Mental Fatigue-Associated Decrease in Table Tennis Performance: Is There an Electrophysiological Signature?
Abstract
1. Introduction
2. Materials and Methods
2.1. Participants
2.2. Experimental Procedure
2.2.1. Familiarization Trial
2.2.2. Experimental and Control Trial
2.3. Data Collection
2.3.1. Visuomotor Task
2.3.2. EEG Recordings
2.3.3. Subjective and Physiological Secondary Outcome Measures
2.4. Statistical Analysis
3. Results
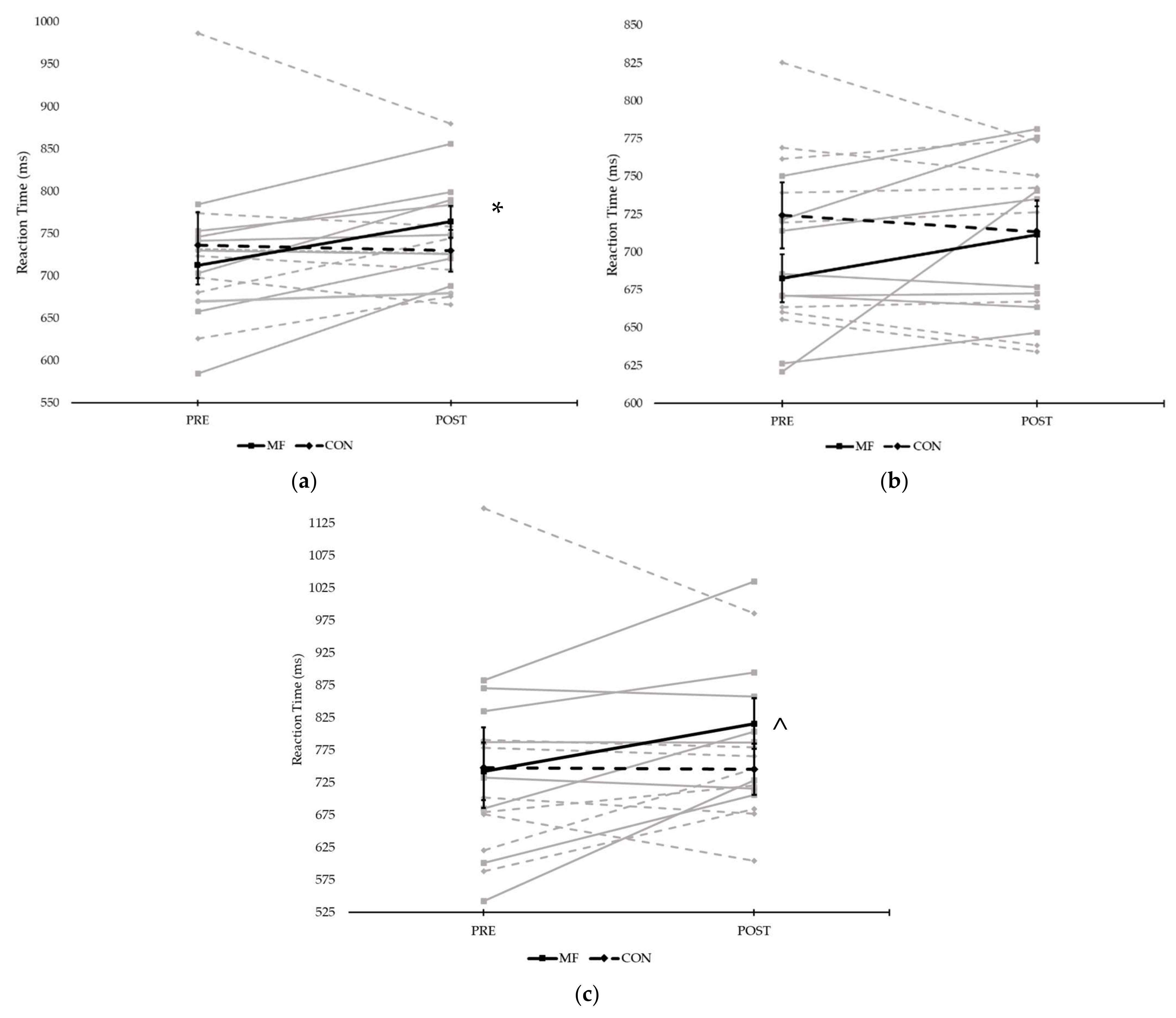
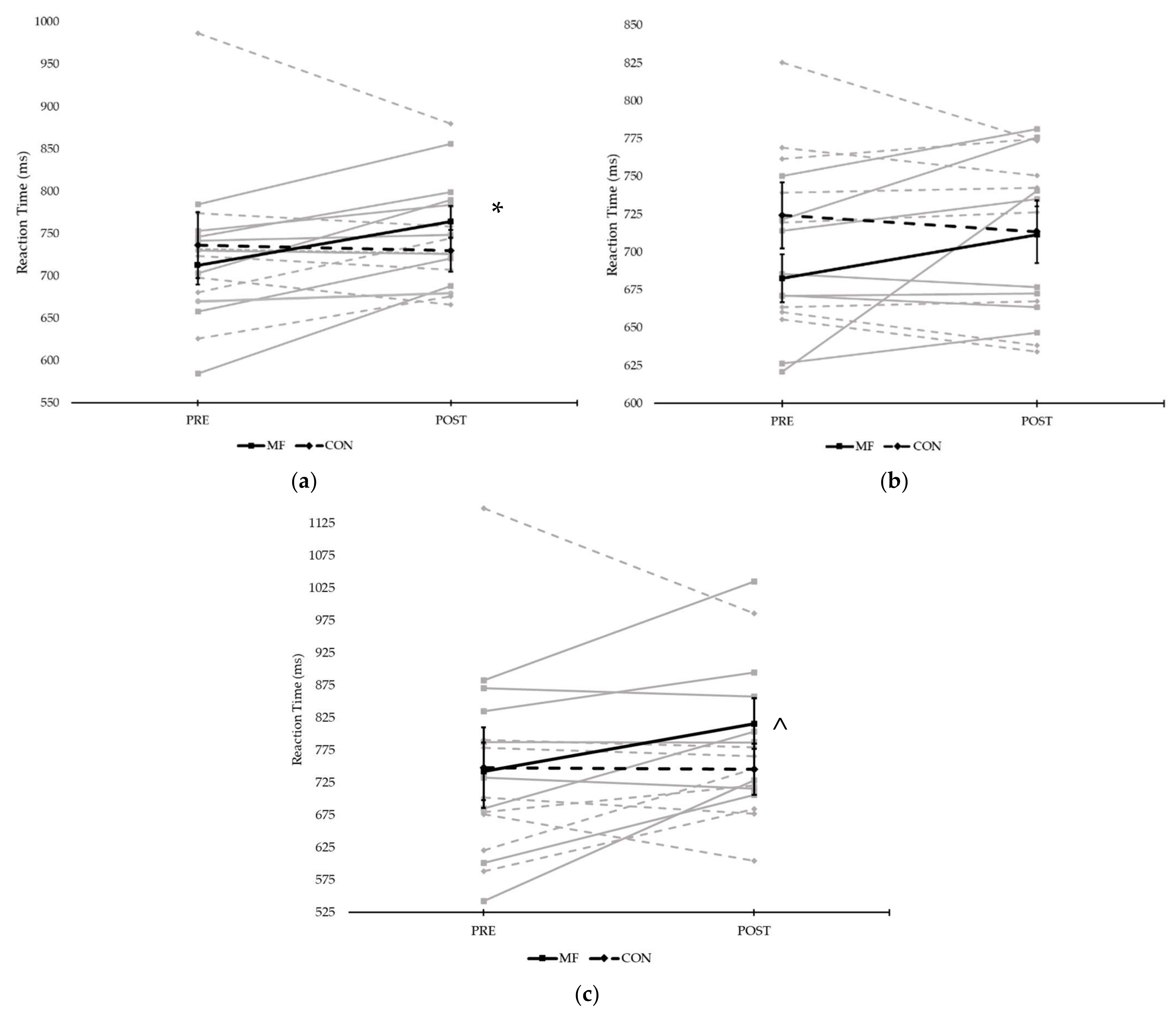
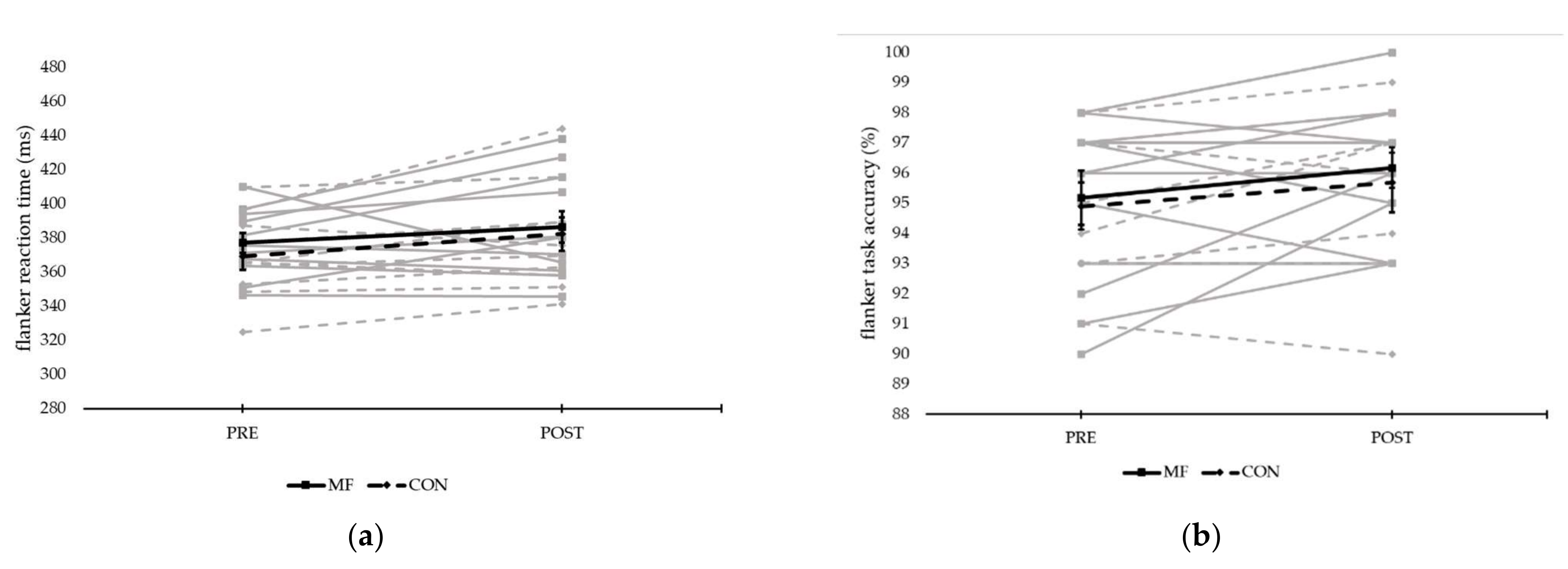
3.1. Effect of MF on Visuomotor Performance
3.2. Visuomotor Task EEG Outcomes
3.2.1. ERP Analysis
3.2.2. Spectral Band Analysis
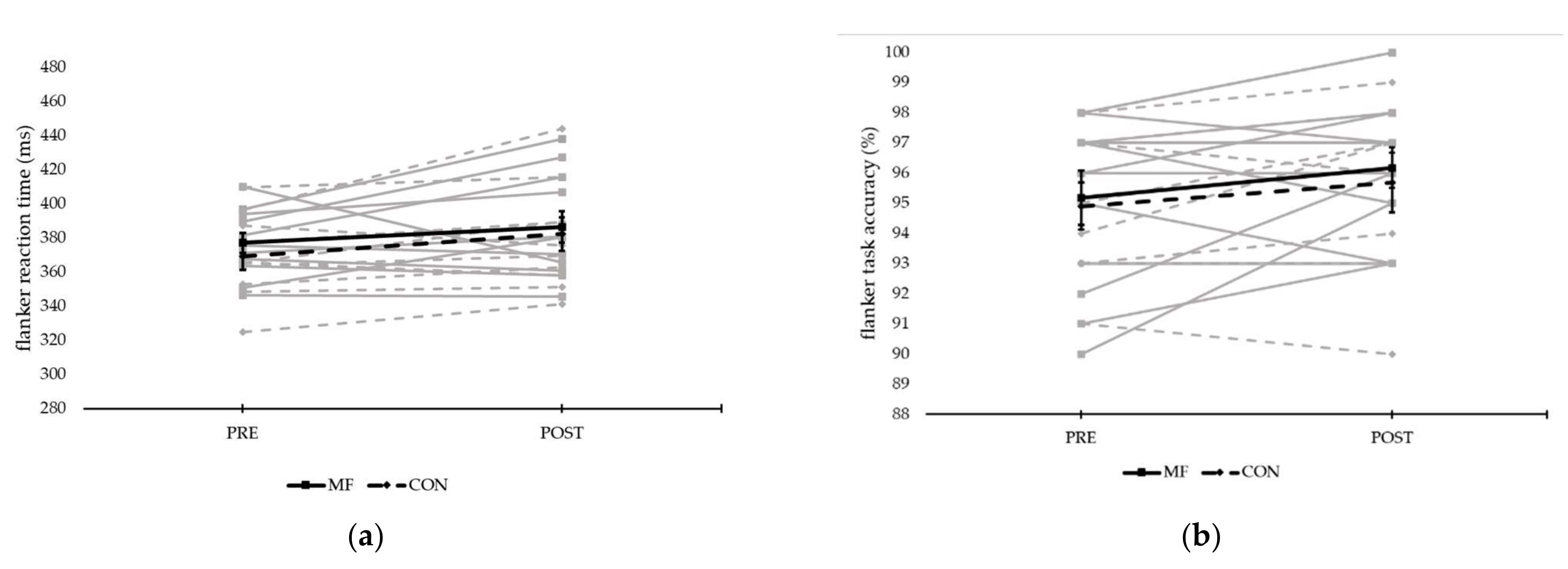
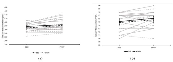
3.3. Secondary Outcome Measures
3.3.1. NASA-TLX
3.3.2. Motivation
3.3.3. Rate of Perceived Exertion
3.3.4. Heart Rate
3.4. Manipulation Checks
3.4.1. Subjective (M-VAS)
3.4.2. Physiological (EEG)
4. Discussion
4.1. Summary of the Findings
4.2. Effect of Mental Fatigue on Visuomotor Performance in Trained Table Tennis Players
4.3. Underlying Mechanisms of the Effect of Mental Fatigue on Visuomotor Performance
4.3.1. Neurophysiological
4.3.2. Subjective
4.4. Results and Importance of Manipulation Checks
4.5. Limitations and Future Directions
4.6. Practical Implications
5. Conclusions
Author Contributions
Funding
Institutional Review Board Statement
Informed Consent Statement
Data Availability Statement
Acknowledgments
Conflicts of Interest
References
- Baker, J.; Cote, J.; Abernethy, B. Sport-Specific Practice and the Development of Expert Decision-Making in Team Ball Sports. J. Appl. Sport Psychol. 2003, 15, 12–25. [Google Scholar] [CrossRef]
- Hülsdünker, T.; Strüder, H.K.; Mierau, A. Neural correlates of expert visuomotor performance in badminton players. Med. Sci. Sports Exerc. 2016, 48, 2125–2134. [Google Scholar] [CrossRef] [PubMed]
- Schneider, W.; Shiffrin, N. Controlled and Automatic Info Processing: I. Detection, Search and Attention. Psychol. Rev. 1977, 84, 1–66. [Google Scholar] [CrossRef]
- Yarrow, K.; Brown, P.; Krakauer, J.W. Inside the brain of an elite athlete: The neural processes that support high achievement in sports. Nat. Rev. Neurosci 2009, 10, 585–596. [Google Scholar] [CrossRef] [PubMed]
- Vestberg, T.; Gustafson, R.; Maurex, L.; Ingvar, M.; Petrovic, P. Executive Functions Predict the Success of Top-Soccer Players. PLoS ONE 2012, 7, e34731. [Google Scholar] [CrossRef] [PubMed]
- Kondrič, M.; Zagatto, A.M.; Sekulić, D. The Physiological Demands of Table Tennis: A Review. J. Sports Sci. Med. 2013, 12, 362–370. [Google Scholar] [PubMed]
- Milioni, F.; Leite, J.V.D.M.; Beneke, R.; de Poli, R.A.B.; Papoti, M.; Zagatto, A.M. Table tennis playing styles require specific energy systems demands. PLoS ONE 2018, 13, e0199985. [Google Scholar] [CrossRef]
- Zagatto, A.M.; Morel, E.A.; Gobatto, C.A. Physiological responses and characteristics of table tennis matches determined in official tournaments. J. Strength Cond. Res. 2010, 24, 942–949. [Google Scholar] [CrossRef]
- Hülsdünker, T.; Ostermann, M.; Mierau, A. The Speed of Neural Visual Motion Perception and Processing Determines the Visuomotor Reaction Time of Young Elite Table Tennis Athletes. Front. Behav. Neurosci. 2019, 13, 165. [Google Scholar] [CrossRef]
- Wang, C.-H.; Chang, C.-C.; Liang, Y.-M.; Shih, C.-M.; Chiu, W.-S.; Tseng, P.; Hung, D.L.; Tzeng, O.J.L.; Muggleton, N.G.; Juan, C.-H. Open vs. Closed Skill Sports and the Modulation of Inhibitory Control. PLoS ONE 2013, 8, e55773. [Google Scholar] [CrossRef]
- You, Y.; Ma, Y.; Ji, Z.; Meng, F.; Li, A.; Zhang, C. Unconscious response inhibition differences between table tennis athletes and non-athletes. PeerJ 2018, 6, e5548. [Google Scholar] [CrossRef] [PubMed]
- Padulo, J.; Pizzolato, F.; Tosi Rodrigues, S.; Migliaccio, G.M.; Attene, G.; Curcio, R.; Zagatto, A.M. Task complexity reveals expertise of table tennis players. J. Sports Med. Phys. Fit. 2015, 56, 149–156. [Google Scholar]
- Elferink-Gemser, M.T.; Faber, I.R.; Visscher, C.; Hung, T.-M.; de Vries, S.J.; Nijhuis-van der Sanden, M.W.G. Higher-level cognitive functions in Dutch elite and sub-elite table tennis players. PLoS ONE 2018, 13, e0206151. [Google Scholar] [CrossRef] [PubMed]
- Schaefer, S.; Scornaienchi, D. Table Tennis Experts Outperform Novices in a Demanding Cognitive-Motor Dual-Task Situation. J. Mot. Behav. 2020, 52, 204–213. [Google Scholar] [CrossRef] [PubMed]
- Le Mansec, Y.; Seve, C.; Jubeau, M. Neuromuscular fatigue and time motion analysis during a table tennis competition. J. Sports Med. Phys. Fit. 2017, 57, 353–361. [Google Scholar] [CrossRef] [PubMed]
- Le Mansec, Y.; Pageaux, B.; Nordez, A.; Dorel, S.; Jubeau, M. Mental fatigue alters the speed and the accuracy of the ball in table tennis. J. Sports Sci. 2018, 36, 2751–2759. [Google Scholar] [CrossRef] [PubMed]
- Van Cutsem, J.; Marcora, S.; de Pauw, K.; Bailey, S.; Meeusen, R.; Roelands, B. The effects of mental fatigue on physical performance: A systematic review. Sports Med. 2017, 47, 1569–1588. [Google Scholar] [CrossRef] [PubMed]
- Habay, J.; van Cutsem, J.; Verschueren, J.; de Bock, S.; Proost, M.; de Wachter, J.; Tassignon, B.; Meeusen, R.; Roelands, B. Mental Fatigue and Sport-Specific Psychomotor Performance: A Systematic Review. Sports Med. 2021, 51, 1527–1548. [Google Scholar] [CrossRef] [PubMed]
- Russell, S.; Jenkins, D.; Smith, M.; Halson, S.; Kelly, V. The application of mental fatigue research to elite team sport performance: New perspectives. J. Sci. Med. Sport 2019, 22, 723–728. [Google Scholar] [CrossRef] [PubMed]
- Van Cutsem, J.; de Pauw, K.; Vandervaeren, C.C.; Marcora, S.; Meeusen, R.; Roelands, B. Mental fatigue impairs visuomotor response time in badminton players and controls. Psychol. Sport Exerc. 2019, 45, 101579. [Google Scholar] [CrossRef]
- Phomsoupha, M.; Laffaye, G. The Science of Badminton: Game Characteristics, Anthropometry, Physiology, Visual Fitness and Biomechanics. Sports Med. 2015, 45, 473–495. [Google Scholar] [CrossRef] [PubMed]
- Boksem, M.A.S.; Meijman, T.F.; Lorist, M.M. Effects of mental fatigue on attention: An ERP study. Brain Res. Cogn. Brain Res. 2005, 25, 107–116. [Google Scholar] [CrossRef] [PubMed]
- Van der Linden, D.; Eling, P. Mental fatigue disturbs local processing more than global processing. Psychol. Res. 2004, 70, 395–402. [Google Scholar] [CrossRef] [PubMed]
- Giboin, L.S.; Wolff, W. The effect of ego depletion or mental fatigue on subsequent physical endurance performance: A meta-analysis. Perform. Enhanc. Health 2019, 7, 1–23. [Google Scholar] [CrossRef]
- Meeusen, R.; van Cutsem, J.; Roelands, B. Endurance exercise-induced and mental fatigue and the brain. Exp. Physiol. 2020, 106, 2294–2298. [Google Scholar] [CrossRef] [PubMed]
- Magnuson, J.R.; Doesburg, S.M.; McNeil, C.J. Development and recovery time of mental fatigue and its impact on motor function. Biol. Psychol. 2021, 161, 108076. [Google Scholar] [CrossRef] [PubMed]
- Kato, Y.; Endo, H.; Kizuka, T. Mental fatigue and impaired response processes: Event-related brain potentials in a Go/NoGo task. Int. J. Psychophysiol. 2009, 72, 204–211. [Google Scholar] [CrossRef]
- Tran, Y.; Craig, A.; Craig, R.; Chai, R.; Nguyen, H. The influence of mental fatigue on brain activity: Evidence from a systematic review with meta-analyses. Psychophysiology 2020, 57, e13554. [Google Scholar] [CrossRef]
- Minkwitz, J.; Trenner, M.U.; Sander, C.; Olbrich, S.; Sheldrick, A.J.; Schönknecht, P.; Hegerl, U.; Himmerich, H. Prestimulus vigilance predicts response speed in an easy visual discrimination task. Behav. Brain Funct. 2011, 7, 31. [Google Scholar] [CrossRef] [PubMed]
- Van Cutsem, J.; de Pauw, K.; Marcora, S.M.; Meeusen, R.; Roelands, B. A caffeine-maltodextrin mouth rinse counters mental fatigue. Psychopharmacology 2018, 235, 947–958. [Google Scholar] [CrossRef]
- Carlson, J.M. A systematic review of event-related potentials as outcome measures of attention bias modification. Psychophysiology 2021, 58, e13801. [Google Scholar] [CrossRef] [PubMed]
- Heidlmayr, K.; Kihlstedt, M.; Isel, F. A review on the electroencephalography markers of Stroop executive control processes. Brain Cogn. 2020, 146, 105637. [Google Scholar] [CrossRef] [PubMed]
- Huang, J.; Hensch, T.; Ulke, C.; Sander, C.; Spada, J.; Jawinski, P.; Hegerl, U. Evoked potentials and behavioral performance during different states of brain arousal. BMC Neurosci. 2017, 18, 21. [Google Scholar] [CrossRef][Green Version]
- Jacquet, T.; Poulin-Charronnat, B.; Bard, P.; Lepers, R. Persistence of Mental Fatigue on Motor Control. Front. Psychol. 2020, 11, 588253. [Google Scholar] [CrossRef] [PubMed]
- Nakagawa, S.; Sugiura, M.; Akitsuki, Y.; Hosseini, S.M.H.H.; Kotozaki, Y.; Miyauchi, C.M.; Yomogida, Y.; Yokoyama, R.; Takeuchi, H.; Kawashima, R. Compensatory effort parallels midbrain deactivation during mental fatigue: An fMRI study. PLoS ONE 2013, 8, e56606. [Google Scholar] [CrossRef]
- Jasper, H. Report of the committee on methods of clinical examination in electroencephalography. Electroencephalogr. Clin. Neurophysiol. 1958, 10, 370–371. [Google Scholar] [CrossRef]
- Luck, S.J. An Introduction to the Event-Related Potential Technique, 2nd ed.; The MIT Press: Cambridge, MA, USA, 2014. [Google Scholar]
- Bian, Z.; Yang, R.; Yang, X.; Liu, Y.; Gao, X.; Chen, H. Influence of Negative Mood on Restrained Eaters’ Memory Suppression of Food Cues: An Event-Related Potentials Study. Appetite 2021, 164, 105269. [Google Scholar] [CrossRef] [PubMed]
- Faber, L.G.; Maurits, N.M.; Lorist, M.M. Mental fatigue affects visual selective attention. PLoS ONE 2012, 7, e48073. [Google Scholar] [CrossRef]
- Wascher, E.; Rasch, B.; Sänger, J.; Hoffmann, S.; Schneider, D.; Rinkenauer, G.; Heuer, H.; Gutberlet, I. Frontal theta activity reflects distinct aspects of mental fatigue. Biol. Psychol. 2014, 96, 57–65. [Google Scholar] [CrossRef] [PubMed]
- Smith, M.R.; Chai, R.; Nguyen, H.T.; Marcora, S.M.; Coutts, A.J. Comparing the effects of three cognitive tasks on indicators of mental fatigue. J. Psychol. 2019, 153, 759–783. [Google Scholar] [CrossRef] [PubMed]
- Matthews, G.; Campbell, S.E.; Falconer, S. Assesment of motivational states in performance environments. Proc. Hum. Factors Ergon. Soc. Annu. Meet. 2001, 45, 906–910. [Google Scholar] [CrossRef]
- Hart, S.G.; Staveland, L.E. Development of NASA-TLX (Task Load Index): Results of Empirical and Theoretical Research. Adv. Psychol. 1988, 52, 139–183. [Google Scholar] [CrossRef]
- Borg, G.A.V. Psychophysical bases of perceived exertion. Med. Sci. Sports Exerc. 1982, 14, 377–381. [Google Scholar] [CrossRef] [PubMed]
- Terentjeviene, A.; Maciuleviciene, E.; Vadopalas, K.; Mickeviciene, D.; Karanauskiene, D.; Valanciene, D.; Solianik, R.; Emeljanovas, A.; Kamandulis, S.; Skurvydas, A. Prefrontal Cortex Activity Predicts Mental Fatigue in Young and Elderly Men During a 2 h “Go/NoGo” Task. Front. Neurosci. 2018, 12, 620. [Google Scholar] [CrossRef] [PubMed]
- Hopstaken, J.F.; van der Linden, D.; Bakker, A.B.; Kompier, M.A.J. A multifaceted investigation of the link between mental fatigue and task disengagement. Psychophysiology 2015, 52, 305–315. [Google Scholar] [CrossRef] [PubMed]
- Baumeister, R.F.; Bratslavsky, E.; Muraven, M.; Tice, D.M. Ego depletion: Is the active self a limited resource? J. Personal. Soc. Psychol. 1998, 74, 1252–1265. [Google Scholar] [CrossRef]
- Qi, P.; Ru, H.; Gao, L.; Zhang, X.; Zhou, T.; Tian, Y.; Thakor, N.; Bezerianos, A.; Li, J.; Sun, Y. Neural Mechanisms of Mental Fatigue Revisited: New Insights from the Brain Connectome. Engineering 2019, 5, 276–286. [Google Scholar] [CrossRef]
- Martin, K.; Staiano, W.; Menaspa, P.; Hennessey, T.; Marcora, S.; Keegan, R.; Thompson, K.G.; Martin, D.; Halson, S.; Rattray, B. Superior Inhibitory Control and Resistance to Mental Fatigue in Professional Road Cyclists. PLoS ONE 2016, 11, e0159907. [Google Scholar] [CrossRef] [PubMed]
- Holgado, D.; Sanabria, D.; Perales, J.C.; Vadillo, M.A. Mental Fatigue Might Be Not So Bad for Exercise Performance After All: A Systematic Review and Bias-Sensitive Meta-Analysis. J. Cogn. 2020, 3, 38. [Google Scholar] [CrossRef]
- Noe, F.; Hachard, B.; Ceyte, H.; Bru, N.; Paillard, T. Relationship between the level of mental fatigue induced by a prolonged cognitive task and the degree of balance disturbance. Exp. Brain Res. 2021, 239, 2273–2283. [Google Scholar] [CrossRef] [PubMed]
- Filipas, L.; Borghi, S.; La Torre, A.; Smith, M.R. Effects of mental fatigue on soccer-specific performance in young players. Sci. Med. Footb. 2020, 5, 150–157. [Google Scholar] [CrossRef]
- Smeeth, D.; Beck, S.; Karam, E.; Pluess, M. The Role of Epigenetics in Psychological Resilience. Lancet Psychiatry 2021, 8, 620–629. [Google Scholar] [CrossRef]
- Melo, H.M.; Nascimento, L.M.; Hoeller, A.A.; Walz, R.; Takase, E. Early Alpha Reactivity is Associated with Long-Term Mental Fatigue Behavioral Impairments. Appl. Psychophysiol. Biofeedback 2021, 46, 103–113. [Google Scholar] [CrossRef]
- Robles, D.; Kuziek, J.W.P.; Wlasitz, N.A.; Bartlett, N.T.; Hurd, P.L.; Mathewson, K.E. EEG in motion: Using an oddball task to explore motor interference in active skateboarding. Eur. J. Neurosci. 2021. [Google Scholar] [CrossRef] [PubMed]
- Arnau, S.; Brummer, T.; Liegel, N.; Wascher, E. Inverse effects of time-on-task in task-related and task-unrelated theta activity. Psychophysiology 2021, 58, e13805. [Google Scholar] [CrossRef] [PubMed]
- Yakobi, O.; Boylan, J.; Danckert, J. Behavioral and electroencephalographic evidence for reduced attentional control and performance monitoring in boredom. Psychophysiology 2021, 58, e13816. [Google Scholar] [CrossRef] [PubMed]
- De Wachter, J.; Proost, M.; Habay, J.; Verstraelen, M.; Díaz-García, J.; Hurst, P.; Meeusen, R.; van Cutsem, J.; Roelands, B. Prefrontal Cortex Oxygenation During Endurance Performance: A Systematic Review of Functional Near-Infrared Spectroscopy Studies. Front. Physiol. 2021, 12, 1834. [Google Scholar] [CrossRef]
- Ismail, L.E.; Karwowski, W. Applications of EEG indices for the quantification of human cognitive performance: A systematic review and bibliometric analysis. PLoS ONE 2020, 15, e0242857. [Google Scholar] [CrossRef] [PubMed]
- Herlambang, M.B.; Taatgen, N.A.; Cnossen, F. The Role of Motivation as a Factor in Mental Fatigue. Hum. Factors 2019, 61, 1171–1185. [Google Scholar] [CrossRef] [PubMed]
- Brietzke, C.; Vinícius, Í.; Franco-Alvarenga, P.E.; Canestri, R.; Goethel, M.F.; Santos, L.E.R.; Viana, B.; Santos, T.M.; Pires, F.O. Proof-of-Concept and Test-Retest Reliability Study of Psychological and Physiological Variables of the Mental Fatigue Paradigm. Int. J. Environ. Res. Public Health 2021, 18, 9532. [Google Scholar] [CrossRef] [PubMed]
- Gergelyfi, M.; Sanz-Arigita, E.J.; Solopchuk, O.; Dricot, L.; Jacob, B.; Zenon, A. Mental fatigue correlates with depression of task-related network and augmented DMN activity but spares the reward circuit. Neuroimage 2021, 243, 118532. [Google Scholar] [CrossRef] [PubMed]
- Coyne, J.O.C.; Coutts, A.J.; Newton, R.U.; Haff, G.G. The Influence of Mental Fatigue on Sessional Ratings of Perceived Exertion in Elite Open and Closed Skill Sports Athletes. J. Strength Cond. Res. 2021, 35, 963–969. [Google Scholar] [CrossRef] [PubMed]
- Mangin, T.; André, N.; Benraiss, A.; Pageaux, B.; Audiffren, M. No ego-depletion effect without a good control task. Psychol. Sport Exerc. 2021, 57, 102033. [Google Scholar] [CrossRef]
- O’Keeffe, K.; Hodder, S.; Lloyd, A.; O’Keeffe, K.; Hodder, S.; Lloyd, A. A comparison of methods used for inducing mental fatigue in performance research: Individualised, dual-task and short duration cognitive tests are most effective. Ergonomics 2020, 63, 1–12. [Google Scholar] [CrossRef] [PubMed]
- Zhao, C.; Zhao, M.; Liu, J.; Zheng, C. Electroencephalogram and electrocardiograph assessment of mental fatigue in a driving simulator. Accid. Anal. Prev. 2012, 45, 83–90. [Google Scholar] [CrossRef] [PubMed]
- Van Cutsem, J.; Roelands, B.; Pluym, B.; Tassignon, B.; Verschueren, J.; de Pauw, K.; Meeusen, R. Can creatine combat the mental fatigue–associated decrease in visuomotor skills? Med. Sci. Sports Exerc. 2019, 52, 120–130. [Google Scholar] [CrossRef] [PubMed]
- Filipas, L.; Martin, K.; Northey, J.M.; La Torre, A.; Keegan, R.; Rattray, B. A 4-week endurance training program improves tolerance to mental exertion in untrained individuals. J. Sci. Med. Sport 2020, 23, 1215–1219. [Google Scholar] [CrossRef] [PubMed]
- Thompson, C.J.; Noon, M.; Towlson, C.; Perry, J.; Coutts, A.J.; Harper, L.D.; Skorski, S.; Smith, M.R.; Barrett, S.; Meyer, T. Understanding the presence of mental fatigue in English academy soccer players. J. Sports Sci. 2020, 38, 1–7. [Google Scholar] [CrossRef] [PubMed]
- Díaz-García, J.; Pulido, J.J.; Ponce-Bordón, J.C.; Cano-Prado, C.; López-Gajardo, M.Á.; García-Calvo, T. Coach Encouragement During Soccer Practices Can Influence Players’ Mental and Physical Loads. J. Hum. Kinet. 2021, 79, 277–288. [Google Scholar] [CrossRef] [PubMed]





| Event Related Potentials | |||||||||
|---|---|---|---|---|---|---|---|---|---|
| Variable | Definition | Suspected Latency | Regions of Interest | ||||||
| DLPC | PC | PMC | IOC | AG | FG | SAC | |||
| N1 | First negative going peak | 90–150 ms | X | X | X | ||||
| P2 | Second positive going peak | 80–260 ms | X | X | |||||
| N2 | Second negative going peak | 200–315 ms | X | X | |||||
| P3b | Third and largest positive going peak | 280–450 ms | X | X | X | ||||
| Spectral Bands | |||||||||
| Symbol | Name | Frequency | Regions of Interest | ||||||
| DLPC | PC | PMC | IOC | AG | FG | SAC | |||
| θ | Theta | 4–<8 Hz | X | X | X | X | X | X | X |
| Lα | Lower alpha | 8–<10 Hz | X | X | X | X | X | X | X |
| Uα | Upper alpha | 10–<13 Hz | X | X | X | X | X | X | X |
| Scale | Mean ± SD | Effect of Condition | Effect of Time | Post Hoc Time | |||||
|---|---|---|---|---|---|---|---|---|---|
| Time 1 | Time 2 | Time 3 | 1 ↔ 2 | 2 ↔ 3 | 1 ↔ 3 | ||||
| Mental Workload | MF | 40 ± 24 | 69 ± 28 | 52 ± 28 | p = 0.120 | p = 0.004 * | p = 0.028 * | p = 0.039 * | p = 0.549 |
| CON | 39 ± 28 | 53 ± 26 | 44 ± 22 | ηp2 = 0.224 | ηp2 = 0.418 | ||||
| Physical Workload | MF | 11 ± 10 | 7 ± 5 | 14 ± 7 | p = 0.093 | p = 0.002 * | p = 0.096 | p = 0.004 * | p = 0.420 |
| CON | 15 ± 12 | 7 ± 6 | 21 ± 17 | ηp2 = 0.256 | ηp2 = 0.469 | ||||
| Tempo | MF | 34 ± 25 | 56 ± 21 | 43 ± 24 | p = 0.054 | p = 0.005 * | p = 0.023 * | p = 0.170 | p = 0.360 |
| CON | 31 ± 22 | 49 ± 31 | 35 ± 25 | ηp2 = 0.323 | ηp2 = 0.410 | ||||
| Performance | MF | 41 ± 16 | 44 ± 14 | 41 ± 12 | p = 0.057 | p = 0.904 | / | / | / |
| CON | 35 ± 9 | 36 ± 16 | 37 ± 12 | ηp2 = 0.316 | ηp2 = 0.010 | ||||
| Effort | MF | 36 ± 14 | 58 ± 22 | 42 ± 22 | p = 0.394 | p = 0.007 * | p = 0.023 * | p = 0.076 | p = 1.000 |
| CON | 37 ± 22 | 47 ± 25 | 40 ± 13 | ηp2 = 0.074 | ηp2 = 0.388 | ||||
| Frustration | MF | 11 ± 9 | 51 ± 23 | 36 ± 21 | 1: p = 0.160 d = −0.457 2: p = 0.007 * d = 1.008 3: p = 0.423 d = 0.847 | MF: p < 0.001 * ηp2 = 0.562 CON: p = 0.276 ηp2 = 0.121 | p = 0.002 * | p = 0.196 | p = 0.039 * |
| CON | 17 ± 10 | 23 ± 23 | 27 ± 24 | / | / | / | |||
| Mental Fatigue | Control | ||||||
|---|---|---|---|---|---|---|---|
| M-VAS | Mean Diff. | 95% CI | p | M-VAS | Mean Diff. | 95% CI | p |
| 1 ↔ 2 | −5.0 | [−18.4; 8.6] | 1.000 | 1 ↔ 2 | −1.2 | [−17.0; 14.6] | 1.000 |
| 1 ↔ 3 | −7.2 | [−25.0; 10.6] | 1.000 | 1 ↔ 3 | −7.4 | [−30.1; 15.4] | 1.000 |
| 1 ↔ 4 | −34.3 | [−57.0; −11.6] | 0.002 * | 1 ↔ 4 | −3.3 | [−24.8; 18.3] | 1.000 |
| 1 ↔ 5 | −45.6 | [−67.8; −23.5] | <0.001 * | 1 ↔ 5 | −6.3 | [−28.4; 15.8] | 1.000 |
| 1 ↔ 6 | −55.0 | [−78.4; −31.6] | <0.001 * | 1 ↔ 6 | −12.8 | [−30.3; 4.7] | 0.340 |
| 1 ↔ 7 | −61.5 | [−83.7; −39.2] | <0.001 * | 1 ↔ 7 | −17.5 | [−36.7; 1.8] | 0.094 |
| 1 ↔ 8 | −47.4 | [−73.8; −20.9] | 0.001 * | 1 ↔ 8 | −20.8 | [−40.9; −0.8] | 0.038 * |
| 1 ↔ 9 | −38.9 | [−66.8; −11.1] | 0.004 * | 1 ↔ 9 | −24.8 | [−49.5; −0.1] | 0.049 * |
| M-Vas | 1 | 2 | 3 | 4 | 5 | 6 | 7 | 8 | 9 |
|---|---|---|---|---|---|---|---|---|---|
| MF | 18 ± 10 | 24 ± 15 | 26 ± 15 | 53 ± 17 | 64 ± 13 | 73 ± 13 | 80 ± 11 | 66 ± 17 | 58 ± 16 |
| CON | 20 ± 17 | 21 ± 13 | 27 ± 16 | 23 ± 16 | 26 ± 17 | 33 ± 18 | 37 ± 17 | 41 ± 18 | 45 ± 18 |
| p | 0.807 | 0.612 | 0.756 | 0.001 * | <0.001 * | <0.001 * | <0.001 * | 0.003 * | 0.021 * |
Publisher’s Note: MDPI stays neutral with regard to jurisdictional claims in published maps and institutional affiliations. |
© 2021 by the authors. Licensee MDPI, Basel, Switzerland. This article is an open access article distributed under the terms and conditions of the Creative Commons Attribution (CC BY) license (https://creativecommons.org/licenses/by/4.0/).
Share and Cite
Habay, J.; Proost, M.; De Wachter, J.; Díaz-García, J.; De Pauw, K.; Meeusen, R.; Van Cutsem, J.; Roelands, B. Mental Fatigue-Associated Decrease in Table Tennis Performance: Is There an Electrophysiological Signature? Int. J. Environ. Res. Public Health 2021, 18, 12906. https://doi.org/10.3390/ijerph182412906
Habay J, Proost M, De Wachter J, Díaz-García J, De Pauw K, Meeusen R, Van Cutsem J, Roelands B. Mental Fatigue-Associated Decrease in Table Tennis Performance: Is There an Electrophysiological Signature? International Journal of Environmental Research and Public Health. 2021; 18(24):12906. https://doi.org/10.3390/ijerph182412906
Chicago/Turabian StyleHabay, Jelle, Matthias Proost, Jonas De Wachter, Jesús Díaz-García, Kevin De Pauw, Romain Meeusen, Jeroen Van Cutsem, and Bart Roelands. 2021. "Mental Fatigue-Associated Decrease in Table Tennis Performance: Is There an Electrophysiological Signature?" International Journal of Environmental Research and Public Health 18, no. 24: 12906. https://doi.org/10.3390/ijerph182412906
APA StyleHabay, J., Proost, M., De Wachter, J., Díaz-García, J., De Pauw, K., Meeusen, R., Van Cutsem, J., & Roelands, B. (2021). Mental Fatigue-Associated Decrease in Table Tennis Performance: Is There an Electrophysiological Signature? International Journal of Environmental Research and Public Health, 18(24), 12906. https://doi.org/10.3390/ijerph182412906

