How Do Teleworkers and Organizations Manage the COVID-19 Crisis in Brazil? The Role of Flexibility I-Deals and Work Recovery in Maintaining Sustainable Well-Being at Work
Abstract
:1. Introduction
1.1. Theoretical Background and Hypothesis
1.1.1. Sustainable Well-Being at Work (SWBW)
1.1.2. Idiosyncratic Deals (i-Deals)
1.1.3. Recovery as a Worker Moderating Resource
2. Study Context Overview
3. Study 1: Examining the Moderating Role of Recovery in the Relationship between I-Deals and Patterns of SWBW to Teleworkers in the First Brazilian Outbreak
3.1. Participants
3.2. Measures and Data Collection
3.3. Data Analysis
3.3.1. Preliminary Analysis
3.3.2. Regression Analysis
4. Study 1: Results
5. Study 2: Examining the Moderating Role of Recovery in the Relationship between i-Deals and Patterns of SWBW to Teleworkers in the Second Brazilian Outbreak
5.1. Participants
5.2. Measures and Data Collection
5.3. Data Analysis
6. Study 2: Results
6.1. Meaning of Work
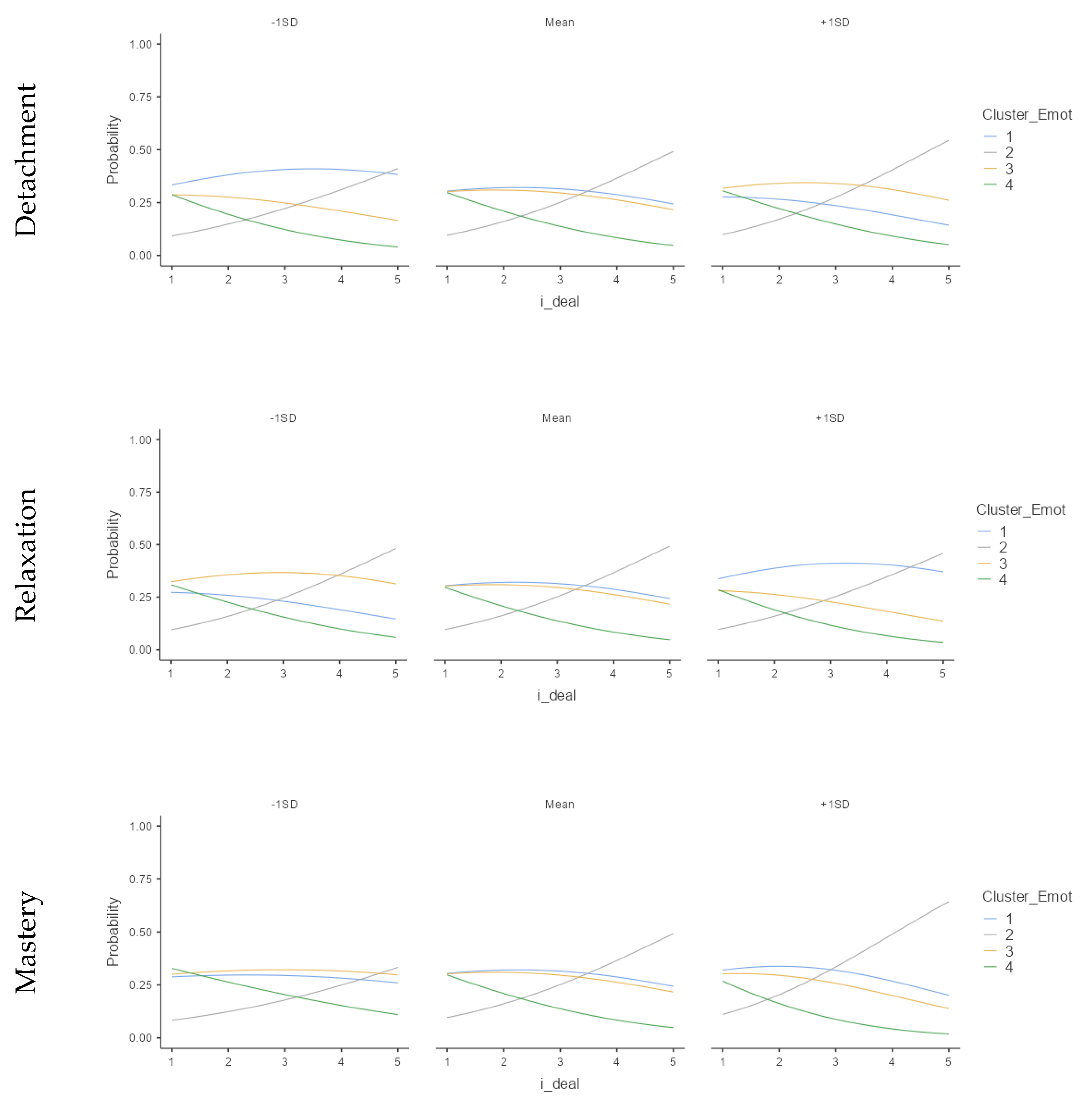
6.2. Emotions
7. Discussion
7.1. Theoretical Implications
7.2. Managerial Implications
7.3. Limitations and Future Research Suggestions
8. Conclusions
Author Contributions
Funding
Institutional Review Board Statement
Informed Consent Statement
Data Availability Statement
Acknowledgments
Conflicts of Interest
References
- Johns Hopkins University & Medicine. Coronavirus Resource Center. Available online: https://coronavirus.jhu.edu/map.html (accessed on 2 November 2021).
 - Helliwell, J.; Layard, R.; Sachs, J.D.; De Neve, J.-E.; Aknin, L.; Wang, S. World Happiness Report 2021; Sustainable Development Solutions Network: New York, NY, USA, 2021. [Google Scholar]
 - Milliken, F.J. Three Types of Perceived Uncertainty About the Environment: State, Effect, and Response Uncertainty. Acad. Manag. Rev. 1987, 12, 133–143. [Google Scholar] [CrossRef]
 - Karasek, R. Job Demands, Job Decision Latitude, and Mental Strain: Implications for Job Redesign. Adm. Sci. Q. 1979, 24, 285–308. [Google Scholar] [CrossRef]
 - Gelfand, M.J.; Jackson, J.C.; Pan, X.; Nau, D.; Pieper, D.; Denison, E.; Dagher, M.; Van Lange, P.A.M.; Chiu, C.-Y.; Wang, M. The Relationship between Cultural Tightness–Looseness and COVID-19 Cases and Deaths: A Global Analysis. Lancet Planet Health 2021, 5, e135–e144. [Google Scholar] [CrossRef]
 - The Lancet. COVID-19 in Brazil: “So What?”. Lancet 2020, 395, 1461. [Google Scholar] [CrossRef]
 - Beugelsdijk, S.; Welzel, C. Dimensions and Dynamics of National Culture: Synthesizing Hofstede With Inglehart. J. Cross Cult. Psychol. 2018, 49, 1469–1505. [Google Scholar] [CrossRef] [PubMed]
 - Gelfand, M.J.; Raver, J.L.; Nishii, L.; Leslie, L.M.; Lun, J.; Lim, B.C.; Duan, L.; Almaliach, A.; Ang, S.; Arnadottir, J.; et al. Differences Between Tight and Loose Cultures: A 33-Nation Study. Science 2011, 332, 1100–1104. [Google Scholar] [CrossRef] [Green Version]
 - Gelfand, M.J.; Nishii, L.H.; Raver, J.L. On the Nature and Importance of Cultural Tightness-Looseness. J. Appl. Psychol. 2006, 91, 1225–1244. [Google Scholar] [CrossRef] [PubMed] [Green Version]
 - Rousseau, D.M. I-Deals: Idiosyncratic Deals Employees Bargain for Themselves; M. E. Sharpe: New York, NY, USA, 2005. [Google Scholar]
 - Sonnentag, S.; Fritz, C. The Recovery Experience Questionnaire: Development and Validation of a Measure for Assessing Recuperation and Unwinding From Work. J. Occup. Health Psychol. 2007, 12, 204–221. [Google Scholar] [CrossRef] [Green Version]
 - Sonnentag, S. The Recovery Paradox: Portraying the Complex Interplay between Job Stressors, Lack of Recovery, and Poor Well-Being. Res. Organ. Behav. 2018, 38, 169–185. [Google Scholar] [CrossRef]
 - De Jonge, J. What Makes a Good Work Break? Off-Job and on-Job Recovery as Predictors of Employee Health. Ind. Health 2020, 58, 142–152. [Google Scholar] [CrossRef] [PubMed] [Green Version]
 - Bal, P.M.; Boehm, S.A. How Do I-Deals Influence Client Satisfaction? The Role of Exhaustion, Collective Commitment, and Age Diversity. J. Manag. 2019, 45, 1461–1487. [Google Scholar] [CrossRef] [Green Version]
 - Hornung, S.; Rousseau, D.M.; Glaser, J.; Lai, L.; Rousseau, D.M.; Chang, K.T.T.; Hornung, S.; Kim, T.G.; Anand, S.; Vidyarthi, P.R.; et al. Good Citizens In Poor-Quality Relationships: Idiosyncratic Deals as a Substitute For Relationship Quality University of Illinois at Chicago University of Illinois at Chicago. Acad. Manag. J. 2010, 53, 970–988. [Google Scholar] [CrossRef]
 - Peiró, J.M.; Ayala, Y.; Tordera, N.; Lorente, L.; Rodríguez, I. Sustainable Well-Being at Work: A Review and Reformulation. Pap. Del Psicólogo 2014, 35, 5–14. [Google Scholar]
 - Peiró, J.M.; Tordera, N.; Lorente, L.; Rodríguez, I.; Ayala, Y.; Latorre, F. Bienestar Sostenible En El Trabajo. Conceptualización, Antecedentes y Retos, Psyciencia. Rev. Latinoam. Cienc. Psicológica 2015, 7, 133–135. [Google Scholar]
 - Peiró, J.M.; Kozusznik, M.; Molina, I.R.; Tordera, N. The Happy-Productive Worker Model and beyond: Patterns of Wellbeing and Performance At work. Int. J. Environ. Res. Public Health 2019, 16, 479. [Google Scholar] [CrossRef] [PubMed] [Green Version]
 - Kelly, C.M.; Rofcanin, Y.; Las Heras, M.; Ogbonnaya, C.; Marescaux, E.; Bosch, M.J. Seeking an “i-Deal” Balance: Schedule-Flexibility i-Deals as Mediating Mechanisms between Supervisor Emotional Support and Employee Work and Home Performance. J. Vocat. Behav. 2020, 118, 103369. [Google Scholar] [CrossRef]
 - Bal, M.; Rousseau, D.M. Idiosyncratic Deals between Employees and Organizations Conceptual Issues, Applications and the Role of Co-Workers; Routledge: Abingdon, UK, 2015. [Google Scholar]
 - Virtanen, A.; De Bloom, J.; Kinnunen, U. Relationships between Recovery Experiences and Well-Being among Younger and Older Teachers. Int. Arch. Occup. Environ. Health 2020, 93, 213–227. [Google Scholar] [CrossRef] [PubMed] [Green Version]
 - Fritz, C.; Sonnentag, S. Recovery, Health, and Job Performance: Effects of Weekend Experiences. J. Occup. Health Psychol. 2005, 10, 187–199. [Google Scholar] [CrossRef] [PubMed] [Green Version]
 - Karasek, R.; Baker, D.; Marxer, F.; Ahlbom, A.; Theorell, T. Job Decision Latitude, Job Demands, and Cardiovascular Disease: A Prospective Study of Swedish Men. Am. J. Public Health 1981, 71, 694–705. [Google Scholar] [CrossRef] [Green Version]
 - Peccei, R.; van de Voorde, K.; van Veldhoven, M. HRM, Well-Being and Performance: A Theoretical and Empirical Review. In HRM & Performance; Paauwe, J., Guest, D., Wright, P., Eds.; Wiley: New York, NY, USA, 2013; pp. 15–46. [Google Scholar]
 - Wright, T.A.; Cropanzano, R.; Bonett, D.G. The Moderating Role of Employee Positive Well Being on the Relation between Job Satisfaction and Job Performance. J. Occup. Health Psychol. 2007, 12, 93–104. [Google Scholar] [CrossRef]
 - Peiró, J.M.; Montesa, D.; Soriano, A.; Kozusznik, M.W.; Villajos, E.; Magdaleno, J.; Djourova, N.P.; Ayala, Y. Revisiting the Happy-Productive Worker Thesis from a Eudaimonic Perspective: A Systematic Review. Sustainability 2021, 13, 3174. [Google Scholar] [CrossRef]
 - Meijman, T.F.; Mulder, G. Psychological Aspects of Workload. In Handbook of Work and Organizational Psychology; Drenth, P.J.D., Thierry, H., de Wolff, C.J., Eds.; Psychology Press/Erlbaum: Hove, UK, 1998; pp. 5–33. [Google Scholar]
 - Pratt, M.; Ashforth, B. Fostering Meaningfulness in Working and at Work. In Positive Organizational Scholarship: Foundations of a New Discipline; Cameron, K.S., Dutton, J.E., Quinn, R.E., Eds.; Berret-Koehler: San Francisco, CA, USA, 2003; pp. 209–327. [Google Scholar]
 - Ryan, R.M.; Deci, E.L. On Happiness and Human Potentials: A Review of Research on Hedonic and Eudaimonic Well-Being. Annu. Rev. Psychol. 2001, 52, 141–166. [Google Scholar] [CrossRef] [PubMed]
 - Warr, P. The Measurement of Well-Being and Other Aspects of Mental Health. J. Occup. Psychol. 1990, 63, 193–210. [Google Scholar] [CrossRef]
 - Diener, E.; Suh, E.M.; Lucas, R.E.; Smith, H.L. Subjective Well-Being: Three Decades of Progress. Psychol. Bull. 1999, 125, 276–302. [Google Scholar] [CrossRef]
 - Wigen, B.; Barret, H. Performance Management Must Evolve to Survive COVID-19. Available online: https://www.gallup.com/workplace/318029/performance-management-evolve-survive-covid.aspx?thank-you-subscription-form=1 (accessed on 29 October 2021).
 - Tsukamoto, Y. Rethinking Telecommuting with an I-Deals Perspective. Ann. Bus. Adm. Sci. 2021, 20, 33–46. [Google Scholar] [CrossRef]
 - Ornell, F.; Halpern, S.C.; Kessler, F.H.P.; de Magalhães Narvaez, J.C. The Impact of the COVID-19 Pandemic on the Mental Health of Healthcare Professionals. Cad. Saude Public. 2020, 36, e00063520. [Google Scholar] [CrossRef] [PubMed]
 - Liao, C.; Wayne, S.J.; Rousseau, D.M. Idiosyncratic Deals in Contemporary Organizations: A Qualitative and Meta-Analytical Review. J. Organ. Behav. 2016, 37, S9–S29. [Google Scholar] [CrossRef]
 - Hornung, S.; Rousseau, D.M.; Glaser, J. Creating Flexible Work Arrangements through Idiosyncratic Deals. J. Appl. Psychol. 2008, 93, 655–664. [Google Scholar] [CrossRef] [Green Version]
 - Cropanzano, R.; Anthony, E.L.; Daniels, S.R.; Hall, A.V. Social Exchange Theory: A Critical Review with Theoretical Remedies. Acad. Manag. Ann. 2017, 11, 479–516. [Google Scholar] [CrossRef] [Green Version]
 - Singh, S.; Vidyarthi, P.R. Idiosyncratic Deals to Employee Outcomes: Mediating Role of Social Exchange Relationships. J. Leadersh. Organ. Stud. 2018, 25, 443–455. [Google Scholar] [CrossRef]
 - Hornung, S.; Rousseau, D.M.; Glaser, J. Why Supervisors Make Idiosyncratic Deals: Antecedents and Outcomes of i-Deals from a Managerial Perspective. J. Manag. Psychol. 2009, 24, 738–764. [Google Scholar] [CrossRef] [Green Version]
 - Rosen, C.C.; Slater, D.J.; Chang, C.-H.; Johnson, R.E. Let’s Make a Deal. J. Manag. 2013, 39, 709–742. [Google Scholar] [CrossRef]
 - Davis, A.S.; Van der Heijden, B.I.J.M. Reciprocity Matters: Idiosyncratic Deals to Shape the Psychological Contract and Foster Employee Engagement in Times of Austerity. Hum. Resour. Dev. Q. 2018, 29, 329–355. [Google Scholar] [CrossRef]
 - Guerrero, S.; Bentein, K.; Garcia-Falières, A. Countering the Effects of Occupational Stigma on Emotional Exhaustion and Absences with Idiosyncratic Deals. Int. J. Stress Manag. 2021, 28, 130–140. [Google Scholar] [CrossRef]
 - Mishima-Santos, V.; Sticca, M.G.; Pérez-Nebra, A.R. Wellbeing and Work Design in Brazilian Teleworkers. Front. Psychol. 2021, 12, 1–23. [Google Scholar] [CrossRef] [PubMed]
 - Bal, P.M.; Vossaert, L. Development of an I-Deals Motivation and Management Measure. J. Pers. Psychol. 2019, 18, 201–215. [Google Scholar] [CrossRef]
 - Liu, J.; Lee, C.; Hui, C.; Kwan, H.K.; Wu, L.-Z. Idiosyncratic Deals and Employee Outcomes: The Mediating Roles of Social Exchange and Self-Enhancement and the Moderating Role of Individualism. J. Appl. Psychol. 2013, 98, 832–840. [Google Scholar] [CrossRef]
 - Quinones, C.; Rodríguez-Carvajal, R.; Griffiths, M.D. Testing a Eustress–Distress Emotion Regulation Model in British and Spanish Front-Line Employees. Int. J. Stress Manag. 2017, 24, 1–28. [Google Scholar] [CrossRef] [Green Version]
 - Van Dam, A.; Noordzij, G.; Born, M. Social Workers and Recovery from Stress. J. Soc. Work 2021, 21, 999–1018. [Google Scholar] [CrossRef]
 - Guo, L.N.; Zhao, R.L.; Ren, A.H.; Niu, L.X.; Zhang, Y.L. Stress Recovery of Campus Street Trees as Visual Stimuli on Graduate Students in Autumn. Int. J. Environ. Res. Public Health 2020, 17, 148. [Google Scholar] [CrossRef] [Green Version]
 - Mohd Fauzi, M.F.; Mohd Yusoff, H.; Muhamad Robat, R.; Mat Saruan, N.A.; Ismail, K.I.; Mohd Haris, A.F. Doctors’ Mental Health in the Midst of COVID-19 Pandemic: The Roles of Work Demands and Recovery Experiences. Int. J. Environ. Res. Public Health 2020, 17, 7340. [Google Scholar] [CrossRef]
 - Lira, P.; Pérez-Nebra, A.R.; Queiroga, F. Modelo Integrado de Burnout Entre Policiais Do Distrito Federal: Uma Ampliação Conceitual. Psicol. Organ. Trab. 2021, 21, 1439–1448. [Google Scholar] [CrossRef]
 - Hobfoll, S.E. Stress, Culture, and Community: The Psychology and Physiology of Stress; Plenum Press: New York, NY, USA, 1998. [Google Scholar]
 - Grandey, A.A.; Sayre, G.M.; French, K.A. “A Blessing and a Curse”: Work Loss during Coronavirus Lockdown on Short-Term Health Changes via Threat and Recovery. J. Occup. Health Psychol. 2021, 26, 261–275. [Google Scholar] [CrossRef]
 - Ménard, J.; Foucreault, A.; Leduc, H.; Meunier, S.; Trépanier, S.-G. A Diary Study on When and With Whom Recovery Experiences Modulate Daily Stress and Worry During a COVID-19 Lockdown. Front. Psychol. 2021, 12, 620349. [Google Scholar] [CrossRef] [PubMed]
 - WHO Coronavirus (COVID-19) Dashboard. Available online: https://covid19.who.int/ (accessed on 4 October 2021).
 - Demenech, L.M.; de Carvalho Dumith, S.; Vieira, M.E.C.D.; Neiva-Silva, L. Income Inequality and Risk of Infection and Death by Covid-19 in Brazil. Rev. Bras. Epidemiol. 2020, 23, e200095. [Google Scholar] [CrossRef] [PubMed]
 - Ritchie, H.; Mathieu, E.; Rodés-Guirao, L.; Appel, C.; Giattino, C.; Ortiz-Ospina, E.; Hasell, J.; MacDonald, B.; Beltekian, D.; Roser, M.; et al. Brazil: Coronavirus Pandemic Country Profile-Our World in Data. Available online: https://ourworldindata.org/coronavirus/country/brazil#what-is-the-daily-number-of-confirmed-deaths (accessed on 2 September 2021).
 - Faro, A.; de Andrade Bahiano, M.; de Cassia Nakano, T.; Reis, C.; da Silva, B.F.P.; Vitti, L.S. COVID-19 and Mental Health: The Emergence of Care. Estud. Psicol. 2020, 37, 1–14. [Google Scholar] [CrossRef]
 - Hobfoll, S.E. Social and Psychological Resources and Adaptation. Rev. Gen. Psychol. 2002, 6, 307–324. [Google Scholar] [CrossRef]
 - Maslach, C.; Schaufeli, W.B.; Leiter, M.P. Job Burnout. Annu. Rev. Psychol. 2001, 52, 397–422. [Google Scholar] [CrossRef] [PubMed] [Green Version]
 - Díaz-Silveira, C.; Alcover, C.M.; Burgos, F.; Marcos, A.; Santed, M.A. Mindfulness versus Physical Exercise: Effects of Two Recovery Strategies on Mental Health, Stress and Immunoglobulin a during Lunch Breaks. a Randomized Controlled Trial. Int. J. Environ. Res. Public Health 2020, 17, 2839. [Google Scholar] [CrossRef] [Green Version]
 - Park, Y.; Kim, S. Customer Mistreatment Harms Nightly Sleep and Next-Morning Recovery: Job Control and Recovery Self-Efficacy as Cross-Level Moderators. J. Occup. Health Psychol. 2019, 24, 256–269. [Google Scholar] [CrossRef]
 - Ten Brummelhuis, L.L.; Bakker, A.B. A Resource Perspective on the Work–Home Interface: The Work–Home Resources Model. Am. Psychol. 2012, 67, 545–556. [Google Scholar] [CrossRef] [Green Version]
 - Schaufeli, W.B.; Bakker, A.B. Job Demands, Job Resources, and Their Relationship with Burnout and Engagement: A Multi-Sample Study. J. Organ. Behav. 2004, 25, 293–315. [Google Scholar] [CrossRef] [Green Version]
 - Leonardo, M.d.G.L.; Pereira, M.; Valentini, F.; Freitas, C.; Damásio, B. Adaptação Do Inventário de Sentido Do Trabalho (WAMI) Para o Contexto Brasileiro. Rev. Bras. Orientação Prof. 2019, 20, 79–89. [Google Scholar] [CrossRef]
 - Steger, M.F.; Dik, B.J.; Duffy, R.D. Measuring Meaningful Work: The Work and Meaning Inventory (WAMI). J. Career Assess. 2012, 20, 322–337. [Google Scholar] [CrossRef] [Green Version]
 - De Azevedo Andrade, É.G.S.; Queiroga, F.; Valentini, F. Short Version of Self-Assessment Scale of Job Performance. An. Psicol. 2020, 36, 543–552. [Google Scholar] [CrossRef]
 - Knering, A.; Tordera, N.; Villajos, E.; Latorre, F.; Pérez-Nebra, A. Individual and group level antecedents in the development of idiosyncratic deals. A cross-level study. Psychologica 2019, 62, 187–205. [Google Scholar] [CrossRef] [Green Version]
 - Pérez-Nebra, A.R.; Latorre, F.; Tordera, N.; Lorente, L. Desarrollo de Un Instrumento Para La Medición Del Contrato Idiosincrático: Un Estudio Transcultural. In III Congreso Internacional de la Sociedad Científica Española de Psicología; Sociedad Científica Española de Psicología Social: Cuenca, Spain, 2018. [Google Scholar]
 - Pérez-Nebra, A.R.; Pedersoli, M.; Rodrigues, A.; Rodrigues, C.M.L.; Queiroga, F. Evidence of Validity of the Brazilian-Portuguese Recovery Experience Questionnaire; Universidade de Brasília: Brasilia, Brazil, 2021. [Google Scholar]
 - Seol, H. Snow Cluster Analysis. Available online: https://github.com/hyunsooseol/snowCluster (accessed on 5 May 2021).
 - Kassambara, A.; Mundt, F. factoextra: Extract and Visualize the Results of Multivariate Data Analyses. Available online: https://cran.r-project.org/package=factoextra (accessed on 5 May 2021).
 - Ripley, B.; Venables, W. nnet: Feed-Forward Neural Networks and Multinomial Log-Linear Models. Available online: http://www.stats.ox.ac.uk/pub/MASS4/ (accessed on 28 April 2021).
 - Paschoal, T.; Tamayo, Á. Construção e Validação Da Escala de Bem-Estar No Trabalho. Avaliação Psicológica 2008, 7, 11–22. [Google Scholar]
 - Demo, G.; Paschoal, T. Well-Being at Work Scale: Exploratory and Confirmatory Validation in the USA. Paidéia 2016, 26, 35–43. [Google Scholar] [CrossRef] [Green Version]
 - Karasek, R.; Theorell, T. Healthy Work: Stress, Productivity, and the Reconstruction of Working Life; Basic Book: New York, NY, USA, 1990. [Google Scholar]
 - Petrou, P.; Demerouti, E.; Schaufeli, W.B. Job Crafting in Changing Organizations: Antecedents and Implications for Exhaustion and Performance. J. Occup. Health Psychol. 2015, 20, 470–480. [Google Scholar] [CrossRef] [Green Version]
 - Pérez-Nebra, A.R.; Sklaveniti, C.; Islam, G.; Pickett, J.; Alija, M.; Bal, P.M.; Tekeste, M.; Bazana, S.; Sanderson, Z. COVID-19 and the Future of Work and Organisational Psychology. SA J. Ind. Psychol. 2021, 47, 1–9. [Google Scholar] [CrossRef]
 - Lemos, A.H.D.C.; Barbosa, A.D.O.; Monzato, P.P. Women in Home Office During the Covid-A9 Pandemic and the Work-Family Conflict Configurations. RAE Rev. Adm. Empres. 2020, 60, 388–399. [Google Scholar] [CrossRef]
 - Ferreira, M.C.; Fischer, R.; Porto, J.B.; Pilati, R.; Milfont, T.L. Unraveling the Mystery of Brazilian Jeitinho. Personal. Soc. Psychol. Bull. 2012, 38, 331–344. [Google Scholar] [CrossRef]
 - Bakker, A.B.; Demerouti, E. Job Demands-Resources Theory: Taking Stock and Looking Forward. J. Occup. Health Psychol. 2017, 22, 273–285. [Google Scholar] [CrossRef]
 - Daniel, S.; Sonnentag, S. Work to Non-Work Enrichment: The Mediating Roles of Positive Affect and Positive Work Reflection. Work Stress 2014, 28, 49–66. [Google Scholar] [CrossRef]
 - Karabinski, T.; Haun, V.C.; Nübold, A.; Wendsche, J.; Wegge, J. Interventions for Improving Psychological Detachment from Work: A Meta-Analysis. J. Occup. Health Psychol. 2021, 26, 224–242. [Google Scholar] [CrossRef] [PubMed]
 - Bakker, A.B.; Demerouti, E. The Spillover–Crossover Model. In New Frontiers in Work and Family Research; Grzywacs, J., Demerouti, E., Eds.; Psychology Press/Erlbaum: Hove, UK, 2013; pp. 54–70. [Google Scholar]
 - Wang, B.; Liu, Y.; Qian, J.; Parker, S.K. Achieving Effective Remote Working During the COVID-19 Pandemic: A Work Design Perspective. Appl. Psychol. 2021, 70, 16–59. [Google Scholar] [CrossRef] [PubMed]
 - Van Veldhoven, M.; Van den Broeck, A.; Daniels, K.; Bakker, A.B.; Tavares, S.M.; Ogbonnaya, C. Challenging the Universality of Job Resources: Why, When, and For Whom Are They Beneficial? Appl. Psychol. 2020, 69, 5–29. [Google Scholar] [CrossRef]
 - Magnavita, N.; Tripepi, G.; Chiorri, C. Telecommuting, off-Time Work, and Intrusive Leadership in Workers’ Well-Being. Int. J. Environ. Res. Public Health 2021, 18, 3330. [Google Scholar] [CrossRef]
 - Taser, D.; Rofcanin, Y.; Las Heras, M.; Bosch, M.J. Flexibility I-deals and prosocial motives: A trickle-down perspective. Int. J. Hum. Resour. Manag. 2021. [Google Scholar] [CrossRef]
 











| Cluster | Type | N | Centroids | |
|---|---|---|---|---|
| Performance | Meaning of Work | |||
| 1 | Happy-productive | 148 | 0.860 | 0.675 | 
| 2 | Unhappy-productive | 70 | 0.225 | −1.178 | 
| 3 | Unhappy-unproductive | 44 | −1.855 | −1.385 | 
| 4 | Happy-unproductive | 124 | −0.496 | 0.351 | 
| Variable | 2 (U-P) | 4 (H-U) | 3 (U-U) | 
|---|---|---|---|
| Model 1 | |||
| Flexibility i-deal | 1.03 ** | 0.35 | 0.50 + | 
| Model 2 | |||
| Flexibility i-deal * Detachment | 0.26 *** | 0.18 *** | 0.15 ** | 
| Flexibility i-deal * Relaxation | −0.07 | −0.07 | 0.05 | 
| Flexibility i-deal * Mastery | −0.43 *** | −0.16 ** | −0.16 *** | 
| Flexibility i-deal * Control | −0.30 *** | −0.13 ** | −0.15 *** | 
| Cluster | Type | Frequency | Centroids | |
|---|---|---|---|---|
| Performance | Meaning of Work | |||
| 1 | Happy-unproductive | 86 | −0.625 | 0.159 | 
| 2 | Unhappy-unproductive | 27 | −1.963 | −1.375 | 
| 3 | Unhappy-productive | 59 | 0.436 | −1.057 | 
| 4 | Happy-productive | 107 | 0.775 | 0.803 | 
| Variable | 3 (U-P) | 1 (H-U) | 2 (U-U) | 
|---|---|---|---|
| Model 1 | |||
| Flexibility i-deal | −0.74 + | 1.03 * | −0.37 | 
| Model 2 | |||
| Flexibility i-deal * Detachment | −0.03 | −0.16 | 0.02 | 
| Flexibility i-deal * Relaxation | 0.04 | 0.00 | 0.06 | 
| Flexibility i-deal * Mastery | 0.37 *** | 0.33 ** | 0.23 | 
| Flexibility i-deal * Control | 0.23 ** | −0.15 | 0.14 | 
| Cluster | Type | Frequency | Centroids | |
|---|---|---|---|---|
| Performance | Emotions | |||
| 1 | Happy-productive | 76 | 0.752 | 1.000 | 
| 2 | Unhappy-productive | 72 | 0.592 | −0.683 | 
| 3 | Happy-unproductive | 66 | −0.670 | 0.273 | 
| 4 | Unhappy-unproductive | 39 | −1.426 | −1.150 | 
| Variable | 2 (U-P) | 3 (H-U) | 4 (U-U) | 
|---|---|---|---|
| Model 1 | |||
| Flexibility i-deal | −0.17 | 0.25 | 0.65 + | 
| Model 2 | |||
| Flexibility i-deal * Detachment | 0.13 * | 0.14 * | 0.12 | 
| Flexibility i-deal * Relaxation | −0.10 | −0.19 ** | −0.15 + | 
| Flexibility i-deal * Mastery | 0.09 | −0.05 | −0.15 * | 
| Flexibility i-deal * Control | 0.10+ | 0.04 | −0.11 | 
Publisher’s Note: MDPI stays neutral with regard to jurisdictional claims in published maps and institutional affiliations.  | 
© 2021 by the authors. Licensee MDPI, Basel, Switzerland. This article is an open access article distributed under the terms and conditions of the Creative Commons Attribution (CC BY) license (https://creativecommons.org/licenses/by/4.0/).
Share and Cite
Latorre, F.; Pérez-Nebra, A.R.; Queiroga, F.; Alcover, C.-M. How Do Teleworkers and Organizations Manage the COVID-19 Crisis in Brazil? The Role of Flexibility I-Deals and Work Recovery in Maintaining Sustainable Well-Being at Work. Int. J. Environ. Res. Public Health 2021, 18, 12522. https://doi.org/10.3390/ijerph182312522
Latorre F, Pérez-Nebra AR, Queiroga F, Alcover C-M. How Do Teleworkers and Organizations Manage the COVID-19 Crisis in Brazil? The Role of Flexibility I-Deals and Work Recovery in Maintaining Sustainable Well-Being at Work. International Journal of Environmental Research and Public Health. 2021; 18(23):12522. https://doi.org/10.3390/ijerph182312522
Chicago/Turabian StyleLatorre, Felisa, Amalia Raquel Pérez-Nebra, Fabiana Queiroga, and Carlos-María Alcover. 2021. "How Do Teleworkers and Organizations Manage the COVID-19 Crisis in Brazil? The Role of Flexibility I-Deals and Work Recovery in Maintaining Sustainable Well-Being at Work" International Journal of Environmental Research and Public Health 18, no. 23: 12522. https://doi.org/10.3390/ijerph182312522
APA StyleLatorre, F., Pérez-Nebra, A. R., Queiroga, F., & Alcover, C.-M. (2021). How Do Teleworkers and Organizations Manage the COVID-19 Crisis in Brazil? The Role of Flexibility I-Deals and Work Recovery in Maintaining Sustainable Well-Being at Work. International Journal of Environmental Research and Public Health, 18(23), 12522. https://doi.org/10.3390/ijerph182312522
        
                                                
