Physical Fitness in Young Padel Players: A Cross-Sectional Study
Abstract
1. Introduction
2. Materials and Methods
2.1. Experimental Design
2.2. Participants
2.3. Anthropometric and Body Composition
2.4. Change of Direction and Agility Tests
2.5. Jumping and Strength Tests
2.6. Statistical Analysis
3. Results
4. Discussion
5. Conclusions
Author Contributions
Funding
Institutional Review Board Statement
Informed Consent Statement
Data Availability Statement
Acknowledgments
Conflicts of Interest
References
- International Padel Federation List of FIP Associated Countries. Available online: https://www.padelfip.com/es/ (accessed on 9 December 2020).
- Torres-Luque, G.; Ramirez, A.; Cabello-Manrique, D.; Nikolaidis, P.T.; Alvero-Cruz, J.R. Match analysis of elite players during paddle tennis competition. Int. J. Perform. Anal. Sport 2015, 15, 1135–1144. [Google Scholar] [CrossRef]
- Sánchez-Alcaraz, B.J. Game actions and temporal structure diferences between male and female professional paddle players [Diferencias en las acciones de juego y la estructura temporal entre el paádel masculino y femenino profesional]. Acción Mot. 2014, 12, 17–22. [Google Scholar]
- Priego, J.I.; Melis, J.O.; Llana-Belloch, S.; Pérezsoriano, P.; García, J.C.G.; Almenara, M.S.; Priego Quesada, J.I.; Olaso Melis, J.; Llana Belloch, S.; Pérez Soriano, P.; et al. Padel: A Quantitative study of the shots and movements in the high-performance. J. Hum. Sport Exerc. 2013, 8, 925–931. [Google Scholar] [CrossRef]
- Courel-Ibáñez, J.; Sánchez-Alcaraz, B.J.; Muñoz Marín, D. Exploring Game Dynamics in Padel: Implications for Assessment and Training. J. strength Cond. Res. 2019, 33, 1971–1977. [Google Scholar] [CrossRef]
- García-Benítez, S.; Courel-Ibáñez, J.; Pérez-Bilbao, T.; Felipe, J.L. Game responses during young padel match play: Age and sex comparisons. J. Strength Cond. Res. 2018, 32, 1144–1149. [Google Scholar] [CrossRef] [PubMed]
- Courel-Ibáñez, J.; Sánchez-Alcaraz, B.J.; García Benítez, S.; Echegaray, M. Evolution of padel in Spain according to practitioners’ gender and age. Cult. Cienc. Deport. 2017, 34, 39–46. [Google Scholar] [CrossRef]
- Courel-Ibáñez, J.; Sánchez-Alcaraz, B.J.; Muñoz, D.; Grijota, F.J.; Chaparro, R.; Díaz, J. Gender reasons for practicing paddle tennis [Motivos de género para la práctica de pádel]. Apunt. Educ. Fis. Deport. 2018, 133, 116–125. [Google Scholar] [CrossRef]
- Courel-Ibáñez, J.; Sánchez-Alcaraz, B.J.; Cañas, J. Game performance and length of rally in professional padel player. J. Hum. Kinet. 2017, 55, 161–169. [Google Scholar] [CrossRef]
- Bentham, J.; Di Cesare, M.; Bilano, V.; Bixby, H.; Zhou, B.; Stevens, G.A.; Riley, L.M.; Taddei, C.; Hajifathalian, K.; Lu, Y.; et al. Worldwide trends in body-mass index, underweight, overweight, and obesity from 1975 to 2016: A pooled analysis of 2416 population-based measurement studies in 128·9 million children, adolescents, and adults. Lancet 2017, 390, 2627–2642. [Google Scholar]
- Sañudo, B.; De Hoyo, M.; Carrasco, L. Structural characteristics and physiological demands of the paddle competition [Demandas fisiológicas y características estructurales de la competición en pádel masculino]. Apunt. Educ. Física Deport. 2008, 94, 23–28. [Google Scholar]
- Courel-Ibáñez, J.; Sánchez-Alcaraz, B.J. Effect of situational variables on points in elite padel players [Efecto de las variables situacionales sobre los puntos en jugadores de pádel de élite]. Apunt. Educ. Fis. Deport. 2017, 127, 68–74. [Google Scholar] [CrossRef]
- Ramón-Llín, J.; Guzmán, J.; Llana, S.; Vuckovic, G.; Muñoz, D.; Sánchez-Alcaraz, B.J. Analysis of distance covered in padel based on level of play and number of points per match. Retos 2020, 39, 205–209. [Google Scholar]
- Ramón-Llin, J.; Guzmán, J.F.; Belloch, S.L.; Vučković, G.; James, N. Comparison of distance covered in paddle in the serve team according to performance level. J. Hum. Sport Exerc. 2013, 8, S738–S742. [Google Scholar] [CrossRef]
- Muñoz, D.; Sánchez-Alcaraz, B.J.; Courel-Ibáñez, J.; Diaz, J.; Julian, A.; Munoz, J. Differences in winning the net zone in padel between professional and advance players. J. Sport Health Res. 2017, 9, 223–231. [Google Scholar]
- Courel-Ibáñez, J.; Sánchez-Alcaraz, B.J.; Cañas, J. Effectiveness at the net as a predictor of final match outcome in professional padel players. Int. J. Perform. Anal. Sport 2015, 15, 632–640. [Google Scholar] [CrossRef]
- Sánchez-Alcaraz, B.J.; Muñoz, D.; Pradas, F.; Ramón-Llin, J.; Cañas, J.; Sánchez-Pay, A. Analysis of Serve and Serve-Return Strategies in Elite Male and Female Padel. Appl. Sci. 2020, 10, 6693. [Google Scholar] [CrossRef]
- Courel-Ibáñez, J.; Alcaraz-Martínez, B.J.S. The role of hand dominance in padel: Performance profiles of professional players. Motricidade 2018, 14, 33–41. [Google Scholar] [CrossRef]
- Courel-Ibáñez, J.; Cordero, J.C.; Muñoz, D.; Sánchez-Alcaraz, B.J.; Grijota, F.J.; Robles, M.C. Fitness benefits of padel practice in middle-aged adult women. Sci. Sport. 2018, 33, 291–298. [Google Scholar] [CrossRef]
- Sánchez-Muñoz, C.; Muros, J.J.; Cañas, J.; Courel-Ibáñez, J.; Sánchez-Alcaraz, B.J.; Zabala, M. Anthropometric and physical fitness profiles of world-class male padel players. Int. J. Environ. Res. Public Health 2020, 17, 1–13. [Google Scholar] [CrossRef]
- Courel-Ibáñez, J.; Herrera-Gálvez, J.J. Fitness testing in padel: Performance differences according to players’ competitive level. Sci. Sport. 2020, 35, e11–e19. [Google Scholar] [CrossRef]
- Sánchez Alcaraz-Martínez, B.J.; Courel-Ibáñez, J.; Díaz García, J.; Muñoz Marín, D. Descriptive study about injuries in padel: Relationship with gender, age, players’ level and injuries location. Rev. Andaluza Med. Deport. 2019, 12, 29–34. [Google Scholar]
- Castillo-Lozano, R.; Casuso-Holgado, M.J. Incidence of musculoskeletal sport injuries in a sample of male and female recreational paddle-tennis players. J. Sports Med. Phys. Fitness 2017, 57, 816–821. [Google Scholar]
- Castillo-Lozano, R.; Casuso-Holgado, M.J. A comparison musculoskeletal injuries among junior and senior paddle-tennis Différences de la nature des blessures musculo-squelettiques. Sci. Sports 2015, 30, 268–274. [Google Scholar] [CrossRef]
- Sánchez-Alcaraz Martínez, B.J.; Orozco Ballesta, V.; Courel Ibáñez, J.; Sánchez Pay, A. Speed, agility, and strength assessment in young padel players. Retos 2018, 2041, 263–266. [Google Scholar] [CrossRef]
- Ramón-Llin, J.; Llana, S.; Guzmán, J.F.; Sanchez-Alcaraz, B.J. Analysis of distance covered in padel according to the player´s strategic role and level. Acción Mot. 2020, 25, 59–67. [Google Scholar]
- De Andrés, T. Prueba específica para pádel Test específico “Tapas 6R” de resistencia a la velocidad en pádel. Boletín Grup. Técnicos Alta Compet. Tec. Fed. Española Pádel 2007, 2, 2–5. [Google Scholar]
- Fernandez-Fernandez, J.; Nakamura, F.Y.; Moreno-Perez, V.; Lopez-Valenciano, A.; Del Coso, J.; Gallo-Salazar, C.; Barbado, D.; Ruiz-Perez, I.; Sanz-Rivas, D. Age and sex-related upper body performance differences in competitive young tennis players. PLoS ONE 2019, 14, e0221761. [Google Scholar] [CrossRef]
- Ulbricht, A.; Fernandez-Fernandez, J.; Mendez-Villanueva, A.; Ferrauti, A. Impact of Fitness Characteristics on Tennis Performance in Elite Junior Tennis Players. J. Strength Cond. Res. 2016, 30, 989–998. [Google Scholar] [CrossRef]
- Roetert, E.P.; Brown, S.; Piorkowski, P.; Woods, R. Fitness comparisons among three different level of elite tennis players. J. Strength Cond. Res. 1996, 10, 139–143. [Google Scholar]
- Kramer, T.; Huijgen, B.C.H.; Elferink-Gemser, M.T.; Visscher, C. Prediction of tennis performance in junior elite tennis players. J. Sport. Sci. Med. 2017, 16, 14–21. [Google Scholar]
- Fernandez-Fernandez, J.; Ulbricht, A.; Ferrauti, A. Fitness testing of tennis players: How valuable is it? Br. J. Sports Med. 2014, 48, 1–12. [Google Scholar] [CrossRef] [PubMed]
- World Medical Association declaration of Helsinki: Ethical principles for medical research involving human subjects. JAMA J. Am. Med. Assoc. 2013, 310, 2191–2194. [CrossRef] [PubMed]
- Loenneke, J.P.; Barnes, J.T.; Wilson, J.M.; Lowery, R.P.; Isaacs, M.N.; Pujol, T.J. Reliability of field methods for estimating body fat. Clin. Physiol. Funct. Imaging 2013, 33, 405–408. [Google Scholar] [CrossRef]
- Nimphius, S.; Callaghan, S.J.; Bezodis, N.E.; Lockie, R.G. Change of Direction and Agility Tests: Challenging Our Current Measures of Performance. Strength Cond. J. 2018, 40, 26–38. [Google Scholar] [CrossRef]
- Earp, J.E.; Kraemer, W.J. Medicine Ball Training Implications for Rotational Power Sports. Strength Cond. J. 2010, 32, 20–25. [Google Scholar] [CrossRef]
- Myers, N.L.; Sciascia, A.D.; Westgate, P.M.; Kibler, W.B.; Uhl, T.L. Increasing Ball Velocity in the Overhead Athlete: A Meta-analysis of Randomized Controlled Trials. J. Strength Cond. Res. 2015, 29, 2964–2979. [Google Scholar] [CrossRef][Green Version]
- Ikeda, Y.; Kijima, K.; Kawabata, K.; Fuchimoto, T.; Ito, A. Relationship between side medicine-ball throw performance and physical ability for male and female athletes. Eur. J. Appl. Physiol. 2007, 99, 47–55. [Google Scholar] [CrossRef]
- Ikeda, Y.; Miyatsuji, K.; Kawabata, K.; Fuchimoto, T.; Ito, A. Analysis of trunk muscle activity in the side medicine-ball throw. J. Strength Cond. Res. 2009, 23, 2231–2240. [Google Scholar] [CrossRef]
- Rodríguez-Rosell, D.; Mora-Custodio, R.; Franco-Márquez, F.; Yáñez-García, J.M.; González-Badillo, J.J. Traditional vs. Sport-specific vertical jump tests: Reliability, validity, and relationship with the legs strength and sprint performance in adult and teen soccer and basketball players. J. Strength Cond. Res. 2017, 31, 196–206. [Google Scholar] [CrossRef]
- Lakens, D. Calculating and reporting effect sizes to facilitate cumulative science: A practical primer for t-tests and ANOVAs. Front. Psychol. 2013, 4, 863. [Google Scholar] [CrossRef]
- Faul, F.; Erdfelder, E.; Lang, A.G.; Buchner, A. G*Power 3: A flexible statistical power analysis program for the social, behavioral, and biomedical sciences. In Proceedings of the Behavior Research Methods; Psychonomic Society Inc.: Chicago, IL, USA; Volume 39, pp. 175–191.
- Thomas, E.; Petrigna, L.; Tabacchi, G.; Teixeira, E.; Pajaujiene, S.; Sturm, D.J.; Sahin, F.N.; Gómez-López, M.; Pausic, J.; Paoli, A.; et al. Percentile values of the standing broad jump in children and adolescents aged 6–18 years old. Eur. J. Transl. Myol. 2020, 30, 9050. [Google Scholar] [CrossRef] [PubMed]
- Kurtoglu, S.; Mazicioglu, M.M.; Ozturk, A.; Hatipoglu, N.; Cicek, B.; Ustunbas, H.B. Body fat reference curves for healthy Turkish children and adolescents. Eur. J. Pediatr. 2010, 169, 1329–1335. [Google Scholar] [CrossRef]
- Cole, T.J.; Bellizzi, M.C.; Flegal, K.M.; Dietz, W.H. Establishing a standard definition for child overweight and obesity worldwide: International survey. Br. Med. J. 2000, 320, 1240–1243. [Google Scholar] [CrossRef]
- Dangardt, F.; Charakida, M.; Georgiopoulos, G.; Chiesa, S.T.; Rapala, A.; Wade, K.H.; Hughes, A.D.; Timpson, N.J.; Pateras, K.; Finer, N.; et al. Association between fat mass through adolescence and arterial stiffness: A population-based study from The Avon Longitudinal Study of Parents and Children. Lancet Child Adolesc. Health 2019, 3, 474–481. [Google Scholar] [CrossRef]
- Ooi, C.H.; Tan, A.; Ahmad, A.; Kwong, K.W.; Sompong, R.; Ghazali, K.A.M.; Liew, S.L.; Chai, W.J.; Thompson, M.W. Physiological characteristics of elite and sub-elite badminton players. J. Sports Sci. 2009, 27, 1591–1599. [Google Scholar] [CrossRef]
- Pradas, F.; de la Torre, A.; Carrasco, L.; Muñoz, D.; Courel-ibáñez, J.; González-Jurado, J.A. Anthropometric Profiles in Table Tennis Players: Analysis of Sex, Age, and Ranking. Appl. Sci. 2021, 11, 876. [Google Scholar] [CrossRef]
- Committee on Physical Activity and Physical Education in the School Environment; Food and Nutrition Board; Institute of Medicine. Physical activity and physical education: Relationship to growth, development, and health. In Educating the Student Body: Taking Physical Activity and Physical Education to School; Kohl, H.W., III, Cook, H.D., Eds.; National Academies Press: Washington, DC, USA, 2013. [Google Scholar]
- Telama, R.; Yang, X.; Leskinen, E.; Kankaanpää, A.; Hirvensalo, M.; Tammelin, T.; Viikari, J.S.A.; Raitakari, O.T. Tracking of physical activity from early childhood through youth into adulthood. Med. Sci. Sports Exerc. 2014, 46, 955–962. [Google Scholar] [CrossRef] [PubMed]
- Strong, W.B.; Malina, R.M.; Blimkie, C.J.R.; Daniels, S.R.; Dishman, R.K.; Gutin, B.; Hergenroeder, A.C.; Must, A.; Nixon, P.A.; Pivarnik, J.M.; et al. Evidence based physical activity for school-age youth. J. Pediatr. 2005, 146, 732–737. [Google Scholar] [CrossRef]
- Scully, D. Physical exercise and psychological well being: A critical review. Br. J. Sports Med. 1998, 32, 111–120. [Google Scholar] [CrossRef]
- Viña, J.; Sanchis-Gomar, F.; Martinez-Bello, V.; Gomez-Cabrera, M.C. Exercise acts as a drug; The pharmacological benefits of exercise. Br. J. Pharmacol. 2012, 167, 1–12. [Google Scholar] [CrossRef]
- Warburton, D.E.R.; Bredin, S.S.D. Health benefits of physical activity: A systematic review of current systematic reviews. Curr. Opin. Cardiol. 2017, 32, 541–556. [Google Scholar] [CrossRef]
- Ruegsegger, G.N.; Booth, F.W. Health benefits of exercise. Cold Spring Harb. Perspect. Med. 2018, 8, a029694. [Google Scholar] [CrossRef]
- Biernat, E.; Buchholtz, S.; Krzepota, J. Eye on the ball: Table tennis as a pro-health form of leisure-time physical activity. Int. J. Environ. Res. Public Health 2018, 15, 738. [Google Scholar] [CrossRef] [PubMed]
- Pluim, B.M.; Groppel, J.L.; Miley, D.; Crespo, M.; Turner, M.S. Health benefits of tennis. Br. J. Sports Med. 2018, 52, 201–202. [Google Scholar] [CrossRef] [PubMed]
- Jimeno-Almazán, A.; Courel-Ibáñez, J.; Pallarés, J.G. Lessons learned from COVID-19 in schools: The role of Physical Education in promoting health. J. Mov. Health 2021, 18, 1–3. [Google Scholar]
- Sánchez-Alcaraz, B.J.; Courel-Ibáñez, J.; Cañas, J. Groundstroke accuracy assessment in padel players according to their level of play. RICYDE Rev. Int. Cienc. Deport. 2016, 12, 324–333. [Google Scholar]


| Variable | Boys | Girls | Total | |||
|---|---|---|---|---|---|---|
| M (SD) | 95% CI | M (SD) | 95% CI | M (SD) | 95% CI | |
| Body composition | ||||||
| Height (cm) | 172.8 (8.5) | 168.8–176.9 | 158.6 (3.8) | 156.5–160.7 | 166.6 (9.8) | 163.1–170.0 |
| Body mass (kg) | 70.2 (14.5) | 63.2–77.2 | 54.7 (9.1) | 49.7–59.8 | 63.4 (14.5) | 58.3–68.4 |
| Fat (%) | 16.1 (4.8) | 13.8–18.4 | 24.1 (7.5) | 20.0–28.2 | 19.7 (7.2) | 17.1–22.2 |
| BMI (kg·m−2) | 23.3 (3.4) | 21.6–25.0 | 21.7 (3.3) | 19.9–23.6 | 22.6 (3.4) | 21.4–23.8 |
| Medicine ball throws (MBT) | ||||||
| Overhead MBT (m) | 6.0 (1.3) | 5.4–6.6 | 5.2 (1.3) | 4.5–6.0 | 5.7 (1.3) | 5.2–6.1 |
| Side MBT dominant (m) | 5.0 (0.7) | 4.7–5.4 | 4.7 (0.9) | 4.2–5.2 | 4.9 (0.8) | 4.6–5.2 |
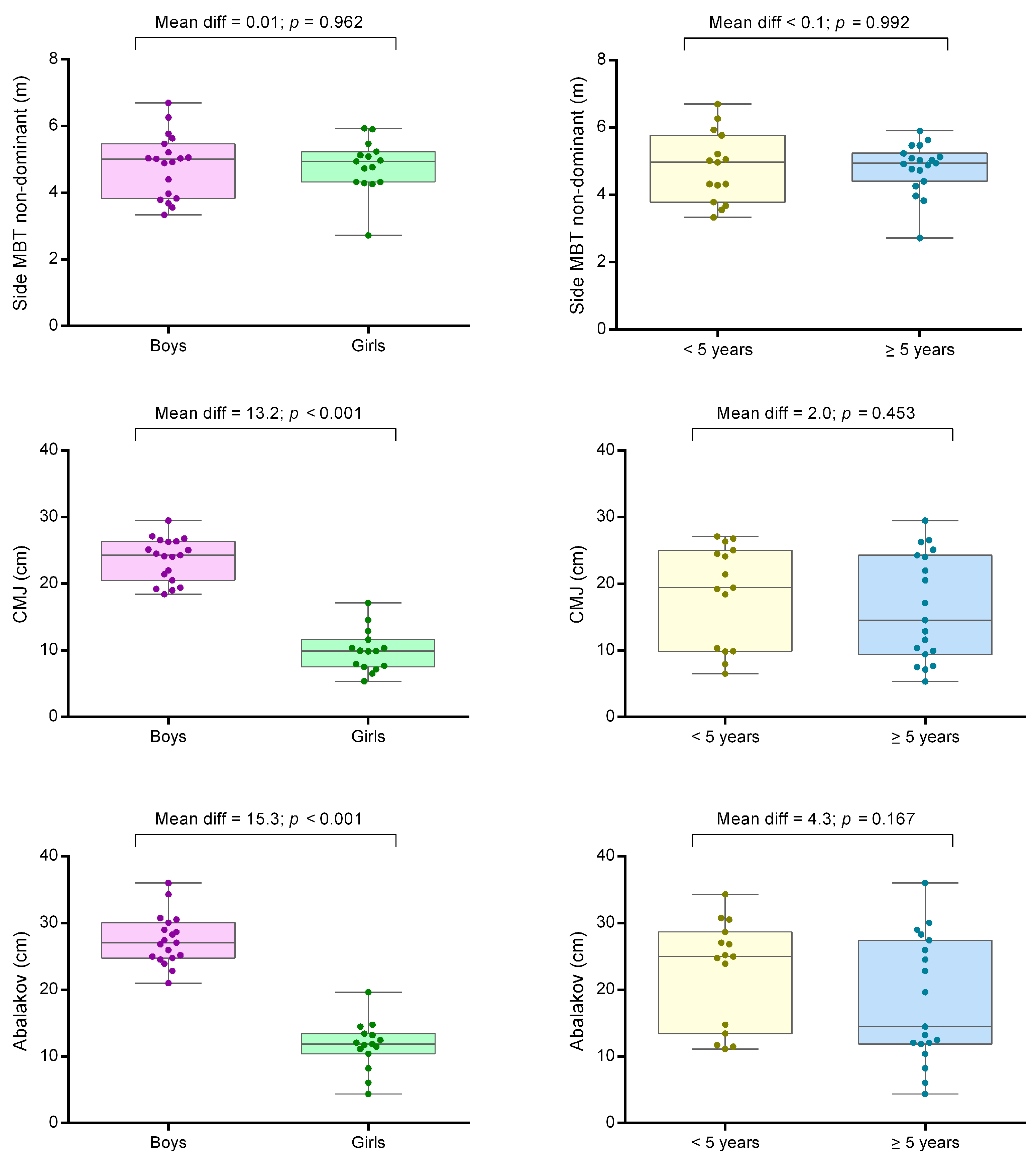
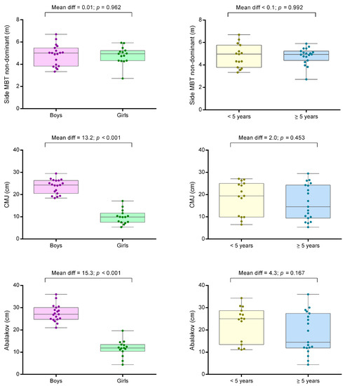
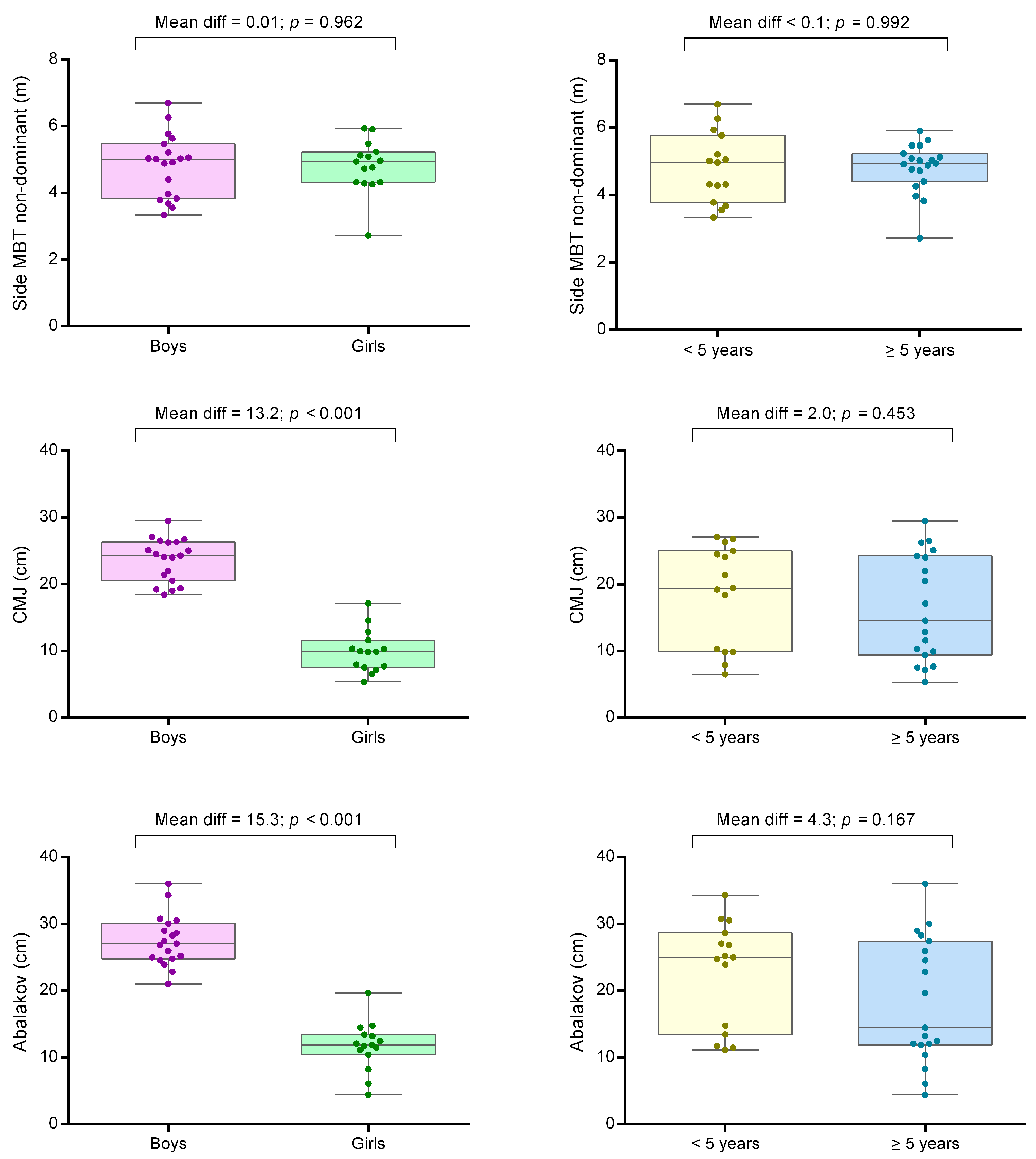
| Side MBT non-dominant (m) | 4.8 (0.9) | 4.4–5.3 | 4.8 (0.8) | 4.4–5.2 | 4.8 (0.9) | 4.5–5.1 |
| Jump | ||||||
| CMJ (cm) | 23.2 (4.5) | 21.0–25.3 | 9.9 (3.2) | 8.2–11.7 | 17.3 (7.7) | 14.6–20.0 |
| Abalakov (cm) | 27.0 (5.0) | 24.6–29.4 | 11.7 (3.6) | 9.7–13.7 | 20.3 (8.9) | 17.2–23.4 |
| Change-of-direction/agility | ||||||
| Padel agility test (s) | 18.2 (1.2) | 17.7–18.8 | 19.4 (1.3) | 18.7–20.1 | 18.7 (1.3) | 18.3–19.2 |
| RPE padel agility test | 5.5 (2.2) | 4.5–6.6 | 4.1 (1.5) | 3.3–4.9 | 4.9 (2.0) | 4.2–5.6 |
| Shuttle run 3 × 10 (s) | 8.3 (0.4) | 8.1–8.5 | 8.8 (0.6) | 8.5–9.1 | 8.5 (0.6) | 8.3–8.7 |
| RPE Shuttle run 3 × 10 | 5.3 (2.4) | 4.1–6.4 | 4.1 (1.5) | 3.2–4.9 | 4.7 (2.1) | 4.0–5.5 |
| Fitness Test | Gender | Experience | Gender–Experience | |||
|---|---|---|---|---|---|---|
| p-Value | ES | p-Value | ES | p-Value | ES | |
| Body composition | ||||||
| Height (cm) | 0.253 | 0.05 | 0.634 | 0.01 | 0.781 | <0.01 |
| Weight | 0.667 | 0.01 | 0.393 | 0.03 | 0.792 | <0.01 |
| Fat (%) | 0.243 | 0.05 | 0.326 | 0.04 | 0.935 | <0.01 |
| BMI (kg·m−2) | 0.966 | <0.01 | 0.148 | 0.08 | 0.895 | <0.01 |
| Medicine ball throws (MBT) | ||||||
| Overhead MBT (m) | 0.089 | 0.09 | 0.273 | 0.04 | 0.160 | 0.11 |
| Side MBT dominant (m) | 0.355 | 0.03 | 0.462 | 0.02 | 0.540 | 0.01 |
| Side MBT non-dominant (m) | 0.834 | <0.01 | 0.025 * | 0.17 | 0.799 | <0.01 |
| Side MBT asymmetry (%) | 0.462 | 0.02 | 0.585 | 0.01 | 0.147 | 0.08 |
| Jump | ||||||
| CMJ (cm) | 0.031 * | 0.16 | 0.429 | 0.02 | 0.316 | 0.04 |
| Abalakov (cm) | 0.019 * | 0.19 | 0.896 | <0.01 | 0.956 | <0.01 |
| Change-of-direction/agility | ||||||
| Padel agility test (s) | 0.308 | 0.04 | 0.842 | <0.01 | 0.389 | 0.03 |
| RPE padel agility test | 0.308 | 0.04 | 0.842 | <0.01 | 0.912 | <0.01 |
| Shuttle run 3 × 10 (s) | 0.990 | <0.01 | 0.523 | 0.02 | 0.649 | 0.01 |
| RPE Shuttle run 3 × 10 | 0.801 | <0.01 | 0.090 | 0.10 | 0.309 | 0.04 |
Publisher’s Note: MDPI stays neutral with regard to jurisdictional claims in published maps and institutional affiliations. |
© 2021 by the authors. Licensee MDPI, Basel, Switzerland. This article is an open access article distributed under the terms and conditions of the Creative Commons Attribution (CC BY) license (http://creativecommons.org/licenses/by/4.0/).
Share and Cite
Courel-Ibáñez, J.; Llorca-Miralles, J. Physical Fitness in Young Padel Players: A Cross-Sectional Study. Int. J. Environ. Res. Public Health 2021, 18, 2658. https://doi.org/10.3390/ijerph18052658
Courel-Ibáñez J, Llorca-Miralles J. Physical Fitness in Young Padel Players: A Cross-Sectional Study. International Journal of Environmental Research and Public Health. 2021; 18(5):2658. https://doi.org/10.3390/ijerph18052658
Chicago/Turabian StyleCourel-Ibáñez, Javier, and Javier Llorca-Miralles. 2021. "Physical Fitness in Young Padel Players: A Cross-Sectional Study" International Journal of Environmental Research and Public Health 18, no. 5: 2658. https://doi.org/10.3390/ijerph18052658
APA StyleCourel-Ibáñez, J., & Llorca-Miralles, J. (2021). Physical Fitness in Young Padel Players: A Cross-Sectional Study. International Journal of Environmental Research and Public Health, 18(5), 2658. https://doi.org/10.3390/ijerph18052658

