The Assessment of Indoor Formaldehyde and Bioaerosol Removal by Using Negative Discharge Electrostatic Air Cleaners
Abstract
:1. Introduction
2. Materials and Methods
2.1. Experimental Apparatus and Analysis Methods
2.2. Laboratory Test System
2.3. Environmental Conditions for Field Tests
3. Results
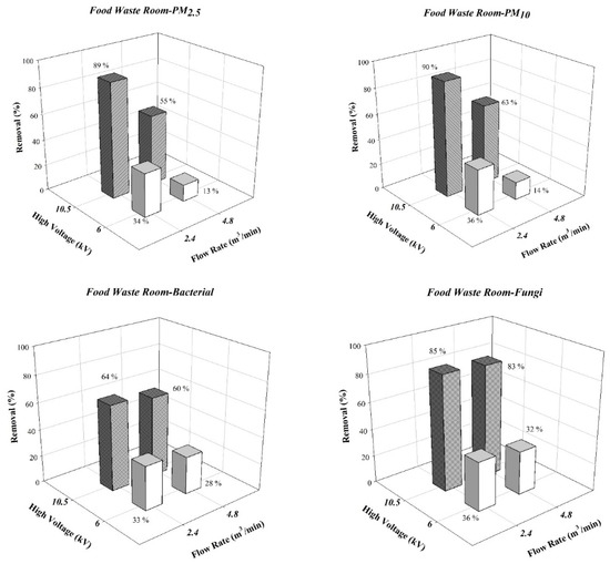
3.1. Assessing ESP Removal Performance for Aerosols
3.2. ESP Ozone Generation and Its Potential for Air Pollutant Removal
4. Conclusions
Author Contributions
Funding
Institutional Review Board Statement
Informed Consent Statement
Data Availability Statement
Conflicts of Interest
References
- Jaworek, A.; Krupa, A.; Czech, T. Modern electrostatic devices and methods for exhaust gas cleaning: A brief review. J. Electrost. 2007, 65, 133–155. [Google Scholar] [CrossRef]
- Zhao, Z.M.; Pfeffer, R. A semi-empirical approach to predict the total collectionefficiency of electrostatic precip-itators. Chem. Eng. Commun. 2012, 148, 315–331. [Google Scholar]
- Butz, A.M.; Matsui, E.C.; Breysse, P.; Curtin-Brosnan, J.; Eggleston, P.; Diette, G.; Williams, D.; Yuan, J.; Bernert, J.T.; Rand, C. A randomized trial of air cleaners and a health coach to improve indoor air quality for inner-city children with asthma and secondhand smoke exposure. Arch. Pediatr. Adolesc. Med. 2011, 165, 741–748. [Google Scholar] [CrossRef] [PubMed]
- Skulberg, K.R.; Skyberg, K.; Kruse, K.; Eduard, W.; Levy, F.; Kongerud, J.; Djupesland, P. The effects of intervention with local electrostatic air cleaners on airborne dust and the health of office employees. Indoor Air 2005, 15, 152–159. [Google Scholar] [CrossRef]
- Mermigkas, A.C.; Timoshkin, I.V.; MacGregor, S.J.; Given, M.J.; Wilson, M.P.; Wang, T. Removal of Fine and Ul-trafine Particles from Air by Microelectrostatic Precipitation. IEEE Trans. Plasma Sci. 2013, 41, 2842–2850. [Google Scholar] [CrossRef]
- Waring, M.S.; Siegel, J.A.; Corsi, R.L. Ultrafine particle removal and generation by portable air cleaners. Atmos. Environ. 2008, 42, 5003–5014. [Google Scholar] [CrossRef]
- Morawska, L.; Agranovski, V.; Ristovski, Z.; Jamriska, M. Effect of face velocity and the nature of aerosol on the col-lection of submicrometer particles by electrostatic precipitator. Indoor Air 2002, 12, 129–137. [Google Scholar] [CrossRef]
- Mizuno, A. Recent Development of Electrostatic Technologies in Environmental Remediation. In Proceedings of the 2009 IEEE Industry Applications Society Annual Meeting, Houston, TX, USA, 4–8 October 2009; p. 10974532. [Google Scholar] [CrossRef]
- Mainelis, G.; Grinshpun, S.A.; Willeke, K.; Reponen, T.; Ulevicius, V.; Hintz, P.J. Collection of Airborne Microorgan-isms by Electrostatic Precipitation. Aerosol Sci. Technol. 1999, 30, 127–144. [Google Scholar] [CrossRef]
- Koide, S.; Nakagawa, A.; Omoe, K.; Takaki, K.; Uchino, T. Physical and microbial collection efficiencies of an electro-static precipitator for abating airborne particulates in postharvest agricultural processing. J. Electrost. 2013, 71, 734–738. [Google Scholar] [CrossRef]
- Botvinnik, I.; Taylor, C.E.; Snyder, G. High-Efficiency Portable Electrostatic Air Cleaner with Insulated Electrodes (January 2007). IEEE Trans. Ind. Appl. 2008, 44, 512–516. [Google Scholar] [CrossRef]
- Mizuno, A. Industrial applications of atmospheric non-thermal plasma in environmental remediation. Plasma Phys. Control Fusion 2006, 49, A1–A15. [Google Scholar] [CrossRef]
- Li, X.; Li, J.; Wu, D.; Lu, S.; Zhou, C.; Qi, Z.; Li, M.; Yan, J. Removal effect of the low-low temperature electrostatic pre-cipitator on polycyclic aromatic hydrocarbons. Chemosphere 2018, 211, 44–49. [Google Scholar] [CrossRef]
- Han, T.T.; Thomas, N.M.; Mainelis, G. Design and development of a self-contained personal electrostatic bioaerosol sampler (PEBS) with a wire-to-wire charger. Aerosol Sci. Technol. 2017, 51, 903–915. [Google Scholar] [CrossRef]
- Kim, M.; Lim, G.-T.; Kim, Y.-J.; Han, B.; Woo, C.G.; Kim, H.-J. A novel electrostatic precipitator-type small air purifier with a carbon fiber ionizer and an activated carbon fiber filter. J. Aerosol Sci. 2018, 117, 63–73. [Google Scholar] [CrossRef]
- Hensel, K.; Pawlat, J.; Takashima, K.; Mizuno, A. Treatment of HCHO using corona discharge and pellet catalysts. In Proceedings of the 30th International Conference on Plasma Science, Jeju, Korea, 5 June 2003; p. 276. [Google Scholar] [CrossRef]
- Yuan, J.; Xu, P.; Wang, J.; Zhang, W.; Zhou, J.; Lai, A.; Wang, L. Experimental Study on the Removal of Formaldehyde by Plasma-Catalyst. IOP Conf. Ser. Earth Environ. Sci. 2020, 435, 012004. [Google Scholar] [CrossRef]
- Wan, Y.; Fan, X.; Zhu, T. Removal of low-concentration formaldehyde in air by DC corona discharge plasma. Chem. Eng. J. 2011, 171, 314–319. [Google Scholar] [CrossRef]
- He, X.; Zeng, Y.; Chen, J.; Wang, F.; Fu, Y.; Feng, F.; Huang, H. Role of O3 in the removal of HCHO using a DC streamer plasma. J. Phys. D Appl. Phys. 2019, 52, 465203. [Google Scholar] [CrossRef]
- Tiwari, B.W.; Brennan, C.S.; Curran, T.; Gallagher, E.; Cullen, P.J.; O’Donnell, C.P. Application of ozone in grain processing. J. Cereal Sci. 2010, 51, 248–255. [Google Scholar] [CrossRef]
- Ohkubo, T.; Hamasaki, S.; Nomoto, Y.; Chang, J.-S.; Adachi, T. The effect of corona wire heating on the downstream ozone concentration profiles in an air-cleaning wire-duct electrostatic precipitator. IEEE Trans. Ind. Appl. 1990, 26, 542–549. [Google Scholar] [CrossRef]
- Viner, A.S.; Lawless, P.A.; Ensor, D.S.; Sparks, L.E. Ozone generation in DC-energized electrostatic precipitators. IEEE Trans. Ind. Appl. 1992, 28, 504–512. [Google Scholar] [CrossRef]
- Huang, S.-H.; Chen, C.-C. Filtration Characteristics of a Miniature Electrostatic Precipitator. Aerosol Sci. Technol. 2001, 35, 792–804. [Google Scholar] [CrossRef]
- Boelter, K.J.; Davidson, J.H. Ozone Generation by Indoor, Electrostatic Air Cleaners. Aerosol Sci. Technol. 1997, 27, 689–708. [Google Scholar] [CrossRef]
- Hautanen, J.; Janka, K.; Koskinen, J.; Lehtimäki, M.; Kivistö, T. Optimization of Filtration Efficiency and Ozone Pro-duction of the Electrostatic Precipitator. J. Aerosol Sci. 1986, 17, 622–626. [Google Scholar] [CrossRef]
- Khadre, M.; Yousef, A.E.; Kim, J.-G. Microbiological Aspects of Ozone Applications in Food: A Review. J. Food Sci. 2001, 66, 1242–1252. [Google Scholar] [CrossRef]
- Cullen, P.J.; Tiwari, B.K.; O’Donnell, C.P.; Muthukumarappan, K. Modelling approaches to ozone processing of liquid foods. Trends Food Sci. Technol. 2009, 20, 125–136. [Google Scholar] [CrossRef]
- NIEA E301.12C; Standard Method of Total Bacteria Count of Indoor Air. Laboratory of Environmental Analysis, Environmental Protection Administration: Taiwan, China, 2012.
- NIEA 401.12C; Standard Method of Total Fungi Count of Indoor Air. Laboratory of Environmental Analysis, Environmental Protection Administration: Taiwan, China, 2012.
- Hinds, W.C. Aerosol Technology: Properties, Behavior, and Measurement of Airborne Particles; John-Wiley and Sons: New York, NY, USA, 1999. [Google Scholar]
- Deutsch, W. Bewegung und ladung der elektrizitätsträger im zylinderkondensator. Ann. Der Physik. 1922, 68, 355. [Google Scholar] [CrossRef]
- Bian, X.; Meng, X.; Wang, L.; MacAlpine, J.M.K.; Guan, Z.; Hui, J. Negative corona inception voltages in rod-plane gaps at various air pressures and humidities. IEEE Trans. Dielectr. Electr. Insul. 2011, 18, 613–619. [Google Scholar] [CrossRef]
- Wang, X.; You, C. Effect of humidity on negative corona discharge of electrostatic precipitators. IEEE Trans. Dielectr. Electr. Insul. 2013, 20, 1720–1726. [Google Scholar] [CrossRef]
- Kawada, Y.; Kaneko, T.; Ito, T. Simultaneous removal of aerosol particles, NOx and SO2, from incense smokes by a DC electrostatic precipitator with dielectric barrier discharge precharges. J. Phys. D Appl. Phys. 2002, 35, 1961–1966. [Google Scholar] [CrossRef]
- Yagi, S.; Tanaka, M. Mechanism of ozone generation in air-fed ozonisers. J. Phys. D Appl. Phys. 1979, 12, 1509–1520. [Google Scholar] [CrossRef]
- Nazaroff, W.W. Indoor bioaerosol dynamics. Indoor Air 2014, 26, 61–78. [Google Scholar] [CrossRef] [PubMed]
- Niazi, S.; Hassanvand, M.S.; Mahvi, A.H.; Nabizadeh, R.; Alimohammadi, M.; Nabavi, S.; Faridi, S.; Dehghani, A.; Hoseini, M.; Moradi-Joo, M.; et al. Assessment of bioaerosol contamination (bacteria and fungi) in the largest urban wastewater treatment plant in the Middle East. Environ. Sci. Pollut. Res. 2015, 22, 16014–16021. [Google Scholar] [CrossRef] [PubMed]
- Bredholt, H.; Fjærvik, E.; Johnsen, G.; Zotchev, S.B. Actinomycetes from Sediments in the Trondheim Fjord, Norway: Diversity and Biological Activity. Mar. Drugs 2008, 6, 12–24. [Google Scholar] [CrossRef]
- Lee, S.A.; Willeke, K.; Mainelis, G.; Adhikari, A.; Wang, H.; Reponen, T.; Grinshpun, S.A. Assessment of Electrical Charge on Airborne Microorganisms by a New Bioaerosol Sampling Method. J. Occup. Environ. Hyg. 2004, 1, 127–138. [Google Scholar] [CrossRef] [PubMed]
- Mainelis, G.; Willeke, K.; Baron, P.; Reponen, T.; Grinshpun, S.A.; Gorny, R.L.; Trakumas, S. Electrical charges on air-borne microorganisms. Aerosol Sci. 2001, 32, 1087–1110. [Google Scholar] [CrossRef]
- Mainelis, G.; Adhikari, A.; Willeke, K.; Lee, S.-A.; Reponen, T.; Grinshpun, A.S. Collection of airborne microorganisms by a new electrostatic precipitator. J. Aerosol Sci. 2002, 33, 1417–1432. [Google Scholar] [CrossRef]
- Xu, Y.; Zheng, C.; Liu, Z.; Yan, K. Electrostatic precipitation of airborne bio-aerosols. J. Electrost. 2013, 71, 204–207. [Google Scholar] [CrossRef]
- Mainelis, G.; Gorny, R.L.; Reponen, T.; Trunov, M.; Grinshpun, S.A.; Baron, P.; Yadav, J.; Willeke, K. Effect of electrical charges and fileds on injury and viability of airborne bacteria. Biotechnol. Bioeng. 2002, 79, 229–241. [Google Scholar] [CrossRef]
- Moisan, M.; Barbeau, J.; Moreau, S.; Pelletier, J.; Tabrizian, M.; Yahia, L. Low-temperature sterilization using gas plasmas: A review of the experiments and an analysis of the inactivation mechanisms. Int. J. Pharm. 2001, 226, 1–21. [Google Scholar] [CrossRef]
- Chang, M.B.; Lee, C.C. Destruction of Formaldehyde with Dielectric Barrier Discharge Plasmas. Environ. Sci. Technol. 1995, 29, 181–186. [Google Scholar] [CrossRef]
- Nunez, C.M.; Ramsey, G.H.; Ponder, W.H.; Abbott, J.H.; Hamel, L.E.; Kariher, P.H. Corona Destruction: An Innova-tive Control Technology for VOCs and Air Toxics. Air Waste 1993, 4, 242–247. [Google Scholar] [CrossRef] [PubMed]
- Lu, Y.; Wang, D.; Wu, Y.; Ma, C.; Zhang, X.; Yang, C. Synergistic Effect of Nanophotocatalysis and Nonthermal Plasma on the Removal of Indoor HCHO. Int. J. Photoenergy 2012, 2012, 354032. [Google Scholar] [CrossRef]
- Liang, W.-J.; Li, J.; Li, J.-X.; Zhu, T.; Jin, Y.-Q. Formaldehyde removal from gas streams by means of NaNO2 dielectric barrier discharge plasma. J. Hazard. Mater. 2010, 175, 1090–1095. [Google Scholar] [CrossRef] [PubMed]
- Chen, L.; Gonze, E.; Ondarts, M.; Outin, J.; Gonthier, Y. Electrostatic precipitator for fine and ultrafine particle removal from indoor air environments. Sep. Purif. Technol. 2020, 247, 116964. [Google Scholar] [CrossRef]
- Castle, G.S.P.; Inculet, I.I.; Burgess, K.I. Ozone Generation in Positive Corona Electrostatic Precipitators. IEEE Trans. Ind. Gen. Appl. 1969, IGA-5, 489–496. [Google Scholar] [CrossRef]
- Tanasomwang, L.; Lai, F. Long-term ozone generation from electrostatic air cleaners. IEEE Ind. Appl. Soc. 1997, 3, 2037–2044. [Google Scholar] [CrossRef]
- Claus, H. Ozone Generation by Ultraviolet Lamps. Photochem. Photobiol. 2021, 97, 471–476. [Google Scholar] [CrossRef]
- Oda, T.; Yamashita, Y.; Takezawa, K.; Ono, R. Oxygen atom behaviour in the non thermal plasma. Thin Solid Film. 2006, 506–507, 669–673. [Google Scholar] [CrossRef]
- Bo, Z.; Lu, G.; Wang, P.; Chen, J. Dimensional Analysis of Detrimental Ozone Generation by Negative Wire-to-Plate Corona Discharge in Both Dry and Humid Air. Ozone Sci. Eng. 2013, 35, 31–37. [Google Scholar] [CrossRef]
- Chen, J.; Wang, P. Effect of relative humidity on electron distribution and ozone production by DC coronas in air. IEEE Trans. Plasma Sci. 2005, 33, 808–812. [Google Scholar] [CrossRef]
- Wang, P.; Chen, J. Numerical modelling of ozone production in a wire-cylinder corona discharge and compari-son with a wire-plate corona discharge. J. Phys. D Appl. Phys. 2008, 42, 035202. [Google Scholar] [CrossRef]
- Fan, X.; Zhu, T.; Sun, Y.; Yan, X. The roles of various plasma species in the plasma and plasma-catalytic removal of low-concentration formaldehyde in air. J. Hazard. Mater. 2011, 196, 380–385. [Google Scholar] [CrossRef]
- Ohkawa, H.; Akitsu, T.; Tsuji, M.; Kimura, H.; Kogoma, M.; Fukushima, K. Pulse-modulated, high-frequency plasma sterilization at atmospheric-pressure. Surf. Coat. Technol. 2006, 200, 5829–5835. [Google Scholar] [CrossRef]
- Laroussi, M.; Mendis, D.A.; Rosenberg, M. Plasma interaction with microbes. New J. Phys. 2003, 5, 41.1–41.10. [Google Scholar] [CrossRef]
- Dyas, A.; Boughton, B.J.; Das, B.C. Ozone killing action against bacterial and fungal species; microbiological testing of a domestic ozone generator. J. Clin. Pathol. 1983, 36, 1102–1104. [Google Scholar] [CrossRef] [PubMed]
- Hibben, C.R.; Stotzky, G. Effects of ozone on the germination of fungus spores. Can. J. Microbiol. 1969, 15, 1187–1196. [Google Scholar] [CrossRef] [PubMed]
- Li, C.S.; Wang, Y.C. Surface Germicidal Effects of Ozone for Microorganisms. Am. Ind. Hyg. Assoc. 2003, 64, 533–537. [Google Scholar] [CrossRef]
- Lin, C.-C.; Chen, H.-Y. Impact of HVAC filter on indoor air quality in terms of ozone removal and carbonyls generation. Atmos. Environ. 2014, 89, 29–34. [Google Scholar] [CrossRef]
- Lee, P.; Davidson, J. Evaluation of Activated Carbon Filters for Removal of Ozone at the PPB Level. Am. Ind. Hyg. Assoc. J. 1999, 60, 589–600. [Google Scholar] [CrossRef]








| Item | Instrument/Model | Principle | Detection Range | Resolution |
|---|---|---|---|---|
| PM2.5/PM10 | AEROCET MetOne 531 | Laser diode 5 MW, 780 nm | 0.0001–1 mg/m3 | 0.5 μm |
| HCHO | PPM Technology/PPM Formaldmeter htv-m | Electrochemical | 0.001–10 ppm | 0.01 ppm |
| Bacteria/fungi | Thermo/Anderson two-stage sampler | Impacting on agar with incubation (Q: 28.3 LPM) | Stage 0 (8–24 μm) Stage 1 (1–8 μm) | - |
| O3 | 2B Model 202 Ozone Monitor | UV Absorption at 254 nm | 1.5–100 ppb | 0.1 ppb |
| PM2.5 (μg/m3) | PM10 (μg/m3) | HCHO (ppm) | Bacterial (CFU/m3) | Fungi (CFU/m3) | |
|---|---|---|---|---|---|
| Lab test system | 70 ± 10 | 150 ± 20 | 0.400 ± 0.010 | - | - |
| Food waste storage room | 56 ± 39 | 94 ± 57 | 0.067 ± 0.027 | 176 ± 66 | 1388 ± 705 |
| Meeting room | N.D. * | N.D. * | N.D. ** | 91 ± 45 | 213 ± 105 |
| 6 kV | 10 kV | |||
|---|---|---|---|---|
| 2.4 m3/min | 4.8 m3/min | 2.4 m3/min | 4.8 m3/min | |
| Lab system ozone-background test | ||||
| Avg. Conc. (ppm) | 0.229 ± 0.011 | 0.147 ± 0.011 | 7.148 ± 0.281 | 4.754 ± 0.029 |
| Lab system ozone -particle test * | ||||
| Avg. Conc. (ppm) | 0.181 ± 0.006 | 0.143 ± 0.011 | 7.374 ± 0.191 | 4.611 ± 0.028 |
| Food waste storage room test | ||||
| Avg. Conc. (ppm) | 0.026 ± 0.005 | 0.013 ± 0.003 | 1.347 ± 0.150 | 0.647 ± 0.041 |
| Meeting room test | ||||
| Avg. Conc. (ppm) | 0.070 ± 0.008 | 0.040 ± 0.004 | 1.749 ± 0.364 | 1.410 ± 0.424 |
Publisher’s Note: MDPI stays neutral with regard to jurisdictional claims in published maps and institutional affiliations. |
© 2022 by the authors. Licensee MDPI, Basel, Switzerland. This article is an open access article distributed under the terms and conditions of the Creative Commons Attribution (CC BY) license (https://creativecommons.org/licenses/by/4.0/).
Share and Cite
Liu, C.-Y.; Tseng, C.-H.; Wang, K.-F. The Assessment of Indoor Formaldehyde and Bioaerosol Removal by Using Negative Discharge Electrostatic Air Cleaners. Int. J. Environ. Res. Public Health 2022, 19, 7209. https://doi.org/10.3390/ijerph19127209
Liu C-Y, Tseng C-H, Wang K-F. The Assessment of Indoor Formaldehyde and Bioaerosol Removal by Using Negative Discharge Electrostatic Air Cleaners. International Journal of Environmental Research and Public Health. 2022; 19(12):7209. https://doi.org/10.3390/ijerph19127209
Chicago/Turabian StyleLiu, Chao-Yun, Chao-Heng Tseng, and Kai-Feng Wang. 2022. "The Assessment of Indoor Formaldehyde and Bioaerosol Removal by Using Negative Discharge Electrostatic Air Cleaners" International Journal of Environmental Research and Public Health 19, no. 12: 7209. https://doi.org/10.3390/ijerph19127209
APA StyleLiu, C.-Y., Tseng, C.-H., & Wang, K.-F. (2022). The Assessment of Indoor Formaldehyde and Bioaerosol Removal by Using Negative Discharge Electrostatic Air Cleaners. International Journal of Environmental Research and Public Health, 19(12), 7209. https://doi.org/10.3390/ijerph19127209
