Hora, D.; Kiefer, M.; Kubesch, S.; Kilmartin, L.; Collins, P.; Dimitrova, J. The effects of cardiorespiratory fitness and acute aerobic exercise on executive functioning and EEG entropy in adolescents. Front. Hum. Neurosci. 2015, 9, 538. [Google Scholar] [CrossRef] [PubMed] [Green Version]
- Riebe, D.; Ehrman, J.; Liguori, G.; Magal, M. ACSM’s Guidelines for Exercise Testing and Prescription, 10th ed.; Lippincott Williams & Wilkin: New York, NY, USA, 2018. [Google Scholar]
- Hains, A.B.; Vu, M.A.T.; Maciejewski, P.K.; van Dyck, C.H.; Gottron, M.; Arnsten, A.F.T. Inhibition of protein kinase C signaling protects prefrontal cortex dendritic spines and cognition from the effects of chronic stress. Proc. Natl. Acad. Sci. USA 2009, 106, 17957–17962. [Google Scholar] [CrossRef] [PubMed] [Green Version]
- Hains, A.B.; Arnsten, A.F. Molecular mechanisms of stress-induced prefrontal cortical impairment: Implications for mental illness. Learn. Mem. 2008, 15, 551–564. [Google Scholar] [CrossRef] [Green Version]



| Variable | High-Fitness | Low-Fitness | p |
|---|---|---|---|
| Gender (male/female) | 33 (16/17) | 33 (16/17) | - |
| Age (years) | 19.65 ± 1.05 | 19.29 ± 0.85 | 0.132 |
| Height (cm) | 174.24 ± 6.92 | 171.97 ± 8.58 | 0.240 |
| Weight (kg) | 63.91 ± 7.99 | 67.79 ± 21.13 | 0.327 |
| BMI (kg/m2) | 20.88 ± 1.60 | 23.23 ± 4.94 | 0.011 * |
| Body fat (%) | 19.02 ± 5.12 | 23.93 ± 5.65 | <0.001 *** |
| HRmax (bpm) | 192.91 ± 7.72 | 192.18 ± 7.88 | 0.706 |
| HRR (bpm) | 131.03 ± 10.35 | 123.30 ± 10.82 | 0.004 ** |
| VO2max (mL·kg–1·min–1) | 56.35 ± 7.01 | 35.05 ± 4.27 | 0.001 *** |
| Mean 10 min HIIE HR (bpm) | 159.14 ± 7.82 | 164.79 ± 5.80 | 0.001 *** |
| Mean 20 min HIIE HR (bpm) | 161.55 ± 7.99 | 166.39 ± 8.31 | 0.019 * |
| Mean 20 min MICE HR (bpm) | 135.58 ± 6.07 | 139.92 ± 5.84 | 0.004 ** |
| Mean HR during rest (bpm) | 71.76 ± 6.55 | 71.89 ± 10.37 | 0.951 |
| 10 min HIIE RPE | 15.42 ± 1.60 | 15.73 ± 1.89 | 0.485 |
| 20 min HIIE RPE | 17.15 ± 1.73 | 17.61 ± 1.37 | 0.242 |
| 20 min MICE RPE | 11.73 ± 2.04 | 12.82 ± 1.79 | 0.024 * |
Publisher’s Note: MDPI stays neutral with regard to jurisdictional claims in published maps and institutional affiliations. |
© 2022 by the authors. Licensee MDPI, Basel, Switzerland. This article is an open access article distributed under the terms and conditions of the Creative Commons Attribution (CC BY) license (https://creativecommons.org/licenses/by/4.0/).
Share and Cite
Shi, B.; Mou, H.; Tian, S.; Meng, F.; Qiu, F. Effects of Acute Exercise on Cognitive Flexibility in Young Adults with Different Levels of Aerobic Fitness. Int. J. Environ. Res. Public Health 2022, 19, 9106. https://doi.org/10.3390/ijerph19159106
Shi B, Mou H, Tian S, Meng F, Qiu F. Effects of Acute Exercise on Cognitive Flexibility in Young Adults with Different Levels of Aerobic Fitness. International Journal of Environmental Research and Public Health. 2022; 19(15):9106. https://doi.org/10.3390/ijerph19159106
Chicago/Turabian StyleShi, Beibei, Hong Mou, Shudong Tian, Fanying Meng, and Fanghui Qiu. 2022. "Effects of Acute Exercise on Cognitive Flexibility in Young Adults with Different Levels of Aerobic Fitness" International Journal of Environmental Research and Public Health 19, no. 15: 9106. https://doi.org/10.3390/ijerph19159106
APA StyleShi, B., Mou, H., Tian, S., Meng, F., & Qiu, F. (2022). Effects of Acute Exercise on Cognitive Flexibility in Young Adults with Different Levels of Aerobic Fitness. International Journal of Environmental Research and Public Health, 19(15), 9106. https://doi.org/10.3390/ijerph19159106

