Renewable Butanol Production via Catalytic Routes
Abstract
1. Introduction
2. Butanol Production from Ethanol
3. Butanol Production from Butyric Acid
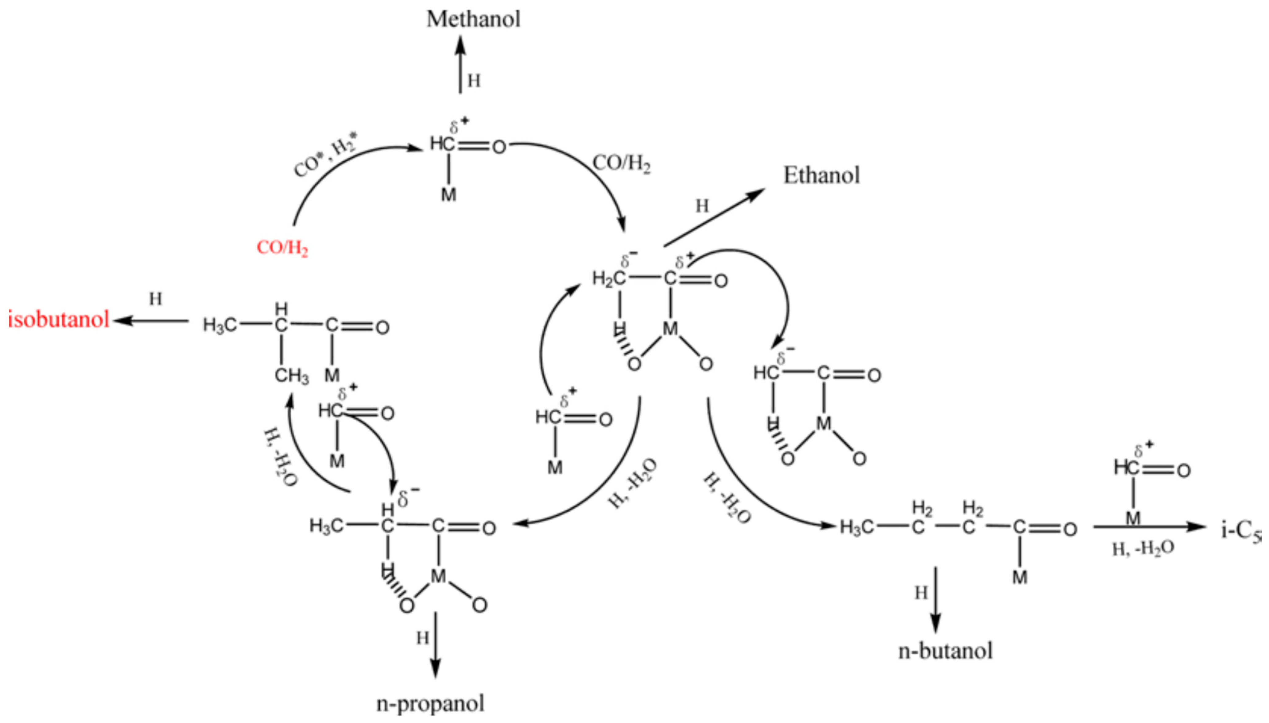
4. Butanol Production from Biomass Syngas
5. Economic Approaches for the Catalytic Production of Renewable Butanol
6. Conclusions
Author Contributions
Funding
Institutional Review Board Statement
Informed Consent Statement
Data Availability Statement
Conflicts of Interest
References
- IndustryARC. Bio-Based Chemicals Market—Global Industry Analysis, Size, Share, Growth, Trends and Forecast 2021–2026. Available online: https://www.industryarc.com/Report/17741/bio-based-chemicals-market.html (accessed on 2 November 2021).
- Mascal, M. Chemicals from biobutanol: Technologies and markets. Biofuels Bioprod. Bioref. 2012, 6, 483–493. [Google Scholar] [CrossRef]
- MarketWatch. N-butanol Market Size, Sale 2021, Regions Will Have the Highest Revenue, Which Will EMERGE in Importance in the Market 2026. Available online: https://www.marketwatch.com/press-release/n-butanol-market-size-sale-2021-regions-will-have-the-highest-revenue-which-will-emerge-in-importance-in-the-market-2026-2021-10-06 (accessed on 8 October 2021).
- Kushwaha, D.; Srivastava, N.; Mishra, I.; Upadhyay, S.N.; Mishra, P.K. Recent trends in biobutanol production. Rev. Chem. Eng. 2019, 35, 475–504. [Google Scholar] [CrossRef]
- Shanmugam, S.; Hari, A.; Kumar, D.; Rajendran, K.; Mathimani, T.; Atabani, A.E.; Brindhadevi, K.; Pugazhendhi, A. Recent developments and strategies in genome engineering and integrated fermentation approaches for biobutanol production from microalgae. Fuel 2021, 285, 119052. [Google Scholar] [CrossRef]
- Birgen, C.; Dürre, P.; Preisig, H.A.; Wentzel, A. Butanol production from lignocellulosic biomass: Revisiting fermentation performance indicators with exploratory data analysis. Biotechnol. Biofuels 2019, 12, 167. [Google Scholar] [CrossRef] [PubMed]
- Huynh, T.T.; Le, M.D.; Duong, D.N. Effects of butanol–gasoline blends on SI engine performance, fuel consumption, and emission characteristics at partial engine speeds. Int. J. Energy Environ. Eng. 2019, 10, 483–492. [Google Scholar] [CrossRef]
- Atmanli, A.; Yilmaz, N. A comparative analysis of n-butanol/diesel and 1-pentanol/diesel blends in a compression ignition engine. Fuel 2018, 234, 161–169. [Google Scholar] [CrossRef]
- Capodaglio, A.G.; Bolognesi, S. Ecofuel feedstocks and their prospects. In Advances in Eco-Fuels for a Sustainable Environment; Azad, K., Ed.; Woodhead Publishing: Sawston, Cambridge, UK, 2019; pp. 15–51. [Google Scholar]
- Pugazhendhi, A.; Mathimani, T.; Varjani, S.; Rene, E.R.; Kumar, G.; Kim, S.-H.; Ponnusamy, V.K.; Yoon, J.-J. Biobutanol as a promising liquid fuel for the future—Recent updates and perspectives. Fuel 2019, 253, 637–646. [Google Scholar] [CrossRef]
- Moon, H.G.; Jang, Y.-S.; Cho, C.; Lee, J.; Binkley, R.; Lee, S.Y. One hundred years of clostridial butanol fermentation. FEMS Microbiol. Lett. 2016, 363, fnw001. [Google Scholar] [CrossRef]
- Gu, Y.; Jiang, Y.; Wu, H.; Liu, X.; Li, Z.; Li, J.; Xiao, H.; Shen, Z.; Dong, H.; Yang, Y.; et al. Economical challenges to microbial producers of butanol: Feedstock, butanol ratio and titer. Biotechnol. J. 2011, 6, 1348–1357. [Google Scholar] [CrossRef] [PubMed]
- Zheng, Y.-N.; Li, L.-Z.; Xian, M.; Ma, Y.-J.; Yang, J.-M.; Xu, X.; He, D.-Z. Problems with the microbial production of butanol. J. Ind. Microbiol. Biotechnol. 2009, 36, 1127–1138. [Google Scholar] [CrossRef]
- Green, E.M. Fermentative production of butanol—The industrial perspective. Curr. Opin. Biotechnol. 2011, 22, 337–343. [Google Scholar] [CrossRef]
- Mukhopadhyay, A.; Redding, A.M.; Rutherford, B.J.; Keasling, J.D. Importance of systems biology in engineering microbes for biofuel production. Curr. Opin. Biotechnol. 2008, 19, 228–234. [Google Scholar] [CrossRef][Green Version]
- Ndaba, B.; Chiyanzu, I.; Marx, S. n-Butanol derived from biochemical and chemical routes: A review. Biotechnol. Rep. 2015, 8, 1–9. [Google Scholar] [CrossRef]
- Rostrup-Nielsen, J.R. Making fuels from biomass. Science 2005, 308, 1421–1422. [Google Scholar] [CrossRef] [PubMed]
- Goldemberg, J. Ethanol for a sustainable energy future. Science 2007, 315, 808–810. [Google Scholar] [CrossRef]
- Zhang, M.; Yu, Y. Dehydration of ethanol to ethylene. Ind. Eng. Chem. Res. 2013, 52, 9505–9514. [Google Scholar] [CrossRef]
- Angelici, C.; Weckhuysen, B.M.; Bruijnincx, P.C.A. Chemocatalytic conversion of ethanol into butadiene and other bulk chemicals. ChemSusChem 2013, 6, 1595–1614. [Google Scholar] [CrossRef] [PubMed]
- Makshina, E.V.; Dusselier, M.; Janssens, W.; Degrève, J.; Jacobs, P.A.; Sels, B.F. Review of old chemistry and new catalytic advances in the on-purpose synthesis of butadiene. Chem. Soc. Rev. 2014, 43, 7917–7953. [Google Scholar] [CrossRef] [PubMed]
- Lee, J.; Lee, Y.; Kim, S.; Kwon, E.E.; Lin, K.-Y.A. Catalytic production of hexamethylenediamine from renewable feedstocks. Korean J. Chem. Eng. 2021, 38, 1079–1086. [Google Scholar] [CrossRef]
- Statista. Production of Bioethanol Worldwide in 2018, by Region. Available online: https://www.statista.com/statistics/271471/bioethanol-production-in-selected-countries/ (accessed on 11 October 2021).
- Galadima, A.; Muraza, O. Catalytic upgrading of bioethanol to fuel grade biobutanol: A review. Ind. Eng. Chem. Res. 2015, 54, 7181–7194. [Google Scholar] [CrossRef]
- Veibel, S.; Nielsen, J.I. On the mechanism of the Guerbet reaction. Tetrahedron 1967, 23, 1723–1733. [Google Scholar] [CrossRef]
- Santacesaria, E.; Carotenuto, G.; Tesser, R.; Di Serio, M. Ethanol dehydrogenation to ethyl acetate by using copper and copper chromite catalysts. Chem. Eng. J. 2012, 179, 209–220. [Google Scholar] [CrossRef]
- Chheda, J.N.; Dumesic, J.A. An overview of dehydration, aldol-condensation and hydrogenation processes for production of liquid alkanes from biomass-derived carbohydrates. Catal. Today 2007, 123, 59–70. [Google Scholar] [CrossRef]
- Xi, X.-Y.; Sun, Z.-H.; Cao, H.-T.; Pei, Y.-T.; ten Brink, G.H.; Deuss, P.J.; Barta, K.; Heeres, H.J. Catalyst performance studies on the Guerbet reaction in a continuous flow reactor using mono- and bi-metallic Cu-Ni porous metal oxides. Catalysts 2020, 10, 996. [Google Scholar] [CrossRef]
- Wingad, R.L.; Gates, P.J.; Street, S.T.G.; Wass, D.F. Catalytic conversion of ethanol to n-butanol using ruthenium P–N ligand complexes. ACS Catal. 2015, 5, 5822–5826. [Google Scholar] [CrossRef]
- Chakraborty, S.; Piszel, P.E.; Hayes, C.E.; Baker, R.T.; Jones, W.D. Highly selective formation of n-butanol from ethanol through the Guerbet process: A tandem catalytic approach. J. Am. Chem. Soc. 2015, 137, 14264–14267. [Google Scholar] [CrossRef] [PubMed]
- Tseng, K.-N.T.; Lin, S.; Kampf, J.W.; Szymczak, N.K. Upgrading ethanol to 1-butanol with a homogeneous air-stable ruthenium catalyst. Chem. Commun. 2016, 52, 2901–2904. [Google Scholar] [CrossRef]
- Xie, Y.; Ben-David, Y.; Shimon, L.J.W.; Milstein, D. Highly efficient process for production of biofuel from ethanol catalyzed by ruthenium pincer complexes. J. Am. Chem. Soc. 2016, 138, 9077–9080. [Google Scholar] [CrossRef]
- Aitchison, H.; Wingad, R.L.; Wass, D.F. Homogeneous ethanol to butanol catalysis—Guerbet renewed. ACS Catal. 2016, 6, 7125–7132. [Google Scholar] [CrossRef]
- Fu, S.; Shao, Z.; Wang, Y.; Liu, Q. Manganese-catalyzed upgrading of ethanol into 1-butanol. J. Am. Chem. Soc. 2017, 139, 11941–11948. [Google Scholar] [CrossRef]
- Kulkarni, N.V.; Brennessel, W.W.; Jones, W.D. Catalytic upgrading of ethanol to n-butanol via manganese-mediated Guerbet reaction. ACS Catal. 2018, 8, 997–1002. [Google Scholar] [CrossRef]
- Neumann, C.N.; Rozeveld, S.J.; Yu, M.; Rieth, A.J.; Dincă, M. Metal–organic framework-derived Guerbet catalyst effectively differentiates between ethanol and butanol. J. Am. Chem. Soc. 2019, 141, 17477–17481. [Google Scholar] [CrossRef] [PubMed]
- Cole-Hamilton, D.J. Homogeneous catalysis--new approaches to catalyst separation, recovery, and recycling. Science 2003, 299, 1702–1706. [Google Scholar] [CrossRef]
- Dev, A.; Srivastava, A.K.; Karmakar, S. New generation hybrid nanobiocatalysts: The catalysis redefined. In Handbook of Nanomaterials for Industrial Applications; Mustansar Hussain, C., Ed.; Elsevier: Amsterdam, The Netherlands, 2018; pp. 217–231. [Google Scholar] [CrossRef]
- Earley, J.H.; Bourne, R.A.; Watson, M.J.; Poliakoff, M. Continuous catalytic upgrading of ethanol to n-butanol and >C4 products over Cu/CeO2 catalysts in supercritical CO2. Green Chem. 2015, 17, 3018–3025. [Google Scholar] [CrossRef]
- Ho, C.R.; Shylesh, S.; Bell, A.T. Mechanism and kinetics of ethanol coupling to butanol over hydroxyapatite. ACS Catal. 2016, 6, 939–948. [Google Scholar] [CrossRef]
- Pang, J.; Zheng, M.; He, L.; Li, L.; Pan, X.; Wang, A.; Wang, X.; Zhang, T. Upgrading ethanol to n-butanol over highly dispersed Ni–MgAlO catalysts. J. Catal. 2016, 344, 184–193. [Google Scholar] [CrossRef]
- Jiang, D.; Wu, X.; Mao, J.; Ni, J.; Li, X. Continuous catalytic upgrading of ethanol to n-butanol over Cu–CeO2/AC catalysts. Chem. Commun. 2016, 52, 13749–13752. [Google Scholar] [CrossRef]
- Wu, X.; Fang, G.; Liang, Z.; Leng, W.; Xu, K.; Jiang, D.; Ni, J.; Li, X. Catalytic upgrading of ethanol to n-butanol over M-CeO2/AC (M=Cu, Fe, Co, Ni and Pd) catalysts. Catal. Commun. 2017, 100, 15–18. [Google Scholar] [CrossRef]
- Jiang, D.; Fang, G.; Tong, Y.; Wu, X.; Wang, Y.; Hong, D.; Leng, W.; Liang, Z.; Tu, P.; Liu, L.; et al. Multifunctional Pd@UiO-66 catalysts for continuous catalytic upgrading of ethanol to n-butanol. ACS Catal. 2018, 8, 11973–11978. [Google Scholar] [CrossRef]
- Scalbert, J.; Thibault-Starzyk, F.; Jacquot, R.; Morvan, D.; Meunier, F. Ethanol condensation to butanol at high temperatures over a basic heterogeneous catalyst: How relevant is acetaldehyde self-aldolization? J. Catal. 2014, 311, 28–32. [Google Scholar] [CrossRef]
- Kozlowski, J.T.; Davis, R.J. Sodium modification of zirconia catalysts for ethanol coupling to 1-butanol. J. Energy Chem. 2013, 22, 58–64. [Google Scholar] [CrossRef]
- Ogo, S.; Onda, A.; Yanagisawa, K. Selective synthesis of 1-butanol from ethanol over strontium phosphate hydroxyapatite catalysts. Appl. Catal. A Gen. 2011, 402, 188–195. [Google Scholar] [CrossRef]
- Ogo, S.; Onda, A.; Iwasa, Y.; Hara, K.; Fukuoka, A.; Yanagisawa, K. 1-Butanol synthesis from ethanol over strontium phosphate hydroxyapatite catalysts with various Sr/P ratios. J. Catal. 2012, 296, 24–30. [Google Scholar] [CrossRef]
- Ndou, A.S.; Plint, N.; Coville, N.J. Dimerisation of ethanol to butanol over solid-base catalysts. Appl. Catal. A Gen. 2003, 251, 337–345. [Google Scholar] [CrossRef]
- Yang, C.; Meng, Z.Y. Bimolecular condensation of ethanol to 1-butanol catalyzed by alkali cation zeolites. J. Catal. 1993, 142, 37–44. [Google Scholar] [CrossRef]
- Carvalho, D.L.; de Avillez, R.R.; Rodrigues, M.T.; Borges, L.E.P.; Appel, L.G. Mg and Al mixed oxides and the synthesis of n-butanol from ethanol. Appl. Catal. A Gen. 2012, 415–416, 96–100. [Google Scholar] [CrossRef]
- Carvalho, D.L.; Borges, L.E.P.; Appel, L.G.; Ramírez de la Piscina, P.; Homs, N. In situ infrared spectroscopic study of the reaction pathway of the direct synthesis of n-butanol from ethanol over MgAl mixed-oxide catalysts. Catal. Today 2013, 213, 115–121. [Google Scholar] [CrossRef]
- León, M.; Díaz, E.; Ordóñez, S. Ethanol catalytic condensation over Mg–Al mixed oxides derived from hydrotalcites. Catal. Today 2011, 164, 436–442. [Google Scholar] [CrossRef]
- Marcu, I.-C.; Tichit, D.; Fajula, F.; Tanchoux, N. Catalytic valorization of bioethanol over Cu-Mg-Al mixed oxide catalysts. Catal. Today 2009, 147, 231–238. [Google Scholar] [CrossRef]
- Riittonen, T.; Toukoniitty, E.; Madnani, D.K.; Leino, A.-R.; Kordas, K.; Szabo, M.; Sapi, A.; Arve, K.; Wärnå, J.; Mikkola, J.-P. One-pot liquid-phase catalytic conversion of ethanol to 1-butanol over aluminium oxide—the effect of the active metal on the selectivity. Catalysts 2012, 2, 68–84. [Google Scholar] [CrossRef]
- Ghaziaskar, H.S.; Xu, C. One-step continuous process for the production of 1-butanol and 1-hexanol by catalytic conversion of bio-ethanol at its sub-/supercritical state. RSC Adv. 2013, 3, 4271–4280. [Google Scholar] [CrossRef]
- Dowson, G.R.M.; Haddow, M.F.; Lee, J.; Wingad, R.L.; Wass, D.F. Catalytic conversion of ethanol into an advanced biofuel: Unprecedented selectivity for n-butanol. Angew. Chem. Int. Ed. 2013, 52, 9005–9008. [Google Scholar] [CrossRef]
- Riittonen, T.; Eränen, K.; Mäki-Arvela, P.; Shchukarev, A.; Rautio, A.-R.; Kordas, K.; Kumar, N.; Salmi, T.; Mikkola, J.-P. Continuous liquid-phase valorization of bio-ethanol towards bio-butanol over metal modified alumina. Renew. Energy 2015, 74, 369–378. [Google Scholar] [CrossRef]
- Sadjadi, M.; Ebadi, A.; Zare, K. Oxidation of alcohols with tert-butylhydroperoxide catalyzed by nano-sized γ-alumina supported metallophthalocyanines. React. Kinet. Mech. Catal. 2010, 99, 119–124. [Google Scholar] [CrossRef]
- Ji, X.; Chen, Y.; Wang, X.; Liu, W. Preparation of nano-SO42−/TiO2 catalyst and its application in esterification of sebacic acid with 2-ethyl hexanol. Kinet. Catal. 2011, 52, 222–225. [Google Scholar] [CrossRef]
- Ji, X.B.; Chen, Y.X.; Shen, Z.; Chen, Y.X. Nano-SO42−/TiO2 catalyzed eco-friendly esterification of dicarboxylic acids. Asian J. Chem. 2014, 26, 5769–5772. [Google Scholar] [CrossRef]
- Abd El-Hafiz, D.R.; Ebiad, M.A.; Elsalamony, R.A.; Mohamed, L.S. Highly stable nano Ce–La catalyst for hydrogen production from bio-ethanol. RSC Adv. 2015, 5, 4292–4303. [Google Scholar] [CrossRef]
- Sun, K.-Q.; Luo, S.-W.; Xu, N.; Xu, B.-Q. Gold nano-size effect in Au/SiO2 for selective ethanol oxidation in aqueous solution. Catal. Lett. 2008, 124, 238–242. [Google Scholar] [CrossRef]
- Viswanadham, N.; Saxena, S.K.; Kumar, J.; Sreenivasulu, P.; Nandan, D. Catalytic performance of nano crystalline H-ZSM-5 in ethanol to gasoline (ETG) reaction. Fuel 2012, 95, 298–304. [Google Scholar] [CrossRef]
- Tsuchida, T.; Sakuma, S.; Takeguchi, T.; Ueda, W. Direct synthesis of n-butanol from ethanol over nonstoichiometric hydroxyapatite. Ind. Eng. Chem. Res. 2006, 45, 8634–8642. [Google Scholar] [CrossRef]
- Marcu, I.-C.; Tanchoux, N.; Fajula, F.; Tichit, D. Catalytic conversion of ethanol into butanol over M–Mg–Al mixed oxide catalysts (M = Pd, Ag, Mn, Fe, Cu, Sm, Yb) obtained from LDH precursors. Catal. Lett. 2013, 143, 23–30. [Google Scholar] [CrossRef]
- Matsakas, L.; Kekos, D.; Loizidou, M.; Christakopoulos, P. Utilization of household food waste for the production of ethanol at high dry material content. Biotechnol. Biofuels 2014, 7, 4. [Google Scholar] [CrossRef]
- Sans, C.; Mata-Alvarez, J.; Cecchi, F.; Pavan, P.; Bassetti, A. Acidogenic fermentation of organic urban wastes in a plug-flow reactor under thermophilic conditions. Bioresour. Technol. 1995, 54, 105–110. [Google Scholar] [CrossRef]
- Cavinato, C.; Da Ros, C.; Pavan, P.; Bolzonella, D. Influence of temperature and hydraulic retention on the production of volatile fatty acids during anaerobic fermentation of cow manure and maize silage. Bioresour. Technol. 2017, 223, 59–64. [Google Scholar] [CrossRef] [PubMed]
- Cho, S.-H.; Kim, T.; Baek, K.; Lee, J.; Kwon, E.E. The use of organic waste-derived volatile fatty acids as raw materials of C4-C5 bioalcohols. J. Clean. Prod. 2018, 201, 14–21. [Google Scholar] [CrossRef]
- Wang, K.; Yin, J.; Shen, D.; Li, N. Anaerobic digestion of food waste for volatile fatty acids (VFAs) production with different types of inoculum: Effect of pH. Bioresour. Technol. 2014, 161, 395–401. [Google Scholar] [CrossRef] [PubMed]
- Banks, C.J.; Chesshire, M.; Heaven, S.; Arnold, R. Anaerobic digestion of source-segregated domestic food waste: Performance assessment by mass and energy balance. Bioresour. Technol. 2011, 102, 612–620. [Google Scholar] [CrossRef] [PubMed]
- Liotta, F.; d’Antonio, G.; Esposito, G.; Fabbricino, M.; van Hullebusch, E.D.; Lens, P.N.; Pirozzi, F.; Pontoni, L. Effect of total solids content on methane and volatile fatty acid production in anaerobic digestion of food waste. Waste Manag. Res. 2014, 32, 947–953. [Google Scholar] [CrossRef]
- Jung, J.-M.; Cho, J.; Kim, K.-H.; Kwon, E.E. Pseudo catalytic transformation of volatile fatty acids into fatty acid methyl esters. Bioresour. Technol. 2016, 203, 26–31. [Google Scholar] [CrossRef] [PubMed]
- Cho, S.-H.; Kim, J.; Han, J.; Lee, D.; Kim, H.J.; Kim, Y.T.; Cheng, X.; Xu, Y.; Lee, J.; Kwon, E.E. Bioalcohol production from acidogenic products via a two-step process: A case study of butyric acid to butanol. Appl. Energy 2019, 252, 113482. [Google Scholar] [CrossRef]
- Lee, J.; Jung, J.-M.; Kim, H.J.; Kim, T.-W.; Kim, K.-H.; Kwon, E.E. Methylation of volatile fatty acids with ordered mesoporous carbon and carbon nanotube for renewable energy application. ACS Sustain. Chem. Eng. 2017, 5, 7433–7438. [Google Scholar] [CrossRef]
- Lee, A.F.; Bennett, J.A.; Manayil, J.C.; Wilson, K. Heterogeneous catalysis for sustainable biodiesel production via esterification and transesterification. Chem. Soc. Rev. 2014, 43, 7887–7916. [Google Scholar] [CrossRef]
- Kwon, E.E.; Jung, J.-M.; Kim, H.J.; Lee, J. Sustainable production of alkyl esters via thermal process in the presence of carbon black. Environ. Res. 2020, 183, 109199. [Google Scholar] [CrossRef] [PubMed]
- di Bitonto, L.; Menegatti, S.; Pastore, C. Process intensification for the production of the ethyl esters of volatile fatty acids using aluminium chloride hexahydrate as a catalyst. J. Clean. Prod. 2019, 239, 118122. [Google Scholar] [CrossRef]
- Lee, J.-M.; Upare, P.P.; Chang, J.-S.; Hwang, Y.K.; Lee, J.H.; Hwang, D.W.; Hong, D.-Y.; Lee, S.H.; Jeong, M.-G.; Kim, Y.D.; et al. Direct hydrogenation of biomass-derived butyric acid to n-butanol over a ruthenium–tin bimetallic catalyst. ChemSusChem 2014, 7, 2998–3001. [Google Scholar] [CrossRef] [PubMed]
- Wu, Y.; Xie, H.; Tian, S.; Tsubaki, N.; Han, Y.; Tan, Y. Isobutanol synthesis from syngas over K–Cu/ZrO2–La2O3(x) catalysts: Effect of La-loading. J. Mol. Catal. A Chem. 2015, 396, 254–260. [Google Scholar] [CrossRef]
- Wu, Y.; Xie, H.; Kou, Y.; Tsubaki, N.; Han, Y.; Tan, Y. The mechanism of higher alcohol formation on ZrO2-based catalyst from syngas. Korean J. Chem. Eng. 2015, 32, 406–412. [Google Scholar] [CrossRef]
- Hilmen, A.-M.; Xu, M.; Gines, M.J.L.; Iglesia, E. Synthesis of higher alcohols on copper catalysts supported on alkali-promoted basic oxides. Appl. Catal. A Gen. 1998, 169, 355–372. [Google Scholar] [CrossRef]
- Fang, K.; Li, D.; Lin, M.; Xiang, M.; Wei, W.; Sun, Y. A short review of heterogeneous catalytic process for mixed alcohols synthesis via syngas. Catal. Today 2009, 147, 133–138. [Google Scholar] [CrossRef]
- Dorokhov, V.S.; Ishutenko, D.I.; Nikul’shin, P.A.; Eliseev, O.L.; Rozhdestvenskaya, N.N.; Kogan, V.M.; Lapidus, A.L. The mechanism of synthesis gas conversion to alcohols catalyzed by transition metal sulfides. Dokl. Chem. 2013, 451, 191–195. [Google Scholar] [CrossRef]
- Keim, W.; Falter, W. Isobutanol from synthesis gas. Catal. Lett. 1989, 3, 59–63. [Google Scholar] [CrossRef]
- Forzatti, P.; Tronconi, E.; Pasquon, I. Higher alcohol synthesis. Catal. Rev. Sci. Eng. 1991, 33, 109–168. [Google Scholar] [CrossRef]
- Tian, S.; Ding, S.; Yang, Q.; Ren, H.; Ma, Q.; Zhao, Y.; Miao, Z. The role of non-stoichiometric spinel for iso-butanol formation from biomass syngas over Zn–Cr based catalysts. RSC Adv. 2017, 7, 20135–20145. [Google Scholar] [CrossRef]
- Tan, L.; Yang, G.; Yoneyama, Y.; Kou, Y.; Tan, Y.; Vitidsant, T.; Tsubaki, N. Iso-butanol direct synthesis from syngas over the alkali metals modified Cr/ZnO catalysts. Appl. Catal. A Gen. 2015, 505, 141–149. [Google Scholar] [CrossRef]
- Carmona-Garcia, E.; Marín-Valencia, P.A.; Solarte-Toro, J.C.; Moustakas, K.; Cardona-Alzate, C.A. Comparison of acetone–butanol–ethanol fermentation and ethanol catalytic upgrading as pathways for butanol production: A techno-economic and environmental assessment. Biofuel Res. J. 2021, 8, 1384–1399. [Google Scholar] [CrossRef]
- Okoli, C.; Adams, T.A. Design and economic analysis of a thermochemical lignocellulosic biomass-to-butanol process. Ind. Eng. Chem. Res. 2014, 53, 11427–11441. [Google Scholar] [CrossRef]
- Kim, S.; Tsang, Y.F.; Kwon, E.E.; Lin, K.-Y.A.; Lee, J. Recently developed methods to enhance stability of heterogeneous catalysts for conversion of biomass-derived feedstocks. Korean J. Chem. Eng. 2019, 36, 1–11. [Google Scholar] [CrossRef]
- Tchobanoglous, G.; Theisen, H.; Vigil, S.A. Integrated Solid Waste Management: Engineering Principles and Management Issues; McGraw-Hill, Inc.: Hightstown, NJ, USA, 1993. [Google Scholar]




| Catalyst | Reactor Type | Ethanol Phase | Reaction Conditions | Ethanol Conversion (%) | Butanol Selectivity (%) | Ref. |
|---|---|---|---|---|---|---|
| Hydroxyapatite (Ca/P molar ratio of 1.64) | Fixed-bed reactor | Gas phase | 300 °C; 16.4 vol.% ethanol in helium; contact time of 1.78 s | 14.7 | 76.3 | [65] |
| Mg–Al hydrotalcite (Mg/Al molar ratio of 3) | Packed-bed reactor | Vapor phase | 400 °C; 5.5 vol.% ethanol in helium (30 mL min−1); weight hourly space velocity (WHSV) of 0.215 h−1 | 25 | 16.1 | [53] |
| Mg–Al mixed oxide (Mg/Al molar ratio of 3) | Fixed-bed reactor | Vapor phase | 350 °C; 12 vol.% ethanol in N2 (40 mL min−1); 8-h reaction | ~35 | ~38 | [51] |
| Ni/Al2O3 (Ni loading of 20.7%) | Batch reactor | Liquid phase | 250 °C; catalyst/ethanol ratio of 3.3/100 (w/v) | 25 | 80 | [55] |
| Cu/Al2O3, Ni/Al2O3 | Fixed-bed reactor | Liquid phase | 240 °C; 7 MPa (argon); liquid hourly space velocity (LHSV) of 4.3 L h−1; ethanol specific velocity of 8.3 × 10−6 m/s | 20–28 | 60–65 | [58] |
| Ru–bis(diphenylphosphanyl)methane | Batch reactor | Liquid phase | 150 °C; Ru of 0.1 mol.%; Ru/ligand molar ratio of 1; 4 h | >20 | 94 | [57] |
| Hydroxyapatite (commercial) | Fixed-bed reactor | Vapor phase | 438 °C; 15.2% ethanol in argon; WHSV of 14 h−1 | - | Yield: 15.5% | [45] |
| Sr10(PO4)6(OH)2 | Fixed-bed reactor | Liquid phase | 300 °C; 16.1 mol.% in argon; space velocity of 130 h gcat. molethanol−1; 3-h time-on-stream | 20 | ~79 | [47] |
| MgO | Fixed-bed reactor | Liquid phase | 450 °C; 1 atm; N2 flow of 10 mL min−1 | 56.1 | 32.8 | [49] |
| Cu–Mg–Al mixed oxide | Batch reactor | Liquid phase | 200 °C; ethanol/catalyst ratio of 79; 100-h reaction | ~11 | ~70 | [54] |
| Pd–Mg–Al mixed oxide | Batch reactor | Liquid phase | 260 °C; ethanol/catalyst ratio of 79; LHSV of 15 mL g−1 h−1; 5-h reaction | 17.5 | 78 | [66] |
| Ni/ZrO2 (Ni loading of 1 wt.%) | Fixed-bed reactor | Vapor phase | 400 °C; 6.8 mol.% ethanol in N2; 0.52 μmolethanol m−2 s−1 | 7.7 | 12 | [46] |
| Ni/Al2O3 (Ni loading of 8%) | Fixed-bed reactor | Liquid phase | 250 °C; 17.6 MPa; WHSV of 6.4 h−1 | 35 | 62 | [56] |
| Cu–Ni bimetallic catalyst | Fixed-bed reactor | Liquid phase | 320 °C; 8 MPa; ethanol/catalyst ratio of 23.7; LHSV of 15 mL g−1 h−1; 18-h reaction | 69.4 | 30.1 | [28] |
| Cu/CeO2 (Cu loading of 10 wt.%) | Fixed-bed reactor | Liquid phase | 260 °C; 10 MPa; ethanol/CO2 ratio of 0.05; LHSV of 1.97 h−1 | 67 | 45 | [39] |
| Cu/CeO2–activated carbon (Cu/Ce = 3) | Batch reactor | Liquid phase | 250 °C; 0.1 MPa N2; ethanol/catalyst ratio of 24.2; 48-h reaction | 39.1 | 55.2 | [42] |
| Ni–Mg–AlO (Ni/Mg/Al = 1/4/1) | Fixed-bed reactor | Liquid phase | 250 °C; 3 MPa; N2 flow of 30 mL min−1; WHSV of 3.2 h−1 | 18.7 | 55.2 | [41] |
| Pd/UiO-66 metal-organic framework (Pd loading of 2 wt.%) | Fixed-bed reactor | Liquid phase | 250 °C; 2 MPa; N2/ethanol ratio of 250; LHSV of 4 mL g−1 h−1; 12-h reaction | 49.9 | 50.1 | [44] |
| Catalyst | Reaction Conditions | Methyl Butyrate Yield (%) | Ref. |
|---|---|---|---|
| Ordered mesoporous carbon (CMK-5) | 360 °C; VFA/methanol = 0.5 (v/v) | ~90 | [76] |
| Carbon black | 370 °C; VFA/methanol = 0.5 (v/v) | ~75 | [78] |
| Aluminium chloride hexahydrate (homogeneous) | 70 °C; molar ratio of VFA/ethanol/catalyst = 1/1/0.01; 8 h | 26.2 | [79] |
| Multi-walled carbon nanotubes | 360 °C; VFA/methanol = 0.5 (v/v) | 90 | [70] |
| Catalyst | Reactor Type | Phase | Reaction Conditions | Butanol Yield (%) | Ref. |
|---|---|---|---|---|---|
| Co/SiO2 (Cu loading of 5 wt.%) | Batch reactor | Liquid phase | 250 °C; 5 MPa H2; 10 mL feed/0.8 g catalyst; 4-h reaction | 19 | [70] |
| Pt–Co/SiO2 (Co/Pt molar ratio of 20) | Batch reactor | Liquid phase | 250 °C; 5 MPa H2; feed/catalyst weight ratio of 11.2; 12-h reaction | 27.6 | [75] |
| Ru–Sn/ZnO (Sn/Ru molar ratio of 2) | Fixed-bed reactor | Vapor phase | 265 °C; 2.5 MPa H2 (130 cm3 min−1); feed rate of 0.015 mL min−1 | >90 | [80] |
Publisher’s Note: MDPI stays neutral with regard to jurisdictional claims in published maps and institutional affiliations. |
© 2021 by the authors. Licensee MDPI, Basel, Switzerland. This article is an open access article distributed under the terms and conditions of the Creative Commons Attribution (CC BY) license (https://creativecommons.org/licenses/by/4.0/).
Share and Cite
Choi, H.; Han, J.; Lee, J. Renewable Butanol Production via Catalytic Routes. Int. J. Environ. Res. Public Health 2021, 18, 11749. https://doi.org/10.3390/ijerph182211749
Choi H, Han J, Lee J. Renewable Butanol Production via Catalytic Routes. International Journal of Environmental Research and Public Health. 2021; 18(22):11749. https://doi.org/10.3390/ijerph182211749
Chicago/Turabian StyleChoi, Heeyoung, Jeehoon Han, and Jechan Lee. 2021. "Renewable Butanol Production via Catalytic Routes" International Journal of Environmental Research and Public Health 18, no. 22: 11749. https://doi.org/10.3390/ijerph182211749
APA StyleChoi, H., Han, J., & Lee, J. (2021). Renewable Butanol Production via Catalytic Routes. International Journal of Environmental Research and Public Health, 18(22), 11749. https://doi.org/10.3390/ijerph182211749

