Musculoskeletal Disorders Associated with Occupational Driving: A Systematic Review Spanning 2006–2021
Abstract
1. Introduction
2. Methods
2.1. Search Methods
2.2. Study Selection and Eligibility Criteria
2.3. Data Extraction and Synthesis
2.4. Quality Assessment
3. Results
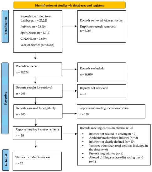
3.1. Search Strategy and Sources of Evidence
3.2. Critical Appraisal Results
3.3. Characteristics of Included Studies
3.4. Vehicle Type and Road Setting
3.5. Outcome Measures
3.6. Key Findings
3.6.1. Musculoskeletal Disorder Sites and Severity
3.6.2. Type of Vehicle and Disorder
3.6.3. Factors Associated with Increased Prevalence of MSK Disorder
Working Years and Hours
Vehicle Ergonomics
Whole Body Vibration
Age, Sex, BMI, and Weight
Other Associated Factors
3.6.4. Associated Factors-Decreasing Risk or MSK Disorders
4. Discussion
4.1. Lower Back Pain
4.2. Other Musculoskeletal Disorders
4.3. Other Considerations
4.4. Risk Reduction
4.5. Limitations and Future Research
5. Conclusions
Supplementary Materials
Author Contributions
Funding
Institutional Review Board Statement
Informed Consent Statement
Data Availability Statement
Conflicts of Interest
References
- Lee, J.W.; Lim, Y.H.; Won, Y.H.; Kim, D.H. Effect of gel seat cushion on chronic low back pain in occupational drivers A double-blind randomized controlled trial. Medicine 2018, 97, e12598. [Google Scholar] [CrossRef]
- Senthanar, S.; Bigelow, P.L. Factors associated with musculoskeletal pain and discomfort among Canadian truck drivers: A cross-sectional study of worker perspectives. J. Transp. Health 2018, 11, 244–252. [Google Scholar] [CrossRef]
- Szeto, G.P.Y.; Lam, P.G. Work-related musculoskeletal disorders in urban bus drivers of Hong Kong. J. Occup. Rehabil. 2007, 17, 181–198. [Google Scholar] [CrossRef]
- Lee, J.H.; Gak, H.B. Effects of Self Stretching on Pain and Musculoskeletal Symptom of Bus Drivers. J. Phys. Ther. Sci. 2014, 26, 1911–1914. [Google Scholar] [CrossRef]
- Hakim, S.; Mohsen, A. Work-related and ergonomic risk factors associated with low back pain among bus drivers. J. Egypt. Public Health Assoc. 2017, 92, 195–201. [Google Scholar] [CrossRef]
- Maduagwu, S.M.; Galadima, N.M.; Umeonwuka, C.I.; Ishaku, C.M.; Akanbi, O.O.; Jaiyeola, O.A.; Nwanne, C.A. Work-related musculoskeletal disorders among occupational drivers in Mubi, Nigeria. Int. J. Occup. Saf. Ergon. 2021, 28, 572–580. [Google Scholar] [CrossRef]
- Arslan, S.A.; Hadian, M.R.; Olyaei, G.; Talebian, S.; Yekaninejad, M.S.; Hussain, M.A. Comparative effect of driving side on low back pain due to Repetitive Ipsilateral Rotation. Pak. J. Med. Sci. 2019, 35, 1018–1023. [Google Scholar] [CrossRef]
- Kresal, F.; Roblek, V.; Jerman, A.; Mesko, M. Lower back pain and absenteeism among professional public transport drivers. Int. J. Occup. Saf. Ergon. 2015, 21, 166–172. [Google Scholar] [CrossRef]
- Rehman, F.U.; Maqsood, U.; Latif, M.Z. Low Back Disability and Long Distance Travelling; A Study Among Truck Drives. Ann. King Edw. Med. Univ. Lahore Pak. 2018, 24, 771–775. [Google Scholar] [CrossRef]
- Okunribido, O.O. An investigation of posture and manual materials handling as risk factors for low back pain in delivery drivers. Ergon. SA 2016, 28, 19–27. [Google Scholar] [CrossRef]
- Araujo, A.V.; Arcanjo, G.S.; Fernandes, H.; Arcanjo, G.S. Ergonomic work analysis: A case study of bus drivers in the private collective transportation sector. Work 2018, 60, 41–47. [Google Scholar] [CrossRef]
- Geete, D.B.; Mhatre, B.; Mehta, A.; Lokhande, M. Analysis of Work-Related Musculoskeletal Pain in Bus Drivers—A Cross sectional Study. Indian J. Physiother. Occup. Ther. 2013, 7, 53–58. [Google Scholar] [CrossRef]
- Combs, B.; Heaton, K.; Raju, D.; Vance, D.E.; Sieber, W.K. A Descriptive Study of Musculoskeletal Injuries in Long-Haul Truck Drivers: A NIOSH National Survey. Workplace Health Saf. 2018, 66, 475–481. [Google Scholar] [CrossRef] [PubMed]
- Kim, J.H.; Zigman, M.; Aulck, L.S.; Ibbotson, J.A.; Dennerlein, J.T.; Johnson, P.W. Whole body vibration exposures and health status among professional truck drivers: A cross-sectional analysis. Ann. Work Expo. Health 2016, 60, 936–948. [Google Scholar] [CrossRef] [PubMed]
- Burgel, B.J.; Elshatarat, R.A. Psychosocial work factors and low back pain in taxi drivers. Am. J. Ind. Med. 2017, 60, 734–746. [Google Scholar] [CrossRef] [PubMed]
- Rufái, A.A.; Sáidu, I.A.; Ahmad, R.Y.; Elmi, O.S.; Aliyu, S.U.; Jajere, A.M.; Digil, A.A. Prevalence and Risk Factors for Low Back Pain Among Professional Drivers in Kano, Nigeria. Arch. Environ. Occup. Health 2015, 70, 251–255. [Google Scholar] [CrossRef] [PubMed]
- Alperovitch-Najenson, D.; Santo, Y.; Masharawi, Y.; Katz-Leurer, M.; Ushvaev, D.; Kalichman, L. Low Back Pain among Professional Bus Drivers: Ergonomic and Occupational-Psychosocial Risk Factors. Isr. Med. Assoc. J. 2010, 12, 26–31. [Google Scholar]
- Aminian, O.; Jamshidi, Z.; Seifmanesh, S.; Mehrdad, R.; Sadeghniiat-Haghighi, K.; Sekhavati, E. Musculoskeletal disorders among Truck and taxi drivers: A retrospective study. Int. J. Med. Res. Health Sci. 2016, 5, 309–315. [Google Scholar]
- Ghasemi, M.; Khoshakhlagh, A.H.; Ghanjal, A.; Yazdanirad, S.; Laal, F. The impacts of rest breaks and stretching exercises on lower back pain among commercial truck drivers in Iran. Int. J. Occup. Saf. Ergon. 2020, 26, 662–669. [Google Scholar] [CrossRef]
- Takasaki, H.; Treleaven, J.; Johnston, V.; Van den Hoorn, W.; Rakotonirainy, A.; Jull, G. A Description of Neck Motor Performance, Neck Pain, Fatigue, and Mental Effort While Driving in a Sample with Chronic Whiplash-Associated Disorders. Am. J. Phys. Med. Rehabil. 2014, 93, 665–674. [Google Scholar] [CrossRef]
- Gangopadhyay, S.; Dev, S.; Das, T.; Ghoshal, G.; Ara, T. An Ergonomics Study on the Prevalence of Musculoskeletal Disorders Among Indian Bus Conductors. Int. J. Occup. Saf. Ergon. 2012, 18, 521–530. [Google Scholar] [CrossRef] [PubMed]
- Bovenzi, M. A prospective cohort study of neck and shoulder pain in professional drivers. In Proceedings of the 5th International Conference on Whole Body Vibration Injuries, Amsterdam, The Netherlands, 5–7 June 2013. [Google Scholar] [CrossRef]
- Sekkay, F.; Imbeau, D.; Chinniah, Y.; Dubé, P.-A.; de Marcellis-Warin, N.; Beauregard, N.; Trépanier, M. Risk factors associated with self-reported musculoskeletal pain among short and long distance industrial gas delivery truck drivers. Appl. Ergon. 2018, 72, 69–87. [Google Scholar] [CrossRef] [PubMed]
- Ahire, S.G.; Shukla, S. Assessment of Foot Using Foot Function Index in Taxi Drivers. Indian J. Physiother. Occup. Ther. 2021, 15, 169–172. [Google Scholar] [CrossRef]
- Lewis, C.A.; Johnson, P.W. Whole-body vibration exposure in metropolitan bus drivers. Occup. Med. Oxf. 2012, 62, 519–524. [Google Scholar] [CrossRef] [PubMed]
- Johnson, P.W.; Zigman, M.; Ibbotson, J.; Dennerlein, J.T.; Kim, J.H. A Randomized Controlled Trial of a Truck Seat Intervention: Part 1—Assessment of Whole Body Vibration Exposures. Ann. Work Expo. Health 2018, 62, 990–999. [Google Scholar] [CrossRef] [PubMed]
- Bovenzi, M. A Longitudinal Study of Low Back Pain and Daily Vibration Exposure in Professional Drivers. Ind. Health 2010, 48, 584–595. [Google Scholar] [CrossRef]
- Bovenzi, M.; Schust, M.; Menzel, G.; Hofmann, J.; Hinz, B. A cohort study of sciatic pain and measures of internal spinal load in professional drivers. In Proceedings of the 5th International Conference on Whole Body Vibration Injuries, Amsterdam, The Netherlands, 5–7 June 2013. [Google Scholar] [CrossRef]
- Ayari, H.; Thomas, M.; Dore, S. A Design of Experiments for Statistically Predicting Risk of Adverse Health Effects on Drivers Exposed to Vertical Vibrations. Int. J. Occup. Saf. Ergon. 2011, 17, 221–232. [Google Scholar] [CrossRef][Green Version]
- Page, M.J.; McKenzie, J.E.; Bossuyt, P.M.; Boutron, I.; Hoffmann, T.C.; Mulrow, C.D.; Shamseer, L.; Tetzlaff, J.M.; Akl, E.A.; Brennan, S.E.; et al. The PRISMA 2020 statement: An updated guideline for reporting systematic reviews. Int. J. Surg. 2021, 88, 105906. [Google Scholar] [CrossRef]
- Pickard, O.; Burton, P.; Yamada, H.; Orr, R.M.; Schram, B.; Canetti, E.F. The Impact of Occupational Driving on Risk of Injury. 2021. Available online: https://osf.io/b4uz6/ (accessed on 23 January 2022). [CrossRef]
- Scells, H.; Zuccon, G. searchrefiner: A Query Visualisation and Understanding Tool for Systematic Reviews. In Proceedings of the 27th ACM International Conference on Information and Knowledge Management, Turin, Italy, 22–26 October 2018; pp. 939–1942. [Google Scholar] [CrossRef]
- Clark, J.M.; Sanders, S.; Carter, M.; Honeyman, D.; Cleo, G.; Auld, Y.; Booth, D.; Condron, P.; Dalais, C.; Bateup, S.; et al. Improving the translation of search strategies using the Polyglot Search Translator: A randomized controlled trial. J. Med. Libr. Assoc. JMLA 2020, 108, 195–207. [Google Scholar] [CrossRef]
- Paddan, G.; Griffin, M. Effect of seating on exposures to whole-body vibration in vehicles. J. Sound Vib. 2002, 253, 215–241. [Google Scholar] [CrossRef]
- Makhsous, M.; Hendrix, R.; Crowther, Z.; Nam, E.; Lin, F. Reducing whole-body vibration and musculoskeletal injury with a new car seat design. Ergonomics 2005, 48, 1183–1199. [Google Scholar] [CrossRef] [PubMed]
- You, H.; Bucciaglia, J.; Lowe, B.; Gilmore, B.J.; Freivalds, A. An ergonomic design process for a US transit bus operator workstation. Int. J. Heavy Veh. Syst. 1997, 4, 91–107. [Google Scholar] [CrossRef]
- Aromataris, E.; Munn, Z. (Eds.) JBI Manual for Evidence Synthesis. JBI. 2020. Available online: https://synthesismanual.jbi.global (accessed on 23 January 2022). [CrossRef]
- Landis, J.R.; Koch, G.G. The measurement of observer agreement for categorical data. Biometrics 1977, 33, 159–174. [Google Scholar] [CrossRef]
- Orr, R.; Simas, V.; Canetti, E.; Schram, B. A profile of injuries sustained by firefighters: A critical review. Int. J. Environ. Res. Public Health 2019, 16, 3931. [Google Scholar] [CrossRef]
- Parker, J.; Lagerhem, C.; Hellström, J.; Olsson, M.C. Effects of nine weeks isokinetic training on power, golf kinematics, and driver performance in pre-elite golfers. BMC Sports Sci. Med. Rehabil. 2017, 9, 1–12. [Google Scholar] [CrossRef]
- Ghasemi, S.; Pirzadeh, A. Effectiveness of Educational Physical Activity Intervention for Preventive of Musculoskeletal Disorders in Bus Drivers. Int. J. Prev. Med. 2019, 10, 132. [Google Scholar] [CrossRef]
- Lalit; Soni, R.; Garg, S. The Prevalence of Musculoskeletal Disorders Among Bus Drivers in Tricity. Int. J. Physiother. 2015, 2, 850–854. [Google Scholar] [CrossRef]
- Selvam, P.S.; Arun, B. A Study of Neck Pain and Role of Scapular Position in Drivers. Indian J. Physiother. Occup. Ther. 2016, 10, 175–180. [Google Scholar] [CrossRef]
- Alperovitch-Najenson, D.; Katz-Leurer, M.; Santo, Y.; Golman, D.; Kalichman, L. Upper body quadrant pain in bus drivers. Arch. Environ. Occup. Health 2010, 65, 218–223. [Google Scholar] [CrossRef]
- Okunribido, O.O.; Shimbles, S.J.; Magnusson, M.; Pope, M. City bus driving and low back pain: A study of the exposures to posture demands, manual materials handling and whole-body vibration. Appl. Erg. 2007, 38, 29–38. [Google Scholar] [CrossRef]
- Okunribido, O.O.; Magnusson, M.; Pope, M.H. The role of whole body vibration, posture and manual materials handling as risk factors for low back pain in occupational drivers. Ergonomics 2008, 51, 308–329. [Google Scholar] [CrossRef] [PubMed]
- Wang, M.; Yu, J.; Liu, N.; Liu, Z.; Wei, X.; Yan, F.; Yu, S. Low back pain among taxi drivers: A cross-sectional study. Occup. Med. Oxf. 2017, 67, 290–295. [Google Scholar] [CrossRef] [PubMed]
- Sa-ngiamsak, T.; Thetkathuek, A. Short-distance versus long-distance deep-seaport container truck drivers’ prevalence and perceived discomfort of musculoskeletal symptoms in the Thailand Eastern Economic Corridor. Int. J. Occup. Saf. Ergon. 2021, 1–20. [Google Scholar] [CrossRef] [PubMed]
- Tamrin, S.B.M.; Yokoyama, K.; Jalaludin, J.; Aziz, N.A.; Jemoin, N.; Nordin, R.; Ayub Li, N.; Abdullah, Y.; Abdullah, M. The Association between Risk Factors and Low Back Pain among Commercial Vehicle Drivers in Peninsular Malaysia: A Preliminary Result. Ind. Health 2007, 45, 268–278. [Google Scholar] [CrossRef]
- Andrusaitis, S.F.; Oliveira, R.P.; Barros Filho, T.E. Study of the prevalence and risk factors for low back pain in truck drivers in the state of São Paulo, Brazil. Clinics 2006, 61, 503–510. [Google Scholar] [CrossRef]
- Kim, J.H.; Zigman, M.; Dennerlein, J.T.; Johnson, P.W. A Randomized Controlled Trial of a Truck Seat Intervention: Part 2—Associations Between Whole-Body Vibration Exposures and Health Outcomes. Ann. Work Expo. Health 2018, 62, 1000–1011. [Google Scholar] [CrossRef]
- Hartvigsen, J.; Leboeuf-Yde, C.; Lings, S.; Corder, E.H. Is sitting-while-at-work associated with low back pain? A systematic, critical literature review. Scand. J. Public Health 2000, 28, 230–239. [Google Scholar] [CrossRef]
- Savage, R.; Billing, D.; Furnell, A.; Netto, K.; Aisbett, B. Whole-body vibration and occupational physical performance: A review. Int. Arch. Occup. Environ. Health 2016, 89, 181–197. [Google Scholar] [CrossRef]
- Nachemson, A. Towards a better understanding of low-back pain: A review of the mechanics of the lumbar disc. Rheumatology 1975, 14, 129–143. [Google Scholar] [CrossRef]
- Smith, S.M. Workplace hazards of truck drivers. Mon. Labour Rev. 2015, 138, 1. [Google Scholar] [CrossRef]
- European Agency for Safety and Health at Work. Directive 2002/44/EC of the European Parliament and of the Council on the minimum health and safety requirements regarding the exposure of workers to the risks arising from physical agents (vibration). Off. J. Eur. Commun. 2002, 117, 6–7. [Google Scholar]
- Mahmoud, N.F.; Hassan, K.A.; Abdelmajeed, S.F.; Moustafa, I.M.; Silva, A.G. The Relationship Between Forward Head Posture and Neck Pain: A Systematic Review and Meta-Analysis. Curr. Rev. Musculoskelet. Med. 2019, 12, 562–577. [Google Scholar] [CrossRef] [PubMed]
- Adedoyin, R.A.; Idowu, B.O.; Adagunodo, R.E.; Owoyomi, A.A.; Idowu, P.A. Musculoskeletal pain associated with the use of computer systems in Nigeria. Technol. Health Care 2005, 13, 125–130. [Google Scholar] [CrossRef] [PubMed]
- Lockie, R.G.; Dawes, J.J.; Kornhauser, C.; Holmes, R.; Orr, R.M. Young officers drive faster, but older officers crash less: Results of a police pursuit driving course. Police Sci. Aust. NZJ Evid. Based Polic. 2018, 3, 37–41. [Google Scholar]
- Heuch, I.; Heuch, I.; Hagen, K.; Zwart, J.-A. Body mass index as a risk factor for developing chronic low back pain: A follow-up in the Nord-Trøndelag Health Study. Spine 2013, 38, 133–139. [Google Scholar] [CrossRef]
- Bandpei, M.A.M.; Ehsani, F.; Behtash, H.; Ghanipour, M. Occupational low back pain in primary and high school teachers: Prevalence and associated factors. J. Manip. Physiol. Ther. 2014, 37, 702–708. [Google Scholar] [CrossRef]
- Tiwari, R.R.; Pathak, M.C.; Zodpey, S.P. Low back pain among textile workers. Indian J. Occup. Environ. Med. 2003, 7, 27–29. [Google Scholar]
- Koutras, C.; Antoniou, S.A.; Jager, M.; Heep, H. Acute Injuries Sustained by Racing Drivers: A Cross-Sectional Study. Acta Orthop. Belg. 2017, 83, 512–520. [Google Scholar]
- Tunwattanapong, P.; Kongkasuwan, R.; Kuptniratsaikul, V. The effectiveness of a neck and shoulder stretching exercise program among office workers with neck pain: A randomized controlled trial. Clin. Rehabil. 2016, 30, 64–72. [Google Scholar] [CrossRef]
- Steffens, D.; Maher, C.G.; Pereira, L.S.; Stevens, M.L.; Oliveira, V.C.; Chapple, M.; Teixeira-Salmela, L.F.; Hancock, M.J. Prevention of low back pain: A systematic review and meta-analysis. JAMA Intern. Med. 2016, 176, 199–208. [Google Scholar] [CrossRef]
- Brossoit, R.M.; Crain, T.L.; Leslie, J.J.; Hammer, L.B.; Truxillo, D.M.; Bodner, T.E. The effects of sleep on workplace cognitive failure and safety. J. Occup. Health Psychol. 2019, 24, 411. [Google Scholar] [CrossRef]
- De Souza, J.M.; Pinto, R.Z.; Tebar, W.R.; Gil, F.; Delfino, L.D.; Morelhão, P.K.; Da Silva, C.; Oliveira, C.; Christofaro, D.G. Association of musculoskeletal pain with poor sleep quality in public school teachers. Work 2020, 65, 599–606. [Google Scholar] [CrossRef] [PubMed]
- de Vries, J.D.; Claessens, B.J.; van Hooff, M.L.; Geurts, S.A.; van den Bossche, S.N.; Kompier, M.A. Disentangling longitudinal relations between physical activity, work-related fatigue, and task demands. Int. Arch. Occup. Environ. Health 2016, 89, 89–101. [Google Scholar] [CrossRef] [PubMed]
- Lilley, R.; Feyer, A.-M.; Kirk, P.; Gander, P. A survey of forest workers in New Zealand: Do hours of work, rest, and recovery play a role in accidents and injury? J. Saf. Res. 2002, 33, 53–71. [Google Scholar] [CrossRef]
- Darwent, D.; Dawson, D.; Paterson, J.L.; Roach, G.D.; Ferguson, S.A. Managing fatigue: It really is about sleep. Accid. Anal. Prev. 2015, 82, 20–26. [Google Scholar] [CrossRef]
- Philip, P. Sleepiness of occupational drivers. Ind. Health 2005, 43, 30–33. [Google Scholar] [CrossRef]
- The National Institute for Occupational Safety and Health. Hierarchy of Controls. Available online: https://www.cdc.gov/niosh/topics/hierarchy/default.html (accessed on 23 January 2022).
- Schram, B.; Hinton, B.; Orr, R.; Pope, R.; Norris, G. The Perceived Effects and Comfort of Various Body Armour Systems on Police Officers while Performing Occupational Tasks. Ann. Occup. Environ. Med. 2018, 30, 15. [Google Scholar] [CrossRef]
- Anderson, N.J.; Smith, C.K.; Byrd, J.L. Work-related injury factors and safety climate perception in truck drivers. Am. J. Ind. Med. 2017, 60, 711–723. [Google Scholar] [CrossRef]
- Anderson, C.K. Relationship between aerobic capacity, injury risk and tenure for new-hire delivery drivers. Ergonomics 2010, 53, 1395–1401. [Google Scholar] [CrossRef]
- Bréder, V.F.; Dantas, E.H.M.; Silva, M.A.G. Low Back Pain And Psychosocial Factors Among Bus Drivers. Fit. Perform. J. 2006, 5, 36–44. [Google Scholar]
- Chandler, M.D.; Bunn, T.L.; Slavova, S. Narrative and quantitative analyses of workers’ compensation-covered injuries in short-haul vs. long-haul trucking. Int. J. Inj. Control. Saf. Promot. 2017, 24, 120–130. [Google Scholar] [CrossRef] [PubMed]
- Lukman, K.A.; Jeffree, M.S.; Rampal, K.G. Lower back pain and its association with whole-body vibration and manual materials handling among commercial drivers in Sabah. Int. J. Occup. Saf. Ergon. 2019, 25, 8–16. [Google Scholar] [CrossRef]
- Anderson, J.; Hernandez, S. Roadway classifications and the accident injury severities of heavy-vehicle drivers. Anal. Methods Accid. Res. 2017, 15, 17–28. [Google Scholar] [CrossRef]
- Attarchi, M.S.; Dehghan, F.; Seyedmehdi, S.M.; Mohammadi, S. Traffic accidents and related injuries in Iranian professional drivers. J. Public Health 2012, 20, 499–503. [Google Scholar] [CrossRef]
- Apostolopoulos, Y.; Sönmez, S.; Shattell, M.M.; Belzer, M. Worksite-induced morbidities among truck drivers in the United States. AAOHN J. 2010, 58, 285–296. [Google Scholar] [CrossRef] [PubMed]
- Cardoso, M.; Girouard, M.; McKinnon, C.; Callaghan, J.P.; Albert, W.J. Quantifying the postural demands of patrol officers: A field study. Int. J. Occup. Saf. Ergon. 2017, 23, 185–197. [Google Scholar] [CrossRef]
- Cardoso, M.; Girouard, M.; Callaghan, J.P.; Albert, W.J. An ergonomic evaluation of city police officers: An analysis of perceived discomfort within patrol duties. Int. J. Occup. Saf. Ergon. 2017, 23, 175–184. [Google Scholar] [CrossRef]
- Cardoso, M.; Fulton, F.; McKinnon, C.; Callaghan, J.P.; Johnson, M.J.; Albert, W.J. Ergonomic evaluation of a new truck seat design: A field study. Int. J. Occup. Saf. Ergon. 2019, 25, 331–343. [Google Scholar] [CrossRef]
- Donnelly, C.J.; Callaghan, J.P.; Durkin, J.L. The Effect of an Active Lumbar System on the Seating Comfort of Officers in Police Fleet Vehicles. Int. J. Occup. Saf. Ergon. 2009, 15, 295–307. [Google Scholar] [CrossRef]
- Gil de Alcantara, V.C.; Costa Rosa Andrade Silva, R.M.; Ramos Pereira, E.; Melo da Silva, D.; Pinto Flores, I. The experience in traffic and its effects on the health of bus drivers: A phenomenological descriptive study. Revista de Enfermagem Referência 2019, 4, 21–29. [Google Scholar] [CrossRef]
- Jensen, A.; Kaerlev, L.; Tuchsen, F.; Hannerz, H.; Dahl, S.; Nielsen, P.S.; Olsen, J. Locomotor diseases among male long-haul truck drivers and other professional drivers. Int. Arch. Occup. Environ. Health 2008, 81, 821–827. [Google Scholar] [CrossRef] [PubMed]
- Serrano-Fernandez, M.J.; Boada-Grau, J.; Robert-Sentis, L.; Vigil-Colet, A. Predictive variables for musculoskeletal problems in professional drivers. J. Transp. Health 2019, 14, 100576. [Google Scholar] [CrossRef]
- Bovenzi, M.; Schust, M.; Mauro, M. An overview of low back pain and occupational exposures to whole-body vibration and mechanical shocks. Med. Del Lav. 2017, 108, 419–433. [Google Scholar] [CrossRef]
- Bovenzi, M. Metrics of whole-body vibration and exposure-response relationship for low back pain in professional drivers: A prospective cohort study. Int. Arch. Occup. Environ. Health 2009, 82, 893–917. [Google Scholar] [CrossRef] [PubMed]
- Rugulies, R.; Krause, N. Effort-reward imbalance and incidence of low back and neck injuries in San Francisco transit operators. Occup. Environ. Med. 2008, 65, 525–533. [Google Scholar] [CrossRef]
- Zack, O.; Levin, R.; Krakov, A.; Finestone, A.S.; Moshe, S. The relationship between low back pain and professional driving in young military recruits. BMC Musculoskelet. Disord. 2018, 19, 110. [Google Scholar] [CrossRef]
- Ebben, W.P.; Suchomel, T.J. Physical Demands, Injuries, and Conditioning Practices of Stock Car Drivers. J. Strength Cond. Res. 2012, 26, 1188–1198. [Google Scholar] [CrossRef]

| Database | Search Terms | Filters |
|---|---|---|
| PubMED | ((driver[tiab] OR long-haul[tiab] OR long-haul[tiab] OR drivers[tiab] OR driving[tiab]) AND (MSD[all] OR “Back Pain”[all] OR Whiplash[all] OR Spine[all] OR Hip[all] OR Knee[all] OR Pain[all] OR Injury[all] OR injuries[all] OR injured[all] OR “Musculoskeletal Pain”[Mesh])) | Human, English, year (2006–2021) |
| EBSCO HOST/CINAHL | (((TI driver OR AB driver) OR (TI long-haul OR AB long-haul) OR (TI long-haul OR AB long-haul) OR (TI drivers OR AB drivers) OR (TI driving OR AB driving)) AND (MSD OR “Back Pain” OR Whiplash OR Spine OR Hip OR Knee OR Pain OR Injury OR injuries OR injured OR (MH “Musculoskeletal Pain”+))) | Human, year (2006–2021) |
| SPORTDiscus | (((TI “driver” OR AB “driver”) OR (TI “long-haul” OR AB “long-haul”) OR (TI “long-haul” OR AB “long-haul”) OR (TI “drivers” OR AB “drivers”) OR (TI “driving” OR AB “driving”)) AND (TX “MSD” OR TX “Back Pain” OR TX “Whiplash” OR TX “Spine” OR TX “Hip” OR TX “Knee” OR TX “Pain” OR TX “Injury” OR TX “injuries” OR TX “injured” OR DE “Musculoskeletal Pain”)) | English, year (2006–2021) |
| Web of Science | ((driver OR long-haul OR long-haul OR drivers OR driving) AND (MSD OR “Back Pain” OR Whiplash OR Spine OR Hip OR Knee OR Pain OR Injury OR injuries OR injured OR “Musculoskeletal Pain”)) | English, year (2006–2021) Additional filters (e.g., exclude surgery, neurology, oncology etc.) |
| Inclusion Criteria | Exclusion Criteria |
|---|---|
Published since 2006 (last 15 years) due to changes in vehicle design [34,35,36]; and
|
|
| Author/Date | Participants | Vehicle/Setting | Outcome Measure | Key Findings | CAS | |||
|---|---|---|---|---|---|---|---|---|
| Ahire and Shukla, 2021 [24] | ♂ drivers with 10 years driving experience and a pain complaint (n = 90) Age range: 40–50 years | Taxi/urban and rural | FFI | FFI score left foot: 64% FFI score right foot: 91% | 50% | |||
| Alperovitch-Najenson et al., 2010 [44] | ♂ drivers with and without MSK complaints Total drivers (n = 359) Mean age: 46.0 ± 9.8 years Mean BMI: 27.0 ± 3.9 kg/m2 Mean work experience: 18.0 ± 11 years Drivers with neck pain (n = 76) Mean age: 45.2 ± 9.8 years Mean BMI: 27.0 ± 4.1 kg/m2 Mean work experience: 17.7 ± 10.5 years Drivers without neck pain (n = 283) Mean age: 46.3 ± 9.8 years Mean BMI: 27.0 ± 3.8 kg/m2 Mean work experience: 18.2 ± 11.1 years | Bus/urban/city | NMQ | Lower back, neck, shoulder, knee most common MSK pain: Lower back: 45% (n = 162) Neck: 21% (n = 75) Shoulder: 15% (n = 54) Knee: 10% (n = 36) Upper back: 8% (n = 29) | 75% | |||
| Prevalence of MSK symptoms | Drivers with neck pain (n = 76) | Drivers without neck pain (n = 283) | ||||||
| Shoulder: Elbow: Wrist: Upper back: | 41% (n = 31) 7% (n = 5) 9% (n = 7) 12% (n = 17) | 8% (n = 22) 2% (n = 6) 1% (n = 4) 5% (n = 13) | ||||||
| MSK symptoms in drivers with neck pain (reference: no neck pain): Shoulder: OR 8.10 (95% CI 4.30–15.30), p < 0.001 Elbow: OR 3.20 (95% CI 0.90–10.90), p < 0.05 Wrist: OR 7.00 (95% CI 2.00–21.80), p < 0.001 Upper back: OR 5.90 (95% CI 2.70–12.90), p < 0.00 | ||||||||
Drivers with neck pain more frequently complained of:
| ||||||||
| Alperovitch-Najenson, Santo et al., 2010 [17] | ♂ drivers (n = 361) With LBP (n = 164) Mean age: 45.0 ± 9.5 years Mean BMI: 27.2 ± 3.9 kg/m2 Mean weight: 27.2 ± 3.9 kg Mean height: 1.75 ± 0.07 m Without LBP (n = 197) Mean age: 47.0 ± 10.0 years Mean BMI: 26.8 ± 3.8 kg/m2 Mean weight: 26.8 ± 3.8 kg Mean height: 1.74 ± 0.07 m | Bus/urban/city | NLBPQ | LBP complaint: 45% (n = 164) No LBP: 55% (n = 197) Drivers in both groups are overweight, but no significant difference between groups (p = 0.35) With LBP: 27.2 ± 3.9 kg/m2 Without LBP: 26.8 ± 3.8 kg/m2 Drivers in LBP group significantly younger p < 0.05: With LBP: 45.0 ± 9.5 years Without LBP: 47.0 ± 10.0 years Drivers with LBP more frequently complained of: Uncomfortable seat: OR 2.60 (95% CI 1.40–5.00), p ≤ 0.01 Uncomfortable back support: OR 2.50 (95% CI 1.40–4.50), p ≤ 0.01 Inadequate rest period during the working day OR 1.60 (95% CI 1.00–2.60), p ≤ 0.05. Drivers who participated in regular physical activities are significantly (p < 0.01) fewer in the LBP (49%) versus the non-LBP (67%) group | 75% | |||
| Aminian et al., 2016 [18] | Drivers with at least one year professional driving, a negative history of surgery related to MSK disorders, and a negative history of trauma leading to severe injury or fracture in lumbar, neck, elbow, arm (n = 734) Truck drivers (n = 366) Mean age: 39.8 ± 9.3 years Mean BMI: 26.6 ± 3.8 kg/m2 Mean work hours: 48.7 ± 21.5 (weekly) Mean work experience: 13.2 ± 9.0 (unit of measure not provided) Taxi drivers (n = 368) Mean age: 41.9 ± 9.9 years Mean BMI: 26.5 ± 3.9 kg/m2 Mean work hours: 36.2 ± 15.8 (weekly) Mean work experience: 15.7 ± 9.8 (unit of measure not provided) | Truck, taxi, not stated | NMQ | Association of driving a truck (reference: taxi drivers) with: Neck pain: OR 2.96 (95% CI 1.23–7.13) Knee pain: OR 4.95 (95% CI 1.81–13.54) MSD: OR 1.63 (95% CI 1.08–2.44) LBP: OR 2.35 (95% CI 1.12–4.93) Being heavier (OR 1.40 (95% CI 1.03–1.91))/shorter (OR 0.70) increased knee pain risk Increased work hours per week increased neck pain risk OR 1.02 (95% CI 1.00–1.03) p = 0.049 Age LBP increased with older age OR 1.07 (95% CI 1.02–1.12) Older age effective risk factor for MSD OR 1.05 (95% CI 1.02–1.09) Neck pain: OR = 4.64 (95% CI = 2.29–9.40) Truck drivers: 12% (n = 42) Taxi drivers: 3% (n = 10) Knee pain: OR 5.28 (95% CI 2.31–12.08) Truck drivers: 9% (n = 34) Taxi drivers: 2% (n = 7) Disorder in one or two knees in truck drivers is 5.5 (95% CI 2.3–12.1) times more than taxi drivers LBP most common symptom in both groups: Truck: 20% Taxi: 14% | 75% | |||
| Andrusaitis et al., 2006 [50] | ♂drivers with more than one year of professional driving Total driver (n = 410) Mean age: 40.2 ± 10.2 years Mean BMI: 26.8 ± 3.8 kg/m2 Mean height: 1.72 ± 0.06 m Mean work experience: 15.6 ± 9.9 years Mean work hours: 9.9 ± 3.6 (daily) Drivers with LBP (n = 242) Mean age: 39.8 ± 10.0 years Mean BMI: 27.0 ± 3.8 kg/m2 Mean height: 1.72 ± 0.07 m Mean work experience: 15.3 ± 9.5 years Mean work hours: 10.2 ± 3.8 (daily) Drivers without LBP (n = 168) Mean age: 40.7 ± 10.5 years Mean BMI: 26.5 ± 3.7 kg/m2 Mean height: 1.71 ± 0.06 m Mean work experience: 15.9 ± 10.5 years Mean work hours: 9.4 ± 3.2 (daily) | Truck/highways | LBP questionnaire developed for study | LBP: 59% (n = 242) No LBP: 41% (n = 168) Of the 242 with LBP: Occasional: 31% Constant: 18% Sometime in professional lives: 10% Number of working hours associated with LBP: OR 1.07 (95% CI 1.01–1.13) | 75% | |||
| Arslan et al., 2019 [7] | ♂ drivers with one year of professional driving experience (n = 1200) Pakistan Mean age: 42.8 ± 9.3 (20–60) years Mean weight: 80.4 ± 10.8 kg Mean BMI: 27.3 ± 3.42 kg/m2 Iran Mean age: 47.4 ± 8.9 (20–60) years Mean weight: 81.9 ± 10.7 kg Mean BMI: 27.7 ± 3.4 kg/m2 | Taxi/not stated | Self-administered questionnaire NPRS RMDQ | Prevalence of LBP Point: One week: One year: Lifetime: | Pakistan: 27% 36% 50% 78% | Iran: 37% 43% 54% 72% | 87.5% | |
| NPRS | 4.15 ± 1.42 | 4.00 ± 1.57 | ||||||
| RMDQ | 7.76 ± 2.50 | 7.71 ± 2.99 | ||||||
| Burgel and Elshatarat, 2017 [15] | ♂/♀ drivers who drive a minimum of 20 h per week (n = 129), ♂ (n = 121), ♁ (n = 8) Mean age: 45.3 ± 10.8 years Mean BMI: 27.4 ± 4.8 kg/m2 Mean driving experience: 9.8 ± 8.4 years Mean work hours: 40.9 ± 13.0 h (weekly) | Taxi/ urban, city | NMQ Borg CR10 scale | LBP: 63% (n = 81)/No LBP: 37% (n = 48) Of the 63%, 35% (n = 28) report LBP prevented them from doing normal work in last 12 months 61% (n = 49) report trouble from LBP in last 7 days Drivers who have higher physical exertion (4.10 ± 2.00) more likely to report 12 month LBP, compared to those who have less physical exertion (3.00 ± 2.10 p = 0.003) | 87.5% | |||
| Geete et al., 2013 [12] | Drivers (n = 60) Age range: 35–50 years | Bus/urban, city | Self-designed questionnaire | Prevalence of MSK pain: 80% Distribution of MSK pain: Low back: 70% Neck: 55% Shoulder: 48% Knee: 31% Wrist: 23% Heel: 20% Association of back pain with workstation risk factors: Uncomfortable seat position: OR 3.15 (95% CI 1.60–5.20), p < 0.05 Steering wheel position: OR 2.00 (95% CI 1.40–4.40), p < 0.01 Inadequate leg space: OR 2.05 (95% CI 1.40–4.50), p < 0.01 Vibration: OR 2.79 (95% CI 1.50–4.70), p < 0.05 Association of neck pain with workstation risk factors: Uncomfortable seat position: OR 2.70 (95% CI 1.50–4.90), p < 0.01 Uncomfortable gear position: OR 1.80 (95% CI 1.20–2.70), p < 0.05 Steering wheel position: OR 2.00 (95% CI 1.20–4.50), p < 0.05 Vibration: OR 2.50 (95% CI 1.50–4.90), p < 0.01 Association of shoulder pain with workstation risk factors: Uncomfortable seat position: OR 2.50 (95% CI 1.50–4.80), p < 0.01 Uncomfortable gear position: OR 1.75 (95% CI 1.10–3.70), p < 0.05 Steering wheel position: OR 2.00 (95% CI 1.10–4.50), p < 0.01 Association of knee pain with workstation risk factors: Uncomfortable seat position: OR 1.50 (95% CI 1.00–2.40), p < 0.05 Inadequate leg space: OR 1.85 (95% CI 1.20–2.70), p < 0.01 Association of wrist pain with workstation risk factors: Uncomfortable seat position: OR 1.50 (95% CI 1.10–2.10), p < 0.05 Steering wheel position: OR 1.90 (95% CI 1.20–3.10), p < 0.05 Vibration: OR 1.90 (95% CI 1.40–3.50), p < 0.01 Association of heel pain with workstation risk factors: Uncomfortable gear position: OR 2.10 (95% CI 1.40–3.20), p < 0.01 Vibration: OR 1.57 (95% CI 1.00–2.40), p < 0.05 | 37.5% | |||
| Ghasemi and Pirzadeh, 2021 [41] | Full time drivers with at least one year driving experience, no health conditions, and no history of lower back or knee surgery, or relevant health problems (n = 60) Age range: 32–56 years | Bus/urban, city | NMQ | Frequency distribution of pain | Before intervention: | After intervention: | 67.5% | |
| Shoulder: Low back: Knee: | 43% 37% 23% | 17% 20% 10% | ||||||
| Hakim and Mohsen, 2017 [5] | ♂ drivers with six months of field work (n = 180) Mean age: 37.5 ± 9.2 years | Bus | NMQ | LBP significantly higher for those worked > 10 years OR 2.42 (95% CI 1.23–4.87) LBP 6.6 times higher for those worked > 10 years than those worked 10 years or less OR 6.64 (95% CI 1.35–32.8), p = 0.020 Those worked > 8 h/day have higher frequency of LBP (84%) OR 2.93 (95% CI 1.45–5.93) Uncomfortable seat higher significant LBP (82%) OR 2.83 (95% CI 1.43–5.59) Uncomfortable steering wheel higher significant LBP (82%) OR 2.08 (95% CI 1.01–4.31) | 37.5% | |||
| Kim et al., 2016 [51] | Drivers with one year employment with the current company, and a regular work shift of 6 to 15 h (n = 96) Mean age: 48.2 ± 7.6 years Mean weight: 104.9 ± 25.5 kg Mean BMI: 32.3 ± 6.9 kg/m2 Mean height: 179.4 ± 7.7 cm Mean driving experience: 18.9 ± 10.7 years | Truck (regional or long-haul)/ regional | 10-point pain scale adopted from NMQ | Despite 96 participants in study, only 69 completed 10-point scale. Region: prevalence% (N). Low back: 73% (n = 50); pain score: 2.90 ± 2.00 (95% CI 2.40–3.40) Shoulder: 55% (n = 38); pain score: 2.90 ± 2.50 (95% CI 2.3–3.40) Neck: 51% (n = 35); pain score: 2.70 ± 2.40 (95% CI 2.10–3.30) Knee: 42% (n = 29); pain score: 2.40 ± 2.50 (95% CI 1.80–3.00) Wrist/forearm: 36% (n = 25); pain score: 2.20 ± 2.60 (95% CI 1.60–2.80) Ankle/feet: 32% (n = 22); pain score: 1.70 ± 2.30 (95% CI 1.20–2.20) Leg pain/sciatic: 26% (n = 18); pain score: 1.40 ± 2.20 (95% CI 0.90–1.90) | 75% | |||
| Kresal et al., 2015 [8] | ♂/♁ drivers (n = 145) ♂: 144 ♁: 1 <30 years (n = 17) 31–40 years (n = 32) 41–50 years (n = 37) >51 years (n = 59) | Bus/city | Likert-type close-ended questions | Total of 74%: neck pain, spine pain, headaches associated with jobs (n = 107) Total of 12%: no connection between job/health conditions (n = 17) Total of 15%: job/health condition connection exists time to time (n = 21) Risk factors statistically significant for LBP:
| 75% | |||
| Lalit et al., 2015 [42] | ♂ drivers with at least one year driving experience who spend a minimum of four hours a day in sitting position (n = 300) Mean age: 42.6 ± 5.7 (25–50) years Mean weight: 75.8 ± 12.1 kg Mean height: 171.81 ± 6.06 cm Mean work experience: 19.8 ± 6.6 years | Bus/urban, city | NMQ | Prevalence of WRMSDs: 53% (n = 159) LBP: 30% Neck pain: 17% Knee pain: 15% Shoulder: 6% Ankle/feet: 6% Upper back: 4% Hip/thigh: 4% Elbow: 1% Wrist/hand: 1% | 67.5% | |||
| Lee and Gak, 2014 [4] | Drivers (n = 81) (Note: error in published Table 1, Table 2 and Table 3, which states n = 80) Mean age: 49.4 ± 8.2 years Mean weight: 70.6 ± 8.0 kg Mean height: 170.8 ± 4.89 cm Mean work experience: 10.2 ± 7.8 years | Bus/not stated | Symptom research form KOSHA code H-30-2003 NPRS | MSK symptoms: (n = 81) Neck: 34% (n = 27) Shoulder: 42% (n = 34) Arm/elbow: 6% (n = 5) Hand/wrist/finger: 6% (n = 5) Lumbar: 34% (n = 27)Leg/foot: 19% (n = 15) Significant decrease in pain after bus drivers completed self-stretching intervention, p < 0.05 Pre-test: 6.17 ± 1.51 Post-test: 3.21 ± 1.87 A significant decrease in MSK symptoms in neck/shoulder (p < 0.05) after self-stretching intervention: Neck pre-test: 34% (n = 27); neck post-test: 25% (n = 20) Shoulder pre-test: 42% (n = 34); shoulder post-test: 35% (n = 28) | 37.5% | |||
| Maduagwu et al., 2021 [6] | ♂ drivers with at least one year driving experience, and no traumatic road or work accidents (n = 250) Mean age: 32.14 ± 10.67 (18–66) years Work experience 1–5 years: 45 ± 18.0 Work experience 6–10 years: 76.0 ± 30.4 Work experience ≥ 11 years: 129 ± 51.6 | Bus (commercial minibus)/intra/inter-city routes | NMQ | >48 years have highest prevalence of MSK (WMSDs): 43% (n = 20) Those with 1–5 years working experience have highest prevalence of MSK (WMSDs): 29% (n = 13) A total of 53 participants have WRMSDs, giving a 12 month prevalence of 21% | 100% | |||
| 12 month prevalence | Weekly prevalence | |||||||
| Lower back | 72% | 36% | ||||||
| Neck: | 40% | 17% | ||||||
| Shoulder: | 53% | 23% | ||||||
| Elbow: | 25% | 8% | ||||||
| Wrist/hand: | 34% | 15% | ||||||
| Upper back: | 38% | 11% | ||||||
| Hip/thigh/buttock: | 40% | 11% | ||||||
| Knee: | 45% | 19% | ||||||
| Ankle/foot: | 36% | 36% | ||||||
| Okunribido et al., 2008 [46] | Drivers with at least one year of driving experience; at least five years driving experience in their current or immediate past job There are 453 drivers in total, but 213 are extracted from truck/van, taxi, bus, police as these groups are relevant to our data. Police (n = 58); Mean age: 34.5 ± 5.9 years Mean weight: 83.1 ± 11.4 kg Mean BMI: 26.0 ± 2.7 kg/m2 Mean height: 178.6 ± 6.74 cm Truck/van (n = 64) Mean age: 46.9 ± 11.0 years Mean weight: 85.9 ± 14.8 kg Mean BMI: 27.7 ± 4.5 kg/m2 Mean height: 176.4 ± 6.67 cm Bus (n = 61) Mean age: 47.6 ± 10.4 years Mean weight: 84.9 ± 15.7 kg Mean BMI: 28.3 ± 4.4 kg/m2 Mean height: 172.9 ± 8.45 cm Taxi (n = 30) Mean age: 49.3 ± 8.3 years Mean weight: 88.5 ± 18.5 kg Mean BMI: 28.3 ± 4.7 kg/m2 Mean height: 176.4 ± 7.40 cm Control (n = 49) Mean age: 40.00 ± 8.38 years Mean weight: 79.70 ± 14.09 kg Mean BMI: 25.90 ± 3.62 kg/m2 Mean height: 175.2 ± 7.86 cm | Bus, truck/van taxi, car (police car), not stated | Self-designed questionnaire previously employed in other research Tri-axial seat pad accelerometer (whole- body vibration meter 2.0) Posture scores | Previous 12 month LBP prevalence: Truck/van, taxi drivers often experience LBP and >50% reported LBP pain intensity (~7.5) is highest for truck/van drivers Suffering > 6 episodes of LBP: truck/van (68%) and taxi (68%) Most truck/van, taxi drivers report pain lasting ≥ three days, and need to take 2 or more months off work | 75% | |||
| Previous 7 day LBP prevalence: Taxi driver associated with highest prevalence (44%) Truck/van drivers have highest rating score for LBP intensity (6.8) Taxi (62%) have highest percentages of suffering >4 episodes of LBP Most truck/van (29%) and taxi drivers (15%) have greatest percentage of taking >5 days off work due to LBP | ||||||||
| Odds of reporting posture-related discomfort (reference: no discomfort) Previous 12 month LBP OR 4.40 (95% CI 2.72–7.10) Previous 7 day LBP OR 3.42 (95% CI 2.19–5.34) | ||||||||
| 12 month prevalence | Weekly prevalence | |||||||
| Police | ||||||||
| Back pain only | 73% | 82% | ||||||
| Back and Leg pain/symptom | 27% | 18% | ||||||
| Truck/van | ||||||||
| Back pain only | 55% | 57% | ||||||
| Back and Leg pain/symptom | 45% | 43% | ||||||
| Bus | ||||||||
| Back pain only | 53% | 42% | ||||||
| Back and Leg pain/symptom | 42% | 27% | ||||||
| Leg pain/symptom only | - | 5% | ||||||
| Taxi | ||||||||
| Back pain only | 32% | 31% | ||||||
| Back and Leg pain/symptom | 58% | 54% | ||||||
| Leg pain/symptom only | - | 15% | ||||||
| Total vibration dose–response trend for previous/current LBP (p = 0.037) | ||||||||
| Previous LBP | Current LBP | |||||||
| 8.6–15.0 years m2s−4 (n = 32): | OR 1.30 (95% CI 0.55–3.08) | OR = 0.89 (95% CI 0.36–2.22) | ||||||
| >15.0 years m2s−4 (n = 33): | OR 1.52 (95% CI 0.59–3.93) | OR = 1.31 (95% CI 0.53–3.23) | ||||||
| Posture score–response trend for previous/current LBP: (p = 0.013) | ||||||||
| Previous LBP | Current LBP | |||||||
| 0–6 points (n = 77): | Not reported | Not reported | ||||||
| 7–12 points (n = 66) | OR 2.00 (95% CI 0.96–4.17) | OR 1.29 (95% CI 0.60–2.78) | ||||||
| >12 points (n = 46) | OR 2.04 (95% CI 0.91–4.58) | OR 1.95 (95% CI 0.86–4.39) | ||||||
| Okunribido et al., 2007 [45] | ♂/♁ drivers with at least one year in present job, or total of five years continuous bus driving experience (n = 61) ♂ = 58 ♁ = 3 Mean age: 47.6 ± 10.4 (19–64) years Mean weight: 84.9 ± 15.7 (58.6–129) kg Drivers with LBP (n = 36) Mean age: 48.1 ± 9.7 years Mean weight: 85.1 ± 13.3 kg Mean BMI: 28.5 ± 4.0 kg/m2 Mean height: 172.9 ± 7.49 cm Mean driving hours: 7.5 ± 1.4 (daily) Drivers without LBP (n = 25) Mean age: 46.8 ± 11.5 years Mean weight: 84.7 ± 19.1 kg Mean BMI: 28.1 ± 4.9 kg/m2 Mean height: 172.9 ± 9.82 cm Mean driving hours: 7.6 ± 1.8 (daily) | Bus, coach/asphalt and cobble surfaces | Self-assessment questionnaire previously employed in other research Tri-axial seat pad accelerometer (whole- body vibration meter 2.0) | Total of 23 drivers (38%) experience discomfort from sitting during driving, and 11 of those drivers report seats and bad back rest support Total of 42 drivers (69%) indicate discomfort from vibration Total of 36 drivers (59%) experience LBP during last 12 months and of those, 19 report current LBP within 7 days Drivers who report LBP are on average older and heavier Vibration dose value for moving on asphalt: Vibration dose values for single decker buses exceeds the European directive limit (safe daily exposure limit) on asphalt surfaces. Single decker: x-axis 6.72 m/s1.75 y-axis 15.86 m/s1.75 z-axis 19.23 m/s1.75 Vibration dose value for moving on cobble: Vibration dose values for the mini-bus, double decker, and single decker buses exceeds the European directive limit (safe daily exposure limit). In particular, double decker and single decker buses (>15 m/s1.75), are associated with high vibration dose, indicating severe shock events on cobble surfaces Mini-bus: x-axis 6.29 m/s1.75 y-axis 10.85 m/s1.75 z-axis 21.62 m/s1.75 Double decker: x-axis 36.72 m/s1.75 y-axis38.53 m/s1.75 z-axis 38.87 m/s1.75 Single decker: x-axis 10.12 m/s1.75 y-axis 27.04 m/s1.75 z-axis 37.60 m/s1.75 | 67.5% | |||
| Rehman et al., 2018 [9] | Drivers with at least one year of driving experience, and a minimum travel of 35 h per/week (n = 377) Mean age: 39.7 ± 11.3 (18–67) years | Truck/long distance | ODI | Lower back disability more prevalent with advancement of age: LBP 18–27 years: 15% LBP 28–37 years: 56% LBP 38–47 years: 88% LBP 48–57 years: 71% LBP 58–67 years: 100% | 67.5% | |||
| Level of disability increased with greater travelling hours p < 0.001 | ||||||||
| Mild pain | Moderate pain | Severe pain | ||||||
| 15–34 h/week | 15% | 2% | 0% | |||||
| 35–64 h/week: | 11% | 5% | 3% | |||||
| 65–84 h/week: | 78% | 6% | 3% | |||||
| 85–104 h/week: | 4% | 71% | 10% | |||||
| 105–124 h/week: | 40% | 30% | 30% | |||||
| Rufai et al., 2015 [16] | ♂ drivers with at least one year of driving experience, and drive for a minimum of five hours per day (n = 200) Mean age: 42.5 ± 11.1 (19–64) years Mean driving experience: 17.8 ± 7.9 (1–30) years Mean driving duration: 13.4 ± 6.3 (5–24) hours per day Drivers with LBP (n = 147) Drivers without LBP (n = 53) (Note: error noted in published Table 2) | Bus, truck, car/long distance | Modified NLBQ | LBP 74% (n = 147) Highest prevalence of LBP (59%) in bus drivers (n = 86) Gradual onset of LBP: 62% (n = 91) Mild severity of LBP: 21% (n = 31) Moderate severity of LBP: 49% (n = 72) 49% of participants with LBP (n = 72) ≥ 20 years driving experience 48% of participants (n = 70) history of >15 h driving per day Older drivers higher risk of developing LBP: 45–60 years: 0.18 times odds of having LBP (95% CI 0.40–0.71), p = 0.015 >60 years: 0.09 times odds of having LBP (95% CI 0.01–0.54), p = 0.010 Longer hours/day more vulnerable of developing LBP 10–15 h/day driving and LBP: 0.39 times odds of having LBP (95% CI 0.19–0.81), p = 0.011 Those who drive cars: 5.52 times odds of LBP occurrence (95% CI 1.55–19.64), p = 0.008 | 75% | |||
| Sangiamsak and Thetkathuek, 2021 [48] | ♂ drivers, less than 1–15 years driving experience (n = 25) Terminal container shipment: short distance (n = 15) Seaport to urban logistics distribution: long distance (n = 10) Mean age: 38.5 ± 7.3 (20–60) years BMI: Healthy, normal n = 8 (32%) Overweight n = 6 (24%) Pre-obese n = 7 (28%) Obese n = 4 (16%) Work experience: <1–15 years | Truck/deep sea port road | NMQ (modified/translated into Thai language), Borg CR10 scale | LBP highest self-reported MSK symptom prevalence (72%), regardless of driving distance Neck: 32% Knees: 28% Short distance: Lower back: 44% Hip/thigh: 20% Knees/ankle/feet: 16% Long distance: Lower back: 28% Neck: 24% Knees: 12% A total of 88% of drivers experience MSK symptoms over last 12 months: Short distance: 52% Long distance: 36% Prevalence of neck pain higher in long distance truck drivers than short distance truck drivers, p = 0.028 Lower back perceived discomfort (2.4), neck (1.44), and knee (1.28) | 75% | |||
| Selvam and Arun, 2016 [43] | ♂ drivers working ≥ 8 h/day, and 5–10 years of driving experience with VAS score of ≥7 (n = 10) Age range: 25–40 years | Bus/not stated | Scapular protraction measurement VAS | Scapular protraction is greater with hands on hips than at rest, or at 90° abduction for right and left side. VAS for mechanical neck pain when hands on hips: Right: 7.2 Left: 6.9 | 50% | |||
| Senthanar and Bigelow, 2018 [2] | ♂ drivers who have driven for a minimum of six months and ≥18 years old (n= 107) With musculoskeletal pain: (n = 61) Mean age: 45 ± 10.0 (23–65) years Mean work experience: 6.5 ± 10.3 (3–40) years Mean driving hours: 47.2 ± 21.4 (1–100) (weekly) Without musculoskeletal pain: (n = 46) Mean age: 53 ± 10.1 (26–67) years Mean work experience: 21.2 ± 14.5 (3–50) years Mean driving hours: 44.9 ± 25.3 (4–92) (weekly) | Truck (long haul)/highways | Questionnaire developed by OHS professionals working directly with long-haul truck drivers in transport sector | A total of 57% complain of MSK pain and discomfort (n = 61) Prevalence of MSK Pain and discomfort: Lower back: 80% Shoulders: 54% Wrist/hands: 44% Legs/feet: 41% Upper back: 39% MSK pain and discomfort driving >7 h: OR 1.12 (95% CI 1.01–1.24) Factors predicting MSK pain and discomfort: Organisational: job control (p ≤ 0.01); safety equipment availability (p ≤ 0.01); and management involved in injury (p ≤ 0.05) Physical: level of risk (p ≤ 0.05); perceptions of jobs/tasks (p ≤ 0.01) | 75% | |||
| Szeto and Lam, 2007 [3] | ♂/♁ drivers (n = 481) ♂: 404, ♁: 77 Mean age: ♂: 47.5 ± 7.4 years ♁: 46.4 ± 5.3 years Mean weight: ♂: 71.2 ± 10.5 kg ♁: 58.8 ± 6.7 kg Mean BMI: ♂ 25.2 ± 3.4 kg/m2 ♁ 23.6 ± 2.7 kg/m2 Mean height: ♂167.8 ± 5.9 cm ♁ 158.1 ± 5.5 cm Mean work experience: ♂ 13.0 ± 8.9 years ♁ 8.6 ± 3.5 years Mean driving hours: ♂: 10.0 ± 1.0 per day ♁: 9.8 ± 0.7 per day | Bus (double decker)/urban, city | NMQ (Chinese version) | No discomfort: 7% (n = 35) One area of discomfort: 23% (n = 110) >2 areas of discomfort: 64% (n = 306) Younger age groups (<40 years) and those with less work experience have increased discomfort Duration of pain and discomfort: Total of 5+ years: 35–40% Between 1–4 years: 50% LBP and neck pain highest 12 month prevalence 4.5–5.0/10, indicating moderate severity Self-perceived occupational risk factors: Prolonged sitting (n = 355) Driver seat mismatch (n = 196) Steering wheel tightness (n = 151) Mechanical vibration (n = 116) Sex (reference: males) Neck pain OR 1.78 (95% CI 1.03–3.06), p = 0.038 Shoulder pain OR 1.91 (95% CI 1.10–3.31), p = 0.022 Knee/thigh pain OR 1.70 (95% CI 1.01–2.86), p = 0.047 Prolonged sitting LBP: OR 3.71 (95% CI 2.40–5.74), p < 0.001 Driver seat mismatch Neck pain: OR 1.56 (95% CI 1.06–2.30), p = 0.026 Shoulder pain: OR 2.21 (95% CI 1.49–3.26), p ≤ 0.001 Working years (>16 years) Shoulder pain: OR 2.4 (95% CI 1.37–4.49), p = 0.003 Gear box control Thigh/knee pain: OR 2.74 (95% CI 1.14–6.60), p = 0.025 | 87.5% | |||
| Tamrin et al. 2007 [49] | Drivers (n = 760) Mean age: 43.0 ± 8.64 years Mean duration of work: 96.4 ± 3.3 months Mean driving hours: 10.5 ± 0.1 (day) Mean driving hours: 60.5 ± 0.7 (weekly) | Smooth and rough road surface in urban, suburban, rural, residential, and industrial areas | NMQ | Lower back pain: 60% (n = 459) Neck: 52% (n = 392) Upper back: 41% (n = 309) Shoulder: 35% (n = 269) No posture significantly associated with LBP Duration employment as bus driver (96.38 ± 3.30 months): OR 1.00 (95% CI 1.00–1.01) Perception exposure to vibration: OR 1.94 (95% CI 1.39–2.72) Steering wheel adjustability: OR 1.52 (95% CI 1.10–2.10) | 50% | |||
| Wang et al., 2017 [47] | Drivers with at least one year experience driving, and work 40 h per week (n = 719) ♂ (n = 694) ♁: (n = 25) Mean age: 40.1 ± 5.8 (26–54) years Mean BMI: 24.6 ± 2.9 kg/m2 Mean driving hours: 10.8 ± 2.3 (daily) Mean driving experience: 7.7 ± 3.5 (1–20) years | Taxi, not stated | MDQ/NMQ | Prevalence of LBP in 12 months: 54% (n = 388) (95% CI 50.00–58.00) Risk of reporting LBP increases with: Higher BMI: BMI 24–28 kg/m2: OR 1.90 (95% CI 1.20–3.00), p < 0.05 BMI ≥ 28 kg/m2: OR 1.80 (95% CI 1.10–2.80), p < 0.01 Daily driving duration: 8–12 h: OR 2.20 (95% CI 1.30–3.70), p < 0.01 ≥12 h: OR 2.30 (95% CI 1.60–3.30), p < 0.001 More work years: Work years group ≥ 10 years: OR 1.70 (95% CI 1.20–2.40), p < 0.01 Night shifts: OR 2.30 (95% CI 1.70–3.20), p < 0.001 Odds of LBP decrease with; More rest days: OR 0.80 (95% CI 0.70–0.90), p < 0.01 Longer sleep duration: OR 0.70 (95% CI 0.50–0.80), p < 0.05 More physical activities: OR 0.50 (95% CI 0.30–0.70), p < 0.001 | 75% | |||
Publisher’s Note: MDPI stays neutral with regard to jurisdictional claims in published maps and institutional affiliations. |
© 2022 by the authors. Licensee MDPI, Basel, Switzerland. This article is an open access article distributed under the terms and conditions of the Creative Commons Attribution (CC BY) license (https://creativecommons.org/licenses/by/4.0/).
Share and Cite
Pickard, O.; Burton, P.; Yamada, H.; Schram, B.; Canetti, E.F.D.; Orr, R. Musculoskeletal Disorders Associated with Occupational Driving: A Systematic Review Spanning 2006–2021. Int. J. Environ. Res. Public Health 2022, 19, 6837. https://doi.org/10.3390/ijerph19116837
Pickard O, Burton P, Yamada H, Schram B, Canetti EFD, Orr R. Musculoskeletal Disorders Associated with Occupational Driving: A Systematic Review Spanning 2006–2021. International Journal of Environmental Research and Public Health. 2022; 19(11):6837. https://doi.org/10.3390/ijerph19116837
Chicago/Turabian StylePickard, Olivia, Peta Burton, Hayato Yamada, Ben Schram, Elisa F. D. Canetti, and Robin Orr. 2022. "Musculoskeletal Disorders Associated with Occupational Driving: A Systematic Review Spanning 2006–2021" International Journal of Environmental Research and Public Health 19, no. 11: 6837. https://doi.org/10.3390/ijerph19116837
APA StylePickard, O., Burton, P., Yamada, H., Schram, B., Canetti, E. F. D., & Orr, R. (2022). Musculoskeletal Disorders Associated with Occupational Driving: A Systematic Review Spanning 2006–2021. International Journal of Environmental Research and Public Health, 19(11), 6837. https://doi.org/10.3390/ijerph19116837

