Assessing the Effect of Climate Variables on the Incidence of Dengue Cases in the Metropolitan Region of Panama City
Abstract
:1. Introduction
Modeling the Dengue Incidence as a Time Series
2. Materials and Methods
2.1. Dengue Incidence Data
2.2. Climate Data
2.3. Time Series Creation
2.3.1. Correlation
2.3.2. Prediction
- SARIMA: these models use non-seasonal differences, auto-regressions and moving average data from previous samples, and seasonal differences, auto-regressions and moving average from previous periods, which allows them to accurately predict the next steps of a time series, with the assumption that the same behavior is maintained in the causes of these events.The mathematical formulation of SARIMA models can be generalized as described in (Equation (4)).In this equation p, d and q represent the non-seasonal order of Auto-Regression (AR), differentiation and Moving Average (MA, respectively. P, D, and Q represent the seasonal order of AR, differentiation, and MA respectively. Moreover, represents the time series data in period t. represents the Gaussian white noise process (random walk) in period t. B represent the backward shift operator (). represents the seasonal difference. represents the non-seasonal difference. S represent the seasonal order ( for weekly data analysed yearly).
- SARIMAX: these models are related to SARIMA and share the same variables of the model, however they include exogenous or explanatory variables of the time series. Also, they can be formulated adding a vector or matrix that represents the exogenous variables and his respective weights that represents the influence or contribution of these variables to the regression, as it can be seen in (Equation (5)):In SARIMAX models, represents the vector or matrix that includes the k-th exogenous variable. represents the coefficient or weight that accompanies the k-th exogenous variable, all the coefficients are adjusted to the data in order to obtain the value that best relates their influences to the time series. Models that use seasonal variables are also called models with long-term memory.
- RNN-LSTM: Recurrent Neural Networks (RNN), as with any neural network, can be used to adjust a non-linear model, by learning long-term dependencies that could be present in a data set, thus can be used to describe and model a time series. Although in practice what is known as an explosion or disappearance of the gradient happens [37]. A solution to this technical problem, is using networks with long-short-term memory (LSTM) [38] that in general perform better than RNNs.The advantage of LSTM networks lies in the way the hidden state is computed, in the iteration t, the output state (see Equation (11)), is calculated using the result of four components as input, known as follows: input gate (Equation (6)), forget gate (Equation (7)), output gate (Equation (8)) and a cell state (Equations (9) and (10)).Gates:where is a nonlinear activation function, for example, the sigmoid function, and are the recurring and input weights respectively, is the activation threshold or bias.Cell state:Hidden state:⊙ represents the Hadamard’s product.
2.3.3. Error Metrics
2.3.4. Data Pre-Processing and Software
3. Results
3.1. Urban vs. Rural by Population Density in the Metropolitan Region
3.2. Preliminary Series Analysis
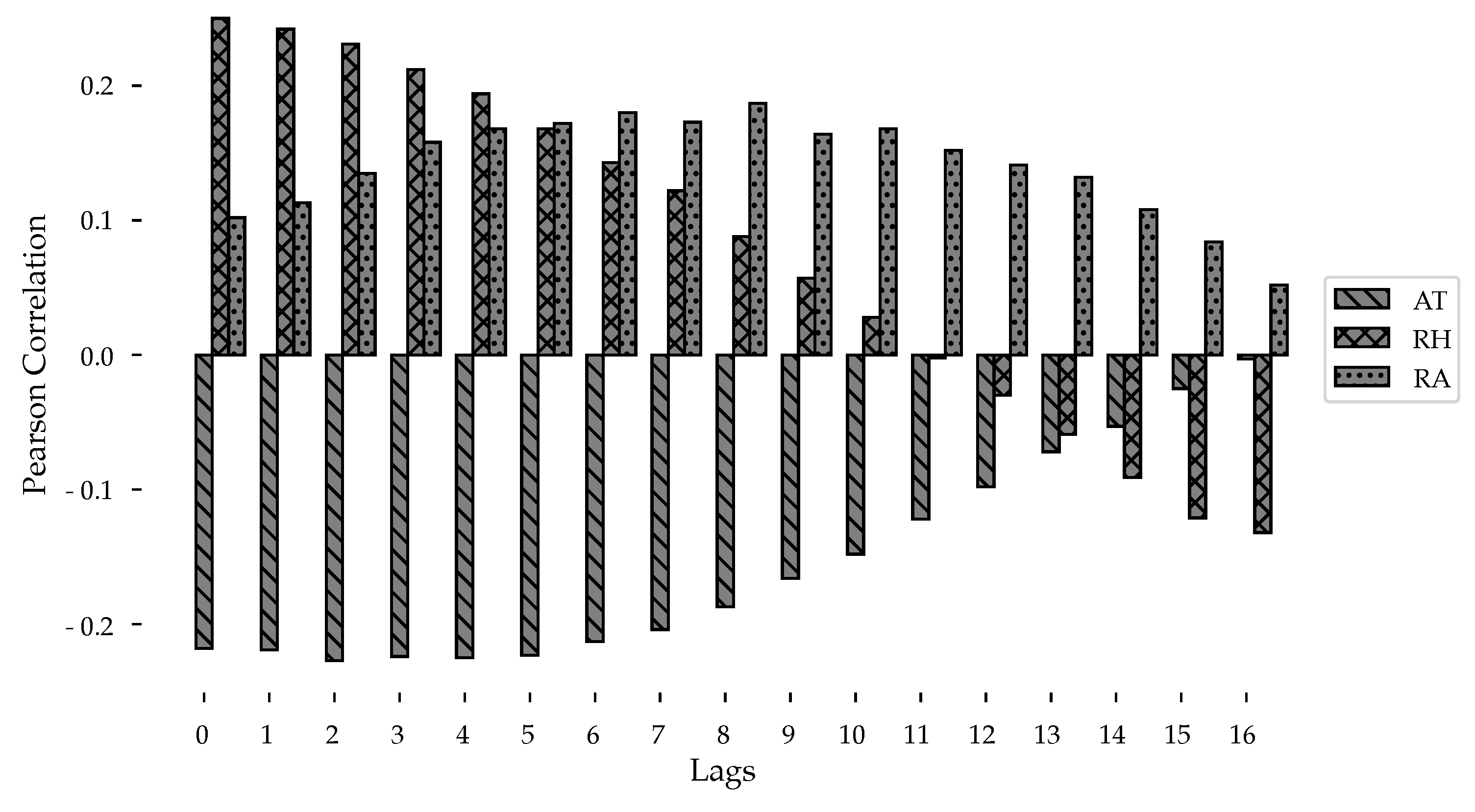
3.3. Correlation Analysis
3.4. Prediction
- SARIMA: The predictions were made using 16 years of training data (835 weeks) to predict the future index in the next 3 years (156 weeks), seasonality of the series was achieved after a (1) difference, in Figure 12 the prediction can be seen, the minimum amount of data necessary to make the prediction was also tested where a minimum of 6 years of data were needed to maintain a similar error metric to the one shown.
- SARIMAX: The SARIMAX model uses the data of the Dengue incidence, the Air temperature with a lag of 2, the precipitation with a lag of 8 and the relative humidity with a lag if 0. As it can be seen in Figure 13 the results are very similar to those obtained using SARIMA.
- 3.
- LSTM: In the prediction using RNN-LSTM, an initial configuration of parameters that best adjusted to the training set was first tested. Then, it was verified by making a prediction within the sample set (using the real Dengue incidence to predict the future incidence in each step).
3.5. Model Evaluation
4. Discussion
Author Contributions
Funding
Institutional Review Board Statement
Informed Consent Statement
Data Availability Statement
Acknowledgments
Conflicts of Interest
Appendix A
| Year | Cases in Rural Areas | Cases in Urban Areas |
|---|---|---|
| 2004 | 0.5 | 3.1 |
| 2005 | 5.9 | 15.2 |
| 2006 | 5.3 | 10.7 |
| 2007 | 4.0 | 6.3 |
| 2008 | 2.9 | 4.6 |
| 2009 | 1.7 | 18.9 |
| 2010 | 0.6 | 2.4 |
| 2011 | 10.6 | 9.0 |
| 2012 | 1.0 | 1.2 |
| 2013 | 3.6 | 11.8 |
| 2014 | 11.4 | 16.8 |
| 2015 | 3.2 | 7.8 |
| 2016 | 3.1 | 10.1 |
| 2017 | 4.2 | 12.9 |
| Average | 58 | 130.8 |
References
- Bhatt, S.; Gething, P.W.; Brady, O.J.; Messina, J.P.; Farlow, A.W.; Moyes, C.L.; Drake, J.M.; Brownstein, J.S.; Hoen, A.G.; Sankoh, O.; et al. The global distribution and burden of dengue. Nature 2013, 496, 504–507. [Google Scholar] [CrossRef]
- Messina, J.P.; Brady, O.J.; Golding, N.; Kraemer, M.U.G.; Wint, G.R.W.; Ray, S.E.; Pigott, D.M.; Shearer, F.M.; Johnson, K.; Earl, L.; et al. The current and future global distribution and population at risk of dengue. Nat. Microbiol. 2019, 4, 1508–1515. [Google Scholar] [CrossRef]
- Stanaway, J.D.; Shepard, D.S.; Undurraga, E.A.; Halasa, Y.A.; Coffeng, L.E.; Brady, O.J.; Hay, S.I.; Bedi, N.; Bensenor, I.M.; Castañeda-Orjuela, C.A.; et al. The global burden of dengue: An analysis from the Global Burden of Disease Study 2013. Lancet Infect. Dis. 2016, 16, 712–723. [Google Scholar] [CrossRef] [Green Version]
- Shepard, D.S.; Undurraga, E.A.; Halasa, Y.A.; Stanaway, J.D. The global economic burden of dengue: A systematic analysis. Lancet Infect. Dis. 2016, 16, 935–941. [Google Scholar] [CrossRef]
- Hung, T.M.; Clapham, H.E.; Bettis, A.A.; Cuong, H.Q.; Thwaites, G.E.; Wills, B.A.; Boni, M.F.; Turner, H.C. The Estimates of the Health and Economic Burden of Dengue in Vietnam. Trends Parasitol. 2018, 34, 904–918. [Google Scholar] [CrossRef] [Green Version]
- Quiroz, E.; Ortega, M.; Guzmán, M.G.; Vázquez, S.; Pelegrino, J.L.; Campos, C.; Bayard, V.; Vázquez, M.; Kourí, G. Dengue en Panamá, 1993. Rev. Cuba. Med. Trop. 1997, 49, 86–93. [Google Scholar]
- Díaz, Y.; Chen-Germán, M.; Quiroz, E.; Carrera, J.P.; Cisneros, J.; Moreno, B.; Cerezo, L.; Martinez-Torres, A.O.; Moreno, L.; Barahona de Mosca, I.; et al. Molecular epidemiology of dengue in Panama: 25 years of circulation. Viruses 2019, 11, 764. [Google Scholar] [CrossRef] [PubMed] [Green Version]
- Gorgas, W.C. Sanitation in Panama; D. Appleton: New York, NY, USA, 1915. [Google Scholar]
- Gubler, D.; Trent, D. Emergence of epidemic dengue/dengue hemorrhagic fever as a public health problem in the Americas. Infect. Agents Dis. 1993, 2, 383–393. [Google Scholar]
- Whiteman, A.; Desjardins, M.R.; Eskildsen, G.A.; Loaiza, J.R. Detecting space-time clusters of dengue fever in Panama after adjusting for vector surveillance data. PLoS Negl. Trop. Dis. 2019, 13, e0007266. [Google Scholar] [CrossRef] [Green Version]
- Bennett, K.L.; McMillan, W.O.; Enriquez, V.; Barraza, E.; Díaz, M.; Baca, B.; Whiteman, A.; Medina, J.C.; Ducasa, M.; Martínez, C.G.; et al. The role of heterogenous environmental conditions in shaping the spatiotemporal distribution of competing Aedes mosquitoes in Panama: Implications for the landscape of arboviral disease transmission. Biol. Invasions 2021, 23, 1933–1948. [Google Scholar] [CrossRef]
- Bennett, K.L.; Martínez, C.G.; Almanza, A.; Rovira, J.R.; McMillan, W.O.; Enriquez, V.; Barraza, E.; Diaz, M.; Sanchez-Galan, J.E.; Whiteman, A.; et al. High infestation of invasive Aedes mosquitoes in used tires along the local transport network of Panama. Parasites Vectors 2019, 12, 1–10. [Google Scholar] [CrossRef] [PubMed] [Green Version]
- Whiteman, A.; Gomez, C.; Rovira, J.; Chen, G.; McMillan, W.O.; Loaiza, J. Aedes mosquito infestation in socioeconomically contrasting neighborhoods of Panama city. EcoHealth 2019, 16, 210–221. [Google Scholar] [CrossRef] [PubMed]
- Morin, C.W.; Comrie, A.C.; Ernst, K. Climate and dengue transmission: Evidence and implications. Environ. Health Perspect. 2013, 121, 1264–1272. [Google Scholar] [CrossRef]
- Alves, L.D.; Lana, R.M.; Coelho, F.C. A Framework for Weather-Driven Dengue Virus Transmission Dynamics in Different Brazilian Regions. Int. J. Environ. Res. Public Health 2021, 18, 9493. [Google Scholar] [CrossRef]
- Dhamodharavadhani, S.; Rathipriya, R. Forecasting dengue incidence rate in Tamil Nadu using ARIMA time series model. In Machine Learning for Healthcare; Chapman and Hall/CRC: Boca Raton, FL, USA, 2020; pp. 187–202. [Google Scholar]
- Thiruchelvam, L.; Dass, S.C.; Asirvadam, V.S.; Daud, H.; Gill, B.S. Determine neighboring region spatial effect on dengue cases using ensemble ARIMA models. Sci. Rep. 2021, 11, 1–9. [Google Scholar]
- Xavier, L.L.; Honório, N.A.; Pessanha, J.F.M.; Peiter, P.C. Analysis of climate factors and dengue incidence in the metropolitan region of Rio de Janeiro, Brazil. PLoS ONE 2021, 16, e0251403. [Google Scholar] [CrossRef] [PubMed]
- Lu, L.; Lin, H.; Tian, L.; Yang, W.; Sun, J.; Liu, Q. Time series analysis of dengue fever and weather in Guangzhou, China. BMC Public Health 2009, 9, 1–5. [Google Scholar] [CrossRef]
- Cortes, F.; Martelli, C.M.T.; de Alencar Ximenes, R.A.; Montarroyos, U.R.; Junior, J.B.S.; Cruz, O.G.; Alexander, N.; de Souza, W.V. Time series analysis of dengue surveillance data in two Brazilian cities. Acta Trop. 2018, 182, 190–197. [Google Scholar] [CrossRef]
- Gharbi, M.; Quenel, P.; Gustave, J.; Cassadou, S.; La Ruche, G.; Girdary, L.; Marrama, L. Time series analysis of dengue incidence in Guadeloupe, French West Indies: Forecasting models using climate variables as predictors. BMC Infect. Dis. 2011, 11, 1–13. [Google Scholar] [CrossRef] [Green Version]
- Bhatnagar, S.; Lal, V.; Gupta, S.D.; Gupta, O.P. Forecasting incidence of dengue in Rajasthan, using time series analyses. Indian J. Public Health 2012, 56, 281. [Google Scholar]
- Hoyos, W.; Aguilar, J.; Toro, M. Dengue Models Based on Machine-Learning Techniques: A Systematic Literature Review. Artif. Intell. Med. 2021, 119, 102157. [Google Scholar] [CrossRef]
- Xu, J.; Xu, K.; Li, Z.; Meng, F.; Tu, T.; Xu, L.; Liu, Q. Forecast of dengue cases in 20 Chinese cities based on the deep learning method. Int. J. Environ. Res. Public Health 2020, 17, 453. [Google Scholar] [CrossRef] [Green Version]
- Khaira, U.; Utomo, P.E.P.; Aryani, R.; Weni, I. A comparison of SARIMA and LSTM in forecasting dengue hemorrhagic fever incidence in Jambi, Indonesia. J. Phys. Conf. Ser. 2020, 1566, 012054. [Google Scholar] [CrossRef]
- Colón-González, F.J.; Soares Bastos, L.; Hofmann, B.; Hopkin, A.; Harpham, Q.; Crocker, T.; Amato, R.; Ferrario, I.; Moschini, F.; James, S.; et al. Probabilistic seasonal dengue forecasting in Vietnam: A modelling study using superensembles. PLoS Med. 2021, 18, e1003542. [Google Scholar] [CrossRef]
- Mussumeci, E.; Coelho, F.C. Large-scale multivariate forecasting models for Dengue-LSTM versus random forest regression. Spat. Spatio-Temporal Epidemiol. 2020, 35, 100372. [Google Scholar] [CrossRef] [PubMed]
- Ministerio de Salud de Panama (MINSA). Decreto Ejecutivo N 1617. In Gaceta OFICIAL; MINSA: Panama City, Panama, 2014. [Google Scholar]
- Instituto Nacional de Estadística y Censo. Panama en Cifras; Contraloria General de la Republica: Panama City, Panama, 2020. [Google Scholar]
- Rose, N.H.; Sylla, M.; Badolo, A.; Lutomiah, J.; Ayala, D.; Aribodor, O.B.; Ibe, N.; Akorli, J.; Otoo, S.; Mutebi, J.P.; et al. Climate and urbanization drive mosquito preference for humans. Curr. Biol. 2020, 30, 3570–3579. [Google Scholar] [CrossRef] [PubMed]
- Paton, S. Parque Metropolitano Crane, 25 m Relative Humidity. Smithsonian Tropical Research Institute. Dataset. Figshare 2021. Available online: https://smithsonian.figshare.com/articles/dataset/Parque_Metropolitano_Crane_25m_Relative_Humidity/10042661 (accessed on 17 November 2021). [CrossRef]
- Paton, S. Parque Metropolitano Crane Precipitation. Smithsonian Tropical Research Institute. Dataset. Figshare 2021. Available online: https://smithsonian.figshare.com/articles/dataset/Parque_Metropolitano_Crane_Precipitation/10042676 (accessed on 17 November 2021). [CrossRef]
- Paton, S. Parque Metropolitano Crane, 25 m Air Temperature. Smithsonian Tropical Research Institute. Dataset. Figshare 2021. Available online: https://smithsonian.figshare.com/articles/dataset/Parque_Metropolitano_Crane_25m_Air_Temperature/10042652 (accessed on 17 November 2021). [CrossRef]
- Bellido-Jiménez, J.A.; Gualda, J.E.; García-Marín, A.P. Assessing Machine Learning Models for Gap Filling Daily Rainfall Series in a Semiarid Region of Spain. Atmosphere 2021, 12, 1158. [Google Scholar] [CrossRef]
- Pearson, K. VII. Note on regression and inheritance in the case of two parents. Proc. R. Soc. Lond. 1895, 58, 240–242. [Google Scholar]
- Spearman, C. The proof and measurement of association between two things. Am. J. Psychol. 1987, 100, 441–471. [Google Scholar] [CrossRef] [PubMed]
- Bengio, Y.; Simard, P.; Frasconi, P. Learning long-term dependencies with gradient descent is difficult. IEEE Trans. Neural Netw. 1994, 5, 57–166. [Google Scholar] [CrossRef]
- Hochreiter, S.; Schmidhuber, J. Long Short-Term Memory. Neural Comput. 1997, 9, 1735–1780. [Google Scholar] [CrossRef] [PubMed]
- Pinto, E.; Coelho, M.; Oliver, L.; Massad, E. The influence of climate variables on dengue in Singapore. Int. J. Environ. Health Res. 2011, 21, 415–426. [Google Scholar] [CrossRef] [PubMed]
- Carrington, L.B.; Armijos, M.V.; Lambrechts, L.; Scott, T.W. Fluctuations at a low mean temperature accelerate dengue virus transmission by Aedes aegypti. PLoS Negl. Trop. Dis. 2013, 7, e2190. [Google Scholar] [CrossRef]
- Carrera, J.P.; Díaz, Y.; Denis, B.; Barahona de Mosca, I.; Rodriguez, D.; Cedeño, I.; Arauz, D.; González, P.; Cerezo, L.; Moreno, L.; et al. Unusual pattern of chikungunya virus epidemic in the Americas, the Panamanian experience. PLoS Negl. Trop. Dis. 2017, 11, e0005338. [Google Scholar] [CrossRef]
- Sigfrid, L.; Reusken, C.; Eckerle, I.; Nussenblatt, V.; Lipworth, S.; Messina, J.; Kraemer, M.; Ergonul, O.; Papa, A.; Koopmans, M.; et al. Preparing clinicians for (re-) emerging arbovirus infectious diseases in Europe. Clin. Microbiol. Infect. 2018, 24, 229–239. [Google Scholar] [CrossRef] [Green Version]
- Vargas, S.L.; Céspedes, D.C.; Vergel, J.D.; Ruiz, E.P.; Luna, M.C. Co-infección por los virus del dengue y chikungunya. Revisión narrativa. Rev. Chil. Infectol. 2018, 35, 658–668. [Google Scholar] [CrossRef] [Green Version]
- Díaz, Y.; Cisneros, J.; Guzmán, H.; Cordoba, P.; Carrera, J.P.; Moreno, B.; Chen, R.; Mewa, J.C.; García, L.; Cerezo, L.; et al. The reintroduction of DENV-2 in 2011 in Panama and subsequent outbreak characteristic. Acta Trop. 2018, 177, 58–65. [Google Scholar] [CrossRef] [PubMed]
- Wu, N.; Green, B.; Ben, X.; O’Banion, S. Deep transformer models for time series forecasting: The influenza prevalence case. arXiv 2020, arXiv:2001.08317. [Google Scholar]
- Kondo, K.; Ishikawa, A.; Kimura, M. Sequence to sequence with attention for influenza prevalence prediction using google trends. In Proceedings of the 2019 3rd International Conference on Computational Biology and Bioinformatics, Nagoya, Japan, 17–19 October 2019; pp. 1–7. [Google Scholar]
- Polwiang, S. The correlation of climate factors on dengue transmission in urban area: Bangkok and Singapore cases. PeerJ Prepr. 2016, 4, e2322v1. [Google Scholar]
- Vaux, H., Jr.; Vammen, K.; Bernex, N.; Fabrega, J.; Forde, M.; Roldan, G.; Torregrosa, M.L. The challenges of managing the urban waters of the Americas. Environ. Sci. Policy Sustain. Dev. 2020, 62, 14–29. [Google Scholar] [CrossRef]
- Nascimento Filho, A.S.; Murari, T.B.; Ferreira, P.; Saba, H.; Moret, M.A. A spatio-temporal analysis of dengue spread in a Brazilian dry climate region. Sci. Rep. 2021, 11, 1–8. [Google Scholar]
- Kong, L.; Wang, J.; Li, Z.; Lai, S.; Liu, Q.; Wu, H.; Yang, W. Modeling the heterogeneity of dengue transmission in a city. Int. J. Environ. Res. Public Health 2018, 15, 1128. [Google Scholar] [CrossRef] [PubMed] [Green Version]
- Metelmann, S.; Liu, X.; Lu, L.; Caminade, C.; Liu, K.; Cao, L.; Medlock, J.M.; Baylis, M.; Morse, A.P.; Liu, Q. Assessing the suitability for Aedes albopictus and dengue transmission risk in China with a delay differential equation model. PLoS Negl. Trop. Dis. 2021, 15, e0009153. [Google Scholar] [CrossRef]
- Kusunoki, S.; Nakaegawa, T.; Pinzón, R.; Sanchez-Galan, J.E.; Fábrega, J.R. Future precipitation changes over Panama projected with the atmospheric global model MRI-AGCM3. 2. Clim. Dyn. 2019, 53, 5019–5034. [Google Scholar] [CrossRef]
- Martínez, M.M.; Nakaegawa, T.; Pinzón, R.; Kusunoki, S.; Gordón, R.; Sanchez-Galan, J.E. Using a Statistical Crop Model to Predict Maize Yield by the End-Of-Century for the Azuero Region in Panama. Atmosphere 2020, 11, 1097. [Google Scholar] [CrossRef]
- Pinzón, R.E.; Hibino, K.; Takayabu, I.; Nakaegawa, T. Virtually experiencing future climate changes in Central America with MRI-AGCM: Climate analogues study. Hydrol. Res. Lett. 2017, 11, 106–113. [Google Scholar] [CrossRef] [Green Version]
- Nakaegawa, T.; Arakawa, O.; Kamiguchi, K. Investigation of climatological onset and withdrawal of the rainy season in Panama based on a daily gridded precipitation dataset with a high horizontal resolution. J. Clim. 2015, 28, 2745–2763. [Google Scholar] [CrossRef]
- Nakaegawa, T.; Pinzon, R.; Fabrega, J.; Cuevas, J.A.; De Lima, H.A.; Cordoba, E.; Nakayama, K.; Batista Lao, J.I.; Lau Melo, A.; Gonzalez, D.A.; et al. Seasonal changes of the diurnal variation of precipitation in the upper Río Chagres basin, Panamá. PLoS ONE 2019, 14, e0224662. [Google Scholar] [CrossRef] [PubMed]















| Model | RMSE | MAPE |
|---|---|---|
| SARIMA (3,1,3)(1,1,1)(52) | 25.83 | 112.70 |
| SARIMAX (3,1,3)(1,1,1)(52) | 25.76 | 108.44 |
| LSTM 208 H.U. | 26.16 | 59.68 |
| Model | 2015 | 2016 | 2017 | Total |
|---|---|---|---|---|
| Ground Truth | 1478 | 1736 | 3005 | 6119 |
| SARIMA | 1682 (14%) | 1970 (20%) | 1978 (−34%) | 5631 (−8%) |
| SARIMAX | 1558 (5%) | 1882 (15%) | 2001 (−33%) | 5441 (−11%) |
| LSTM | 1648 (11%) | 1915 (17%) | 1687 (−44%) | 5241 (−14%) |
Publisher’s Note: MDPI stays neutral with regard to jurisdictional claims in published maps and institutional affiliations. |
© 2021 by the authors. Licensee MDPI, Basel, Switzerland. This article is an open access article distributed under the terms and conditions of the Creative Commons Attribution (CC BY) license (https://creativecommons.org/licenses/by/4.0/).
Share and Cite
Navarro Valencia, V.; Díaz, Y.; Pascale, J.M.; Boni, M.F.; Sanchez-Galan, J.E. Assessing the Effect of Climate Variables on the Incidence of Dengue Cases in the Metropolitan Region of Panama City. Int. J. Environ. Res. Public Health 2021, 18, 12108. https://doi.org/10.3390/ijerph182212108
Navarro Valencia V, Díaz Y, Pascale JM, Boni MF, Sanchez-Galan JE. Assessing the Effect of Climate Variables on the Incidence of Dengue Cases in the Metropolitan Region of Panama City. International Journal of Environmental Research and Public Health. 2021; 18(22):12108. https://doi.org/10.3390/ijerph182212108
Chicago/Turabian StyleNavarro Valencia, Vicente, Yamilka Díaz, Juan Miguel Pascale, Maciej F. Boni, and Javier E. Sanchez-Galan. 2021. "Assessing the Effect of Climate Variables on the Incidence of Dengue Cases in the Metropolitan Region of Panama City" International Journal of Environmental Research and Public Health 18, no. 22: 12108. https://doi.org/10.3390/ijerph182212108
APA StyleNavarro Valencia, V., Díaz, Y., Pascale, J. M., Boni, M. F., & Sanchez-Galan, J. E. (2021). Assessing the Effect of Climate Variables on the Incidence of Dengue Cases in the Metropolitan Region of Panama City. International Journal of Environmental Research and Public Health, 18(22), 12108. https://doi.org/10.3390/ijerph182212108

