The Impact of Using Different Doses of Biomass Ash on Some Physical Properties of Podzolic Soil under the Cultivation of Winter Oilseed Rape
Abstract
1. Introduction
2. Materials and Methods
- -
- Control—no K2O fertilization;
- -
- NPK—K2O in mineral fertilizers (127 kg K2O ha−1);
- -
- W1—100 kg K2O ha−1 in ash;
- -
- W2—200 kg K2O ha−1 in ash;
- -
- W3—300 kg K2O ha−1 in ash;
- -
- W4—400 kg K2O ha−1 in ash;
- -
- W5—500 kg K2O ha−1 in ash.
- mw—wet soil mass (g)
- md—weights of oven-dry soils
- t—tare of cylinder (g)
- 100—volume of the cylindrical core.
- md—weights of oven-dry soils,
- 100—volume of the cylindrical core.
3. Results and Discussion
3.1. Meteorogical Condition
3.2. Soil Moisture
3.3. Bulk Density
3.4. Penetration Resistance
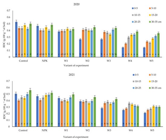
3.5. Readily Dispersible Clay
4. Conclusions
Author Contributions
Funding
Institutional Review Board Statement
Informed Consent Statement
Data Availability Statement
Conflicts of Interest
References
- Bhattacharya, S.S.; Chattopadhyay, G.N. Increasing Bioavailability of Phosphorus from Fly Ash through Vermicomposting. J. Environ. Qual. 2002, 31, 2116–2119. [Google Scholar] [CrossRef] [PubMed]
- Romdhane, L.; Ebinezer, L.B.; Panozzo, A.; Barion, G.; Dal Cortivo, C.; Radhouane, L.; Vamerali, T. Effects of Soil Amendment with Wood Ash on Transpiration, Growth, and Metal Uptake in Two Contrasting Maize (Zea mays L.) Hybrids to Drought Tolerance Front. Plant Sci 2021, 12, 905. [Google Scholar] [CrossRef] [PubMed]
- Eriksson, H.M. Short-Term Effects of Granulated Wood Ash on Forest Soil Chemistry in SW and NE Sweden. Scand. J. For. Res 1998, 2, 43–45. [Google Scholar]
- Demeyer, A.; Voundi Nkana, J.C.; Verloo, M.G. Characteristics of Wood Ash and Influence on Soil Properties and Nutrient Uptake: An Overview. Bioresour. Technol. 2001, 77, 287–295. [Google Scholar] [CrossRef]
- Huotari, N.; Tillman-Sutela, E.; Moilanen, M.; Laiho, R. Recycling of Ash—For the Good of the Environment? For. Ecol. Manag. 2015, 348, 226–240. [Google Scholar] [CrossRef]
- Tosti, L.; van Zomeren, A.; Pels, J.R.; Dijkstra, J.J.; Comans, R.N.J. Assessment of Biomass Ash Applications in Soil and Cement Mortars. Chemosphere 2019, 223, 425–437. [Google Scholar] [CrossRef]
- Knapp, B.A.; Insam, H. (Eds.) Recycling of Biomass Ashes: Current Technologies and Future Research Needs. In Recycling of Biomass Ashes; Springer Science & Business: Berlin/Heidelberg, Germany, 2011. [Google Scholar]
- Arshad, M.A.; Soon, Y.K.; Azooz, R.H.; Lupwayi, N.Z.; Chang, S.X. Soil and Crop Response to Wood Ash and Lime Application in Acidic Soils. Agron. J. 2012, 104, 715–721. [Google Scholar] [CrossRef]
- Cruz-Paredes, C.; Wallander, H.; Kjøller, R.; Rousk, J. Using Community Trait-Distributions to Assign Microbial Responses to pH Changes and Cd in Forest Soils Treated with Wood Ash. Soil Biol. Biochem. 2017, 112, 153–164. [Google Scholar] [CrossRef]
- Dvořák, J.R.; Longauer, R.; Prouza, L.B.; Palovčíková, D.; Jankovský, L. Ash and Ash Dieback in the Czech Republic. In Dieback of European Ash (Fraxinus Spp.); Consequences and Guidelines for Sustainable Management; European Cooperation in Science and Technology: Brussels, Belgium, 2017; pp. 79–88. [Google Scholar]
- Bang-Andreasen, T.; Peltre, M.; Ellegaard-Jensen, L.; Hansen, L.H.; Ingerslev, M.; Rønn, R.; Jacobsen, C.S.; Kjøller, R. Application of Wood Ash Leads to Strong Vertical Gradients in Soil pH Changing Prokaryotic Community Structure in Forest Top Soil. Sci. Rep. 2021, 11, 742. [Google Scholar] [CrossRef]
- Bang-Andreasen, T.; Nielsen, J.T.; Voriskova, J.; Heise, J.; Rønn, R.; Kjøller, R.; Hansen, H.C.B.; Jacobsen, C.S. Wood Ash Induced pH Changes Strongly Affect Soil Bacterial Numbers and Community Composition. Front. Microbiol. 2017, 8, 1400. [Google Scholar] [CrossRef]
- Brunner, I.; Zimmermann, S.; Zingg, A.; Blaser, P. Wood-Ash Recycling Affects Forest Soil and Tree Fine-Root Chemistry and Reverses Soil Acidification. Plant Soil. 2004, 267, 61–71. [Google Scholar] [CrossRef]
- Dexter, A.R.; Czyż, E. Soil Physical Quality and the Effects of Management Practices. In Soil Quality, Sustainable Agriculture and Environmental Security in Central and Eastern Europe; Wilson, M.J., Kordybach, B., Eds.; Kluwer Academic Publishers: Pulawy, Poland; Dordrecht, The Netherlands, 1997; pp. 153–165. [Google Scholar]
- Dexter, A.R.; Czyż, E.A. Effects of Soil Management on the Dispersibility of Clay in a Sandy Soil. Int. Agrophys 2000, 14, 269–272. [Google Scholar]
- Dexter, A.R.; Czyż, E.A. Applications of S-Theory in the Study of Soil Physical Degradation and Its Consequences. Land Degrad. Dev. 2007, 18, 369–381. [Google Scholar] [CrossRef]
- Dexter, A.R.; Czyż, E.A.; Niedźwiecki, J.; Maćkowiak, C. Water Retention and Hydraulic Conductivity of a Loamy Sand Soil as Influenced by Crop Rotation and Fertilization. Arch. Acker Pflanzenbau Bodenkd. 2001, 46, 123–133. [Google Scholar] [CrossRef]
- Gaţe, O.P.; Czyż, E.A.; Dexter, A.R. Effects of Readily-Dispersible Clay on Soil Quality and Root Growth. In Plant Growth in Relation to Soil Physical Conditions; Lipiec, J., Walczak, R., Jόzefaciuk, G., Eds.; Institute of Agrophysics, Polish Academy of Sciences: Lublin, Poland, 2004; pp. 48–56. [Google Scholar]
- Czyż, E.A.; Dexter, A.R. Soil Physical Properties as Affected by Traditional, Reduced and No-Tillage for Winter Wheat. Int. Agrophys 2009, 23, 319–326. [Google Scholar]
- Czyż, E.A.; Dexter, A.R. Plant Wilting Can Be Caused Either by the Plant or by the Soil. Soil Res. 2012, 50, 708. [Google Scholar] [CrossRef]
- Czyż, E.A.; Dexter, A.R. Mechanical Dispersion of Clay from Soil into Water: Readily-Dispersed and Spontaneously-Dispersed Clay. Int. Agrophys. 2015, 29, 31–37. [Google Scholar] [CrossRef]
- Lipiec, J.; Czyż, E.A.; Dexter, A.R.; Siczek, A. Effects of Soil Deformation on Clay Dispersion in Loess Soil. Soil Tillage Res. 2018, 184, 203–206. [Google Scholar] [CrossRef]
- Bonfim-Silva, E.M.; Martinez-Santos, T.; da Silva, T.J.A.; Alves, R.D.d.S.; Pinheiro, E.A.R.; Duarte, T.F. Wood Ash as a Vegetative-Growth Promoter in Soils with Subsurface Compaction. Rev. Bras. Eng. Agric. Ambient./Braz. J. Agric. Environ. Eng. 2022, 26, 258–265. [Google Scholar] [CrossRef]
- Shah, A.N.; Tanveer, M.; Shahzad, B.; Yang, G.; Fahad, S.; Ali, S.; Bukhari, M.A.; Tung, S.A.; Hafeez, A.; Souliyanonh, B. Soil Compaction Effects on Soil Health and Crop Productivity: An Overview. Envir. Sci. Pollut. Res. 2017, 24, 10056–10067. [Google Scholar] [CrossRef]
- Stoessel, F.; Sonderegger, T.; Bayer, P.; Hellweg, S. Assessing the Environmental Impacts of Soil Compaction in Life Cycle Assessment. Sci. Total Environ. 2018, 630, 913–921. [Google Scholar] [CrossRef] [PubMed]
- Correa, J.; Postma, J.A.; Watt, M.; Wojciechowski, T. Soil Compaction and the Architectural Plasticity of Root Systems. J. Exp. Bot. 2019, 70, 6019–6034. [Google Scholar] [CrossRef] [PubMed]
- Nawaz, M.F.; Bourrié, G.; Trolard, F. Soil Compaction Impact and Modelling. A Review. Agron. Sustain. Dev. 2013, 33, 291–309. [Google Scholar] [CrossRef]
- Flowers, M.D.; Lal, R. Axle Load and Tillage Effects on Soil Physical Properties and Soybean Grain Yield on a Mollic Ochraqualf in Northwest Ohio. Soil Tillage Res. 1998, 48, 21–35. [Google Scholar] [CrossRef]
- Hamza, M.A.; Anderson, W.K. Responses of Soil Properties and Grain Yields to Deep Ripping and Gypsum Application in a Compacted Loamy Sand Soil Contrasted with a Sandy Clay Loam Soil in Western Australia. Aust. J. Agric. Res. 2003, 54, 273. [Google Scholar] [CrossRef]
- Zeng, C.; Wang, Q.; Zhang, F.; Zhang, J. Temporal Changes in Soil Hydraulic Conductivity with Different Soil Types and Irrigation Methods. Geoderma 2013, 193–194, 290–299. [Google Scholar] [CrossRef]
- Lobsey, C.R.; Viscarra Rossel, R.A. Sensing of Soil Bulk Density for More Accurate Carbon Accounting: Sensing Soil Bulk Density. Eur. J. Soil Sci. 2016, 67, 504–513. [Google Scholar] [CrossRef]
- Gajda, A.M.; Czyż, E.A.; Dexter, A.R. Effects of Long-Term Use of Different Farming Systems on Some Physical, Chemical and Microbiological Parameters of Soil Quality. Int. Agrophys. 2016, 30, 165–172. [Google Scholar] [CrossRef]
- Stanek-Tarkowska, J.; Czyż, E.A.; Dexter, A.R.; Sławiński, C. Effects of Reduced and Traditional Tillage on Soil Properties and Diversity of Diatoms under Winter Wheat. Int. Agrophys. 2018, 32, 403–409. [Google Scholar] [CrossRef]
- Arshad, M.A.; Martin, S. Identifying Critical Limits for Soil Quality Indicators in Agro-Ecosystems. Agric. Ecosyst. Environ. 2002, 88, 153–160. [Google Scholar] [CrossRef]
- Nunes, M.R.; da Silva, A.P.; Denardin, J.E.; Giarola, N.F.B.; Vaz, C.M.P.; van Es, H.M.; da Silva, A.R. Soil Chemical Management Drives Structural Degradation of Oxisols under a No-till Cropping System. Soil Res. 2017, 55, 819. [Google Scholar] [CrossRef]
- Czyż, E.A.; Dexter, A.R.; Terelak, H. Content of Readily-Dispersible Clay in the Arable Layer of Some Polish Soils. In Sustainable Land Management-Environmental Protection—A Soil Physical Approach; Advances in GeoEcology; Catena Verlag: Reiskirchen, Germany, 2002. [Google Scholar]
- Dexter, A.R.; Richard, G.; Czyz, E.A.; Davy, J.; Hardy, M.; Duval, O. Clay Dispersion from Soil as a Function of Antecedent Water Potential. Soil Sci. Soc. Am. J. 2011, 75, 444–455. [Google Scholar] [CrossRef]
- Gajda, A.M.; Czyż, E.A.; Dexter, A.R.; Furtak, K.M.; Grządziel, J.; Stanek-Tarkowska, J. Effects of Different Soil Management Practices on Soil Properties and Microbial Diversity. Int. Agrophys. 2018, 32, 81–91. [Google Scholar] [CrossRef]
- Ditzler, C.; Scheffe, K.; Monger, H.C. (Eds.) USDA Handbook 18; Government Printing Office: Washington, DC, USA, 2017; Volume 18.
- Stanek-Tarkowska, J.; Pastuszczak, M.; Szpunar-Krok, E.; Kačániová, M.; Kluz, M.I.; Czyż, E.A.; Pieniążek, R.; Skrobacz, K.; Pietrzyk, K. Comparison of the Effect of Fertilization with Ash from Wood Chips on Bacterial Community in Podzolic and Chernozem Soils for the Cultivation of Winter Oilseed Rape: A Preliminary Study. Agronomy 2022, 12, 576. [Google Scholar] [CrossRef]
- Czyż, E.A.; Dexter, A.R. Soil Physical Properties under Winter Wheat Grown with Different Tillage Systems at Selected Locations. Int. Agrophysics 2008, 22, 191–200. [Google Scholar]
- Kutílek, M. Soil Hydraulic Properties as Related to Soil Structure. Soil Till. Res 2004, 79, 175–184. [Google Scholar] [CrossRef]
- Asgarzadeh, H.; Mosaddeghi, M.R.; Mahboubi, A.A.; Nosrati, A.; Dexter, A.R. Soil Water Availability for Plants as Quantified by Conventional Available Water, Least Limiting Water Range and Integral Water Capacity. Plant Soil 2010, 335, 229–244. [Google Scholar] [CrossRef]
- White, R.E. Principles and Practice of Soil Science: The Soil as a Natural Resource, 4th ed.; Wiley-Blackwell: Chichester, UK, 2005; ISBN 9780632064557. [Google Scholar]
- Sławiński, C.; Cymerman, J.; Witkowska-Walczak, B.; Lamorski, K. Impact of Diverse Tillage on Soil Moisture Dynamics. Int. Agrophys 2012, 26, 301–309. [Google Scholar] [CrossRef]
- Gajda, A.M.; Czyż, E.A.; Stanek-Tarkowska, J.; Dexter, A.R.; Furtak, K.M.; Grządziel, J. Effects of Long-Term Tillage Practices on the Quality of Soil under Winter Wheat. Plant Soil Environ 2017, 63, 236–242. [Google Scholar] [CrossRef]
- Pereira, M.T.J.; Da Silva, T.J.A.; Bonfim-Silva, E.M. Soil Water Content and Wood Ash Fertiliza-Tion on the Cultivation of Gladiolus. Rev. Bras. Eng. Agrícola Ambient. 2016, 20, 350–356. [Google Scholar] [CrossRef][Green Version]
- Reynolds, W.D.; Drury, C.F.; Yang, X.M.; Tan, C.S. Optimal Soil Physical Quality Inferred through Structural Regression and Parameter Interactions. Geoderma 2008, 146, 466–474. [Google Scholar] [CrossRef]
- Lipiec, J.; Arvidsson, J.; Murer, E. Review of Modeling Crop Growth, Movement of Water and Chemicals in Relation to Topsoil and Subsoil Compaction. Soil Till. Res 2003, 73, 15–29. [Google Scholar] [CrossRef]
- Assouline, S. Modelling the Relationship between Soil Bulk Density and the Water Retention Curve. Vadose Zone J. 2006, 5, 554–563. [Google Scholar] [CrossRef]
- Lipiec, J.; Håkansson, I. Influences of Degree of Compactness and Matric Water Tension on Some Important Plant Growth Factors. Soil Tillage Res. 2000, 53, 87–94. [Google Scholar] [CrossRef]
- Lipiec, J.; Hatano, R. Quantification of Compaction Effects on Soil Physical Properties and Crop Growth. Geoderma 2003, 116, 107–136. [Google Scholar] [CrossRef]
- Gliński, J.; Lipiec, J. Soil Physical Conditions and Plant Roots; CRC Press: Boca Raton, FL, USA, 2018; ISBN 9781315897608. [Google Scholar]
- Szatanik-Kloc, A.; Horn, R.; Lipiec, J.; Siczek, A.; Szerement, J. Soil Compaction-Induced Changes of Physicochemical Properties of Cereal Roots. Soil Tillage Res. 2018, 175, 226–233. [Google Scholar] [CrossRef]
- Fabiola, N.; Giarola, B.; da Silva, A.P.; Imhoff, S.; Dexter, A.R. Contribution of Natural Soil Compaction on Hardsetting Behavior. Geoderma 2003, 113, 95–108. [Google Scholar] [CrossRef]
- Greene, W.D.; Stuart, W.B. Skidder and Tire Size Effects on Soil Compaction. South. J. Appl. For. 1985, 9, 154–157. [Google Scholar] [CrossRef]





| Depth (cm) | Sand 0.05–2.0 mm | Silt 0.002–0.05 mm | Clay <0.002 mm |
|---|---|---|---|
| 0–5 | 50 | 46 | 4 |
| 5–10 | 52 | 43 | 5 |
| 10–15 | 50 | 47 | 3 |
| 15–20 | 46 | 51 | 3 |
| 20–25 | 52 | 45 | 3 |
| 30–35 | 51 | 46 | 3 |
| Fertilizer | Content of Pure Component in 100 kg of Fertilizer | Dose (kg/L per 1 ha) | Fertilization Term | |
|---|---|---|---|---|
| Fertilizer | Pure Component | |||
| Ash from biomass combustion | 1.63% P (3.73 kg P); 19.4% K (23.37 kg K); 4.96% Mg (8.22 kg Mg) | Varies according to experiment variant | 30.08.2018 29.08.2019 25.08.2020 | |
| Monoammonium phosphate (MAP) NH4H2PO4 (12% N-NH4, 52% P2O5, 22.7% P) | 22.7 kg P | 150 | 34 | 30.08.2018 (all plots) 29.08.2019 (all plots) 25.08.2020 (all plots) |
| 12 kg N | 18 | |||
| Potassium salt (60%) | 60 kg K | 175 | 105 | 30.08.2018 (NPK plots only) 29.08.2019 (NPK plots only) 28.08.2020 (NPK plots only) |
| RSM® 32% N (ammonium urea nitrate, water solution, density 1.32 kg/dcm3) | 42.2 kg N (32 × 1.32) | 150 | 63.3 | 4.03.2019 10.03.2020 15.03.2021 |
| pH H2O | EC µS·cm−1 | Ca (mg kg−1) | K (mg kg−1) | Na (mg kg−1) | P (mg kg−1) |
|---|---|---|---|---|---|
| 12.82 | 8.81 | 145.081 | 129.617 | 1452 | 9244 |
Publisher’s Note: MDPI stays neutral with regard to jurisdictional claims in published maps and institutional affiliations. |
© 2022 by the authors. Licensee MDPI, Basel, Switzerland. This article is an open access article distributed under the terms and conditions of the Creative Commons Attribution (CC BY) license (https://creativecommons.org/licenses/by/4.0/).
Share and Cite
Stanek-Tarkowska, J.; Czyż, E.A.; Pastuszczak, M.; Skrobacz, K. The Impact of Using Different Doses of Biomass Ash on Some Physical Properties of Podzolic Soil under the Cultivation of Winter Oilseed Rape. Int. J. Environ. Res. Public Health 2022, 19, 6693. https://doi.org/10.3390/ijerph19116693
Stanek-Tarkowska J, Czyż EA, Pastuszczak M, Skrobacz K. The Impact of Using Different Doses of Biomass Ash on Some Physical Properties of Podzolic Soil under the Cultivation of Winter Oilseed Rape. International Journal of Environmental Research and Public Health. 2022; 19(11):6693. https://doi.org/10.3390/ijerph19116693
Chicago/Turabian StyleStanek-Tarkowska, Jadwiga, Ewa Antonina Czyż, Miłosz Pastuszczak, and Karol Skrobacz. 2022. "The Impact of Using Different Doses of Biomass Ash on Some Physical Properties of Podzolic Soil under the Cultivation of Winter Oilseed Rape" International Journal of Environmental Research and Public Health 19, no. 11: 6693. https://doi.org/10.3390/ijerph19116693
APA StyleStanek-Tarkowska, J., Czyż, E. A., Pastuszczak, M., & Skrobacz, K. (2022). The Impact of Using Different Doses of Biomass Ash on Some Physical Properties of Podzolic Soil under the Cultivation of Winter Oilseed Rape. International Journal of Environmental Research and Public Health, 19(11), 6693. https://doi.org/10.3390/ijerph19116693

