Assessment of Back-Squat Performance at Submaximal Loads: Is the Reliability Affected by the Variable, Exercise Technique, or Repetition Criterion?
Abstract
1. Introduction
2. Materials and Methods
2.1. Participants
2.2. Study Design
2.3. Procedures
2.4. Data Acquisition
2.5. Statistical Analyses
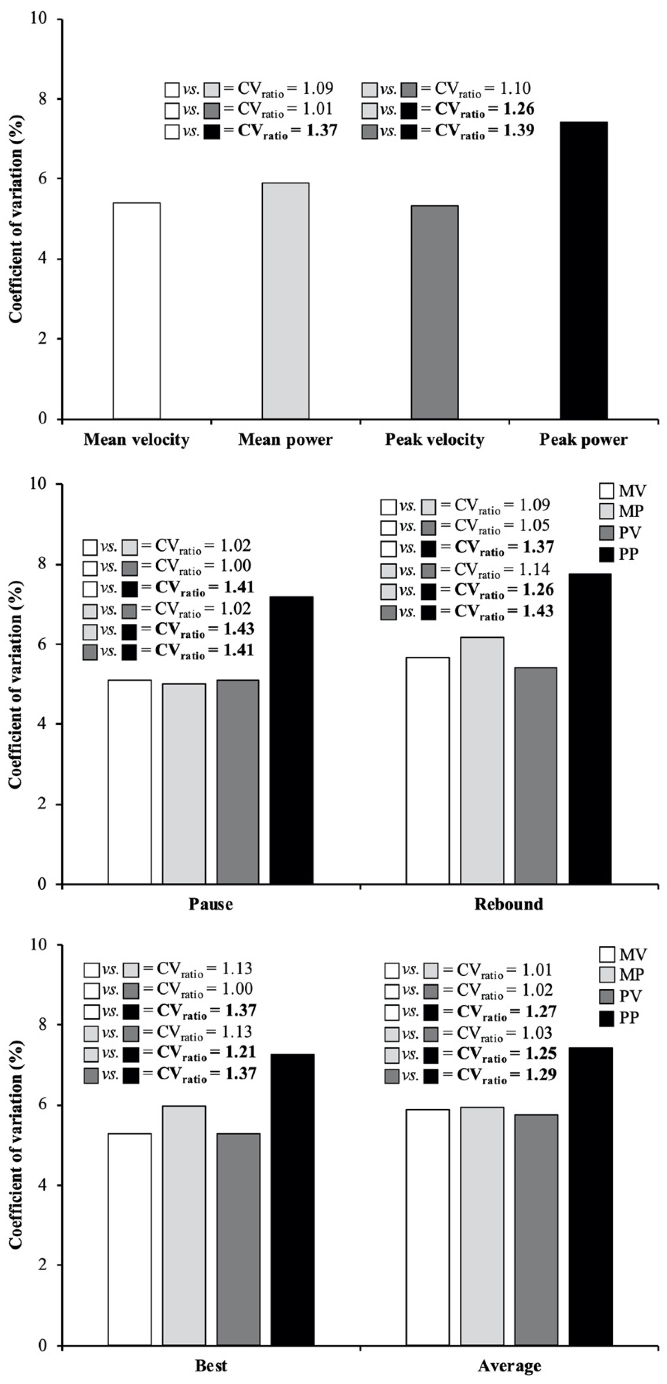
3. Results
4. Discussion
5. Conclusions
Author Contributions
Funding
Institutional Review Board Statement
Informed Consent Statement
Data Availability Statement
Acknowledgments
Conflicts of Interest
References
- Scott, B.R.; Duthie, G.M.; Thornton, H.R.; Dascombe, B.J. Training monitoring for resistance exercise: Theory and applications. Sports Med. 2016, 46, 687–698. [Google Scholar] [CrossRef]
- Pérez-Castilla, A.; Comfort, P.; McMahon, J.J.; Pestaña-Melero, F.L.; García-Ramos, A. Comparison of the Force-, Velocity-, and Power-Time Curves Between the Concentric-Only and Eccentric-Concentric Bench Press Exercises. J. Strength Cond. Res. 2020, 34, 1618–1624. [Google Scholar] [CrossRef]
- Weakley, J.; Ramirez-Lopez, C.; McLaren, S.; Dalton-Barron, N.; Weaving, D.; Jones, B.; Till, K.; Banyard, H. The Effects of 10%, 20%, and 30% Velocity Loss Thresholds on Kinetic, Kinematic, and Repetition Characteristics During the Barbell Back Squat. Int. J. Sports Physiol. Perform. 2020, 15, 180–188. [Google Scholar] [CrossRef]
- Weakley, J.; Morrison, M.; García-Ramos, A.; Johnston, R.; James, L.; Cole, M.H. The Validity and Reliability of Commercially Available Resistance Training Monitoring Devices: A Systematic Review. Sports Med. 2021, 51, 443–502. [Google Scholar] [CrossRef]
- Morales-Artacho, A.J.; Padial, P.; García-Ramos, A.; Pérez-Castilla, A.; Feriche, B. Influence of a Cluster Set Configuration on the Adaptations to Short-Term Power Training. J. Strength Cond. Res. 2018, 32, 930–937. [Google Scholar] [CrossRef]
- Pérez-Castilla, A.; García-Ramos, A.; Padial, P.; Morales-Artacho, A.J.; Feriche, B. Effect of different velocity loss thresholds during a power-oriented resistance training program on the mechanical capacities of lower-body muscles. J. Sports Sci. 2017, 36, 1331–1339. [Google Scholar] [CrossRef]
- Sarabia, J.M.; Moya-Ramón, M.; Hernández-Davó, J.L.; Fernandez-Fernandez, J.; Sabido, R. The effects of training with loads that maximise power output and individualised repetitions vs. traditional power training. PLoS ONE 2017, 12, e0186601. [Google Scholar] [CrossRef] [PubMed]
- Banyard, H.G.; Tufano, J.J.; Weakley, J.J.; Wu, S.; Jukic, I.; Nosaka, K. Superior Changes in Jump, Sprint, and Change-of-Direction Performance but Not Maximal Strength Following 6 Weeks of Velocity-Based Training Compared With 1-Repetition-Maximum Percentage-Based Training. Int. J. Sports Physiol. Perform. 2021, 16, 232–242. [Google Scholar] [CrossRef] [PubMed]
- García-Ramos, A.; Haff, G.G.; Padial, P.; Feriche, B. Reliability of power and velocity variables collected during the tradi-tional and ballistic bench press exercise. Sports Biomech. 2018, 17, 117–130. [Google Scholar] [CrossRef] [PubMed]
- Orange, S.T.; Metcalfe, J.W.; Marshall, P.; Vince, R.V.; Madden, L.A.; Liefeith, A. Test-retest reliability of a commercial linear position transducer (GymAware PowerTool) to measure velocity and power in the back squat and bench press. J. Strength Cond. Res. 2020, 34, 728–737. [Google Scholar] [CrossRef]
- García-Ramos, A.; Haff, G.G.; Jiménez-Reyes, P.; Pérez-Castilla, A. Assessment of Upper-Body Ballistic Performance Through the Bench Press Throw Exercise: Which Velocity Outcome Provides the Highest Reliability? J. Strength Cond. Res. 2018, 32, 2701–2707. [Google Scholar] [CrossRef] [PubMed]
- Grgic, J.; Scapec, B.; Pedisic, Z.; Mikulic, P. Test-Retest Reliability of Velocity and Power in the Deadlift and Squat Exercises Assessed by the GymAware PowerTool System. Front. Physiol. 2020, 11, 11. [Google Scholar] [CrossRef]
- Banyard, H.G.; Nosaka, K.; Vernon, A.D.; Haff, G.G. The Reliability of Individualized Load–Velocity Profiles. Int. J. Sports Physiol. Perform. 2018, 13, 763–769. [Google Scholar] [CrossRef] [PubMed]
- Jukic, I.; García-Ramos, A.; Malecek, J.; Omcirk, D.; Tufano, J.J. Magnitude and Reliability of Velocity and Power Variables During Deadlifts Performed With and Without Lifting Straps. J. Strength Cond. Res. 2020. [Google Scholar] [CrossRef] [PubMed]
- Chéry, C.; Ruf, L. Reliability of the Load-Velocity Relationship and Validity of the PUSH to Measure Velocity in the Deadlift. J. Strength Cond. Res. 2019, 33, 2370–2380. [Google Scholar] [CrossRef] [PubMed]
- Hartmann, H.; Wirth, K.; Klusemann, M. Analysis of the load on the knee joint and vertebral column with changes in squatting depth and weight load. Sports Med. 2013, 43, 993–1008. [Google Scholar] [CrossRef]
- Hartmann, H.; Wirth, K.; Klusemann, M.; Dalic, J.; Matuschek, C.; Schmidtbleicher, D. Influence of squatting depth on jumping performance. J. Strength Cond. Res. 2012, 26, 3243–3261. [Google Scholar] [CrossRef]
- Pallarés, J.G.; Cava, A.M.; Courel-Ibáñez, J.; González-Badillo, J.J.; Morán-Navarro, R. Full squat produces greater neuromuscular and functional adaptations and lower pain than partial squats after prolonged resistance training. Eur. J. Sport Sci. 2020, 20, 115–124. [Google Scholar] [CrossRef]
- Pallarés, J.G.; Sánchez-Medina, L.; Pérez, C.E.; De La Cruz-Sánchez, E.; Mora-Rodriguez, R. Imposing a pause between the eccentric and concentric phases increases the reliability of isoinertial strength assessments. J. Sports Sci. 2014, 32, 1165–1175. [Google Scholar] [CrossRef]
- Pérez-Castilla, A.; García-Ramos, A.; Padial, P.; Morales-Artacho, A.J.; Feriche, B. Load-Velocity Relationship in Variations of the Half-Squat Exercise: Influence of Execution Technique. J. Strength Cond. Res. 2020, 34, 1024–1031. [Google Scholar] [CrossRef] [PubMed]
- Miller, R.M.; Freitas, E.D.; Heishman, A.D.; Koziol, K.J.; Galletti, B.A.; Kaur, J.; Bemben, M.G. Test-Retest Reliability Between Free Weight and Machine-Based Movement Velocities. J. Strength Cond. Res. 2020, 34, 440–444. [Google Scholar] [CrossRef] [PubMed]
- Pérez-Castilla, A.; Jiménez-Reyes, P.; Haff, G.G.; García-Ramos, A. Assessment of the loaded squat jump and countermovement jump exercises with a linear velocity transducer: Which velocity variable provides the highest reliability? Sports Biomech. 2021, 20, 247–260. [Google Scholar] [CrossRef] [PubMed]
- Pérez-Castilla, A.; Martínez-García, D.; Jerez-Mayorga, D.; Rodríguez-Perea, Á.; Chirosa-Ríos, L.J.; García-Ramos, A. Influence of the grip width on the reliability and magnitude of different velocity variables during the bench press exercise. Eur. J. Sport Sci. 2020, 20, 1–10. [Google Scholar] [CrossRef]
- Janicijevic, D.; González-Hernández, J.M.; Gu, Y.; Garcia-Ramos, A. Differences in the magnitude and reliability of velocity variables collected during 3 variants of the bench press exercise. J. Sports Sci. 2020, 38, 759–766. [Google Scholar] [CrossRef]
- Dorrell, H.F.; Moore, J.M.; Smith, M.F.; Gee, T.I. Validity and reliability of a linear positional transducer across commonly practised resistance training exercises. J Sports Sci. 2019, 37, 67–73. [Google Scholar] [CrossRef] [PubMed]
- Bishop, C.; Read, P.; Chavda, S.; Jarvis, P.; Turner, A. Using unilateral strength, power and reactive strength tests to detect the magnitude and direction of asymmetry: A test-retest design. Sports 2019, 7, 58. [Google Scholar] [CrossRef]
- Claudino, J.G.; Cronin, J.; Mezêncio, B.; McMaster, D.T.; McGuigan, M.; Tricoli, V.; Amadio, A.C.; Serrão, J.C. The countermovement jump to monitor neuromuscular status: A meta-analysis. J. Sci. Med. Sport 2017, 20, 397–402. [Google Scholar] [CrossRef] [PubMed]
- Rios, L.J.C.; Cuevas-Aburto, J.; Martínez-García, D.; Ulloa-Diaz, D.; Ramírez, O.A.A.; Martin, I.M.; Ramos, A.G. Reliability of throwing velocity during non-specific and specific handball throwing tests. Int. J. Sports Med. 2020. [Google Scholar] [CrossRef] [PubMed]
- Pérez-Castilla, A.; Fernandes, J.F.T.; García-Ramos, A. Validity of the bench press one-repetition maximum test predicted through individualized load-velocity relationship using different repetition criteria and minimal velocity thresholds. Isokinet Exerc. Sci. 2020. [Google Scholar] [CrossRef]
- Jiménez-Alonso, A.; García-Ramos, A.; Cepero, M.; Miras-Moreno, S.; Rojas, F.J.; Pérez-Castilla, A. Velocity performance feedback during the free-weight bench press testing procedure: An effective strategy to increase the reliability and one repetition maximum accuracy prediction. J. Strength Cond. Res. 2020. [Google Scholar] [CrossRef]
- McBride, J.M.; Larkin, T.R.; Dayne, A.M.; Haines, T.L.; Kirby, T.J. Effect of absolute and relative loading on muscle activity during stable and unstable squatting. Int. J. Sports Physiol. Perform. 2010, 5, 177–183. [Google Scholar] [CrossRef] [PubMed]
- Banyard, H.G.; Nosaka, K.; Sato, K.; Haff, G. Validity of various methods for determining velocity, force and power in the back squat. Int. J. Sports Physiol. Perform. 2017, 12, 1170–1176. [Google Scholar] [CrossRef] [PubMed]
- Hopkins, W.G.; Marshall, S.W.; Batterham, A.M.; Hanin, J. Progressive statistics for studies in sports medicine and exercise science. Med. Sci. Sports Exerc. 2009, 41, 3–13. [Google Scholar] [CrossRef]
- Cormack, S.J.; Newton, R.U.; McGuigan, M.R.; Doyle, T.L.A. Reliability of measures obtained during single and repeated countermovement jumps. Int. J. Sports Physiol. Perform. 2008, 2, 131–144. [Google Scholar] [CrossRef] [PubMed]
- Fulton, S.K.; Pyne, D.; Hopkins, W.; Burkett, B. Variability and progression in competitive performance of Paralympic swimmers. J. Sports Sci. 2009, 27, 535–539. [Google Scholar] [CrossRef]
- Hopkins, W. Calculations for Reliability (Excel Spreedsheet). A New View of Statistics. Available online: http://www.sportsci.org/resource/stats/relycalc.html#excel (accessed on 6 April 2021).
- Hopkins, W.G. Measures of reliability in sports medicine and science. Sports Med. 2000, 30, 375–381. [Google Scholar] [CrossRef]
- Thompson, S.W.; Rogerson, D.; Ruddock, A.; Banyard, H.G.; Barnes, A. Pooled versus individualized load–velocity profiling in the free-weight back squat and power clean. Int. J. Sports Physiol Perform. 2021. [Google Scholar] [CrossRef]
- Picerno, P. Good practice rules for the assessment of the force-velocity relationship in isoinertial resistance exercises. Asian J. Sports Med. 2017, 8, e15590. [Google Scholar]



| Variable | Load (% 1RM) | Session 1 (Mean ± SD) | Session 2 (Mean ± SD) | SEM (95% CI) | CV (%) (95% CI) | ICC (95% CI) | |||||
|---|---|---|---|---|---|---|---|---|---|---|---|
| Best Score | Average Score | Best Score | Average Score | Best Score | Average Score | Best Score | Average Score | Best Score | Average Score | ||
| Mean velocity (m·s−1) | 45 | 0.76 ± 0.05 | 0.72 ± 0.06 | 0.75 ± 0.04 | 0.72 ± 0.05 | 0.03 (0.02, 0.04) | 0.04 (0.03, 0.05) | 3.99 (3.13, 5.50) | 4.90 (3.84, 6.76) | 0.59 (0.26, 0.79) | 0.58 (0.25, 0.79) |
| 55 | 0.68 ± 0.05 | 0.65 ± 0.05 | 0.68 ± 0.04 | 0.65 ± 0.05 | 0.03 (0.02, 0.04) | 0.03 (0.02, 0.04) | 4.50 (3.53, 6.21) | 4.81 (3.78, 6.65) | 0.62 (0.32, 0.81) | 0.62 (0.31, 0.81) | |
| 65 | 0.60 ± 0.05 | 0.58 ± 0.05 | 0.61 ± 0.04 | 0.58 ± 0.04 | 0.03 (0.02, 0.04) | 0.03 (0.02, 0.04) | 4.28 (3.36, 5.91) | 5.32 (4.17, 7.34) | 0.69 (0.42, 0.85) | 0.59 (0.27, 0.79) | |
| 75 | 0.54 ± 0.06 | 0.52 ± 0.06 | 0.56 ± 0.05 | 0.53 ± 0.05 | 0.03 (0.02, 0.04) | 0.03 (0.02, 0.04) | 5.65 (4.43, 7.80) | 5.43 (4.26, 7.49) | 0.69 (0.42, 0.85) | 0.73 (0.48, 0.87) | |
| 85 | 0.46 ± 0.05 | 0.44 ± 0.05 | 0.46 ± 0.05 | 0.43 ± 0.05 | 0.03 (0.02, 0.04) | 0.03 (0.02, 0.04) | 6.05 (4.74, 8.35) | 6.93 (5.44, 9.57) | 0.68 (0.40, 0.84) | 0.67 (0.38, 0.84) | |
| Mean power (W) | 45 | 454 ± 93 | 435 ± 95 | 443 ± 88 | 427 ± 90 | 20.2 (15.8, 27.8) | 21.8 (17.1, 30.1) | 4.49 (3.52, 6.20) | 5.06 (3.97, 6.99) | 0.95 (0.90, 0.98) | 0.95 (0.89, 0.98) |
| 55 | 505 ± 114 | 481 ± 105 | 494 ± 108 | 475 ± 105 | 33.2 (26.1, 45.9) | 21.6 (17.0, 29.9) | 6.65 (5.22, 9.18) | 4.53 (3.55, 6.25) | 0.92 (0.82, 0.96) | 0.96 (0.91, 0.98) | |
| 65 | 519 ± 115 | 502 ± 116 | 527 ± 108 | 502 ± 104 | 23.0 (18.0, 31.7) | 24.9 (19.5, 34.3) | 4.39 (3.45, 6.07) | 4.96 (3.89, 6.84) | 0.96 (0.91, 0.98) | 0.95 (0.90, 0.98) | |
| 75 | 539 ± 124 | 514 ± 121 | 547 ± 118 | 519 ± 107 | 29.2 (22.9, 40.4) | 24.6 (19.3, 33.9) | 5.39 (4.22, 7.44) | 4.76 (3.73, 6.57) | 0.95 (0.88, 0.98) | 0.96 (0.91, 0.98) | |
| 85 | 518 ± 105 | 487 ± 105 | 515 ± 114 | 483 ± 105 | 32.5 (25.5, 44.8) | 33.3 (26.1, 46.0) | 6.28 (4.93, 8.67) | 6.87 (5.39, 9.48) | 0.92 (0.83, 0.96) | 0.91 (0.80, 0.96) | |
| Peak velocity (m·s−1) | 45 | 1.34 ± 0.11 | 1.27 ± 0.12 | 1.33 ± 0.10 | 1.28 ± 0.10 | 0.06 (0.05, 0.09) | 0.06 (0.05, 0.08) | 4.73 (3.71, 6.53) | 4.77 (3.74, 6.59) | 0.64 (0.35, 0.82) | 0.72 (0.46, 0.86) |
| 55 | 1.24 ± 0.10 | 1.19 ± 0.09 | 1.23 ± 0.10 | 1.19 ± 0.09 | 0.05 (0.04, 0.07) | 0.05 (0.04, 0.07) | 3.89 (3.05, 5.37) | 3.99 (3.13, 5.50) | 0.77 (0.56, 0.89) | 0.77 (0.54, 0.89) | |
| 65 | 1.14 ± 0.10 | 1.11 ± 0.11 | 1.18 ± 0.08 | 1.13 ± 0.08 | 0.06 (0.04, 0.08) | 0.06 (0.05, 0.08) | 4.93 (3.87, 6.80) | 5.29 (4.14, 7.30) | 0.60 (0.28, 0.80) | 0.62 (0.31, 0.81) | |
| 75 | 1.07 ± 0.11 | 1.03 ± 0.11 | 1.11 ± 0.08 | 1.06 ± 0.09 | 0.06 (0.05, 0.08) | 0.06 (0.05, 0.08) | 5.60 (4.39, 7.73) | 5.68 (4.45, 7.83) | 0.65 (0.35, 0.82) | 0.65 (0.35, 0.82) | |
| 85 | 0.98 ± 0.08 | 0.94 ± 0.10 | 1.01 ± 0.10 | 0.97 ± 0.10 | 0.06 (0.05, 0.09) | 0.07 (0.05, 0.10) | 6.48 (5.08, 8.95) | 7.22 (5.66, 9.97) | 0.52 (0.18, 0.75) | 0.54 (0.20, 0.76) | |
| Peak power (W) | 45 | 984 ± 226 | 917 ± 229 | 959 ± 213 | 910 ± 210 | 62.8 (49.2, 86.6) | 59.2 (46.5, 81.8) | 6.46 (5.07, 8.92) | 6.49 (5.09, 8.95) | 0.92 (0.84, 0.97) | 0.93 (0.86, 0.97) |
| 55 | 1097 ± 273 | 1024 ± 251 | 1060 ± 247 | 1010 ± 240 | 79.5 (62.4, 109.8) | 58.2 (45.6, 80.3) | 7.37 (5.78, 10.18) | 5.72 (4.49, 7.90) | 0.91 (0.82, 0.96) | 0.95 (0.89, 0.98) | |
| 65 | 1166 ± 271 | 1110 ± 271 | 1195 ± 251 | 1133 ± 248 | 87.1 (68.3, 120.2) | 75.2 (59.0, 103.8) | 7.38 (5.78, 10.18) | 6.71 (5.26, 9.26) | 0.90 (0.78, 0.95) | 0.92 (0.84, 0.96) | |
| 75 | 1245 ± 309 | 1183 ± 301 | 1267 ± 282 | 1206 ± 261 | 94.9 (74.4, 131.0) | 83.3 (65.4, 115.0) | 7.55 (5.92, 10.43) | 6.98 (5.47, 9.63) | 0.90 (0.80, 0.96) | 0.92 (0.83, 0.96) | |
| 85 | 1266 ± 290 | 1197 ± 285 | 1311 ± 304 | 1237 ± 275 | 110.0 (86.2, 151.8) | 105.2 (82.5, 145.3) | 8.53 (6.69, 11.78) | 8.65 (6.78, 11.94) | 0.87 (0.74, 0.94) | 0.87 (0.73, 0.94) | |
| Variable | Load (% 1RM) | Session 1 (Mean ± SD) | Session 2 (Mean ± SD) | SEM (95% CI) | CV (%) (95% CI) | ICC (95% CI) | |||||
|---|---|---|---|---|---|---|---|---|---|---|---|
| Best Score | Average Score | Best Score | Average Score | Best Score | Average Score | Best Score | Average Score | Best Score | Average Score | ||
| Mean velocity (m·s−1) | 45 | 0.78 ± 0.07 | 0.74 ± 0.07 | 0.78 ± 0.06 | 0.75 ± 0.06 | 0.04 (0.03, 0.06) | 0.04 (0.03, 0.06) | 5.31 (4.16, 7.32) | 5.95 (4.66, 8.21) | 0.62 (0.31, 0.81) | 0.59 (0.26, 0.79) |
| 55 | 0.71 ± 0.07 | 0.69 ± 0.07 | 0.72 ± 0.05 | 0.70 ± 0.05 | 0.04 (0.03, 0.05) | 0.04 (0.03, 0.05) | 5.11 (4.01, 7.05) | 5.24 (4.11, 7.23) | 0.63 (0.33, 0.81) | 0.64 (0.34, 0.82) | |
| 65 | 0.63 ± 0.07 | 0.61 ± 0.07 | 0.66 ± 0.06 | 0.63 ± 0.06 | 0.03 (0.03, 0.05) | 0.03 (0.03, 0.05) | 5.35 (4.20, 7.38) | 5.60 (4.39, 7.73) | 0.73 (0.49, 0.87) | 0.69 (0.43, 0.85) | |
| 75 | 0.56 ± 0.06 | 0.53 ± 0.06 | 0.57 ± 0.06 | 0.55 ± 0.06 | 0.03 (0.03, 0.04) | 0.03 (0.03, 0.04) | 5.74 (4.50, 7.92) | 5.89 (4.62, 8.14) | 0.74 (0.50, 0.88) | 0.74 (0.51, 0.88) | |
| 85 | 0.46 ± 0.07 | 0.43 ± 0.06 | 0.48 ± 0.05 | 0.45 ± 0.05 | 0.04 (0.03, 0.05) | 0.04 (0.03, 0.05) | 8.28 (6.49, 11.42) | 8.63 (6.77, 11.91) | 0.61 (0.29, 0.80) | 0.60 (0.29, 0.80) | |
| Mean power (W) | 45 | 467 ± 106 | 446 ± 99 | 468 ± 98 | 450 ± 98± | 29.1 (22.8, 40.2) | 27.4 (21.5, 37.8) | 6.23 (4.88, 8.60) | 6.11 (4.79, 8.44) | 0.92 (0.84, 0.97) | 0.93 (0.85, 0.97) |
| 55 | 519 ± 116 | 500 ± 112 | 525 ± 106 | 507 ± 103 | 32.4 (25.4, 44.7) | 31.5 (24.7, 43.5) | 6.20 (4.86, 8.56) | 6.26 (4.91, 8.64) | 0.92 (0.83, 0.96) | 0.92 (0.83, 0.96) | |
| 65 | 545 ± 131 | 527 ± 128 | 566 ± 130 | 547 ± 124 | 29.8 (23.3, 41.1) | 29.3 (23.0, 40.5) | 5.35 (4.20, 7.39) | 5.46 (4.28, 7.54) | 0.95 (0.90, 0.98) | 0.95 (0.89, 0.98) | |
| 75 | 556 ± 133 | 532 ± 130 | 564 ± 131 | 544 ± 128 | 32.7 (25.7, 45.2) | 32.0 (25.1, 44.2) | 5.85 (4.59, 8.07) | 5.95 (4.67, 8.22) | 0.94 (0.88, 0.97) | 0.94 (0.88, 0.97) | |
| 85 | 517 ± 137 | 485 ± 131 | 542 ± 122 | 511 ± 114 | 48.2 (37.8, 66.5) | 46.4 (36.4, 64.0) | 9.10 (7.14, 12.57) | 9.31 (7.31, 12.86) | 0.87 (0.73, 0.94) | 0.87 (0.73, 0.94) | |
| Peak velocity (m·s−1) | 45 | 1.31 ± 0.14 | 1.26 ± 0.14 | 1.32 ± 0.11 | 1.25 ± 0.10 | 0.07 (0.06, 0.10) | 0.07 (0.06, 0.10) | 5.44 (4.26, 7.50) | 5.96 (4.67, 8.23) | 0.68 (0.40, 0.84) | 0.63 (0.33, 0.82) |
| 55 | 1.22 ± 0.12 | 1.17 ± 0.12 | 1.24 ± 0.09 | 1.20 ± 0.09 | 0.07 (0.05, 0.09) | 0.06 (0.05, 0.08) | 5.40 (4.24, 7.46) | 5.02 (3.94, 6.93) | 0.65 (0.36, 0.83) | 0.72 (0.46, 0.86)) | |
| 65 | 1.14 ± 0.10 | 1.10 ± 0.11 | 1.18 ± 0.09 | 1.14 ± 0.09 | 0.05 (0.04, 0.08) | 0.06 (0.04, 0.08) | 4.70 (3.68, 6.48) | 5.12 (4.02, 7.07) | 0.69 (0.41, 0.85) | 0.69 (0.42, 0.85) | |
| 75 | 1.06 ± 0.11 | 1.02 ± 0.11 | 1.10 ± 0.10 | 1.05 ± 0.11 | 0.06 (0.04, 0.08) | 0.06 (0.05, 0.09) | 5.30 (4.16, 7.31) | 5.96 (4.67, 8.22) | 0.73 (0.48, 0.87) | 0.69 (0.43, 0.85) | |
| 85 | 0.95 ± 0.12 | 0.90 ± 0.14 | 1.00 ± 0.09 | 0.95 ± 0.11 | 0.06 (0.05, 0.09) | 0.08 (0.06, 0.11) | 6.44 (5.05, 8.90) | 8.50 (6.66, 11.73) | 0.69 (0.42, 0.85) | 0.60 (0.29, 0.80) | |
| Peak power (W) | 45 | 951 ± 252 | 893 ± 235 | 955 ± 212 | 891 ± 207 | 76.4 (59.9, 105.4) | 76.0 (59.6, 105.0) | 8.01 (6.28, 11.06) | 8.52 (6.69, 11.77) | 0.90 (0.79, 0.95) | 0.89 (0.77, 0.95) |
| 55 | 1043 ± 259 | 987 ± 249 | 1062 ± 230 | 1010 ± 219 | 84.2 (66.0, 116.2) | 75.1 (58.9, 103.7) | 8.00 (6.27, 11.04) | 7.53 (5.90, 10.39) | 0.89 (0.77, 0.95) | 0.90 (0.80, 0.96) | |
| 65 | 1142 ± 265 | 1081 ± 263 | 1185 ± 245 | 1133 ± 241 | 55.4 (43.4, 76.5) | 67.0 (52.6, 92.5) | 4.76 (3.73, 6.57) | 6.05 (4.75, 8.35) | 0.96 (0.91, 0.98) | 0.93 (0.86, 0.97) | |
| 75 | 1214 ± 297 | 1149 ± 277 | 1256 ± 262 | 1187 ± 251 | 80.6 (63.2, 111.3) | 86.8 (69.1, 119.8) | 6.53 (5.12, 9.01) | 7.43 (5.82, 10.25) | 0.92 (0.84, 0.96) | 0.90 (0.79, 0.95) | |
| 85 | 1197 ± 303 | 1137 ± 312 | 1270 ± 248 | 1192 ± 249 | 98.2 (77.0, 135.5) | 119.8 (93.9, 165.3) | 7.96 (6.24, 10.99) | 10.29 (8.07, 14.20) | 0.88 (0.76, 0.95) | 0.83 (0.66, 0.92) | |
Publisher’s Note: MDPI stays neutral with regard to jurisdictional claims in published maps and institutional affiliations. |
© 2021 by the authors. Licensee MDPI, Basel, Switzerland. This article is an open access article distributed under the terms and conditions of the Creative Commons Attribution (CC BY) license (https://creativecommons.org/licenses/by/4.0/).
Share and Cite
Pérez-Castilla, A.; Janicijevic, D.; Akyildiz, Z.; Senturk, D.; García-Ramos, A. Assessment of Back-Squat Performance at Submaximal Loads: Is the Reliability Affected by the Variable, Exercise Technique, or Repetition Criterion? Int. J. Environ. Res. Public Health 2021, 18, 4626. https://doi.org/10.3390/ijerph18094626
Pérez-Castilla A, Janicijevic D, Akyildiz Z, Senturk D, García-Ramos A. Assessment of Back-Squat Performance at Submaximal Loads: Is the Reliability Affected by the Variable, Exercise Technique, or Repetition Criterion? International Journal of Environmental Research and Public Health. 2021; 18(9):4626. https://doi.org/10.3390/ijerph18094626
Chicago/Turabian StylePérez-Castilla, Alejandro, Danica Janicijevic, Zeki Akyildiz, Deniz Senturk, and Amador García-Ramos. 2021. "Assessment of Back-Squat Performance at Submaximal Loads: Is the Reliability Affected by the Variable, Exercise Technique, or Repetition Criterion?" International Journal of Environmental Research and Public Health 18, no. 9: 4626. https://doi.org/10.3390/ijerph18094626
APA StylePérez-Castilla, A., Janicijevic, D., Akyildiz, Z., Senturk, D., & García-Ramos, A. (2021). Assessment of Back-Squat Performance at Submaximal Loads: Is the Reliability Affected by the Variable, Exercise Technique, or Repetition Criterion? International Journal of Environmental Research and Public Health, 18(9), 4626. https://doi.org/10.3390/ijerph18094626

