The Impact of Environmental Regulation on the Location of Pollution-Intensive Industries in China under Agglomeration Effect
Abstract
1. Introduction
2. Literature Review
3. Research Framework and Hypothesis Development
3.1. ER and Site Selection of New PIFs
3.2. The Mediating Effects of Agglomeration Economy
3.3. The Moderating Effects of Economic Development Level
4. Data Source and New Chemical Firms’ Location Dynamics in China
4.1. Data Sources
4.2. Dynamics of the Location of New Chemical Firms in China
5. Empirical Analysis
5.1. Mediating Effect Test of Agglomeration Economy
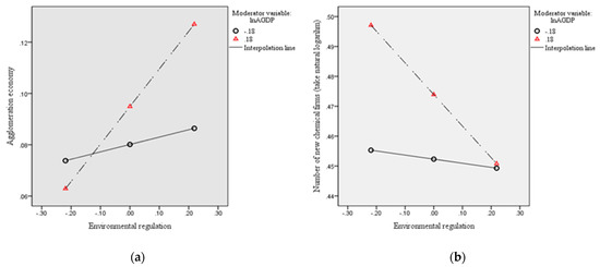
5.2. Moderated Mediating Effect Test
5.3. The Influence of ER on Site Selection of Newly Built Chemical Enterprises in Different Years
6. Conclusions and Discussion
6.1. Conclusions
6.2. Discussion
Author Contributions
Funding
Institutional Review Board Statement
Informed Consent Statement
Data Availability Statement
Acknowledgments
Conflicts of Interest
References
- Scott, M.; Lennon, M. Nature-based solutions for the contemporary city. Plan. Theory Pract. 2016, 17, 267–270. [Google Scholar] [CrossRef]
- Wilkinson, C. Social-ecological resilience: Insights and issues for planning theory. Plan. Theory 2012, 11, 148–169. [Google Scholar] [CrossRef]
- Raffaelli, D.G.; Frid, C. The evolution of ecosystems ecology. In Ecosystem Ecology: A New Synthesis; Raffaelli, D.G., Frid, C.L., Eds.; Cambridge University Press: Cambridge, UK, 2010. [Google Scholar]
- United Nations Environment Programme (UNEP). Global Environmental Outlook: Healthy Planet, Healthy People, 6th ed.; Cambridge University Press: Cambridge, UK, 2019. [Google Scholar]
- Fujita, M.; Thisse, J.F. Economics of Agglomeration: Cities, Industrial Location, and Regional Growth; Cambridge University Press: Cambridge, UK, 2002. [Google Scholar]
- Arduini, R.; Cesaroni, F. Environmental Technologies in the European Chemical Industry. Available online: https://www.researchgate.net/publication/24132244_Environmental_Technologies_in_theEuropean_Chemical_Industry (accessed on 7 February 2021).
- Wu, Y.H.; Miao, C.H.; Miao, J.M.; Zhang, Y. How does environmental regulation affect the Location of new polluting firms? Exploring the agglomeration threshold of effective environmental regulation. Int. J. Environ. Res. Public Health 2020, 17, 1279. [Google Scholar] [CrossRef] [PubMed]
- Golombek, R.; Raknerud, A. Do Environmental Standards Harm Manufacturing Employment? Scand. J. Econ. 1997, 99, 29–44. [Google Scholar] [CrossRef]
- Zeng, D.Z.; Zhao, L.X. Pollution havens and industrial agglomeration. J. Environ. Econ. Manag. 2009, 58, 141–153. [Google Scholar] [CrossRef]
- Verbeke, T.; Clercq, M.D. Competiveness, environmental policy and the location of industry. Doc. Belg. Minist. Financ. 2006, 66, 33–48. [Google Scholar]
- International Council of Chemical Associations (ICCA). Together, We’re Talking on the World Is Toughest Challenges. 2019. Available online: www.icca-chem.org/ (accessed on 7 February 2021).
- China Chemical Industry News (CCIN). 5B. 10 January 2019. Available online: http://www.ccin.com.cn/detail/70a7b3c4117912c13bd7525604a762f6 (accessed on 7 February 2021).
- Environmental regulation policies and public health: Based on the mediating effect test of environmental pollution. Syst. Eng. Theory Pract. 2018, 38, 361–373.
- Jeppesen, T.; List, J.A.; Folmer, H. Environmental regulations and new plant location decisions: Evidence from a meta-analysis. J. Reg. Sci. 2002, 42, 19–49. [Google Scholar] [CrossRef]
- List, J.A.; Millimet, D.L.; Fredriksson, P.G.; McHone, W.W. Effects of environmental regulations on manufacturing plant births: Evidence from a propensity score matching estimator. Rev. Econ. Stat. 2003, 85, 944–952. [Google Scholar] [CrossRef]
- Fan, C.C.; Scott, A.J. Industrial agglomeration and development: A survey of spatial economic issues in East Asia and a statistical analysis of Chinese regions. Econ. Geogr. 2003, 79, 295–319. [Google Scholar] [CrossRef]
- Zhou, Y.; Zhu, S.J.; He, C.F. How do environmental regulations affect industrial dynamics? Evidence from China’s pollution-intensive industries. Habitat Int. 2017, 60, 10–18. [Google Scholar] [CrossRef]
- Kyriakopoulou, E.; Xepapadeas, A. Environmental policy, first nature advantage and the emergence of economic clusters. Reg. Sci. Urban Econ. 2013, 43, 101–116. [Google Scholar] [CrossRef]
- Chung, S. Environmental regulation and foreign direct investment: Evidence from South Korea. J. Dev. Econ. 2014, 108, 222–236. [Google Scholar] [CrossRef]
- Chen, J.X.; Zhang, Y.G.; Zheng, S.L. Ecoefficiency, environmental regulation opportunity costs, and interregional industrial transfers: Evidence from the Yangtze River Economic Belt in China. J. Clean. Prod. 2019, 233, 611–625. [Google Scholar] [CrossRef]
- Copeland, B.R.; Taylor, M.S. Trade, growth, and the environment. J. Econ. Lit. 2004, 42, 7–71. [Google Scholar] [CrossRef]
- Porter, M.E.; Van, D.L.C. Toward a new conception of the environment-competitiveness relationship. J. Econ. Perspect. 1995, 9, 97–118. [Google Scholar] [CrossRef]
- Dean, J.M.; Lovely, M.E.; Wang, H. Are foreign investors attracted to weak environmental regulations? Evaluating the evidence from China. J. Dev. Econ. 2009, 90, 1–13. [Google Scholar] [CrossRef]
- Xing, Y.; Kolstad, C.D. Do lax environmental regulations attract foreign investment? Environ. Resour. Econ. 2002, 21, 1–22. [Google Scholar] [CrossRef]
- Wu, H.Y.; Guo, H.X.; Zhang, B.; Bu, M. Westward movement of new polluting firms in China: Pollution reduction mandates and location choice. J. Comp. Econ. 2017, 45, 119–138. [Google Scholar] [CrossRef]
- Levinson, A. Environmental regulations and manufacturers’ location choices: Evidence from the census of manufactures. J. Public Econ. 2004, 62, 5–29. [Google Scholar] [CrossRef]
- Kheder, S.B.; Zugravu, N. Environmental regulation and French firms location abroad: An economic geography model in an international comparative study. Ecol. Econ. 2012, 77, 48–61. [Google Scholar] [CrossRef]
- Shen, J.; Wang, S.J.; Liu, W.; Chu, J.X. Does migration of pollution-intensive industries impact environmental efficiency? Evidence supporting “Pollution Haven Hypothesis”. J. Environ. Manag. 2019, 242, 142–152. [Google Scholar] [CrossRef] [PubMed]
- Wang, J.W.; Wei, Y.H.D. Agglomeration, Environmental Policies and Surface Water Quality in China: A Study Based on a Quasi-Natural Experiment. Sustainability 2019, 11, 5394. [Google Scholar] [CrossRef]
- Zheng, D.; Shi, M.J. Multiple environmental policies and pollution haven hypothesis: Evidence from China’s polluting industries. J. Clean. Prod. 2017, 141, 295–304. [Google Scholar] [CrossRef]
- Li, S.; Angelino, A.; Yin, H.T.; Spigarelli, F. Determinants of FDI localization in China: A county-level analysis for the pharmaceutical industry. Int. J. Environ. Res. Public Health 2017, 14, 985. [Google Scholar] [CrossRef] [PubMed]
- Ederington, J.; Levinson, A.; Minier, J. Footloose and pollution-free. Rev. Econ. Stat. 2005, 87, 92–99. [Google Scholar] [CrossRef]
- Kirkpatrick, C.; Shimamoto, K. The effect of environmental regulation on the location choice of Japanese foreign direct investment. Appl. Econ. 2008, 40, 1399–1409. [Google Scholar] [CrossRef]
- Wagner, U.J.; Timmins, C.D. Agglomeration effects in foreign direct investment and the pollution haven hypothesis. Environ. Resour. Econ. 2009, 43, 231–256. [Google Scholar] [CrossRef]
- Pang, R.; Zheng, D.; Shi, M.J.; Zhang, X. Pollute first, control later? Exploring the economic threshold of effective environmental regulation in China’s context. J. Environ. Manag. 2019, 248, 109275. [Google Scholar] [CrossRef]
- Lopez-Navarro, M.A.; Tortosa-Edo, V.; Llorens-Monzonis, J. Environmental management systems and local community perceptions: The case of petrochemical complexes located in ports. Bus. Strategy Environ. 2015, 24, 236–251. [Google Scholar] [CrossRef]
- Shen, N.; Peng, H. Can industrial agglomeration achieve the emission-reduction effect? Socio-Econ. Plan. Sci. 2020, 5, 100867. [Google Scholar] [CrossRef]
- Otsuka, A. Determinants of new firm formation in Japan: A comparison of the manufacturing and service sectors. Econ. Bull. 2008, 18, 1–7. [Google Scholar]
- Rigby, D.L.; Essletzbichler, J. Agglomeration economies and productivity differences in US cities. J. Econ. Geogr. 2002, 2, 407–432. [Google Scholar] [CrossRef]
- Rosenthal, S.S.; Strange, W.C. Small establishments/big effects: Agglomeration industrial, organization, and entrepreneurship. In Agglomeration Economics; Glaeser, E., Ed.; University of Chicago Press: Chicago, IL, USA, 2011. [Google Scholar]
- Stavropoulos, S.; Wall, R.; Xu, Y. Environmental regulations and industrial competitiveness: Evidence from China. Appl. Econ. 2018, 50, 1378–1394. [Google Scholar] [CrossRef]
- Panayotou, T. Demystifying the Environmental Kuznets Curve: Turning a black box into a policy tool. Environ. Dev. Econ. 1997, 2, 465–484. [Google Scholar] [CrossRef]
- Wang, Y.; Li, J.M. Measurement of environmental regulation intensity, potential problems and its correction. Collect. Essays Financ. Econ. 2015, 5, 98–106. [Google Scholar]
- Keller, W.; Levinson, A. Pollution abatement costs and foreign direct investment inflows to U.S. States. Rev. Econ. Stat. 2002, 84, 691–703. [Google Scholar] [CrossRef]
- Brunel, C.; Levinson, A. Measuring the stringency of environmental regulations. Rev. Environ. Econ. Policy 2016, 10, 47–67. [Google Scholar] [CrossRef]
- Duranton, G.; Puga, D. Micro-foundations of urban agglomeration economies. Working Paper 9931 NBER. In Handbook of Regional and Urban Economics; Elsevier: Amsterdam, The Netherlands, 2003; Volume 4, pp. 2063–2117. [Google Scholar]
- Rosenthal, S.S.; Strange, W.C. Geography, industrial organization, and agglomeration. Rev. Econ. Stat. 2003, 85, 377–393. [Google Scholar] [CrossRef]
- He, C.F.; Zhu, S.J. Economic transition and industrial restructuring in China: Structural convergence or divergence? Post-Communist Econ. 2007, 19, 317–342. [Google Scholar]
- Potter, A.; Watts, H.D. Revisiting Marshall’s agglomeration economics: Technological relatedness and the evolution of the Sheffield metals cluster. Reg. Stud. 2014, 48, 606–623. [Google Scholar] [CrossRef]
- Brouwer, A.E.; Mariotti, I.; Ommeren, N.J. The firm relocation decision: An empirical investigation. Ann. Reg. Sci. 2004, 38, 335–347. [Google Scholar] [CrossRef]
- Elert, N. What determines entry? Evidence from Sweden. Ann. Reg. Sci. 2014, 53, 55–92. [Google Scholar] [CrossRef]
- Hayes, A.F. Introduction to Mediation, Moderation, and Conditional Process Analysis: A Regression-Based Approach; The Guilford Press: New York, NY, USA, 2013. [Google Scholar]
- Hayes, A.F.; Rockwood, N.J. Conditional process analysis: Concepts, computation, and advances in the modeling of the contingencies of mechanisms. Am. Behav. Sci. 2020, 64, 19–45. [Google Scholar] [CrossRef]
- LaFountain, C. Where do firms locate? Testing competing models of agglomeration. J. Urban Econ. 2005, 58, 338–366. [Google Scholar] [CrossRef]
- Zhang, Z.; Zhang, G.; Song, S.; Su, B. Spatial heterogeneity influences of environmental control and informal regulation on air pollutant emissions in China. Int. J. Environ. Res. Public Health 2020, 17, 4857. [Google Scholar] [CrossRef]
- Xu, K.P.; Wang, J.N.; Wang, J.J.; Wang, X.H.; Chi, Y.Y.; Zhang, X. Environmental function zoning for spatially differentiated environmental policies in China. J. Environ. Manag. 2020, 255, 109485. [Google Scholar] [CrossRef] [PubMed]
- Chen, H.; Xu, Y. Environmental regulation and exports: Evidence from the comprehensive air pollution policy in China. Int. J. Environ. Res. Public Health 2021, 18, 1316. [Google Scholar] [CrossRef]



| Variable Set | Variable Definition | Calculation Methods (Dimension) | Data Sources | Basic Statistics | ||||
|---|---|---|---|---|---|---|---|---|
| Mean | Std. | Min. | Max. | Obs. | ||||
| Dependent variable | The number of new chemical firms in each city, lnY | Y = N + 1, N is the number of new chemical firms with registered capital of more than 1 RMB | ★☆* | 3.069 | 1.158 | 0.000 | 6.571 | 562 |
| Independent variables | Environmental regulation, lnER | (dimensionless) | ●@○ | 0.712 | 0.116 | 0.426 | 0.996 | 562 |
| Agglomeration economy, AE | (dimensionless) | ∆ | 0.719 | 1.568 | 0.000 | 14.776 | 562 | |
| Control variables | Economic development level, lnAGDP | Percapita gross national product, taking the natural logarithm (constant price, 100 M yuan) | ● ※ | 10.624 | 0.605 | 9.037 | 12.050 | 562 |
| Traffic condition, lnTC | Highway freight volume, taking the natural logarithm (10 K tons) | ● | 9.048 | 0.874 | 6.324 | 17.013 | 562 | |
| Labor wages, lnLW | Wages of on-the-job employees, taking the natural logarithm) (constant price, yuan/year) | ● ※ | 10.550 | 0.212 | 9.876 | 11.233 | 562 | |
| Mediation Effect Test | Moderated Mediation Effect Test | |||||||||||
|---|---|---|---|---|---|---|---|---|---|---|---|---|
| AE Model 1A | lnY Model 1B | AE Model 2A | lnY Model 2B | |||||||||
| β | t | 95% CI | β | t | 95% CI | β | t | 95% CI | β | t | 95% CI | |
| ERit−1 | −0.16 ** | −2.15 | [−0.14, −0.01] | −0.05 ** | −2.29 | [−0.13, −0.04] | −0.08 *** | −2.65 | [−0.16, −0.02] | −0.06 ** | −2.04 | [−0.07, −0.02] |
| AEit−1 | 0.32 *** | 4.57 | [0.18, 0.45] | 0.30 *** | 4.61 | [0.18, 0.46] | ||||||
| ERit−1 × lnAGDPit−1 | 0.11 *** | 2.72 | [0.11, 0.71] | −0.26 *** | −2.35 | [−0.70, −0.19] | ||||||
| lnAGDPit−1 | 0.32 *** | 4.61 | [0.18, 0.46] | 0.04 | 0.91 | [−0.05, 0.13] | ||||||
| lnTCit−1 | 0.52 *** | 3.78 | [0.09, 0.32] | 0.21 *** | 9.59 | [0.42, 0.63] | 0.14 *** | 3.03 | [0.05, 0.23] | 0.11 *** | 9.43 | [0.41, 0.63] |
| lnLWit−1 | −0.03 | 1.08 | [−0.04, 0.10] | −0.05 | −0.62 | [−0.07, 0.16] | −0.07 | −0.92 | [−0.28, 0.04] | −0.03 | −0.65 | [−0.10, 0.16] |
| cons | 0.04 ** | 2.06 | [0.00, 0.07] | 0.17 *** | 4.26 | [0.09, 0.25] | −0.07 ** | −2.20 | [−0.13, −0.01] | 0.15 *** | 4.11 | [0.07, 0.22] |
| R2 | 0.14 | 0.38 | 0.15 | 0.44 | ||||||||
| F | 15.26 *** | 41.46 *** | 9.88 *** | 28.26 *** | ||||||||
| Economic Development Level | Effect Value | Boot SE | Boot 95% CI | |
|---|---|---|---|---|
| The mediating effect of AE (with moderating variable) | Effect1 (lnAGDP = M − 1SD) | 0.009 | 0.012 | [−0.02, 0.03] |
| Effect2 (lnAGDP = M) | 0.028 | 0.011 | [0.01, 0.05] | |
| Effect3 (lnAGDP = M + 1SD) | 0.047 | 0.020 | [0.01, 0.09] |
| Mediation Effect Test | Moderated Mediation Effect Test | |||||||||||
|---|---|---|---|---|---|---|---|---|---|---|---|---|
| AE | lnY | AE | lnY | |||||||||
| β | t | 95% CI | β | t | 95% CI | β | t | 95% CI | β | t | 95% CI | |
| ERit−1 | −0.23 *** | −2.63 | [−0.12, −0.01] | −0.01 ** | −2.17 | [−0.08, −0.01] | −0.14 ** | −2.44 | [−0.21,−0.02] | −0.03 ** | −1.99 | [−0.06, −0.01] |
| AEit−1 | 0.39 *** | 3.94 | [0.26,0.77] | 0.32 *** | 4.51 | [0.23, 0.56] | ||||||
| ERit−1×lnAGDPit−1 | 0.15 ** | 2.10 | [0.17, 0.33] | −0.28 *** | −2.47 | [−0.78, −0.13] | ||||||
| lnAGDPit−1 | 0.36 *** | 6.09 | [0.24, 0.48] | 0.01 | 0.34 | [−0.06, 0.04] | ||||||
| lnTCit−1 | 0.61 *** | 8.03 | [0.01, 0.12] | 0.27 *** | 5.16 | [0.54, 0.82] | 0.41 *** | 5.77 | [0.10, 0.43] | 0.06 ** | 2.01 | [0.05, 0.23] |
| lnLWit−1 | −0.01 | −0.40 | [−0.07, 0.04] | −0.05 | −1.25 | [−0.04, 0.12] | −0.02 | −0.71 | [−0.03, 0.29] | −0.03 | −0.34 | [−0.13, 0.09] |
| cons | 0.04 ** | 2.06 | [0.00, 0.07] | 0.04 ** | 2.06 | [0.04, 0.83] | −0.05 | 0.13 | [−0.13, −0.01] | 0.14 *** | 6.17 | [0.08, 0.62] |
| R2 | 0.03 | 0.35 | 0.07 | 0.43 | ||||||||
| F | 6.71 *** | 37.20 *** | 4.32 *** | 34.70 *** | ||||||||
Publisher’s Note: MDPI stays neutral with regard to jurisdictional claims in published maps and institutional affiliations. |
© 2021 by the authors. Licensee MDPI, Basel, Switzerland. This article is an open access article distributed under the terms and conditions of the Creative Commons Attribution (CC BY) license (https://creativecommons.org/licenses/by/4.0/).
Share and Cite
Wu, Y.; Yu, S.; Duan, X. The Impact of Environmental Regulation on the Location of Pollution-Intensive Industries in China under Agglomeration Effect. Int. J. Environ. Res. Public Health 2021, 18, 4045. https://doi.org/10.3390/ijerph18084045
Wu Y, Yu S, Duan X. The Impact of Environmental Regulation on the Location of Pollution-Intensive Industries in China under Agglomeration Effect. International Journal of Environmental Research and Public Health. 2021; 18(8):4045. https://doi.org/10.3390/ijerph18084045
Chicago/Turabian StyleWu, Yinhao, Shumin Yu, and Xiangdong Duan. 2021. "The Impact of Environmental Regulation on the Location of Pollution-Intensive Industries in China under Agglomeration Effect" International Journal of Environmental Research and Public Health 18, no. 8: 4045. https://doi.org/10.3390/ijerph18084045
APA StyleWu, Y., Yu, S., & Duan, X. (2021). The Impact of Environmental Regulation on the Location of Pollution-Intensive Industries in China under Agglomeration Effect. International Journal of Environmental Research and Public Health, 18(8), 4045. https://doi.org/10.3390/ijerph18084045

