Validation Study of a Value-Based Digital Health Questionnaire
Abstract
1. Introduction
2. Materials and Methods
2.1. The VBDH Questionnaire
2.2. Sample and Data Collection
2.3. Validation Analysis of the VBDH Questionnaire
3. Results
3.1. Descriptive Results
3.2. Cronbach’s Alpha: Internal Consistency of the Entire Questionnaire
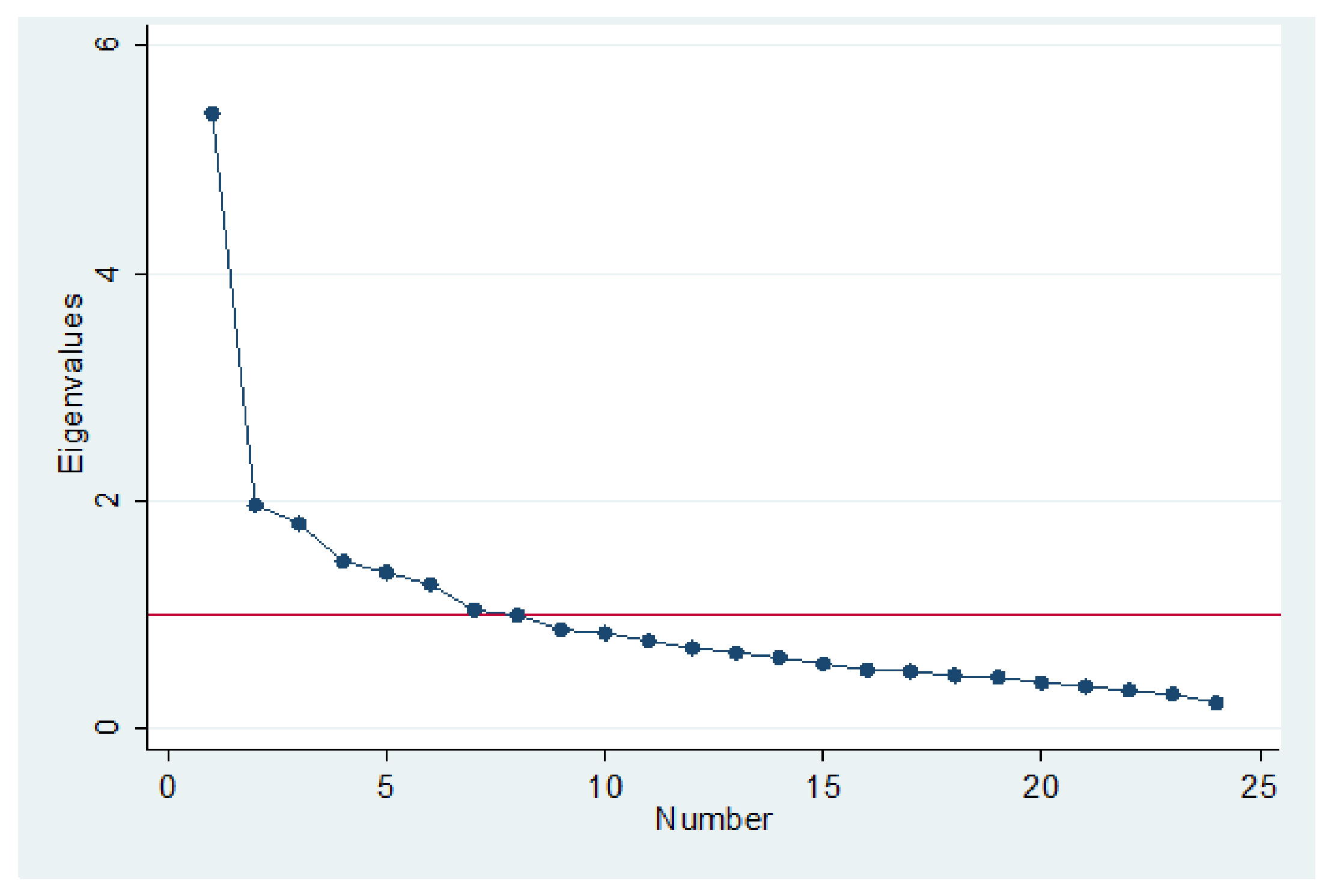
3.3. Exploratory Factor Analysis: Validity Analysis of Subscales within the Questionnaire
- Resources, incentives, and financing.
- Knowledge and participation of patients and workers in the strategy of progress towards VBDH.
- Training of professionals and knowledge tools for advancement in VBDH.
- Innovation initiatives.
- Information and quality of information.
- Leadership, strategy, and governance.
- Knowledge of the fundamentals and objectives, as well as access to relevant information for the VBDH.
4. Discussion
5. Conclusions
Supplementary Materials
Author Contributions
Funding
Institutional Review Board Statement
Informed Consent Statement
Data Availability Statement
Conflicts of Interest
References
- Is Digital Medicine Different? Lancet 2018, 392, 95. [CrossRef]
- Porter, M.E.; Teisenberg, E.O. Redefining Competition in Health Care; Harvard Business Press: Boston, MA, USA, 2006. [Google Scholar]
- Asociación Salud Digital. Salud Digital Basada En Valor: Dónde Estamos y Dónde Queremos Estar. 2021. Available online: https://salud-digital.es/wp-content/uploads/2021/07/Informe-SDBV.pdf (accessed on 18 May 2022).
- Porter, M.E. What Is Value in Health Care? N. Engl. J. Med. 2010, 363, 2477–2481. [Google Scholar] [CrossRef] [PubMed]
- Porter, M.E.; Lee, T.H. The Strategy That Will Fix Health Care. Harvard Business Review. 2013. Available online: https://hbr.org/2013/10/the-strategy-that-will-fix-health-care (accessed on 18 May 2022).
- Crosby, P. Quality Is Free; McGraw-Hill: New York, NY, USA, 1979. [Google Scholar]
- Soylemez, M.; Tarhan, A. A Review and Comparison of Maturity/Capability Frameworks for Healthcare Process Assessment and Improvement. Softw. Qual. Prof. 2017, 19, 28–42. [Google Scholar]
- Carvalho, J.V.; Rocha, Á.; Abreu, A. Maturity Models of Healthcare Information Systems and Technologies: A Literature Review. J. Med. Syst. 2016, 40, 131. [Google Scholar] [CrossRef] [PubMed]
- Tarhan, A.; Turetken, O.; Reijers, H. Do Mature Business Processes Lead to Improved Performance?—A Review of Literature for Empirical Evidence. In Proceedings of the ECIS 2015 Completed Research Papers, Münster, Germany, 26–29 May 2015; Association for Information Systems: Atlanta, GA, USA, 2015; p. 17. [Google Scholar]
- Rosalia, R.A.; Wahba, K.; Milevska-Kostova, N. How Digital Transformation Can Help Achieve Value-Based Healthcare: Balkans as a Case in Point. Lancet Reg. Health Eur. 2021, 4, 100100. [Google Scholar] [CrossRef] [PubMed]
- Mjåset, C.; Ikram, U.; Nagra, N.S.; Feeley, T.W. Value-Based Health Care in Four Different Health Care Systems. NEJM Catal. Innov. Care Deliv. 2020, 1, 1–23. [Google Scholar] [CrossRef]
- Jerez-Gómez, P.; Céspedes-Llorente, J.; Valle-Cabrera, R. Organizational Learning Capability: A Proposal of Measurement. J. Bus. Res. 2005, 58, 715–725. [Google Scholar] [CrossRef]
- Nuño-Solinís, R.; Fernández-Cano, P.; Mira-Solves, J.J.; Toro-Polanco, N.; Contel, J.C.; Mora, M.G.; Solas, O. Desarrollo de IEMAC, un Instrumento para la Evaluación de Modelos de Atención ante la Cronicidad [Development of an instrument for the assessment of chronic care models]. Gac. Sanit. 2013, 27, 128–134. [Google Scholar] [CrossRef] [PubMed]
- Vidal-Alaball, J.; Flores Mateo, G.; Garcia Domingo, J.L.; Marín Gomez, X.; Sauch Valmaña, G.; Ruiz-Comellas, A.; López Seguí, F.; García Cuyàs, F. Validation of a Short Questionnaire to Assess Healthcare Professionals’ Perceptions of Asynchronous Telemedicine Services: The Catalan Version of the Health Optimum Telemedicine Acceptance Questionnaire. Int. J. Environ. Res. Public Health 2020, 17, 2202. [Google Scholar] [CrossRef] [PubMed]
- Value-Based Care Assessment Tool|RuralHealthValue.org. Available online: https://ruralhealthvalue.public-health.uiowa.edu/TnR/VBC/VBCTool.php (accessed on 18 May 2022).
- Hernandez, M.; Urtaran-Laresgoiti, M.; Lazaro, E.; Basabe, M.; Gaspar, O. Development of a Questionnaire for Measuring the Advance in Value-Based Digital Health. Int. J. Integr. Care 2022, 22, 88. [Google Scholar] [CrossRef]
- Shortell, S.M. Applying Organization Theory to Understanding the Adoption and Implementation of Accountable Care Organizations: Commentary. Med. Care Res. Rev. 2016, 73, 694–702. [Google Scholar] [CrossRef] [PubMed]
- Senge, P.M. The Fifth Discipline: The Art and Practice of the Learning Organization; Currency Doubleday: New York, NY, USA, 1990; ISBN 978-0-385-26094-7. [Google Scholar]
- Kline, P. Factor Analysis. In Handbook of Psychological Testing; Routledge: London, UK, 2000; ISBN 978-1-315-81227-4. [Google Scholar]
- Hatcher, L.; O’Rourke, N. A Step-by-Step Approach to Using SAS for Factor Analysis and Structural Equation Modeling; SAS Institute: Cary, NC, USA, 2013; ISBN 978-1-61290-387-3. [Google Scholar]
- Tabachnick, B.G.; Fidell, L.S. Using Multivariate Statistics, 7th ed.; Pearson: New York, NY, USA, 2019; ISBN 978-0-13-479054-1. [Google Scholar]
- Arrindell, W.A.; van der Ende, J. An Empirical Test of the Utility of the Observations-To-Variables Ratio in Factor and Components Analysis. Appl. Psychol. Meas. 1985, 9, 165–178. [Google Scholar] [CrossRef]
- Hair, J. Multivariate Data Analysis; Faculty Publications; Springer: Berlin/Heidelberg, Germany, 2009. [Google Scholar]
- Zalma, A.R.; Safiah, Y.; Ajau, D.; Anuar, I.K. Reliability and Validity of Television Food Advertising Questionnaire in Malaysia. Health Promot. Int. 2015, 30, 523–530. [Google Scholar] [CrossRef] [PubMed][Green Version]
- Liang, Z.; Blackstock, F.C.; Howard, P.; Liu, C.; Leggat, G.; Ma, H.; Zhang, Z.; Bartram, T. Managers in the Publicly Funded Health Services in China—Characteristics and Responsibilities. BMC Health Serv. Res. 2020, 20, 721. [Google Scholar] [CrossRef] [PubMed]
- Liang, Z.; Blackstock, F.C.; Howard, P.F.; Briggs, D.S.; Leggat, S.G.; Wollersheim, D.; Edvardsson, D.; Rahman, A. An Evidence-Based Approach to Understanding the Competency Development Needs of the Health Service Management Workforce in Australia. BMC Health Serv. Res. 2018, 18, 976. [Google Scholar] [CrossRef] [PubMed]


| N | % | |
|---|---|---|
| Level of Self-Declared Knowledge about VBDH | ||
| Very high | 4 | 2.74 |
| High | 33 | 22.60 |
| Intermediate | 71 | 48.63 |
| Low | 30 | 20.55 |
| Very low | 8 | 5.48 |
| Gender | ||
| Men | 84 | 57.53 |
| Women | 62 | 42.47 |
| Age (range) | ||
| 15–24 | 2 | 1.37 |
| 25–44 | 17 | 11.64 |
| 45–64 | 121 | 82.88 |
| 64–75 | 5 | 3.42 |
| ≥90 | 1 | 0.68 |
| Autonomous community | ||
| Andalucía | 27 | 18.49 |
| Aragón | 2 | 1.37 |
| Asturias | 1 | 0.68 |
| Baleares | 3 | 2.05 |
| Canarias | 2 | 1.37 |
| Cantabria | 3 | 2.05 |
| Castilla la Mancha | 5 | 3.42 |
| Castilla y León | 4 | 2.74 |
| Cataluña | 16 | 10.96 |
| Comunidad Valenciana | 9 | 6.16 |
| Extremadura | 1 | 0.68 |
| Galicia | 2 | 1.37 |
| La Rioja | 1 | 0.68 |
| Madrid | 16 | 10.96 |
| Murcia | 5 | 3.42 |
| Navarra | 4 | 2.74 |
| País Vasco | 12 | 8.22 |
| Unknown | 33 | 22.60 |
| Total answers | 146 | 100 |
| Item Description (*) | Cronbach’s Alpha |
|---|---|
| 1. The directors of this organization see favorably to carry out changes in any area of the same to adapt and stay at the forefront of the sector. | 0.891 |
| 2. The leadership in my organization favors the development of VBDH. | 0.889 |
| 3. The strategies defined in the organization are aligned with the progress of VBDH. | 0.889 |
| 4. The patients have participated in some way in the development of the strategy. | 0.892 |
| 5. Workers are aware of the strategies and objectives of the organization in relation to VBDH. | 0.888 |
| 6. Patients are aware of the objectives and initiatives that the organization carries out in relation to VBDH. | 0.890 |
| 7. The organizational units are structured predominantly based on the comprehensive needs of care for the person. | 0.888 |
| 8. There are alliances with companies and other public and private organizations for the incorporation of technologies that add value in the care of people. | 0.887 |
| 9. The learning capacity of the workers is considered a key factor in the organization. | 0.890 |
| 10. The governance model fosters a culture of trust and collaboration, promoting among professionals the value of interdependence in achieving health outcomes. | 0.886 |
| 11. The voice of community agents (patient associations, business fabric, institutions, etc.) is integrated into the innovation and improvement processes. | 0.890 |
| 12. Emerging technologies and innovations are identified and analyzed. | 0.888 |
| 13. An ingrained part of the culture of this organization is that workers can express their opinions and make suggestions in relation to organizational and digital innovation. | 0.887 |
| 14. Opportunities are systematically sought for the incorporation of digital innovation aimed at adding value to the organization. | 0.887 |
| 15. All the parts that make up the organization are managed in an interconnected way, working together in a coordinated manner. | 0.888 |
| 16. The information systems allow the exploitation and analysis of clinical and epidemiological data in an appropriate way for decision making. | 0.890 |
| 17. There are information systems that allow the cost of the care cycle per patient to be measured. | 0.888 |
| 18. There is an integrated and interoperable Electronic Medical Record for all levels of care. | 0.891 |
| 19. There are initiatives for the systematic measurement of results reported by patients in clinical practice. | 0.887 |
| 20. There are initiatives that allow patients to incorporate information about their health generated outside the health organization. | 0.888 |
| 21. There are initiatives to systematically measure patient experience. | 0.888 |
| 22. There are experiences in non-face-to-face care models. | 0.890 |
| 23. There are experiences of applying Big Data aimed at improving health outcomes. | 0.890 |
| 24. This organization has developed experiences to identify the patient journey with the participation of patients. | 0.887 |
| 25. There are cybersecurity initiatives. | 0.889 |
| 26. There are professionals trained in digital skills. | 0.888 |
| 27. The organization’s professionals know the fundamentals of value-based healthcare. | 0.889 |
| 28. The organization promotes experimentation and innovation on issues related to VBDH. | 0.887 |
| 29. All the parts that make up the organization (departments, sections, units, work teams and individuals) are aware of how they contribute to achieving the general objectives and receive feedback on it. | 0.889 |
| 30. The organization follows, and is aware of, what other organizations and entities in the sector (health, socio-health, patient associations, etc.) are doing in terms of VBDH. | 0.887 |
| 31. Experiences and ideas provided by external sources (consultants, training providers, patient groups, etc.) are used as a useful tool to advance VBDH within the organization. | 0.887 |
| 32. Participation in health outcomes benchmarking initiatives. | 0.888 |
| 33. There is a comprehensive control panel with indicators for monitoring and evaluating costs and health outcomes per patient. | 0.889 |
| 34. Periodic evaluations of data quality are carried out. | 0.888 |
| 35. Access to and use of relevant information for value-based health care is timely and adapted to the needs of professionals. | 0.889 |
| 36. In my organization, innovative ideas that work are rewarded. | 0.887 |
| 37. The budgeted resources are sufficient for the advancement in the matter of VBDH. | 0.887 |
| 38. There are economic incentive systems for professionals based on the results obtained. | 0.888 |
| 39. The financing that the organization receives is aligned with the results that it obtains. | 0.888 |
| 40. Payment experiences have been carried out based on health outcomes. | 0.887 |
| 41. Innovative public procurement experiences have been carried out. | 0.889 |
| Overall Cronbach’s Alpha value | 0.891 |
| Factors | Items | Factor Load | Theme | Cronbach’s Alpha |
|---|---|---|---|---|
| 1 | 37. The budgeted resources are sufficient for the advancement in the matter of VBDH. | 0.476 | Resources, incentives, and financing. | 0.746 |
| 38. There are economic incentive systems for professionals based on the results obtained. | 0.780 | |||
| 39. The financing that the organization receives is aligned with the results that it obtains. | 0.450 | |||
| 40. Payment experiences have been carried out based on health outcomes. | 0.731 | |||
| 2 | 4. The patients have participated in some way in the development of the strategy. | 0.571 | Knowledge and participation of patients and workers in the strategy of progress towards VBDH | 0.632 |
| 5. Workers are aware of the strategies and objectives of the organization in relation to VBDH. | 0.636 | |||
| 6. Patients are aware of the objectives and initiatives that the organization carries out in relation to VBDH. | 0.514 | |||
| 3 | 26. There are professionals trained in digital skills. | 0.361 | Training of professionals and knowledge tools for advancement in VBDH | 0.619 |
| 30. The organization follows, and is aware of, what other organizations and entities in the sector (health, socio-health, patient associations, etc.) are doing in terms of VBDH. | 0.547 | |||
| 31. Experiences and ideas provided by external sources (consultants, training providers, patient groups, etc.) are used as a useful tool to advance VBDH within the organization. | 0.658 | |||
| 4 | 8. There are alliances with companies and other public and private organizations for the incorporation of technologies that add value in the care of people. | 0.545 | Innovation initiatives | 0.666 |
| 12. Emerging technologies and innovations are identified and analyzed. | 0.562 | |||
| 28. The organization promotes experimentation and innovation on issues related to VBDH. | 0.384 | |||
| 36. In my organization, innovative ideas that work are rewarded. | 0.447 | |||
| 5 | 17. There are information systems that allow the cost of the care cycle per patient to be measured. | 0.598 | Information and quality of information | 0.623 |
| 33. There is a comprehensive control panel with indicators for monitoring and evaluating costs and health outcomes per patient. | 0.474 | |||
| 34. Periodic evaluations of data quality are carried out. | 0.511 | |||
| 6 | 2. The leadership in my organization favors the development of VBDH. | 0.516 | Leadership, strategy, and governance | 0.646 |
| 3. The strategies defined in the organization are aligned with the progress of VBDH. | 0.448 | |||
| 9. The learning capacity of the workers is considered a key factor in the organization. | 0.572 | |||
| 10. The governance model fosters a culture of trust and collaboration, promoting among professionals the value of interdependence in achieving health outcomes. | 0.468 | |||
| 7 | 27. The organization’s professionals know the fundamentals of value-based healthcare. | 0.492 | Knowledge of the fundamentals and objectives, and access to relevant information for the VBDH. | 0.570 |
| 29. All the parts that make up the organization (departments, sections, units, work teams, and individuals) are aware of how they contribute to achieving the general objectives and receive feedback on it. | 0.552 | |||
| 35. Access to and use of relevant information for value-based health care is timely and adapted to the needs of professionals. | 0.414 |
Publisher’s Note: MDPI stays neutral with regard to jurisdictional claims in published maps and institutional affiliations. |
© 2022 by the authors. Licensee MDPI, Basel, Switzerland. This article is an open access article distributed under the terms and conditions of the Creative Commons Attribution (CC BY) license (https://creativecommons.org/licenses/by/4.0/).
Share and Cite
Nuño-Solinís, R.; Urizar, E.; Merino, M.; Del Barrio, J.; Errea Rodríguez, M. Validation Study of a Value-Based Digital Health Questionnaire. Int. J. Environ. Res. Public Health 2022, 19, 7034. https://doi.org/10.3390/ijerph19127034
Nuño-Solinís R, Urizar E, Merino M, Del Barrio J, Errea Rodríguez M. Validation Study of a Value-Based Digital Health Questionnaire. International Journal of Environmental Research and Public Health. 2022; 19(12):7034. https://doi.org/10.3390/ijerph19127034
Chicago/Turabian StyleNuño-Solinís, Roberto, Elena Urizar, Marisa Merino, Jaime Del Barrio, and María Errea Rodríguez. 2022. "Validation Study of a Value-Based Digital Health Questionnaire" International Journal of Environmental Research and Public Health 19, no. 12: 7034. https://doi.org/10.3390/ijerph19127034
APA StyleNuño-Solinís, R., Urizar, E., Merino, M., Del Barrio, J., & Errea Rodríguez, M. (2022). Validation Study of a Value-Based Digital Health Questionnaire. International Journal of Environmental Research and Public Health, 19(12), 7034. https://doi.org/10.3390/ijerph19127034

