Speech Impaired by Half Masks Used for the Respiratory Tract Protection
Abstract
:1. Introduction
2. Experimental
2.1. Research Material
2.2. Apparatus and Methodology
3. Results
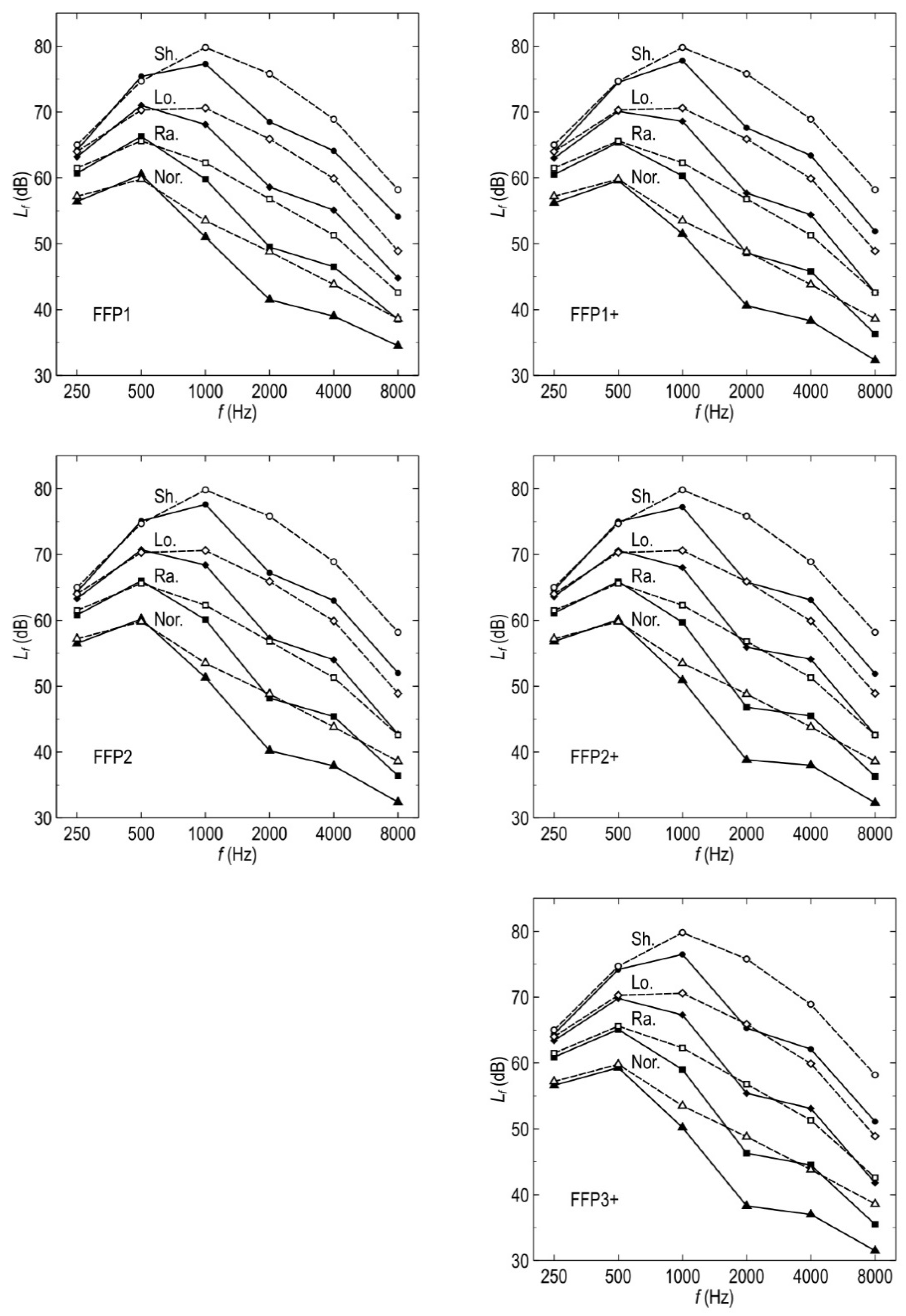
3.1. White Noise
3.2. Simulated Speech
4. Discussion
5. Conclusions
- All the studied FFPs suppress acoustic waves from the octave bands with center frequencies of 1 kHz and higher, i.e., in the frequency range responsible for 80% of the perceived speech intelligibility. In particular, FFPs significantly attenuate the acoustic waves belonging to the 2 kHz octave responsible for 30% of the intelligibility.
- The better the mask filtration efficiency, the stronger is the sound suppression. The masks with exhalation valves suppress sound slightly more than their counterparts without such equipment; the difference is little except in the octave band with the center frequency of 16 kHz. The latter, however, has no practical importance for the understanding of speech.
- The speaker–listener distance does not influence the characteristics of the speech deterioration significantly. To compensate for the FFP attenuation, a speaking person would have to raise the voice by one “loudness level” of the speech as defined in ANSI 3.5-1997 standard. Different attenuation in octave bands causes a change in the voice timbre. That can impede speech understanding.
Supplementary Materials
Author Contributions
Funding
Institutional Review Board Statement
Informed Consent Statement
Acknowledgments
Conflicts of Interest
References
- Setiawan, F.; Khazim, I.; Amri, Z. Compliance of Personal Protective Equipment (PPE) N-Series Mask Type 8211 and the Description of Lung Function of the Coal Mining Workers, PT. X, Kutai Kartanegara, East Borneo. Adv. Sci. Lett. 2018, 24, 6068–6072. [Google Scholar] [CrossRef]
- Teixeira, R.L.; Rezende, R.N.; Silva, J.R.M.D.; Paula, L.E.D.R. Concentration and size of airborne particles in manufacturing environments. Rev. Árvore 2018, 42, 420108. [Google Scholar] [CrossRef]
- Top, Y.; Adanur, H.; Öz, M. Comparison of practices related to occupational health and safety in microscale wood-product enterprises. Saf. Sci. 2016, 82, 374–381. [Google Scholar] [CrossRef]
- Ahmad, I.; Balkhyour, M.A. Occupational exposure and respiratory health of workers at small scale industries. Saudi J. Biol. Sci. 2020, 27, 985–990. [Google Scholar] [CrossRef]
- Majchrzycka, K.; Okrasa, M.; Szulc, J.; Gutarowska, B. The impact of dust in filter materials of respiratory protective devices on the microorganisms viability. Int. J. Ind. Ergon. 2017, 58, 109–116. [Google Scholar] [CrossRef]
- EN 149:2001+A1:2009 (E); Respiratory Protective Devices—Filtering Half Masks to Protect against Particles—Requirements, Testing, Marking. European Committee for Standardization (CEN): Brussels, Belgium, May 2009.
- Moreno-Casbas, M.T. Factors related to SARS-CoV-2 infection in healthcare professionals in Spain. The SANICOVI project. Enferm. Clín. 2020, 30, 360–370. [Google Scholar] [CrossRef]
- World Health Organization. Coronavirus Disease (COVID-19): Masks, Updated 5 January 2022. Available online: https://www.who.int/emergencies/diseases/novel-coronavirus-2019/question-and-answers-hub/q-a-detail/coronavirus-disease-covid-19-masks (accessed on 18 March 2022).
- Neuwirth, M.; Mattner, F.; Otchwemah, R. Adherence to personal protective equipment use among healthcare workers caring for confirmed COVID-19 and alleged non-COVID-19 patients. Antimicrob. Resist. Infect. Control. 2020, 9, 199. [Google Scholar] [CrossRef]
- Cheberyachko, S.; Cheberyachko, Y.; Naumov, M. Use of dust masks at coal enterprises. In Proceedings of the School of Underground Mining Location: Technical and Geoinformational Systems in Mining, Dnipropetrovsk, Ukraine, 2–8 October 2011; pp. 231–235. [Google Scholar]
- Available online: www.deltaplus.eu (accessed on 2 April 2021).
- Bertoli, S.; Leone, A.; De Amicis, R.; Foppiani, A.; Osio, D.; Battezzati, A. Effects of wearing a FFP2 mask on indirect calorimetry measurements: A pilot study. Clin. Nutr. ESPEN 2021, 41, 443–446. [Google Scholar] [CrossRef]
- Choi, S.; Park, R.; Hur, N.; Kim, W. Evaluation of wearing comfort of dust masks. PLoS ONE 2020, 15, e0237848. [Google Scholar] [CrossRef]
- Brotto, D.; Sorrentino, F.; Agostinelli, A.; Lovo, E.; Montino, S.; Trevisi, P.; Favaretto, N.; Bovo, R.; Martini, A. How great is the negative impact of masking and social distancing and how can we enhance communication skills in the elderly people? Aging Clin. Exp. Res. 2021, 33, 1157–1161. [Google Scholar] [CrossRef]
- Cohn, M.; Pycha, A.; Zellou, G. Intelligibility of face-masked speech depends on speaking style: Comparing casual, clear, and emotional speech. Cognition 2021, 210, 104570. [Google Scholar] [CrossRef] [PubMed]
- Caniato, M.; Marzi, A.; Gasparella, A. How much COVID-19 face protections influence speech intelligibility in classrooms? Appl. Acoust. 2021, 178, 108051. [Google Scholar] [CrossRef]
- Bandaru, S.; Augustine, A.; Lepcha, A.; Sebastian, S.; Gowri, M.; Philip, A.; Mammen, M. The effects of N95 mask and face shield on speech perception among healthcare workers in the coronavirus disease 2019 pandemic scenario. J. Laryngol. Otol. 2020, 134, 895–898. [Google Scholar] [CrossRef] [PubMed]
- Oren, L.; Rollins, M.; Gutmark, E.; Howell, R. How face masks affect acoustic and auditory perceptual characteristics of the singing voice. J. Voice 2021. [Google Scholar] [CrossRef] [PubMed]
- de Araújo Andrade, T.; Nascimento Junior, J.A.C.; Santos, A.M.; Borges, L.P.; Quintans-Junior, L.J.; Walker, C.I.B.; Frank, L.A.; Serafini, M.R. Technological Scenario for Masks in Patent Database During COVID-19 Pandemic. AAPS PharmSciTech 2020, 22, 72. [Google Scholar] [CrossRef]
- Cheberiachko, S.I.; Cheberiachko, Y.I.; Shaikhlislamova, I.A. Designing of Half-Masks of Filtering Respirators. Sci. Innov. 2020, 16, 90–102. [Google Scholar] [CrossRef]
- Gök, K.; Selçuk, A.B.; Gök, A. Computer-Aided Simulation Using Finite Element Analysis of Protect Against to Coronavirus (COVID-19) of Custom-Made New Mask Design. Trans. Indian Inst. Met. 2021, 74, 1029–1033. [Google Scholar] [CrossRef]
- Cheberiachko, S.I.; Cheberiachko, Y.I.; Deriuhin, O.V.; Slavinskyi, D.V. Dust Mask with a Pressure Drop Measuring Device. Visnyk NTUU KPI Seriia—Radiotekhnika Radioaparatobuduvannia 2019, 78, 43–51. [Google Scholar] [CrossRef]
- IEC 61672-1; Electroacoustics—Sound Level Meters—Part 1: Specifications. International Electrotechnical Commission: Geneva, Switzerland, 2013.
- IEC 60942; Electroacoustics—Sound Calibrators. International Electrotechnical Commission: Geneva, Switzerland, 2017.
- Nowak, E. Atlas Antropometryczny Populacji Polskiej: Dane do Projektowania; Instytut Wzornictwa Przemysłowego: Warszawa, Polska, 2000. (In Polish) [Google Scholar]
- IEC 60268-16; Sound System Equipment—Part 16: Objective Rating of Speech Intelligibility by Speech Transmission Index. International Electrotechnical Commission: Geneva, Switzerland, 2020.
- ANSI 3.5-1997; Methods for Calculation of the Speech Intelligibility Index. American National Standard: New York, NY, USA, 1997.
- Xue, Y.; Marxen, M.; Akagi, M.; Birkholz, P. Acoustic and articulatory analysis and synthesis of shouted vowels. Comput. Speech Lang. 2021, 66, 101156. [Google Scholar] [CrossRef]
- French, N.R.; Steinberg, J.C. Factors governing the intelligibility of speech sounds. J. Acoust. Soc. Am. 1947, 19, 90–119. [Google Scholar] [CrossRef]
- Kiese-Himmel, C. The frequency of the voice in the conversation. Speech-Voice-Hearing 2021, 45, 6–7. (In German) [Google Scholar] [CrossRef]
- Buono, G.H.; Crukley, J.; Hornsby, B.W.H.; Picou, E.M. Loss of high- or low-frequency audibility can partially explain effects of hearing loss on emotional responses to non-speech sounds. Hear. Res. 2021, 401, 108153. [Google Scholar] [CrossRef] [PubMed]
- Vogelzang, M.; Thiel, C.M.; Rosemann, S.; Rieger, J.W.; Ruigendijk, E. Effects of age-related hearing loss and hearing aid experience on sentence processing. Sci. Rep. 2021, 11, 5994. [Google Scholar] [CrossRef] [PubMed]
- Hearing Loss: A Common Problem for Older Adults, NIH—National Institute on Aging, U.S. Department of Health & Human Services. Available online: https://www.nia.nih.gov/health/hearing-loss-common-problem-older-adults (accessed on 4 April 2022).








| Type/ Mark | Filtration Efficiency (%) | Recommended Application |
|---|---|---|
| FFP1 | 80 | Construction, public works, heavy industry, healthcare |
| FFP2 | 94 | Construction, public works, heavy industry, healthcare |
| FFP1+ | 94 | Agriculture, horticulture, construction, public works, renovation, crafts, light industry, healthcare |
| FFP2+ | 99 | Construction, public works, renovation works, crafts, light industry, healthcare |
| FFP3+ | 99 | Construction, public works, renovation works, crafts, light industry, healthcare |
| Mask | f (Hz) | ΔLf,60s (dB) | ||||
|---|---|---|---|---|---|---|
| 1 m, 60 dB | 1 m, 72 dB | 5 m, 60 dB | 5 m, 72 dB | Average | ||
| FFP1 | 125 | 0.7 | 0.4 | 0.2 | 0.1 | 0.4 |
| 250 | 0.8 | 0.9 | 0.3 | 1.0 | 0.8 | |
| 500 | −0.8 | −0.9 | −0.4 | −0.9 | −0.7 | |
| 1000 | 2.7 | 3.2 | 2.1 | 2.0 | 2.5 | |
| 2000 | 7.6 | 7.8 | 6.9 | 7.0 | 7.3 | |
| 4000 | 4.5 | 4.8 | 5.0 | 4.8 | 4.8 | |
| 8000 | 3.8 | 4.0 | 4.2 | 4.2 | 4.1 | |
| 16,000 | 5.9 | 5.8 | 5.2 | 5.8 | 5.7 | |
| FFP2 | 125 | 1.0 | 0.7 | −0.1 | 0.0 | 0.4 |
| 250 | 0.3 | 0.8 | 1.0 | 0.7 | 0.7 | |
| 500 | −0.4 | 0.0 | −0.4 | −0.6 | −0.4 | |
| 1000 | 2.5 | 2.6 | 1.6 | 2.1 | 2.2 | |
| 2000 | 9.2 | 9.1 | 7.9 | 8.3 | 8.6 | |
| 4000 | 5.8 | 6.4 | 5.7 | 5.6 | 5.9 | |
| 8000 | 6.1 | 6.6 | 6.1 | 6.0 | 6.2 | |
| 16,000 | 7.7 | 7.9 | 6.5 | 7.8 | 7.5 | |
| FFP1+ | 125 | 0.2 | 0.3 | 0.6 | −0.1 | 0.3 |
| 250 | 0.6 | 1.4 | 1.0 | 1.0 | 1.0 | |
| 500 | 0.5 | 0.3 | 0.1 | −0.1 | 0.2 | |
| 1000 | 2.2 | 2.3 | 1.6 | 1.6 | 2.0 | |
| 2000 | 8.6 | 8.7 | 7.1 | 8.2 | 8.2 | |
| 4000 | 5.5 | 5.5 | 5.6 | 5.3 | 5.5 | |
| 8000 | 6.0 | 6.0 | 6.6 | 6.7 | 6.3 | |
| 16,000 | 10.9 | 11.0 | 8.2 | 10.1 | 10.2 | |
| FFP2+ | 125 | 0.6 | 0.4 | 0.7 | −0.1 | 0.4 |
| 250 | −0.1 | 0.0 | 0.7 | 0.9 | 0.4 | |
| 500 | −0.1 | −0.1 | −0.4 | −0.7 | −0.3 | |
| 1000 | 3.0 | 3.2 | 2.0 | 2.1 | 2.6 | |
| 2000 | 10.3 | 10.3 | 9.3 | 9.9 | 10.0 | |
| 4000 | 5.1 | 5.0 | 6.4 | 6.4 | 5.8 | |
| 8000 | 4.9 | 5.0 | 7.3 | 7.4 | 6.3 | |
| 16,000 | 11.5 | 11.9 | 8.8 | 11.3 | 11.0 | |
| FFP3+ | 125 | 1.3 | 1.6 | 1.6 | 1.0 | 1.4 |
| 250 | 0.6 | 0.5 | 0.7 | 0.5 | 0.6 | |
| 500 | 0.6 | 0.4 | 0.4 | 0.5 | 0.5 | |
| 1000 | 3.6 | 3.7 | 2.9 | 2.8 | 3.3 | |
| 2000 | 10.7 | 10.7 | 9.9 | 10.4 | 10.5 | |
| 4000 | 6.5 | 6.6 | 7.1 | 7.1 | 6.8 | |
| 8000 | 6.5 | 6.5 | 7.3 | 7.9 | 7.1 | |
| 16,000 | 12.0 | 12.4 | 8.4 | 10.9 | 11.2 | |
Publisher’s Note: MDPI stays neutral with regard to jurisdictional claims in published maps and institutional affiliations. |
© 2022 by the authors. Licensee MDPI, Basel, Switzerland. This article is an open access article distributed under the terms and conditions of the Creative Commons Attribution (CC BY) license (https://creativecommons.org/licenses/by/4.0/).
Share and Cite
Nowacki, K.; Łakomy, K.; Marczak, W. Speech Impaired by Half Masks Used for the Respiratory Tract Protection. Int. J. Environ. Res. Public Health 2022, 19, 7012. https://doi.org/10.3390/ijerph19127012
Nowacki K, Łakomy K, Marczak W. Speech Impaired by Half Masks Used for the Respiratory Tract Protection. International Journal of Environmental Research and Public Health. 2022; 19(12):7012. https://doi.org/10.3390/ijerph19127012
Chicago/Turabian StyleNowacki, Krzysztof, Karolina Łakomy, and Wojciech Marczak. 2022. "Speech Impaired by Half Masks Used for the Respiratory Tract Protection" International Journal of Environmental Research and Public Health 19, no. 12: 7012. https://doi.org/10.3390/ijerph19127012
APA StyleNowacki, K., Łakomy, K., & Marczak, W. (2022). Speech Impaired by Half Masks Used for the Respiratory Tract Protection. International Journal of Environmental Research and Public Health, 19(12), 7012. https://doi.org/10.3390/ijerph19127012

