Effects of COVID-19 Restriction Policies on Urban Heat Islands in Some European Cities: Berlin, London, Paris, Madrid, and Frankfurt
Abstract
1. Introduction
- Increased anthropogenic heat release
- Heat release resulting from energy consumption in urban areas
- Changes in surface cover
- Reduced surface evapotranspiration capacity due to less green area
- The heat storage effect of construction materials such as concrete and asphalt
- Urban structure
- Heat stagnation due to densely packed buildings
- Expansion of urban areas
- Other
- The greenhouse effects of fine-particulate air pollution in the urban atmosphere
2. Study Settings
3. Materials and Methods
3.1. Data
3.1.1. Nighttime Urban Heat Island (NUHI) and Nighttime Land Surface Temperature (NLST)
3.1.2. UHI Intensity
3.1.3. Nitrogen Dioxide (NO2)
3.1.4. Nighttime Lights
3.2. Analysis Method
4. Result
4.1. Difference in Averages NLST in 2019 and 2020
4.2. Difference in Average NUHI in 2019 and 2020
5. Discussion
6. Conclusions
Author Contributions
Funding
Institutional Review Board Statement
Informed Consent Statement
Conflicts of Interest
References
- IPCC. Climate Change 2022: Impacts, Adaptation, and Vulnerability. In Contribution of Working Group II to the Sixth Assessment Report of the Intergovernmental Panel on Climate Change; Pörtner, H.-O., Roberts, D.C., Tignor, M., Poloczanska, E.S., Mintenbeck, K., Alegría, A., Craig, M., Langsdorf, S., Löschke, S., Möller, V., et al., Eds.; Cambridge University Press: Cambridge, UK, 2020; in press. [Google Scholar]
- Taha, H. Meteorological, air-quality, and emission-equivalence impacts of urban heat island control in California. Sustain. Cities Soc. 2015, 19, 207–221. [Google Scholar] [CrossRef]
- Doan, V.Q.; Kusaka, H. Projections of urban climate in the 2050s in a fast-growing city in Southeast Asia: The greater Ho Chi Minh City metropolitan area, Vietnam. Int. J. Climatol. 2018, 38, 4155–4171. [Google Scholar] [CrossRef]
- Li, H.; Wolter, M.; Wang, X.; Sodoudi, S. Impact of land cover data on the simulation of urban heat island for Berlin using WRF coupled with bulk approach of Noah-LSM. Theor. Appl. Climatol. 2018, 134, 67–81. [Google Scholar] [CrossRef]
- Yamamoto, Y. Measures to mitigate urban heat islands. Quaterly Rev. 2006, 18, 1–19. [Google Scholar]
- Safarrad, T.; Mansourinia, M.; Entezami, H. Radiation balance and urban land use (case study: Kermanshah city). J. Appl. Res. Geogr. Sci. 2019, 19, 217–232. [Google Scholar] [CrossRef][Green Version]
- Chow, W.; Dawson, R.; Glavovic, B.; Haasnoot, M.; Pelling, M.; Solecki, W. IPCC Sixth Assessment Report (AR6): Climate Change 2022-Impacts. In Adaptation and Vulnerability: Factsheet Human Settlements; Cambridge University Press: Cambridge, UK, 2022; in press; Available online: https://policycommons.net/artifacts/2264360/ipcc_ar6_wgii_factsheet_humansettlements/3023414/ (accessed on 23 April 2022).
- Horton, R.M.; Mankin, J.S.; Lesk, C.; Coffel, E.; Raymond, C. A Review of Recent Advances in Research on Extreme Heat Events. Curr. Clim. Chang. Rep. 2016, 2, 242–259. [Google Scholar] [CrossRef]
- Zhao, L.; Oppenheimer, M.; Zhu, Q.; Baldwin, J.W.; Ebi, K.L.; Bou-Zeid, E.; Guan, K.; Liu, X. Interactions between urban heat islands and heat waves. Environ. Res. Lett. 2018, 13, 034003. [Google Scholar] [CrossRef]
- García-Herrera, R.; Díaz, J.; Trigo, R.M.; Luterbacher, J.; Fischer, E.M. A Review of the European Summer Heat Wave of 2003. Crit. Rev. Environ. Sci. Technol. 2010, 40, 267–306. [Google Scholar] [CrossRef]
- Patz, J.A.; Campbell-Lendrum, D.; Holloway, T.; Foley, J.A. Impact of regional climate change on human health. Nature 2005, 438, 310–317. [Google Scholar] [CrossRef]
- Huang, J.M.; Chang, H.Y.; Wang, Y.S. Spatiotemporal Changes in the Built Environment Characteristics and Urban Heat Island Effect in a Medium-Sized City, Chiayi City, Taiwan. Sustainability 2020, 12, 365. [Google Scholar] [CrossRef]
- You, M.; Lai, R.; Lin, J.; Zhu, Z. Quantitative Analysis of a Spatial Distribution and Driving Factors of the Urban Heat Island Effect: A Case Study of Fuzhou Central Area, China. Int. J. Environ. Res. Public Health 2021, 18, 13088. [Google Scholar] [CrossRef] [PubMed]
- Habibi, K.; Hoseini, S.M.; Dehshti, M.; Khanian, M.; Mosavi, A. The Impact of Natural Elements on Environmental Comfort in the Iranian-Islamic Historical City of Isfahan. Int. J. Environ. Res. Public Health 2020, 17, 5776. [Google Scholar] [CrossRef] [PubMed]
- World Bank. Analysis of Heat Waves and Urban Heat Island Effects in Central European Cities and Implications for Urban Planning; World Bank: Washington, DC, USA, 2020. [Google Scholar]
- Howard, L. The climate of London: Deduced from Meteorological Observations Made in the Metropolis and at Various Places around it (Volume 3); Joseph Rickerry Printrer: London, UK, 1833. [Google Scholar]
- Oke, T.R. City size and the urban heat island. Atmos. Environ. 1973, 7, 769–779. [Google Scholar] [CrossRef]
- Oke, T.R. The distinction between canopy and boundary-layer urban heat islands. Atmosphere 1976, 14, 268–277. [Google Scholar] [CrossRef]
- Oke, T.R. The energetic basis of the urban heat island. Q. J. R. Meteorol. Soc. 1982, 108, 1–24. [Google Scholar] [CrossRef]
- Oke, T.R. Methods in urban climatology. Appl. Climatol. 1984, 14, 19–29. [Google Scholar]
- Ramamurthy, P.; Li, D.; Bou-Zeid, E. High-resolution simulation of heatwave events in New York City. Theor. Appl. Climatol. 2017, 128, 89–102. [Google Scholar] [CrossRef]
- Chandler, T.J. London’s urban climate. Geogr. J. 1962, 128, 279–298. [Google Scholar] [CrossRef]
- Quan, J. Multi-Temporal Effects of Urban Forms and Functions on Urban Heat Islands Based on Local Climate Zone Classification. Int. J. Environ. Res. Public Health 2019, 16, 2140. [Google Scholar] [CrossRef]
- Xu, J.; Zhao, Y.; Sun, C.; Liang, H.; Yang, J.; Zhong, K.; Li, Y.; Liu, X. Exploring the Variation Trend of Urban Expansion, Land Surface Temperature, and Ecological Quality and Their Interrelationships in Guangzhou, China, from 1987 to 2019. Remote Sens. 2021, 13, 1019. [Google Scholar] [CrossRef]
- Wong, M.S.; Nichol, J.E. Spatial variability of frontal area index and its relationship with urban heat island intensity. Int. J. Remote Sens. 2013, 34, 885–896. [Google Scholar] [CrossRef]
- Naserikia, M.; Asadi Shamsabadi, E.; Rafieian, M.; Leal Filho, W. The Urban Heat Island in an Urban Context: A Case Study of Mashhad, Iran. Int. J. Environ. Res. Public Health 2019, 16, 313. [Google Scholar] [CrossRef]
- Wang, C.; Myint, S.W.; Wang, Z.; Song, J. Spatio-temporal modeling of the urban heat island in the Phoenix metropolitan area: Land use change implications. Remote Sens. 2016, 8, 185. [Google Scholar] [CrossRef]
- Ermida, S.L.; Soares, P.; Mantas, V.; Göttsche, F.M.; Trigo, I.F. Google earth engine open-source code for land surface temperature estimation from the landsat series. Remote Sens. 2020, 12, 1471. [Google Scholar] [CrossRef]
- Li, N.; Yang, J.; Qiao, Z.; Wang, Y.; Miao, S. Urban Thermal Characteristics of Local Climate Zones and Their Mitigation Measures across Cities in Different Climate Zones of China. Remote Sens. 2021, 13, 1468. [Google Scholar] [CrossRef]
- Holderness, T.; Barr, S.; Dawson, R.; Hall, J. An evaluation of thermal Earth observation for characterizing urban heatwave event dynamics using the urban heat island intensity metric. Int. J. Remote Sens. 2013, 34, 864–884. [Google Scholar] [CrossRef]
- Weng, Q.; Rajasekar, U.; Hu, X. Modeling urban heat islands and their relationship with impervious surface and vegetation abundance by using ASTER images. IEEE Trans. Geosci. Remote Sens. 2011, 49, 4080–4089. [Google Scholar] [CrossRef]
- Manoli, G.; Fatichi, S.; Schläpfer, M.; Yu, K.; Crowther, T.W.; Meili, N.; Burlando, P.; Katul, G.G.; Bou-Zeid, E. Magnitude of urban heat islands largely explained by climate and population. Nature 2019, 573, 55–60. [Google Scholar] [CrossRef]
- Zhang, X.; Wang, D.; Hao, H.; Zhang, F.; Hu, Y. Effects of Land Use/Cover Changes and Urban Forest Configuration on Urban Heat Islands in a Loess Hilly Region: Case Study Based on Yan’an City, China. Int. J. Environ. Res. Public Health 2017, 14, 840. [Google Scholar] [CrossRef]
- Huang, Q.; Lu, Y. The Effect of Urban Heat Island on Climate Warming in the Yangtze River Delta Urban Agglomeration in China. Int. J. Environ. Res. Public Health 2015, 12, 8773–8789. [Google Scholar] [CrossRef]
- Ha, J.; Choi, Y.; Lee, S.; Oh, K. Diurnal and Seasonal Variations in the Effect of Urban Environmental Factors on Air Temperature: A Consecutive Regression Analysis Approach. Int. J. Environ. Res. Public Health 2020, 17, 421. [Google Scholar] [CrossRef]
- Heo, S.; Nori-Sarma, A.; Lee, K.; Benmarhnia, T.; Dominici, F.; Bell, M.L. The Use of a Quasi-Experimental Study on the Mortality Effect of a Heat Wave Warning System in Korea. Int. J. Environ. Res. Public Health 2019, 16, 2245. [Google Scholar] [CrossRef]
- Zhao, X.; Huang, J.; Ye, H.; Wang, K.; Qiu, Q. Spatiotemporal changes of the urban heat island of a coastal city in the context of urbanisation. Int. J. Sustain. Dev. World Ecol. 2010, 17, 311–316. [Google Scholar] [CrossRef]
- Bokaie, M.; Zarkesh, M.K.; Arasteh, P.D.; Hosseini, A. Assessment of urban heat island based on the relationship between land surface temperature and land use/land cover in Tehran. Sustain. Cities Soc. 2016, 23, 94–104. [Google Scholar] [CrossRef]
- Mirzaei, P.A.; Haghighat, F.; Nakhaie, A.A.; Yagouti, A.; Giguère, M.; Keusseyan, R.; Coman, A. Indoor thermal condition in urban heat Island–development of a predictive tool. Build. Environ. 2012, 57, 7–17. [Google Scholar] [CrossRef]
- As-syakur, A.; Adnyana, I.; Arthana, I.W.; Nuarsa, I.W. Enhanced built-up and bareness index (EBBI) for mapping built-up and bare land in an urban area. Remote Sens. 2012, 4, 2957–2970. [Google Scholar] [CrossRef]
- Mobasheri, M.R.; Amani, M. Soil moisture content assessment based on Landsat 8 red, near-infrared, and thermal channels. J. Appl. Remote Sens. 2016, 10, 026011. [Google Scholar] [CrossRef]
- Wang, L.; Wang, J.; Qin, F. Feature Fusion Approach for Temporal Land Use Mapping in Complex Agricultural Areas. Remote Sens. 2021, 13, 2517. [Google Scholar] [CrossRef]
- Chu, L.; Oloo, F.; Bergstedt, H.; Blaschke, T. Assessing the Link between Human Modification and Changes in Land Surface Temperature in Hainan, China Using Image Archives from Google Earth Engine. Remote Sens. 2020, 12, 888. [Google Scholar] [CrossRef]
- Hellings, A.; Rienow, A. Mapping Land Surface Temperature Developments in Functional Urban Areas across Europe. Remote Sens. 2021, 13, 2111. [Google Scholar] [CrossRef]
- Zhang, Y.; Balzter, H.; Li, Y. Influence of Impervious Surface Area and Fractional Vegetation Cover on Seasonal Urban Surface Heating/Cooling Rates. Remote Sens. 2021, 13, 1263. [Google Scholar] [CrossRef]
- Yan, H.; Wang, K.; Lin, T.; Zhang, G.; Sun, C.; Hu, X.; Ye, H. The Challenge of the Urban Compact Form: Three-Dimensional Index Construction and Urban Land Surface Temperature Impacts. Remote Sens. 2021, 13, 1067. [Google Scholar] [CrossRef]
- Lawrence, D.M.; Hurtt, G.C.; Arneth, A.; Brovkin, V.; Calvin, K.V.; Jones, A.D.; Jones, C.D.; Lawrence, P.J.; de Noblet-Ducoudré, N.; Pongratz, J.; et al. The Land Use Model Intercomparison Project (LUMIP) contribution to CMIP6: Rationale and experimental design. Geosci. Model Dev. 2016, 9, 2973–2998. [Google Scholar] [CrossRef]
- World Health Organization. 2020. Available online: https://www.who.int/director-general/speeches/detail/who-director-general-s-opening-remarks-at-the-media-briefing-on-covid-19 (accessed on 11 March 2020).
- Malliet, P.; Reynès, F.; Landa, G.; Hamdi-Cherif, M.; Saussay, A. Assessing short-term and long-term economic and environmental effects of the COVID-19 crisis in France. Environ. Resour. Econ. 2020, 76, 867–883. [Google Scholar] [CrossRef]
- Tardivo, A.; Martín, C.S.; Zanuy, A.C. COVID-19 impact in transport: An essay from the railways’ system research perspective. EURNEX. European Rail Research Network of Excellence 2020. Available online: http://www.eurnex.org/wp-content/uploads/2020/05/Covid-19_Rail_Final_EURNEX.pdf (accessed on 15 October 2021).
- Asensio, C.; Pavón, I.; De Arcas, G. Changes in noise levels in the city of Madrid during COVID-19 lockdown in 2020. J. Acoust. Soc. Am. 2020, 148, 1748–1755. [Google Scholar] [CrossRef]
- Rumpler, R.; Venkataraman, S.; Göransson, P. An observation of the impact of COVID-19 recommendation measures monitored through urban noise levels in central Stockholm, Sweden. Sustain. Cities Soc. 2020, 63, 102469. [Google Scholar] [CrossRef]
- Rutz, C.; Loretto, M.C.; Bates, A.E.; Davidson, S.C.; Duarte, C.M.; Jetz, W.; Kato, A.; Kays, R.; Mueller, T.; Primack, R.B. COVID-19 lockdown allows researchers to quantify the effects of human activity on wildlife. Nat. Ecol. Evol. 2020, 4, 1156–1159. [Google Scholar] [CrossRef]
- Restrepo, C.E. Nitrogen Dioxide, Greenhouse Gas Emissions and Transportation in Urban Areas: Lessons from the COVID-19 Pandemic. Front. Environ. Sci. 2021, 9, 1–7. [Google Scholar] [CrossRef]
- Eroğlu, H. Effects of Covid-19 outbreak on environment and renewable energy sector. Environ. Dev. Sustain. 2021, 23, 4782–4790. [Google Scholar] [CrossRef]
- Le Quéré, C.; Jackson, R.B.; Jones, M.W.; Smith, A.J.; Abernethy, S.; Andrew, R.M.; De-Gol, A.J.; Willis, D.R.; Shan, Y.; Canadell, J.G.; et al. Temporary reduction in daily global CO2 emissions during the COVID-19 forced confinement. Nat. Clim. Chang. 2020, 10, 647–653. [Google Scholar] [CrossRef]
- Global Carbon Project. Global Carbon Budget 2020. Available online: https://www.globalcarbonproject.org/carbonbudget/index.htm (accessed on 15 October 2021).
- Bikomeye, J.C.; Namin, S.; Anyanwu, C.; Rublee, C.S.; Ferschinger, J.; Leinbach, K.; Lindquist, P.; Hoppe, A.; Hoffman, L.; Hegarty, J.; et al. Resilience and Equity in a Time of Crises: Investing in Public Urban Greenspace Is Now More Essential Than Ever in the US and Beyond. Int. J. Environ. Res. Public Health 2021, 18, 8420. [Google Scholar] [CrossRef]
- Zambrano-Monserrate, M.A.; Ruano, M.A.; Sanchez-Alcalde, L. Indirect effects of COVID-19 on the environment. Sci. Total Environ. 2020, 728, 138813. [Google Scholar] [CrossRef]
- Forster, P.M.; Forster, H.I.; Evans, M.J.; Gidden, M.J.; Jones, C.D.; Keller, C.A.; Lamboll, R.D.; Le Quéré, C.; Rogelj, J.; Rosen, D.; et al. Current and future global climate impacts resulting from COVID-19. Nat. Clim. Chang. 2020, 10, 913–919. [Google Scholar] [CrossRef]
- Wan, Z.; Hook, S.; Hulley, G. MOD11A2 MODIS/Terra Land Surface Temperature/Emissivity 8-Day L3 Global 1 km SIN Grid V006 [Data set]. NASA EOSDIS Land Processes DAAC 2015. Available online: https://doi.org/10.5067/MODIS/MOD11A2.006 (accessed on 28 September 2021).
- Runnalls, K.E.; Oke, T.R. Dynamics and controls of the near-surface heat island of Vancouver, British Columbia. Phys. Geogr. 2000, 21, 283–304. [Google Scholar] [CrossRef]
- Van Hove, L.W.A.; Jacobs, C.M.J.; Heusinkveld, B.G.; Elbers, J.A.; Van Driel, B.L.; Holtslag, A.A.M. Temporal and spatial variability of urban heat island and thermal comfort within the Rotterdam agglomeration. Build. Environ. 2015, 83, 91–103. [Google Scholar] [CrossRef]
- Stewart, I.D.; Krayenhoff, E.S.; Voogt, J.A.; Lachapelle, J.A.; Allen, M.A.; Broadbent, A.M. Time Evolution of the Surface Urban Heat Island. Earth’s Future 2021, 9, e2021EF002178. [Google Scholar] [CrossRef]
- Buchhorn, M.; Lesiv, M.; Tsendbazar, N.E.; Herold, M.; Bertels, L.; Smets, B. Copernicus global land cover layers—Collection 2. Remote Sens. 2020, 12, 1044. [Google Scholar] [CrossRef]
- Elvidge, C.D.; Hsu, F.C.; Zhizhin, M.; Ghosh, T.; Taneja, J.; Bazilian, M. Indicators of electric power instability from satellite observed nighttime lights. Remote Sens. 2020, 12, 3194. [Google Scholar] [CrossRef]
- Chakraborty, T.C.; Sarangi, C.; Lee, X. Reduction in human activity can enhance the urban heat island: Insights from the COVID-19 lockdown. Environ. Res. Lett. 2021, 16, 054060. [Google Scholar] [CrossRef]
- Ali, G.; Abbas, S.; Qamer, F.M.; Wong, M.S.; Rasul, G.; Irteza, S.M.; Shahzad, N. Environmental impacts of shifts in energy, emissions, and urban heat island during the COVID-19 lockdown across Pakistan. J. Clean. Prod. 2021, 291, 125806. [Google Scholar] [CrossRef]
- Teufel, B.; Sushama, L.; Poitras, V.; Dukhan, T.; Bélair, S.; Miranda-Moreno, L.; Sun, L.; Sasmito, A.P.; Bitsuamlak, G. Impact of COVID-19-Related Traffic Slowdown on Urban Heat Characteristics. Atmosphere 2021, 12, 243. [Google Scholar] [CrossRef]
- Zhu, R.; Wong, M.S.; Guilbert, E.; Chan, P. Understanding heat patterns produced by vehicular flows in urban areas. Sci. Rep. 2017, 7, 16309. [Google Scholar] [CrossRef]
- Li, H.; Meier, F.; Lee, X.; Chakraborty, T.; Liu, J.; Schaap, M.; Sodoudi, S. Interaction between urban heat island and urban pollution island during summer in Berlin. Sci. Total Environ. 2018, 636, 818–828. [Google Scholar] [CrossRef]
- Cao, C.; Lee, X.; Liu, S.; Schultz, N.; Xiao, W.; Zhang, M.; Zhao, L. Urban heat islands in China enhanced by haze pollution. Nat. Commun. 2016, 7, 12509. [Google Scholar] [CrossRef]
- Rawal, V.; Kumar, M.; Verma, A.; Pais, J. COVID-19 lockdown: Impact on agriculture and rural economy. Soc. Soc. Econ. Res. 2020, 13, 34. [Google Scholar]
- Bera, B.; Bhattacharjee, S.; Shit, P.K.; Sengupta, N.; Saha, S. Significant impacts of COVID-19 lockdown on urban air pollution in Kolkata (India) and amelioration of environmental health. Environ. Dev. Sustain. 2021, 23, 6913–6940. [Google Scholar] [CrossRef]
- Ranjan, A.K.; Patra, A.K.; Gorai, A.K. Effect of lockdown due to SARS COVID-19 on aerosol optical depth (AOD) over urban and mining regions in India. Sci. Total Environ. 2020, 745, 141024. [Google Scholar] [CrossRef]
- Li, L.; Li, Q.; Huang, L.; Wang, Q.; Zhu, A.; Xu, J.; Liu, Z.; Li, H.; Shi, L.; Li, R.; et al. Air quality changes during the COVID19 lockdown over the Yangtze River Delta Region: An insight into the impact of human activity pattern changes on air pollution variation. Sci. Total Environ. 2020, 732, 139282. [Google Scholar] [CrossRef]
- NASA. 2020. Available online: https://doi.org/10.1016/j.envpol.2020.114280 (accessed on 15 October 2021).
- ESA (2020a). Available online: https://www.esa.int/Applications/Observing_the_Earth/Copernicus/Sentinel-5P/COVID-19_nitrogen_dioxide_over_China (accessed on 15 October 2021).
- Gautam, S. COVID-19: Air pollution remains low as people stay at home. Air Qual. Atmos. Health 2020, 13, 853–857. [Google Scholar] [CrossRef]
- Gautam, S. The infuence of COVID-19 on air quality in India: A boon or inutile. Bull. Environ. Contam. Toxicol. 2020, 104, 724–726. [Google Scholar] [CrossRef]
- Kerimray, A.; Baimatova, N.; Ibragimova, O.P.; Bukenov, B.; Kenessov, B.; Plotitsyn, P.; Karaca, F. Assessing air quality changes in large cities during COVID-19 lockdowns: The impacts of trafcfree urban conditions in Almaty, Kazakhstan. Sci. Total Environ. 2020, 730, 139179. [Google Scholar] [CrossRef]
- Zheng, Z.; Yang, Z.; Wu, Z.; Marinello, F. Spatial variation of NO2 and its impact factors in China: An application of sentinel-5P products. Rem. Sens. 2019, 11, 1939. [Google Scholar] [CrossRef]
- Isaifan, R.J. The dramatic impact of Coronavirus outbreak on air quality: Has it saved as much as it has killed so far? Glob. J. Environ. Sci. Manag. 2020, 6, 275e288. [Google Scholar] [CrossRef]
- Zhang, R.; Zhang, Y.; Lin, H.; Feng, X.; Fu, T.; Wang, Y. NOx emission reduction and recovery during COVID-19 in east China. Atmosphere 2020, 11, 433. [Google Scholar] [CrossRef]
- ESA, 2020b. Available online: https://www.esa.int/Applications/Observing_the_Earth/Copernicus/Sentinel-5P/Coronavirus_lockdown_leading_to_drop_in_pollution_across_Europe (accessed on 15 October 2021).




















| Urban | Paired Differences | t | df | Sig. (2-Tailed) | ||||
|---|---|---|---|---|---|---|---|---|
| Mean | Std. Deviation | Std. Error Mean | 95% Confidence Interval of the Difference | |||||
| Lower | Upper | |||||||
| Berlin | −0.93 | 0.52 | 0.02 | −0.97 | −0.90 | −49.167 | 740 | 0.000 |
| Frankfurt | −0.07 | 0.42 | 0.04 | −0.14 | 0.00 | −2.104 | 141 | 0.037 |
| London | 0.56 | 0.50 | 0.01 | 0.54 | 0.59 | 48.342 | 1842 | 0.000 |
| Madrid | −1.67 | 0.67 | 0.05 | −1.77 | −1.57 | −34.192 | 188 | 0.000 |
| Paris | 1.03 | 0.43 | 0.01 | 1.00 | 1.05 | 79.849 | 1127 | 0.000 |
| Urban | Paired Differences | t | df | Sig. (2-Tailed) | ||||
|---|---|---|---|---|---|---|---|---|
| Mean | Std. Deviation | Std. Error Mean | 95% Confidence Interval of the Difference | |||||
| Lower | Upper | |||||||
| Berlin | 0.39 | 0.55 | 0.02 | 0.35 | 0.43 | 19.226 | 740 | 0.000 |
| Frankfurt | −0.15 | 0.46 | 0.04 | −0.23 | −0.07 | −3.888 | 141 | 0.000 |
| London | −0.12 | 0.45 | 0.01 | −0.14 | −0.10 | −11.123 | 1842 | 0.000 |
| Madrid | −0.64 | 0.66 | 0.05 | −0.73 | −0.55 | −13.450 | 188 | 0.000 |
| Paris | −0.11 | 0.45 | 0.01 | −0.14 | −0.09 | −8.381 | 1127 | 0.000 |
| Urban | NLST | |
|---|---|---|
| 2019 | 2020 | |
| Berlin | 0.847 ** | 0.816 ** |
| Frankfurt | 0.772 ** | 0.843 ** |
| London | 0.885 ** | 0.922 ** |
| Madrid | 0.895 ** | 0.877 ** |
| Paris | 0.973 ** | 0.929 ** |
| Urban | <2 | >2 | ||
|---|---|---|---|---|
| 2019 | 2020 | 2019 | 2020 | |
| Berlin | 281 | 206 | 460 | 535 |
| Frankfurt | 87 | 87 | 55 | 55 |
| London | 591 | 743 | 1252 | 1100 |
| Madrid | 14 | 58 | 175 | 131 |
| Paris | 203 | 246 | 925 | 882 |
| Urban | Paired Differences | t | df | Sig. (2-Tailed) | ||||
|---|---|---|---|---|---|---|---|---|
| Mean | Std. Deviation | Std. Error Mean | 95% Confidence Interval of the Difference | |||||
| Lower | Upper | |||||||
| Berlin | −0.38 | 2.72 | 0.10 | −0.58 | −0.18 | −3.800 | 734 | 0.000 |
| Frankfurt | −0.82 | 6.79 | 0.58 | −1.97 | 0.33 | −1.411 | 136 | 0.160 |
| London | −0.78 | 3.31 | 0.08 | −0.94 | −0.63 | −10.056 | 1808 | 0.000 |
| Madrid | −2.37 | 5.75 | 0.42 | −3.19 | −1.54 | −5.645 | 187 | 0.000 |
| Paris | −2.32 | 4.67 | 0.14 | −2.59 | −2.04 | −16.476 | 1099 | 0.000 |
| Urban | Paired Differences | t | df | Sig. (2-Tailed) | ||||
|---|---|---|---|---|---|---|---|---|
| Mean | Std. Deviation | Std. Error Mean | 95% Confidence Interval of the Difference | |||||
| Lower | Upper | |||||||
| Berlin | −0.000014 | 0.000005 | 0.000000 | −0.000015 | −0.000014 | −79.711 | 740 | 0.000 |
| Frankfurt | −0.000046 | 0.000006 | 0.000000 | −0.000047 | −0.000045 | −93.970 | 141 | 0.000 |
| London | −0.000058 | 0.000018 | 0.000000 | −0.000059 | −0.000057 | −140.434 | 1842 | 0.000 |
| Madrid | −0.000058 | 0.000007 | 0.000001 | −0.000059 | −0.000057 | −107.355 | 188 | 0.000 |
| Paris | −0.000074 | 0.000014 | 0.000000 | −0.000075 | −0.000073 | −177.655 | 1127 | 0.000 |
| Urban | UHI | LST | NL | NO2 |
|---|---|---|---|---|
| Berlin | 0.39 | −0.93 | −0.38 | −0.000014 |
| Frankfurt | −0.15 | −0.07 | −0.82 | −0.000046 |
| London | −0.12 | 0.56 | −0.78 | −0.000058 |
| Madrid | −0.64 | −1.67 | −2.37 | −0.000058 |
| Paris | −0.11 | 1.03 | −2.32 | −0.000074 |
| Urban | NUHI | NLST | NL | NO |
|---|---|---|---|---|
| Amsterdam | 0.48 | −0.45 | 0.14 | −0.000031 |
| Barcelona | −0.54 | −0.83 | 14.51 | −0.000075 |
| Berlin | 0.39 | −0.93 | −0.44 | −0.000014 |
| Birmingham | −0.02 | 0.15 | 1.28 | −0.000050 |
| Bruxelles | 0.17 | 0.88 | −2.76 | −0.000054 |
| Dresden | 0.38 | −2.51 | 1.66 | −0.000008 |
| Dusseldorf | −0.49 | −0.54 | −0.90 | −0.000051 |
| Frankfurt Am Main | −0.13 | −0.07 | −1.80 | −0.000046 |
| Koln | −0.14 | −0.05 | −0.66 | −0.000058 |
| Lisboa | 0.01 | −1.13 | −15.35 | −0.000035 |
| London | −0.11 | 0.57 | −0.79 | −0.000058 |
| Madrid | −0.62 | −1.67 | −2.64 | −0.000058 |
| Manchester | 0.27 | 1.13 | −1.42 | −0.000032 |
| Paris | −0.11 | 1.03 | −2.55 | −0.000074 |
| Torino | −0.28 | 1.57 | −4.28 | −0.000051 |
| NLST | NL | NO2 | ||
|---|---|---|---|---|
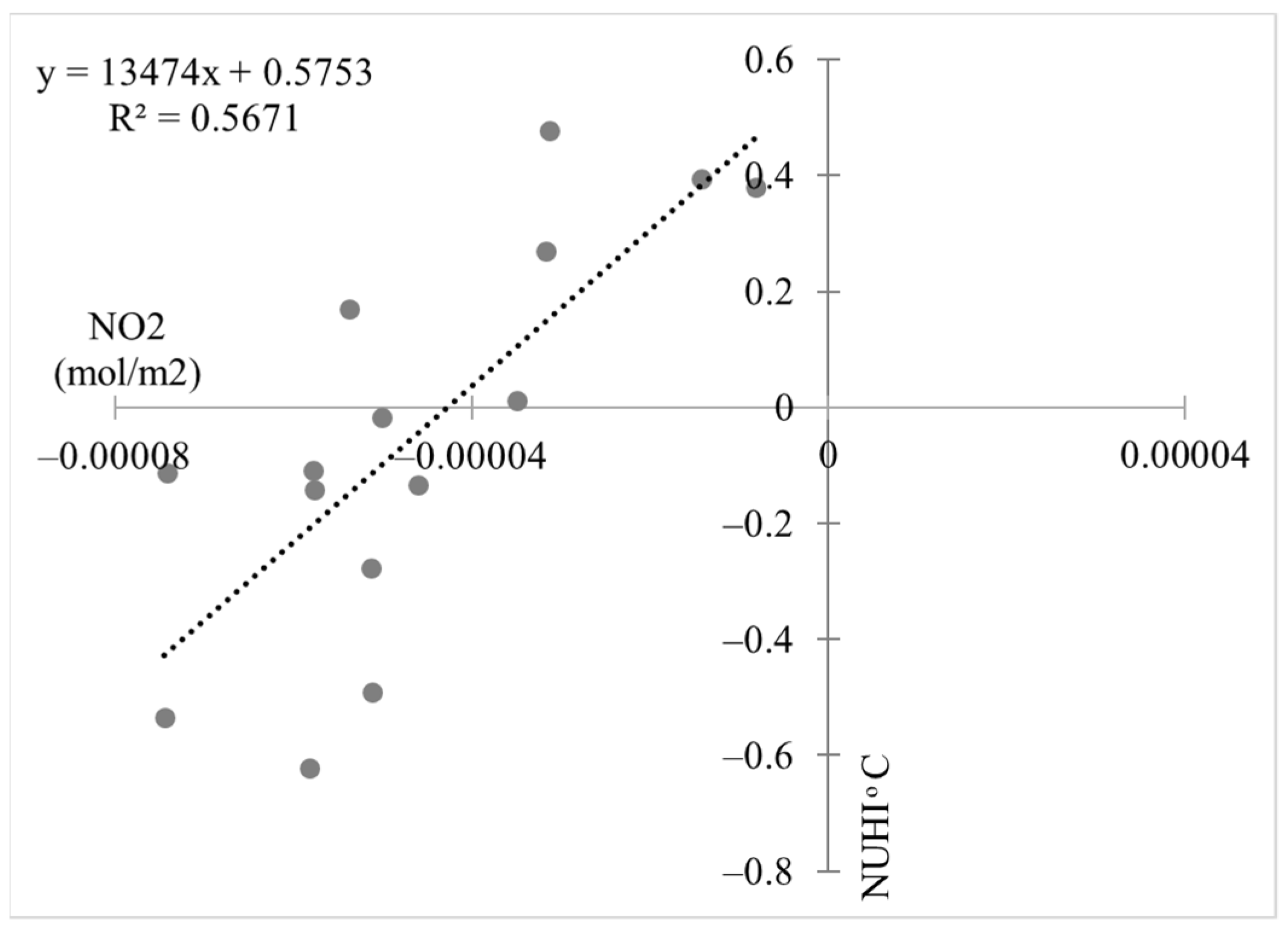
| NUHI | Pearson Correlation | 0.228 | −0.215 | 0.701 ** |
| Sig. (2-tailed) | 0.395 | 0.423 | 0.002 | |
| NLST | Pearson Correlation | −0.158 | −0.335 | |
| Sig. (2-tailed) | 0.560 | 0.205 | ||
| NL | Pearson Correlation | −0.255 | ||
| Sig. (2-tailed) | 0.340 |
Publisher’s Note: MDPI stays neutral with regard to jurisdictional claims in published maps and institutional affiliations. |
© 2022 by the authors. Licensee MDPI, Basel, Switzerland. This article is an open access article distributed under the terms and conditions of the Creative Commons Attribution (CC BY) license (https://creativecommons.org/licenses/by/4.0/).
Share and Cite
Safarrad, T.; Ghadami, M.; Dittmann, A. Effects of COVID-19 Restriction Policies on Urban Heat Islands in Some European Cities: Berlin, London, Paris, Madrid, and Frankfurt. Int. J. Environ. Res. Public Health 2022, 19, 6579. https://doi.org/10.3390/ijerph19116579
Safarrad T, Ghadami M, Dittmann A. Effects of COVID-19 Restriction Policies on Urban Heat Islands in Some European Cities: Berlin, London, Paris, Madrid, and Frankfurt. International Journal of Environmental Research and Public Health. 2022; 19(11):6579. https://doi.org/10.3390/ijerph19116579
Chicago/Turabian StyleSafarrad, Taher, Mostafa Ghadami, and Andreas Dittmann. 2022. "Effects of COVID-19 Restriction Policies on Urban Heat Islands in Some European Cities: Berlin, London, Paris, Madrid, and Frankfurt" International Journal of Environmental Research and Public Health 19, no. 11: 6579. https://doi.org/10.3390/ijerph19116579
APA StyleSafarrad, T., Ghadami, M., & Dittmann, A. (2022). Effects of COVID-19 Restriction Policies on Urban Heat Islands in Some European Cities: Berlin, London, Paris, Madrid, and Frankfurt. International Journal of Environmental Research and Public Health, 19(11), 6579. https://doi.org/10.3390/ijerph19116579
