Fusarium Mycotoxins, Their Metabolites (Free, Emerging, and Masked), Food Safety Concerns, and Health Impacts
Abstract
:1. Introduction
2. Fusarium Mycotoxin Production and Toxicities
2.1. Trichothecenes
2.2. Deoxynivalenol
2.3. Nivalenol
2.4. T-2 Toxins
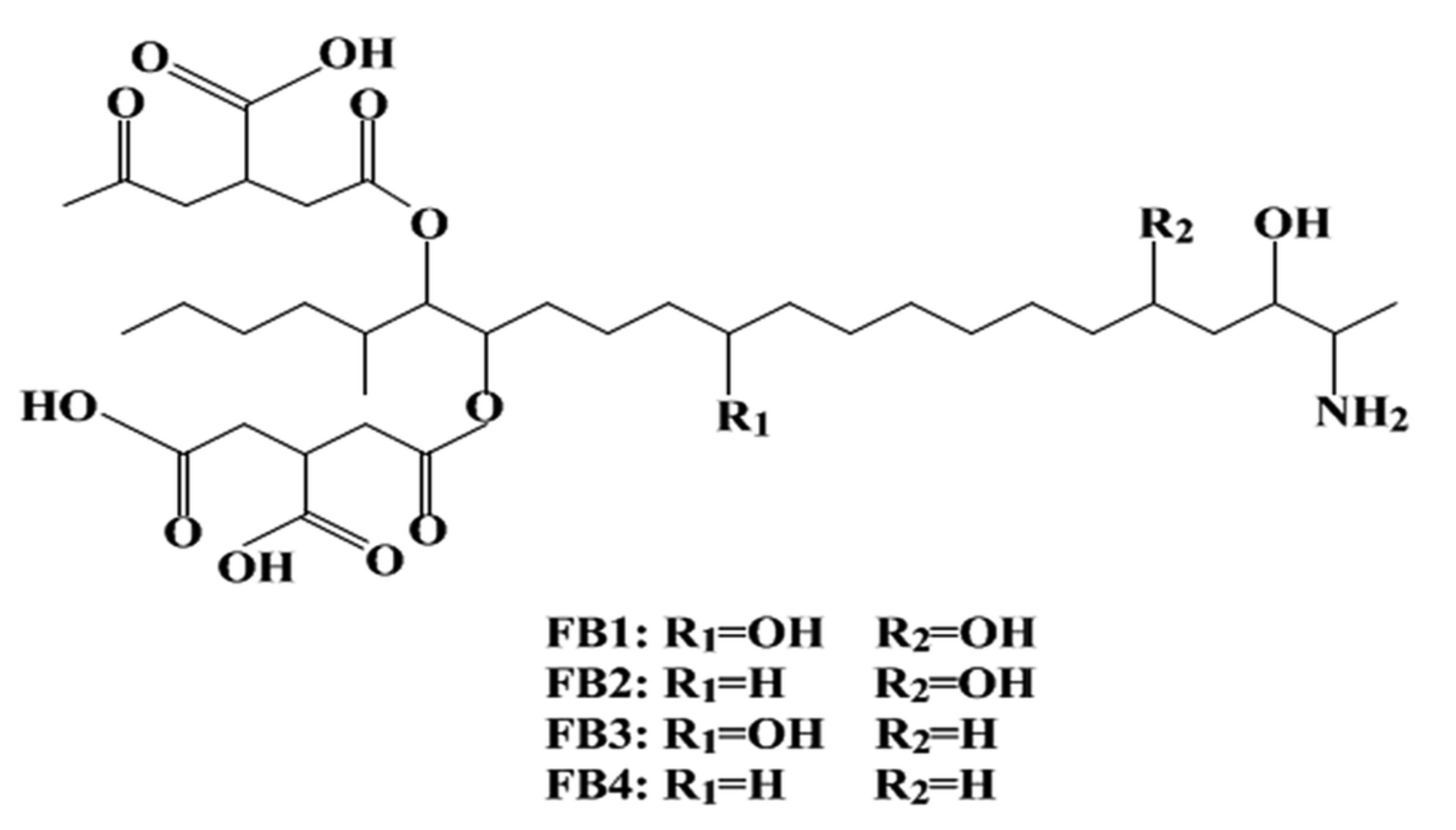
2.5. Fumonisins
2.6. Zearalenone and Its Metabolites (Mycoestrogens)
3. Emerging Fusarium Toxins
3.1. Moniliformin
3.2. Enniatins
3.3. Beauvericin
3.4. Fusaproliferin
4. Masked Mycotoxins
4.1. Introduction
4.2. Formation and Occurrence of Masked Mycotoxins
4.2.1. Plant Conjugates
4.2.2. Food Processing Conjugates
5. Health Effects of Masked Mycotoxins Using Studies on Human Cell Lines, Animals, and Plants
5.1. Zearalenone and Its Modified Derivatives
5.2. Deoxynivalenol (DON) and Its Modified Derivatives
6. Management of Food Safety Risks of Fusarium Mycotoxins
- (a)
- Appropriate agronomic practices include the use of resistant crop varieties that can resist insect and fungal infection of crops in the field. Crop rotation, e.g., maize–soy bean rotation, reportedly results in less outbreaks of Fusarium than maize–maize planting operations [123]. Proper and uniform irrigation helps to reduce plant drought stress, which has been reported to favor mycotoxin (fumonisin) contamination [15]. Getting rid of grasses, weeds, debris, alternate host plants, crop residues, etc., which can serve as reservoirs to fungal inoculums, can also prevent mycotoxin contamination in the field. Moreover, reducing mechanical damage to crops to a minimum during harvesting reduces mycotoxin contamination as mycotoxins are generally higher in broken kernels. Appropriate and approved fungicides, pesticides, and other chemicals also prevent mycotoxin contamination in grains, although they should be used with caution as their residues could be toxic to mammalian cells [124]). Drying of food and feed to safe moisture levels during storage will also help prevent mycotoxin formation.
- (b)
- Food processing includes physical techniques, such as cleaning and milling processes, physical adsorption, and thermal processes; chemical techniques, such as the use of ammonia, calcium hydroxide, and sulfur-containing compounds; and biological techniques, such as malting, brewing, and fermentation [121]. Studies have reported the positive effect of physical decontamination methods, such as sorting, washing, dehulling, etc., on reducing mycotoxins in grains [125,126]. Moreover, mycotoxins are thermally stable [127] and tend to survive thermal processing, even when cooked at pretty high temperatures, such as those reached during bread making or breakfast cereal production [128]. Nevertheless, reduction has also been reported at very high temperatures, although this may be due to reactions resulting in the formation of products with altered chemical structures. The effectiveness of thermal treatment (extrusion cooking) on the reduction of some Fusarium toxins, e.g., zearalenone at temperatures ranging from 120 to 160 °C, has also been reported [129]. Fermentation, which is a universal biological food processing method, has also been reported to reduce mycotoxin contamination, e.g., a 50% reduction in deoxynivalenol was recorded during traditional beer processing [130], In spite of this, the amount of reduction in mycotoxin contamination in food and feed products by processing is dependent on the matrix type, the mycotoxin, and the processing method and conditions used. Besides studying the effect of food processing on mycotoxins, it is important to be aware of the possibility of free mycotoxins co-occurring with their masked forms or free mycotoxins being modified and fragmented into other forms during food processing, which may not be easily detected by routine analytical methods.
- (c)
- Food handling and packaging includes the use of technologies such as modified atmosphere packaging (MAP), which is a useful technology that involves the use of oxygen (O2) absorbents, storage temperature, and packaging film barrier. MAP can be used to prevent fungal growth and mycotoxin contamination on finished products [122,124]
7. Conclusions
Author Contributions
Funding
Institutional Review Board Statement
Informed Consent Statement
Data Availability Statement
Conflicts of Interest
References
- Bennett, J.W.; Klich, M. Mycotoxins. Clin. Microbiol. Rev. 2003, 16, 497–516. [Google Scholar] [CrossRef] [PubMed] [Green Version]
- Casado, M.R.; Parsons, D.; Weightman, R.; Magan, N.; Origgi, S. Modelling a two-dimensional spatial distribution of mycotoxin concentration in bulk commodities to design effective and efficient sample selection strategies. Food Addit. Contam. Part A 2009, 26, 1298–1305. [Google Scholar] [CrossRef] [Green Version]
- Smith, J.E.; Solomons, G.; Lewis, C.; Anderson, J.G. Role of mycotoxins in human and animal nutrition and health. Nat. Toxins 1995, 3, 187–192. [Google Scholar] [CrossRef] [PubMed]
- Wild, C.P.; Gong, Y.Y. Mycotoxins and human disease: A largely ignored global health issue. Carcinogenesis 2010, 31, 71–82. [Google Scholar] [CrossRef]
- Yazar, S.; Omurtag, G.Z. Fumonisins, Trichothecenes and Zearalenone in Cereals. Int. J. Mol. Sci. 2008, 9, 2062–2090. [Google Scholar] [CrossRef]
- Smith, J.E.; Solomons, G.; Lewis, C.; Anderson, J.G. Mycotoxins in Human Nutrition and Health; European Commission: Brussels, Belgium, 1994. [Google Scholar]
- Streit, E.; Naehrer, K.; Rodrigues, I.; Schatzmayr, G. Mycotoxin occurrence in feed and feed raw materials worldwide: Long-term analysis with special focus on Europe and Asia. J. Sci. Food Agric. 2013, 93, 2892–2899. [Google Scholar] [CrossRef]
- Kosiak, B.; Torp, M.; Skjerve, E.; Thrane, U. The prevalence and distribution of Fusarium species in Norwegian cereals: A survey. Acta Agric. Scand. Sect. B Plant Soil Sci. 2003, 53, 168–176. [Google Scholar] [CrossRef]
- Rokka, M.; Yli-Mattila, T.; Parikka, P.; Rizzo, A.; Peltonen, K. Presence and concentrations of the Fusarium-related mycotoxins beauvericin, enniatins and moniliformin in finnish grain samples. Food Addit. Contam. 2004, 21, 794–802. [Google Scholar] [CrossRef]
- Ekwomadu, T.I.; Dada, T.A.; Nleya, N.; Gopane, R.; Sulyok, M.; Mwanza, M. Variation of Fusarium free, masked, and emerging mycotoxin metabolites in maize from agriculture regions of South Africa. Toxins 2020, 12, 149. [Google Scholar] [CrossRef] [Green Version]
- Gareis, M.; Bauer, J.; Thiem, J.; Plank, G.; Grabley, S.; Gedek, B. Cleavage of zearalenone-glycoside, a “masked” mycotoxin, during digestion in swine. J. Vet. Med. Ser. B 1990, 37, 236–240. [Google Scholar] [CrossRef] [PubMed]
- Stoev, S.D.; Denev, S.A. Porcine/chicken or human nephropathy as the result of joint mycotoxins interaction. Toxins 2013, 5, 1503–1530. [Google Scholar] [CrossRef] [Green Version]
- Stoev, S.D. Foodborne mycotoxicoses, risk assessment and underestimated hazard of masked mycotoxins and joint mycotoxin effects or interaction. Environ. Toxicol. Pharmacol. 2015, 39, 794–809. [Google Scholar] [CrossRef]
- Leslie, J.F.; Summerell, B.A. The Fusarium Laboratory Manual; Blackwell Publishing: Hoboken, NJ, USA, 2006. [Google Scholar]
- Ekwomadu, T.; Mwanza, M. A decade of mycotoxin research in Africa: A review. In Mycotoxins, Occurrence, Toxicology and Management Strategies; Rios, C., Ed.; Nova Science Publishers Inc: New York, NY, USA, 2015; pp. 169–213. [Google Scholar]
- Zhou, T.; He, J.; Gong, J. Microbial transformation of trichothecene mycotoxins. World Mycotoxin J. 2008, 1, 23–30. [Google Scholar] [CrossRef]
- Foroud, N.A.; Baines, D.; Gagkaeva, T.Y.; Thakor, N.; Badea, A.; Steiner, B.; Bürstmayr, M.; Bürstmayr, H. Trichothecenes in cereal grains—An update. Toxins 2019, 11, 634. [Google Scholar] [CrossRef] [PubMed] [Green Version]
- Wu, Q.; Huang, L.; Liu, Z.; Yao, M.; Wang, Y.; Dai, M.; Yuan, Z. A comparison of hepatic in vitro metabolism of T-2 toxin in rats, pigs, chickens and carp. Xenobiotica 2011, 41, 863–873. [Google Scholar] [CrossRef] [PubMed]
- Shank, R.A.; Foroud, N.A.; Hazendonk, P.; Eudes, F.; Blackwell, B.A. Current and future experimental strategies for structural analysis of trichothecene mycotoxins—A prospectus. Toxins 2011, 3, 1518–1553. [Google Scholar] [CrossRef] [Green Version]
- Desjardins, A.E. Fusarium Mycotoxins: Chemistry, Genetics and Biology; American Phytopathological Society: Saint Paul, MN, USA, 2006. [Google Scholar]
- Thrane, U.; Adler, A.; Clasen, P.-E.; Galvano, F.; Langseth, W.; Lew, H.; Logrieco, A.F.; Nielsen, K.F.; Ritieni, A. Diversity in metabolite production by Fusarium langsethiae, Fusarium poae, and Fusarium sporotrichioides. Int. J. Food Microbiol. 2004, 95, 257–266. [Google Scholar] [CrossRef] [PubMed]
- Rocha, O.; Ansari, K.; Doohan, F.M. Effects of trichothescene mycotoxins on eukaryotic cells: A review. Food Addit. Contam. 2005, 22, 369–378. [Google Scholar] [CrossRef]
- Jurado, M.; Vázquez, C.; Patiño, B.; González-Jaén, M.T. PCR detection assays for the trichothecene-producing species Fusarium graminearum, Fusarium culmorum, Fusarium poae, Fusarium equiseti and Fusarium sporotrichioides. Syst. Appl. Microbiol. 2005, 28, 562–568. [Google Scholar] [CrossRef] [PubMed]
- Eriksen, G.; Petterson, H. Toxicological evaluation of trichothecenes in animal feed. Anim. Feed. Sci. Technol. 2004, 114, 205–239. [Google Scholar] [CrossRef]
- Wu, Q.; Kuca, K.; Humpf, H.; Klímová, B.; Cramer, B. Fate of deoxynivalenol and deoxynivalenol-3-glucoside during cereal-based thermal food processing: A review study. Mycotoxin Res. 2017, 33, 79–91. [Google Scholar] [CrossRef]
- Council for Agriculture Science and Technology (CAST). Mycotoxins: Risks in Plant, Animal, and Human Systems; Task Force Report No. 139; Council for Agriculture Science and Technology (CAST): Ames, IA, USA, 2003. [Google Scholar]
- Logrieco, A.; Bottalico, A.; Mulé, G.; Moretti, A.; Perrone, G. Epidemiology of toxigenic fungi and their associated mycotoxins for some Mediterranean crops. Eur. J. Plant. Pathol. 2003, 109, 645–667. [Google Scholar] [CrossRef]
- Van der Fels-Klerx, H.J.; Stratakou, I. T-2 toxin and HT-2 toxin in grain and grain-based commodities in Europe: Occurrence, factors affecting occurrence, co-occurence and toxicological effects. World Mycotoxin J. 2010, 3, 349–367. [Google Scholar] [CrossRef]
- Pinton, P.; Tsybulskyy, D.; Lucioli, J.; Laffitte, J.; Callu, P.; Lyazhri, F.; Grosjean, F.; Bracarense, A.P.; Kolf-Clauw, M.; Oswald, I. Toxicity of deoxynivalenol and its acetylated derivatives on the intestine: Differential effects on morphology, barrier function, tight junction proteins, and mitogen-activated protein kinases. Toxicol. Sci. 2012, 130, 180–190. [Google Scholar] [CrossRef] [PubMed]
- Richard, J.L. Mycotoxins—An overview. In Romer Labs’ Guide to Mycotoxins; Richard, J.L., Ed.; Anytime Publishing Services: Leicestershire, UK, 2000; pp. 1–48. [Google Scholar]
- International Agency for Research on Cancer (IARC). Some Naturally Occurring Substances. Food Items and Constituents, Heterocyclic Aromatic Amines and Mycotoxins; Monographs on the Evaluation of the Carcinogenic Risk of Chemicals to Humans; International Agency for Research on Cancer (IARC): Lyon, France, 1993; Volume 56. [Google Scholar]
- Agag, B.I. Mycotoxins in foods and feeds. 5-trichothecenes, A T-2 toxin. Assiut Univ. Bull. Environ. Res. 2005, 8, 641–645. [Google Scholar]
- Pestka, J.J.; Amuzie, C.J. Tissue distribution and proinflamatory cytokine gene expression following acute oral exposure to deoxynivalenol: Comparison of weaning and adult mice. Food Chem. Toxicol. 2008, 46, 2826–2831. [Google Scholar] [CrossRef] [Green Version]
- Hopton, R.P.; Turner, E.; Burley, V.J.; Turner, P.C.; Fisher, J. Urine metabolite analysis as a function of DON exposure: An NMR-based metabolomics investigation. Food Addit. Contam. Part. A Chem. Anal. Contr. Expo. Risk Assess. 2010, 27, 255–261. [Google Scholar] [CrossRef] [Green Version]
- Pestka, J.J. Deoxynivalenol-induced pro-inflammatory gene expression: Mechanisms and pathological sequelae. Toxins 2010, 2, 1300–1317. [Google Scholar] [CrossRef] [Green Version]
- Gelderblom, W.C.; Jaskiewicz, K.; Marasas, W.F.; Thiel, P.G.; Horak, R.M.; Vleggaar, R.; Kriek, N.P. Fumonisins—Novel mycotoxins with cancer-promoting activity produced by Fusarium moniliforme. Appl. Environ. Microbiol. 1988, 54, 1806–1811. [Google Scholar] [CrossRef] [Green Version]
- Marasas, W.F.O. Fumonisins: History, worldwide occurrence and impact. In Fumonisins in Food; Jackson, L.S., DeVries, J.W., Bullerman, L.B., Eds.; Plenum Press: New York, NY, USA, 1996; pp. 1–17. [Google Scholar]
- Frisvad, J.C.; Smedsgaard, J.; Samson, R.A.; Larsen, T.O.; Thrane, U. Fumonisin B2 production by Aspergillus niger. J. Agric. Food Chem. 2007, 55, 9727–9732. [Google Scholar] [CrossRef]
- Peraica, M.; Radić, B.; Lucić, A.; Pavlović, M. Toxic effects of mycotoxins in humans. Bull. World Health Organ. 1999, 77, 754–766. [Google Scholar] [PubMed]
- Marasas, W.F.O.; Riley, R.T.; Hendricks, K.A.; Stevens, V.L.; Sadler, T.W.; Gelineau-van Waes, J.; Missmer, S.A.; Cabrera, J.; Torres, O.; Gelderblom, W.C.A.; et al. Fumonisins disrupt sphingolipid metabolism, folate transport, and neural tube development in embryo culture and in vivo: A potential risk factor for human neural tube defects among populations consuming fumonisin-contaminated maize. J. Nutr. 2004, 134, 711–716. [Google Scholar] [CrossRef]
- Missmer, S.A.; Suarez, L.; Felkner, M.; Wang, E.; Merrill, A.H., Jr.; Rothman, K.J.; Hendricks, K.A. Exposure to Fumonisins and the occurrence of neural tube defects along the Texas–Mexico border. Environ. Health Perspect. 2006, 114, 237–241. [Google Scholar] [CrossRef] [PubMed]
- Kimanya, M.E.; de Meulenaer, B.; Roberfroid, D.; Lachat, C.; Kolsteren, P. Fumonisin exposure through maize in complementary foods is inversely associated with linear growth of infants in Tanzania. Mol. Nutr. Food Res. 2010, 54, 1659–1667. [Google Scholar] [CrossRef]
- International Agency for Research on Cancer (IARC). Fumonisin B1. In Some Traditional Medicines, Some Mycotoxins, Naphthalene and Styrene; Monographs on the Evaluation of Carcinogenic Risks to Humans; International Agency for Research on Cancer (IARC): Lyon, France, 2002. [Google Scholar]
- Rodrigues, I.; Handl, J.; Binder, E. Mycotoxin occurrence in commodities, feeds and feed ingredients sourced in the Middle East and Africa. Food Addit. Contam. Part. B 2011, 4, 168–179. [Google Scholar] [CrossRef] [Green Version]
- Wilson, T.M.; Nelson, P.E.; Ryan, T.B. Linking leukoencephalomalacia to commercial horse rations. Vet. Med. 1985, 80, 63–69. [Google Scholar]
- Jackson, L. Fumonisins. In Mycotoxins in Food: Detection and Control; Nagan, M., Olsen, M., Eds.; Woodhead: Cambridge, UK, 2004. [Google Scholar]
- Harrison, L.R.; Colvin, B.M.; Greene, J.T.; Newman, L.E.; Cole, J.R. Pulmonary oedema and hydrothorax in swine produced by fumonisin B1, a toxic metabolite of Fusarium moniliforme. J. Vet. Diagn. Investig. 1990, 2, 217–221. [Google Scholar] [CrossRef] [Green Version]
- Marasas, W.F.O. Discovery and occurrence of the Fumonisins: A historical perspective. Environ. Health Perspect. 2001, 109, 239–243. [Google Scholar]
- Sultana, N.; Hanif, N.Q. Mycotoxin contamination in cattle feed and feed ingredients. Pak. Vet. J. 2009, 29, 211–213. [Google Scholar]
- Pittet, A. Natural occurrence of mycotoxins in foods and feeds: An updated review. Rev. Med. Vet. 1998, 149, 479–492. [Google Scholar]
- Zinedine, A.; Soriano, J.M.; Juan, C.; Mojemmi, B.; Moltó, J.C.; Bouklouze, A.; Cherrah, Y.; Idrissi, L.; El Aouad, R.; Mañes, J. Incidence of ochratoxin A in rice and dried fruits from Rabat and Salé area, Morocco. Food Addit. Contam. 2007, 24, 285–291. [Google Scholar] [CrossRef] [Green Version]
- European Food Safety Authority (EFSA). Scientific Opinion on the Risks for Public Health Related to the Presence of Zearalenone (ZEA) in Food. 2011. Available online: https://efsa.onlinelibrary.wiley.com/doi/pdf/10.2903/j.efsa.2011.2197 (accessed on 5 September 2021).
- Mwanza, M. An Investigation in South African Domesticated Animals, Their Products and Related Health Issues with Reference to Mycotoxins and Fungi. Master’s Thesis, University of Johannesburg, Johannesburg, South Africa, 2007. [Google Scholar]
- Makun, H.A.; Dutton, M.F.; Njobeh, P.; Mwanza, M.; Kabiru, A.Y. Natural multi-occurrence of mycotoxins in rice from Niger State, Nigeria. Mycotoxin Res. 2011, 27, 97–104. [Google Scholar] [CrossRef] [Green Version]
- Bailly, J.; Guerre, P. Mycotoxin analysis in poultry and processed meats. In Safety Analysis of Foods of Animal Origin; Nollet, L.M.L., Toldrá, F., Eds.; CRC Press: Boca Raton, FL, USA, 2016; pp. 77–124. [Google Scholar]
- Ahamed, S.; Forester, J.S.; Bukovsky, A.; Winalasena, J. Signal transduction through the rass/Erk pathway is essential for the mycoestrogen zearalenone-induced cell-cycle progression in MCF-7 cells. Mol. Carcinog. 2001, 30, 88–98. [Google Scholar] [CrossRef]
- Krska, R. How does climate change impact on the occurrence and the determination of natural toxins. In Proceedings of the 7th International Symposium on Recent Advances in Food Analysis, Prague, Czech Republic, 3–6 November 2015. [Google Scholar]
- Vaclavikova, M.; Malachova, A.; Veprikova, Z.; Dzuman, Z.; Zachariasova, M.; Hajslova, J. Emerging’ mycotoxins in cereals processing chains: Changes of enniatins during beer and bread making. Food Chem. 2013, 136, 750–757. [Google Scholar] [CrossRef]
- Jestoi, M. Emerging Fusarium—mycotoxins fusaproliferin, beauvericin, enniatins, and moniliformin—a review. Crit. Rev. Food Sci. Nutr. 2008, 48, 21–49. [Google Scholar] [CrossRef]
- Sanhueza, C.E.P.; Degrossi, M.C. Moniliformin, a Fusarium mycotoxin. Soc. Mex. Micol. Xalapa 2004, 19, 103–112. [Google Scholar]
- Zain, M.E. Impact of mycotoxins on humans and animals. J. Saudi Chem. Soc. 2011, 15, 129–144. [Google Scholar] [CrossRef] [Green Version]
- Thiel, P.G.; Meyer, C.J.; Marasas, W.F.O. Natural occurence of moniliformin together with deoxynivalenol and zearalenone in Transkei corn. J. Agric. Food Chem. 1982, 30, 308–317. [Google Scholar] [CrossRef]
- Bottalico, A. Fusarium diseases of cereals: Species complex and related mycotoxin profiles in Europe. Eur. J. Plant. Pathol. 1998, 80, 85–103. [Google Scholar]
- Prosperini, A.; Berrada, H.; Ruiz, M.J.; Caloni, F.; Coccini, T.; Spicer, L.J.; Perego, M.C.; Lafranconi, A. A review of the mycotoxin enniatin B. Front. Public Health 2017, 5, 304. [Google Scholar] [CrossRef]
- Biomin.net. 2016. Available online: https://www.biomin.net/.../emerging-mycotoxins-overview-and-occurrence (accessed on 5 September 2021).
- Jajić, I.; Dudaš, T.; Krstović, S.; Krska, R.; Sulyok, M.; Bagi, F.; Savić, Z.; Guljaš, D.; Stankov, A. Emerging Fusarium mycotoxins fusaproliferin, beauvericin, enniatins, and moniliformin in serbian maize. Toxins 2019, 11, 357. [Google Scholar] [CrossRef] [Green Version]
- Marasas, W.F.O.; Kellerman, T.S.; Gelderblom, W.C.; Coetzer, J.A.; Thiel, P.G.; van der Lugt, J.J. Leukoencephalomalacia in a horse induced by fumonisin B1 isolated from Fusarium moniliforme. J. Vet. Res. 1988, 55, 197–203. [Google Scholar]
- Chu, F.S.; Li, G.Y. Simultaneous occurrence of fumonisin B1 and other mycotoxins in moldy corn collected from the People’s Republic of China in regions with high incidence of esophageal cancer. Appl. Environ. Microbiol. 1994, 60, 847–852. [Google Scholar] [CrossRef] [Green Version]
- Soriano, J.M.; Dragacci, S. Occurrence of Fumonisins in foods. Food Res. Int. 2004, 37, 985–1000. [Google Scholar] [CrossRef]
- Prelusky, D.B.; Rotter, B.A.; Rotter, R.G. Mycotoxins in Grain; Eagan Press: St. Paul, MN, USA, 1994; pp. 359–404. [Google Scholar]
- Li, M.; Harkema, J.R.; Islam, Z.; Cuff, C.F.; Pestka, J.J. T-2 toxin impairs murine immune response to respiratory reovirus and exacerbates viral bronchiolitis. Toxicol. Appl. Pharmacol. 2006, 217, 76–85. [Google Scholar] [CrossRef] [PubMed]
- Hymery, N.; Léon, K.; Carpentier, F.G.; Jung, J.L.; Parent-Massin, D. T-2 toxin inhibits the differentiation of human monocytes into dendritic cells and macrophages. Toxicol. In Vitro 2009, 23, 509–519. [Google Scholar] [CrossRef]
- Kubosaki, A.; Aihara, M.; Park, B.J.; Sugiura, Y.; Shibutani, M.; Hirose, M.; Suzuki, Y.; Takatori, K.; Sugita-Konishi, Y. Immunotoxicity of nivalenol after subchronic dietary exposure to rats. Food Chem. Toxicol. 2008, 46, 253–258. [Google Scholar] [CrossRef] [PubMed]
- Bony, S.; Olivier-Loiseau, L.; Carcelen, M.; Devaux, A. Genotoxic potential associated with low levels of the Fusarium mycotoxins nivalenol and fusarenon X in a human intestinal cell line. Toxicol. In Vitro 2007, 21, 457–465. [Google Scholar] [CrossRef] [PubMed]
- Miller, J.D.; Trenholm, H.L. Mycotoxins in Grain: Compounds Other Than Aflatoxin; Eagan Press: St. Paul, MN, USA, 1994; pp. 3–541. [Google Scholar]
- D’Mello, J.P.F.; Macdonald, A.M.C. Mycotoxins. Anim. Feed Sci. Technol. 1997, 69, 155–166. [Google Scholar] [CrossRef]
- Peltonen, K.; Jestoi, M.; Eriksen, G.S. Health effects of moniliformin a poorly understood Fusarium mycotoxin. World Mycotoxin J. 2010, 3, 403–414. [Google Scholar] [CrossRef]
- Zhang, A.; Cao, J.-L.; Yang, B.; Chen, J.-H.; Zhang, Z.-T.; Li, S.-Y.; Fu, Q.; Hugnes, C.E.; Caterson, B. Effects of moniliformin and selenium on human articular cartilage metabolism and their potential relationships to the pathogenesis of Kashin-Beck disease. J. Zhejiang Univ. Sci. B 2010, 11, 200–208. [Google Scholar] [CrossRef] [PubMed] [Green Version]
- Juan-García, A.; Manyes, L.; Ruiz, M.-J.; Font, G. Involvement of enniatins-induced cytotoxicity in human HepG2 cells. Toxicol. Lett. 2013, 218, 166–173. [Google Scholar] [CrossRef]
- Prosperini, A.; Font, G.; Ruiz, M.J. Interaction effects of Fusarium enniatins (A, A1, B and B1) combinations on in vitro cytotoxicity of Caco-2 cells. Toxicol. In Vitro 2014, 28, 88–94. [Google Scholar] [CrossRef]
- Young, J.C.; Fulcher, R.; Hayhoe, J.; Scott, P.; Dexter, J. Effect of milling and baking on deoxynivalenol (vomitoxin) content of eastern Canadian wheats. J. Agric. Food Chem. 1984, 32, 659–664. [Google Scholar] [CrossRef]
- Savard, M.E. Deoxynivalenol fatty acid and glucoside conjugates. J. Agric. Food Chem. 1991, 39, 570–574. [Google Scholar] [CrossRef]
- Sewald, N.; von Gleissenthall, J.L.; Schuster, M.; Müller, G.; Aplin, R.T. Structure elucidation of a plant metabolite of 4-desoxynivalenol. Tetrahedron Asymmetry 1992, 3, 953–960. [Google Scholar] [CrossRef]
- Kamimura, H. Conversion of zearalenone to zearalenone glycoside by Rhizopus sp. Appl. Environ. Microbiol. 1986, 52, 515–519. [Google Scholar] [CrossRef] [PubMed] [Green Version]
- Engelhardt, G.; Zill, G.; Wohner, B. Transformation of the Fusarium mycotoxin zearalenone in maize cell suspension cultures. Naturwissenschaften 1988, 75, 309–310. [Google Scholar] [CrossRef]
- Mirocha, C. Distribution and metabolism of zearalenone in a lactating cow. J. Am. Oil Chem. Soc. 1981, 58, 597–598. [Google Scholar]
- Plasencia, J.; Mirocha, C.J. Isolation and characterization of zearalenone sulphate produced by Fusarium spp. Appl. Environ. Microbiol. 1991, 57, 146–150. [Google Scholar] [CrossRef] [Green Version]
- Broekaert, N.; Devreese, M.; de Baere, S.; de Backer, P.; Croubels, S. Modified Fusarium mycotoxins unmasked: From occurrence in cereals to animal and human excretion. Food Chem. Toxicol. 2015, 80, 17–31. [Google Scholar] [CrossRef]
- Coleman, J.; Blake-Kalff, M.; Davies, T.G.E. Detoxification of xenobiotics by plants: Chemical modification and vacuolar compartmentation. Trends Plant. Sci. 1997, 2, 144–151. [Google Scholar] [CrossRef] [Green Version]
- Conn, E. Chemical conjugation and compartmentalization: Plant adaptations to toxic natural products. In Cellular and Molecular Biology of Plant Stress; Key, J.L., Kosuge, T., Eds.; Centre for Agricultural Publishing: New York, NY, USA, 1985; pp. 351–365. [Google Scholar]
- Sandermann, J. Plant metabolism of xenobiotics. Trends Biochem. Sci. 1992, 17, 82–84. [Google Scholar] [CrossRef]
- Engelhardt, G.; Ruhland, M.; Wallnöfer, P. Metabolism of mycotoxins in plants. Adv. Food Sci. 1999, 21, 71–78. [Google Scholar]
- Bryła, M.; Ksieniewicz-Woźniak, E.; Waśkiewicz, A.; Szymczyk, K.; Jędrzejczak, R. Natural occurrence of nivalenol, deoxynivalenol, and deoxynivalenol-3-glucoside in Polish winter wheat. Toxins 2018, 10, 81. [Google Scholar] [CrossRef] [Green Version]
- Di Mavungu, J.D.; de Saeger, S. Masked mycotoxins in food and feed: Challenges and analytical approaches. In Determining Mycotoxins and Mycotoxigenic Fungi in Food and Feed; Woodhead Publishing Limited: Sawston, UK, 2011; pp. 385–400. [Google Scholar]
- Berthiller, F.; Crews, C.; Dall’Asta, C.; de Saeger, S.; Haesaert, G.; Karlovsky, P.; Oswald, I.P.; Seefelder, W.; Speijers, G.; Stroka, J. Masked mycotoxins: A review. Mol. Nutr. Food Res. 2012, 57, 165–186. [Google Scholar] [CrossRef]
- Karlovsky, P. Biological detoxification of fungal toxins and its use in plant breeding, feed and food production. Nat. Toxins 1999, 7, 1–23. [Google Scholar] [CrossRef]
- Berthiller, F.; Dall’Asta, C.; Schuhmacher, R.; Lemmens, M.; Adam, G.; Krska, R. Masked mycotoxins: Determination of a deoxynivalenolglucoside in artificially and naturally contaminated wheat by liquid chromatography—Tandem mass spectrometry. J. Agric. Food Chem. 2005, 53, 3421–3425. [Google Scholar] [CrossRef] [PubMed]
- Nakagawa, H.; Ohmichi, K.; Sakamoto, S.; Sago, Y.; Kushiro, M.; Nagashima, H.; Yoshida, M.; Nakajima, T. Detection of new Fusarium masked mycotoxins in wheat grain by high-resolution LC–Orbitrap MS. Food Addit. Contam. 2011, 28, 1447. [Google Scholar] [CrossRef]
- Berthiller, F. Unravelling the real threats of masked mycotoxins. 2016. Available online: https://www.allaboutfeed.net/Mycotoxins/Articles/2016/7/Unravelling-the-real-threats-of-masked-mycotoxins-2841508W/ (accessed on 5 September 2021).
- Malachova, A.; Dzuman, Z.; Veprikova, Z.; Vaclavikova, M.; Zachariasova, M.; Hajslova, J. Deoxynivalenol, deoxynivalenol-3-glucoside, and enniatins: The major mycotoxins found in cereal-based products on the Czech market. J. Agric. Food Chem. 2011, 59, 12990–12997. [Google Scholar] [CrossRef] [PubMed]
- Dall’Asta, C.; Galaverna, G.; Mangia, M.; Sforza, S.; Dossena, A.; Marchelli, R. Free and bound fumonisins in gluten-free food products. Mol. Nutr. Food Res. 2009, 53, 492–499. [Google Scholar] [CrossRef]
- Galaverna, G.; Dall’Asta, C.; Mangia, M.; Dossena, A.; Marchelli, R. Masked mycotoxins: An emerging issue for food safety. Czech. J. Food Sci. 2009, 27, S89–S92. [Google Scholar] [CrossRef] [Green Version]
- Humpf, H.-U.; Voss, K.A. Effects of thermal food processing on the chemical structure and toxicity of fumonisin mycotoxins. Mol. Nutr. Food Res. 2004, 48, 255–269. [Google Scholar] [CrossRef] [PubMed]
- Howard, P.C.; Churchwell, M.I.; Couch, L.H.; Marques, M.M.; Doerge, D.R. Formation of N-(Carboxymethyl)fumonisin B1, following the reaction of fumonisin B1 with reducing sugars. J. Agric. Food Chem. 1998, 46, 3546–3557. [Google Scholar] [CrossRef]
- Poling, S.M.; Plattner, R.D.; Weisleder, D. N-(1-Deoxy-D-fructos-1-yl) fumonisin B1, the initial reaction product of fumonisin B1 and D-glucose. J. Agric. Food Chem. 2002, 50, 1318–1324. [Google Scholar] [CrossRef] [PubMed]
- Seefelder, W.; Hartl, M.; Humpf, H.U. Determination of N-(carboxymethyl) Fumonisin B1 in corn products by liquid chromatography/electrospray ionization—Mass spectrometry. J. Agric. Food Chem. 2001, 49, 2146–2151. [Google Scholar] [CrossRef]
- Kim, E.Y.; Scott, P.M.; Lau, B.P.-Y.; Lewis, D.A. Extraction of Fumonisins B1 and B2 from white rice flour and their stability in white rice flour, cornstarch, corn meal and glucose. J. Agric. Food Chem. 2002, 50, 3614–3620. [Google Scholar] [CrossRef]
- Kim, E.; Scott, P.; Lau, B. Hidden fumonisin in corn flakes. Food Addit. Contam. 2003, 20, 161–169. [Google Scholar] [CrossRef]
- Park, J.W.; Scott, P.M.; Lau, B.P.Y.; Lewis, D.A. Analysis of heat-processed corn foods for fumonisins and bound fumonisins. Food Addit. Contam. 2004, 21, 1168–1178. [Google Scholar] [CrossRef]
- Seefelder, W.; Knecht, A.; Humpf, H.U. Bound fumonisin-B1: Analysis of fumonisin-B1 glyco and amino acid conjugates by liquid chromatography–electrospray ionization–tandem mass spectrometry. J. Agric. Food Chem. 2003, 51, 5567–5573. [Google Scholar] [CrossRef]
- Dall’Asta, C.; Galaverna, G.; Aureli, G.; Dossena, A.; Marchelli, R. A LC/MS/MS method for the simultaneous quantification of free and masked fumonisins in maize and maize-based products. World Mycotoxin J. 2008, 1, 237–246. [Google Scholar] [CrossRef]
- Kostelanska, M.; Dzuman, Z.; Malachova, A.; Capouchova, I.; Prokinova, E.; Skerikova, A.; Hajslova, J. Effects of milling and baking technologies on levels of deoxynivalenol and its masked form deoxynivalenol-3-glucoside. J. Agric. Food Chem. 2011, 59, 9303–9312. [Google Scholar] [CrossRef] [PubMed]
- Schollenberger, M.; Müller, H.-M.; Rüfle, M.; Suchy, S.; Drochner, W. Redistribution of 16 fusarium toxins during commercial dry milling of maize. Cereal Chem. J. 2008, 85, 557–560. [Google Scholar] [CrossRef]
- Lancova, K.; Hajslova, J.; Kostelanska, M.; Kohoutkova, J.; Nedelnik, J.; Moravcova, H.; Vanova, M. Fate of trichothecene mycotoxins during the processing: Milling and baking. Food Addit. Contam. Part. A Chem. Anal. Control. Expo. Risk Assess 2008, 25, 650–659. [Google Scholar] [CrossRef] [PubMed]
- De Angelis, E.; Monaci, L.; Visconti, A. Investigation on the stability of deoxynivalenol and DON-3 glucoside during gastro-duodenal in vitro digestion of a naturally contaminated bread model food. Food Control. 2014, 43, 270–275. [Google Scholar] [CrossRef]
- Abid-Essefi, S.; Bouaziz, C.; Golli-Bennour, E.E.; Ouanes, Z.; Bacha, H. Comparative study of toxic effects of zearalenone and its two major metabolites α-zearalenol and β-zearalenol on cultured human Caco-2 cells. J. Biochem. Mol. Toxicol. 2009, 23, 233–243. [Google Scholar] [CrossRef]
- Scientific Committee on Food (SCF). Opinion of the Scientific Committee on Food on Fusarium Toxins. Part 6: Group Evaluation of T-2 Toxin, HT-2 Toxin, Nivalenol and Deoxynivalenol, Adopted on 26 February 2002. 2002. Available online: http://ec.europa.eu/food/fs/sc/scf/out123_en.pdf (accessed on 5 September 2021).
- Alassane-Kpembi, I.; Puel, O.; Oswald, I.P. Toxicological interactions between the mycotoxins deoxynivalenol, nivalenol and their acetylated derivatives in intestinal epithelial cells. Arch. Toxicol. 2015, 89, 1337–1346. [Google Scholar] [CrossRef]
- Kadota, T.; Furusawa, H.; Hirano, S.; Tajima, O.; Kamata, Y.; Sugita-Konishi, Y. Comparative study of deoxynivalenol, 3-acetyldeoxynivalenol, and 15- acetyldeoxynivalenol on intestinal transport and IL-8 secretion in the human cell line Caco-2. Toxicol. In Vitro 2013, 27, 1888–1895. [Google Scholar] [CrossRef]
- Biomin.net. 2015. Available online: https://www.biomin.net/en/articles/can-low-levels-of-mycotoxins-harm-the-poultry-industry/ (accessed on 5 September 2021).
- Chilaka, C.A.; De Boevre, M.; Atanda, O.O.; De Saeger, S. The Status of Fusarium Mycotoxins in Sub-Saharan Africa: A Review of Emerging Trends and Post-Harvest Mitigation Strategies towards Food Control. Toxins 2017, 9, 19. [Google Scholar] [CrossRef] [PubMed] [Green Version]
- Ekwomadu, T.I.; Dada, T.A.; Akinola, S.A.; Nleya, N.; Mwanza, M. Analysis of selected mycotoxins in maize from north-west South Africa using high performance liquid chromatography (HPLC) and other analytical techniques. Separations 2021, 8, 143. [Google Scholar] [CrossRef]
- Fandohan, P.; Gnonlonfin, B.; Hell, K.; Marasas, W.; Wingfield, M. Natural occurrence of Fusarium and subsequent fumonisin contamination in preharvest and stored maize in Benin, West Africa. Int. J. Food Microbiol. 2005, 99, 173–183. [Google Scholar] [CrossRef] [PubMed]
- Basappa, S.C. Aflatoxins Formation, Analysis and Control; Alpha Science International Ltd.: Oxford, UK, 2009; pp. 66, discussion 103–104. [Google Scholar]
- Van der Westhuizen, L.; Shephard, G.; Rheeder, J.P.; Burger, H.-M.; Gelderblom, W.; Wild, C.; Gong, Y.Y. Optimising sorting and washing of home-grown maize to reduce fumonisin contamination under laboratory-controlled conditions. Food Control. 2011, 22, 396–400. [Google Scholar] [CrossRef]
- Matumba, L.; van Poucke, C.; Ediage, E.N.; Jacobs, B.; de Saeger, S. Effectiveness of hand sorting, flotation/washing, dehulling and combinations thereof on the decontamination of mycotoxin-contaminated white maize. Food Addit. Contam. Part. A 2015, 32, 960–969. [Google Scholar] [CrossRef]
- Wagacha, J.; Muthomi, J. Mycotoxin problem in Africa: Current status, implications to food safety and health and possible management strategies. Int. J. Food Microbiol. 2008, 124, 1–12. [Google Scholar] [CrossRef]
- Turner, N.; Subrahmanyam, S.; Piletsky, S. Analytical methods for determination of mycotoxins: A review. Anal. Chim. Acta 2009, 632, 168–180. [Google Scholar] [CrossRef]
- Ryu, D.; Hanna, M.A.; Bullerman, L.B. Stability of zearalenone during extrusion of corn grits. J. Food Prot. 1999, 62, 1482–1484. [Google Scholar] [CrossRef] [PubMed]
- Desjardins, A.E.; Manandhar, G.; Plattner, R.D.; Maragos, C.M.; Shrestha, K.; McCormick, S.P. Occurrence of Fusarium species and mycotoxins in Nepalese maize and wheat and the effect of traditional processing methods on mycotoxin levels. J. Agric. Food Chem. 2000, 48, 1377–1383. [Google Scholar] [CrossRef]
- Yiannikouris, A.; Jouany, J.-P. Mycotoxins in feeds and their fate in animals: A review. Anim. Res. 2002, 51, 81–99. [Google Scholar] [CrossRef] [Green Version]
- Dellafiora, L.; Ruotolo, R.; Perotti, A.; Cirlini, M.; Galaverna, G.; Cozzini, P.; Buschini, A.; Dall’Asta, C. Molecular insights on xenoestrogenic potential of zearalenone-14-glucoside through a mixed in vitro/in silico approach. Food Chem. Toxicol. 2017, 108, 257–266. [Google Scholar] [CrossRef]





| Trichothecene | R1 | R2 | R3 | R4 | R5 |
|---|---|---|---|---|---|
| TYPE A | |||||
| HT-2 toxin | OH | OH | OAc | H | OCOCH2CH(CH3)2 |
| T-2 toxin | OH | OAc | OAc | H | OCOCH2CH(CH3)2 |
| Diacetoxyscirpentriol | OH | OAc | OAc | H | H |
| TYPE B | |||||
| Deoxynivalenol | OH | H | OH | OH | O |
| 3-acetyl-deoxynivalenol | OAc | H | OH | OH | O |
| 15-acetyl-deoxynivalenol | OH | H | OAc | OH | O |
| Nivalenol | OH | OH | OH | OH | O |
| Fusarenon X | OH | OAc | OH | OH | O |
| Mycotoxinss | Health Effects | Organs Affected | References |
|---|---|---|---|
| Fumonisin | Carcinogenic, hepatotoxic, nephrotoxic, and immunosuppressive. | Gastrointestinal tract (GIT), liver, and kidney | Soriano and Dragacci, 2014 [67,68,69] |
| Deoxynivalenol | Nausea, vomiting, diarrhea, reproductive effects, and toxicosis | Reproductive organs and GIT | Richard,2007 [30,70] |
| T-2 Toxin | Hepatotoxic, genotoxic, and immune-suppressive | Gastrointestinal tract (GIT) and immune system | Hymery et al., 2009 [71,72] |
| Nivalenol | Annorexic immunotoxic, haematotoxic, and genotoxic | Gastrointestinal tract (GIT) and muscle | Bony et al., 2007 [73,74] |
| Zearalenol | Carcinogenic, hormonal imbalance, and reproductive effects | Reproductive organs | D”Mello and Macdonald, 1997 [75,76] |
| Moniliformin | Cardiotoxic and muscular disorders | Heart, kidney, and muscle | Zang et al., 2007 [77,78] |
| Enniatins | Immunotoxic and cytotoxic | Immune system | Prosperini et al., 2014 [79,80] |
Publisher’s Note: MDPI stays neutral with regard to jurisdictional claims in published maps and institutional affiliations. |
© 2021 by the authors. Licensee MDPI, Basel, Switzerland. This article is an open access article distributed under the terms and conditions of the Creative Commons Attribution (CC BY) license (https://creativecommons.org/licenses/by/4.0/).
Share and Cite
Ekwomadu, T.I.; Akinola, S.A.; Mwanza, M. Fusarium Mycotoxins, Their Metabolites (Free, Emerging, and Masked), Food Safety Concerns, and Health Impacts. Int. J. Environ. Res. Public Health 2021, 18, 11741. https://doi.org/10.3390/ijerph182211741
Ekwomadu TI, Akinola SA, Mwanza M. Fusarium Mycotoxins, Their Metabolites (Free, Emerging, and Masked), Food Safety Concerns, and Health Impacts. International Journal of Environmental Research and Public Health. 2021; 18(22):11741. https://doi.org/10.3390/ijerph182211741
Chicago/Turabian StyleEkwomadu, Theodora I., Stephen A. Akinola, and Mulunda Mwanza. 2021. "Fusarium Mycotoxins, Their Metabolites (Free, Emerging, and Masked), Food Safety Concerns, and Health Impacts" International Journal of Environmental Research and Public Health 18, no. 22: 11741. https://doi.org/10.3390/ijerph182211741
APA StyleEkwomadu, T. I., Akinola, S. A., & Mwanza, M. (2021). Fusarium Mycotoxins, Their Metabolites (Free, Emerging, and Masked), Food Safety Concerns, and Health Impacts. International Journal of Environmental Research and Public Health, 18(22), 11741. https://doi.org/10.3390/ijerph182211741

