Long-Term Influences of Stunting, Being Underweight, and Thinness on the Academic Performance of Primary School Girls: The NW-CHILD Study
Abstract
1. Introduction
2. Materials and Method
2.1. Investigating Group and Procedures
2.2. Ethical Considerations
2.3. Measurement Instruments and Apparatus
Academic Performance
2.4. Statistical Analysis
3. Results
4. Discussion
5. Conclusions
Author Contributions
Funding
Institutional Review Board Statement
Informed Consent Statement
Acknowledgments
Conflicts of Interest
References
- Rosales, F.J.; Reznick, J.S.; Zeisel, S.H. Understanding the role of nutrition in the brain and behavioral development of toddlers and preschool children: Identifying and addressing methodological barriers. Nutr. Neurosci. 2009, 12, 190–202. [Google Scholar] [CrossRef]
- United Nations Children’s Fund; World Health Organization; World Bank Group. Joint Child Malnutrition Estimates. Levels and Trends in Child Malnutrition. 2018. Available online: http://www.who.int/entity/nutgrowthdb/jme_unicef_who_wb.pdf (accessed on 10 December 2018).
- Dewey, K.G.; Begum, K. Long-term consequences of stunting in early life. Matern. Child Nutr. 2011, 7, 5–18. [Google Scholar] [CrossRef] [PubMed]
- Cole, T.J.; Flegal, K.; Nicholls, D.; Jackson, A. Body mass index cut offs to define thinness in children and adolescents: International survey. BMJ 2007, 335, 194. [Google Scholar] [CrossRef] [PubMed]
- Pienaar, A.E. The association between under-nutrition, school performance and perceptual motor functioning in first-grade South African learners: The North-West Child Health Integrated with Learning and Development study. Health SA 2019, 24, a1046. [Google Scholar] [CrossRef]
- Vorster, H.H.; Kruger, A. Poverty, malnutrition, underdevelopment and cardiovascular disease: A South African perspective. Cardiovasc. J. Afr. 2007, 18, 321–324. [Google Scholar] [PubMed]
- Florence, M.D.; Asbridge, M.; Veugelers, P.J. Diet Quality and Academic Performance. J. Sch. Health 2008, 78, 209–215. [Google Scholar] [CrossRef] [PubMed]
- Beckmann, J.; Lang, C.; du Randt, R.; Gresse, A.; Long, K.; Ludyga, S.; Müller, I.; Nqweniso, S.; Pühse, U.; Utzinger, J.; et al. Prevalence of Stunting and Relationship between Stunting and Associated Risk Factors with Academic Achievement and Cognitive Function: A Cross-Sectional Study with South African Primary School Children. Int. J. Environ. Res. Public Health 2021, 18, 4218. [Google Scholar] [CrossRef]
- Glewwe, P.; Jacoby, H.G.; King, E.M. Early childhood nutrition and academic achievement: A longitudinal analysis. J. Public Econ. 2001, 81, 345–368. [Google Scholar] [CrossRef]
- Fink, G.; Rockers, P.C. Childhood growth, schooling and cognitive development: Further evidence from the Young Lives study. Am. J. Clin. Nutr. 2014, 100, 182–188. [Google Scholar] [CrossRef] [PubMed]
- Brown, J.L.; Pollit, E. Malnutrition, poverty and intellectual development. Sci. Am. 1996, 274, 38–43. [Google Scholar] [CrossRef] [PubMed]
- Martorell, R. The Nature of Child Malnutrition and Its Long-Term Implications. Food Nutr. Bull. 1999, 20, 288–292. [Google Scholar] [CrossRef]
- Pienaar, A.E.; Barhorst, R.; Twisk, J.W.R. Relationships between academic performance, SES school type and perceptual-motor skills in first grade South African learners: NW-CHILD study. Child Care Health Dev. 2013, 40, 370–378. [Google Scholar] [CrossRef]
- Benton, D. The influence of dietary status on the cognitive performance of children. Mol. Nutr. Food Res. 2010, 54, 457–470. [Google Scholar] [CrossRef] [PubMed]
- World Health Organization. Fact Sheet: Obesity and Overweight; World Health Organization: Geneva, Switzerland, 2017; Available online: http://www.who.int/mediacentre/factsheets/fs311/en/ (accessed on 21 May 2017).
- Muthuri, S.K.; Francis, C.E.; Wachira, L.-J.M.; LeBlanc, A.; Sampson, M.; Onywera, V.O.; Tremblay, M.S. Evidence of an Overweight/Obesity Transition among School-Aged Children and Youth in Sub-Saharan Africa: A Systematic Review. PLoS ONE 2014, 9, e92846. [Google Scholar] [CrossRef] [PubMed]
- Shisana, O.; Labadarios, D.; Rehle, T.; Simbayi, L.; Zuma, K.; Dhansay, A.; Reddy, P.; Parker, W.; Hoosain, E.; Naidoo, P.; et al. The South African National Health and Nutrition Examination Survey; 2012; HSRC Press: Cape Town, South Africa, 2014. [Google Scholar]
- Uys, M.; Bassett, S.; Draper, C.E.; Micklesfield, L.; Monyeki, M.A.; De Villiers, A.; Lambert, E.V. Results From South Africa’s 2016 Report Card on Physical Activity for Children and Youth. J. Phys. Act. Health 2016, 13, S265–S273. [Google Scholar] [CrossRef] [PubMed]
- Kimani-Murage, E.W.; Kahn, K.; Pettifor, J.M.; Tollman, S.M.; Dunger, D.B.; Gómez-Olivé, X.F.; Norris, S.A. The prevalence of stunting, overweight and obesity, and metabolic disease risk in rural South Africa. BMC Public Health 2010, 10, 158. [Google Scholar] [CrossRef] [PubMed]
- Kimani-Murage, E.W. Exploring the paradox: Double burden of malnutrition in rural South Africa. Glob. Health Act. 2013, 6, 19249. [Google Scholar] [CrossRef] [PubMed]
- Monyeki, M.A.; Awotidebe, A.; Strydom, G.L.; De Ridder, J.H.; Mamabolo, R.L.; Kemper, H.C.G. The Challenges of Underweight and Overweight in South African Children: Are We Winning or Losing the Battle? A Systematic Review. Int. J. Environ. Res. Public Health 2015, 12, 1156–1173. [Google Scholar] [CrossRef]
- Kruger, G.; Pienaar, A.E.; Coetzee, D.; Kruger, S.H. Prevalence of stunting, wasting and underweight in grade 1-learners: The NW-child study. Health SA 2014, 19, 1–7. [Google Scholar] [CrossRef]
- Chesire, E.J.; Orago, A.S.S.; Oteba, L.P.; Echoka, E. Determinants Of Under Nutrition Among School Age Children In A Nairobi Peri-Urban Slum. East Afr. Med. J. 2009, 85, 471–479. [Google Scholar] [CrossRef][Green Version]
- Negesse, A.; Jara, D.; Temesgen, H.; Dessie, G.; Getaneh, T.; Mulugeta, H.; Abebaw, Z.; Taddege, T.; Wagnew, F.; Negesse, Y. The impact of being of the female gender for household head on the prevalence of food insecurity in Ethiopia: A systematic-review and meta-analysis. Public Health Rev. 2020, 41, 15. [Google Scholar] [CrossRef] [PubMed]
- Statistics South Africa. Education Series 3: Educational Enrolment and Achievement. Stats SA; 2016/ Report No. 92-01-03. Available online: http://www.statssa.gov.za/publications/Report%2092-01-03/Education_Series_iii.pdf (accessed on 14 August 2017).
- United Nations Children’s Fund. The State of the World’s Children 2019—Children, Food and Nutrition: Growing Well in a Changing World; UNICEF: New York, NY, USA, 2019; Available online: https://www.unicef.org/reports/state-of-worlds-children-2019 (accessed on 15 May 2021).
- Monyeki, K.; Monyeki, M.; Brits, S.; Kemper, H.; Makgae, P. Development and Tracking of Body Mass Index from Preschool Age into Adolescence in Rural South African Children: Ellisras Longitudinal Growth and Health Study. J. Health Popul. Nutr. 2009, 26, 405–417. [Google Scholar] [CrossRef]
- Reddy, V.; Isdale, K.; Juan, A.; Visser, M.; Winnaar, L.; Arends, F. TIMSS 2015: Highlights of Mathematics Achievement among Grade 5 South African Learners; HSRC Press: Cape Town, South Africa, 2017. [Google Scholar]
- Pauw, K. Profile of the North-West Province: Demographics, poverty, inequality and unemployment. Proj. Backround Pap. 2005, 1, 1–19. [Google Scholar]
- Stewart, A.; Marfell-Jones, M.; Olds, T.; De Ridder, J.H. The International Society for the Advancement of Kinanthropometry; ISAK: Auckland, New Zealand, 2011. [Google Scholar]
- Lohman, G.H. Advances in Body Composition Assessment; Human Kinetics: Champaign, IL, USA, 1992. [Google Scholar]
- SAS Institute Inc. SAS OnlineDoc^®9.4; SAS Institute: Carry, NC, USA, 2011. [Google Scholar]
- Tanner, J.M. Growth at Adolescence, 2nd ed.; Blackwell Scientific Publishers: Oxford, UK, 1962. [Google Scholar]
- DELL Inc. STATISTICA (Data Analysis Software System), Version 13.2. Available online: www.statsoft.com (accessed on 19 May 2018).
- Kar, B.R.; Rao, S.L.; Chandramouli, B. Cognitive development in children with chronic protein energy malnutrition. Behav. Brain Funct. 2008, 4, 31. [Google Scholar] [CrossRef] [PubMed]
- World Bank. The World Bank and Nutrition. Nutrition Overview. World Bank Group. 2018. Available online: https://worldbank.org/en/topic/nutrition/overview (accessed on 10 December 2018).
- Population Reference Bureau. Stunting Limits Learning and Future Earnings of Children; Population Reference Bureau: Washington, DC, USA, 2012; Available online: https://wwwprb.org/stunting-among-children (accessed on 12 December 2017).
- Taras, H. Nutrition and student performance at school. J. Sch. Health 2005, 75, 199–213. [Google Scholar] [CrossRef]
- Ong, L.C.; Chandran, V.; Lim, Y.Y.; Chen, A.H.; Poh, B.K. Factors associated with poor academic achievement among urban primary school children in Malaysia. Singap. Med. J. 2010, 51, 247–252. [Google Scholar]
- Haile, D.; Nigatu, D.; Gashaw, K.; Demelash, H. Height for age z score and cognitive function are associated with Academic performance among school children aged 8–11 years old. Arch. Public Health 2016, 74, 17. [Google Scholar] [CrossRef]
- Levitsky, D.; Strupp, B.J. Malnutrition and the Brain: Changing Concepts, Changing Concerns. J. Nutr. 1995, 125, 2212S–2220S. [Google Scholar] [CrossRef]



| M ± SD | Min | Max | |
|---|---|---|---|
| Stature (cm) | |||
| Gr.1 | 119.06 ± 6.03 | 107.90 | 134.70 |
| Gr.4 | 135.85 ± 7.13 | 113.00 | 155.10 |
| Gr.7 | 153.85 ± 7.28 | 136.60 | 185.90 |
| Body Mass (kg) | |||
| Gr.1 | 22.20 ± 5.39 | 15.50 | 68.60 |
| Gr.4 | 32.53 ± 9.98 | 20.50 | 113.10 |
| Gr.7 | 47.77 ± 14.06 | 28.80 | 154.00 |
| BMI | |||
| Gr.1 | 15.54 ± 2.60 | 12.50 | 38.40 |
| Gr.4 | 17.55 ± 4.64 | 12.26 | 61.24 |
| Gr.7 | 20.01 ± 4.93 | 13.90 | 57.50 |
| Body Fat (%) | |||
| Gr.1 | 15.47 ± 4.99 | 7.59 | 31.81 |
| Gr.4 | 20.92 ± 9.05 | 5.40 | 59.10 |
| Gr.7 | 24.58 ± 8.29 | 10.10 | 47.60 |
| ∑Skinfolds(mm) | |||
| Gr.1 | 16.60 ± 6.70 | 8.25 | 55.25 |
| Gr.4 | 20.60 ± 10.54 | 7.50 | 72.00 |
| Gr.7 | 24.71 ± 13.35 | 9.00 | 101.50 |
| Z-Scores | |||
| Gr.1 | |||
| WAZ | −0.12 ± 1.22 | −2.71 | 7.73 |
| HAZ | −0.13 ± 1.04 | −2.65 | 2.70 |
| BAZ | −0.09 ± 1.21 | −2.25 | 7.54 |
| Gr.4 | |||
| WAZ | −0.13 ± 1.39 | −2.63 | 7.61 |
| HAZ | −0.30 ± 1.05 | −3.89 | 2.70 |
| BAZ | 0.07 ± 1.46 | −5.15 | 8.81 |
| Gr.7 | |||
| WAZ | - | - | - |
| HAZ | −0.26 ± 1.03 | −2.78 | 4.29 |
| BAZ | 0.16 ± 1.45 | −2.61 | 9.85 |
| Academic performance (%) | |||
| Gr.1 | |||
| Language | 73.22 ± 17.45 | 25.00 | 100.00 |
| Mathematics | 76.90 ± 17.66 | 25.00 | 100.00 |
| GPA | 74.45 ± 16.52 | 25.00 | 100.00 |
| Gr.4 | |||
| Language | 59.60 ± 16.06 | 12.00 | 93.00 |
| Mathematics | 61.44 ± 16.21 | 25.00 | 95.00 |
| GPA | 61.43 ± 13.27 | 25.17 | 92.80 |
| Gr.7 | |||
| Language | 64.03 ± 11.52 | 18.00 | 91.50 |
| Mathematics | 51.26 ± 16.09 | 12.00 | 97.00 |
| GPA | 59.21 ± 11.07 | 20.33 | 92.56 |
| Grade 1 | Grade 4 | Grade 7 | |||||||
|---|---|---|---|---|---|---|---|---|---|
| S | T | UW | S | T | UW | S | T | UW | |
| Undernutrition Cat | n = 40 | n = 41 | n = 43 | n = 48 | n = 24 | n = 34 | n = 43 | n = 33 | n = 42 |
| M ± | M ± | M ± | M ± | M ± | M ± | M ± | M ± | M ± | |
| SD | SD | SD | SD | SD | SD | SD | SD | SD | |
| Age | |||||||||
| Normal weight | 6.82 ± | 6.78 * ± | 6.83 ± | 9.86 ± | 9.81 * ± | 9.8 ± | 12.86 ± | 12.87 ± | 12.86 ± |
| 0.39 | 0.36 | 0.38 | 0.39 | 0.35 | 0.39 | 0.38 | 0.38 | 0.38 | |
| Undernutrition Cat | 6.81 ± | 6.96 * ± | 6.78 ± | 9.81 ± | 10.14 * ± | 9.81 ± | 12.86 ± | 12.81 ± | 12.85 ± |
| 0.33 | 0.39 | 0.36 | 0.33 | 0.42 | 0.34 | 0.33 | 0.34 | 0.33 | |
| Stature (cm) | |||||||||
| Normal weight | 120.88 * ± | 119.17 ± | 119.49 * ± | 138.50 * ± | 135.78 ± | 136.33 * ± | 156.30 * ± | 154.63 * ± | 154.47 * ± |
| 5.24 | 5.96 | 6.03 | 5.86 | 7.03 | 7.14 | 5.41 | 7.25 | 6.92 | |
| Undernutrition Cat | 111.7 * 6 ± | 118.47 ± | 117.41 * ± | 127.55 * ± | 136.17 ± | 133.46 * ± | 144.89 * ± | 149.81 * ± | 151.43 * ± |
| 2.19 | 6.22 | 5.76 | 3.41 | 8.10 | 6.81 | 3.564 | 6.11 | 8.13 | |
| Body Mass (kg) | |||||||||
| Normal weight | 23.08 * ± | 22.45 ± | 23.22 * ± | 34.54* ± | 32.63 ± | 34.19 * ± | 49.36 * ± | 50.58 * ± | 51.18 * ± |
| 5.57 | 5.79 | 5.57 | 10.21 | 10.21 | 10.18 | 11.44 | 13.99 | 14.11 | |
| Undernutrition Cat | 18.59 * ± | 21.36 ± | 18.41 * ± | 26.27 * ± | 31.75 ± | 24.54 * ± | 42.61 * ± | 34.47 * ± | 35.69 * ± |
| 2.05 | 3.51 | 1.77 | 5.49 | 8.56 | 2.54 | 20.61 | 3.16 | 4.27 | |
| BMI (kg/m2) | |||||||||
| Normal weight | 15.70 ± | 15.67 ± | 16.14 * ± | 17.99 * ± | 17.63 ± | 18.28 * ± | 20.14 ± | 21.02 * ± | 21.26 * ± |
| 2.78 | 2.80 | 2.61 | 4.87 | 4.76 | 4.77 | 3.98 | 4.96 | 4.98 | |
| Undernutrition Cat | 14.88 ± | 15.14 ± | 13.34 * ± | 16.19 * ± | 16.97 ± | 14.05 * ± | 19.83 ± | 15.33 * ± | 15.65 * ± |
| 1.49 | 1.61 | 0.37 | 3.50 | 3.74 | 1.14 | 7.72 | 0.64 | 1.04 | |
| Body Fat (%) | |||||||||
| Normal weight | 15.76 ± | 15.46 ± | 16.53 * ± | 21.97 * ± | 21.13 ± | 22.88 * ± | 25.14 ± | 26.66 * ± | 27.62 * ± |
| 5.21 | 5.26 | 4.94 | 9.98 | 8.89 | 8.37 | 7.94 | 778 | 7.78 | |
| Undernutrition Cat | 14.19 ± | 15.76 ± | 11.52 * ± | 17.55 * ± | 19.43 ± | 10.25 * ± | 23.14 ± | 15.02 * ± | 15.94 * ± |
| 4.03 | 4.05 | 2.46 | 8.53 | 10.39 | 3.79 | 9.87 | 2.84 | 3.19 | |
| ∑Skinfolds (mm) | |||||||||
| (∑Supsc + Triceps) | |||||||||
| Normal weight | 17.01 ± | 16.71 ± | 17.85 * ± | 22.05 * ± | 20.86 ± | 22.35 * ± | 25.03 ± | 26.93 * ± | 27.62 * ± |
| 7.13 | 7.08 | 6.89 | 10.87 | 10.54 | 10.77 | 11.47 | 13.54 | 13.85 | |
| Undernutrition Cat | 14.79 ± | 16.54 ± | 11.88 * ± | 16.09 * ± | 18.71 ± | 12.20 * ± | 24.27 ± | 13.63 * ± | 14.63 * ± |
| 4.03 | 5.06 | 2.46 | 8.15 | 10.80 | 2.54 | 19.19 | 2.33 | 2.99 | |
| School Assessment Maths | |||||||||
| Normal weight | 78.82 * ± | 78.04 ± | 75.46 ± | 62.36 ± | 61.79 ± | 61.52 ± | 52.52 * ± | 51.64 ± | 50.28 ± |
| 16.30 | 18.26 | 19.44 | 16.02 | 16.60 | 16.35 | 16.18 | 16.70 | 21.47 | |
| Undernutrition Cat | 69.38 * ± | 72.56 ± | 78.49 ± | 58.62 ± | 59.00 ± | 61.18 ± | 46.38 * ± | 49.00 ± | 50.41 ± |
| 20.79 | 14.58 | 18.57 | 16.82 | 13.35 | 15.97 | 15.14 | 12.72 | 18.71 | |
| Language | |||||||||
| Normal weight | 74.92 * ± | 74.12 ± | 71.89 ± | 60.34 ± | 59.66 ± | 59.35 ± | 64.98 * ± | 64.16 ± | 64.06 ± |
| 16.84 | 17.68 | 16.96 | 16.63 | 16.30 | 16.08 | 10.87 | 11.68 | 11.69 | |
| Undernutrition Cat | 67.19 * ± | 70.42 ± | 75.00 ± | 57.14 ± | 56.75 ± | 51.39 ± | 60.63 * ± | 63.53 ± | 64.04 ± |
| 18.28 | 16.00 | 18.11 | 14.14 | 15.80 | 11.06 | 13.29 | 10.87 | 11.07 | |
| Grade Point Av. | |||||||||
| Normal weight | 76.22 * ± | 75.43 ± | 74.08 ± | 62.25 ± | 61.21 ± | 61.69 ± | 60.34 * ± | 59.63 ± | 53.59 ± |
| 15.64 | 16.82 | 17.04 | 13.60 | 13.80 | 13.57 | 10.77 | 11.40 | 12.35 | |
| Undernutrition Cat | 67.9 * 2 ± | 71.14 ± | 76.16 ± | 58.77 ± | 62.90 ± | 60.03 ± | 54.85 * ± | 56.79 ± | 51.05 ± |
| 18.15 | 14.80 | 18.06 | 12.04 | 8.71 | 11.97 | 11.22 | 8.97 | 10.08 | |
| Provincial Marks (ANA/NWPA) Maths | |||||||||
| Normal weight | - | - | - | 62.36 ± | 61.79 * ± | 61.72 ± | 51.26 ± | 50.42 ± | 50.28 ± |
| 16.02 | 16.60 | 16.32 | 21.11 | 14.21 | 21.47 | ||||
| Undernutrition Cat | - | - | - | 58.62 ± | 59.94 * ± | 56.561 ± | 46.80 ± | 49.71 ± | 50.41 ± |
| 16.82 | 11.45 | 14.18 | 19.86 | 16.70 | 18.71 | ||||
| Language | |||||||||
| Normal weight | - | - | - | 60.56 * ± | 56.93 ± | 58.28 ± | 60.26 ± | 59.22 ± | 59.15 ± |
| 19.11 | 19.64 | 20.24 | 12.63 | 13.16 | 13.04 | ||||
| Undernutrition Cat | - | - | - | 49.95 * ± | 65.09 ± | 56.59 ± | 55.85 ± | 59.85 ± | 59.98 ± |
| 20.91 | 30.24 | 19.23 | 74.36 | 13.24 | 12.98 | ||||
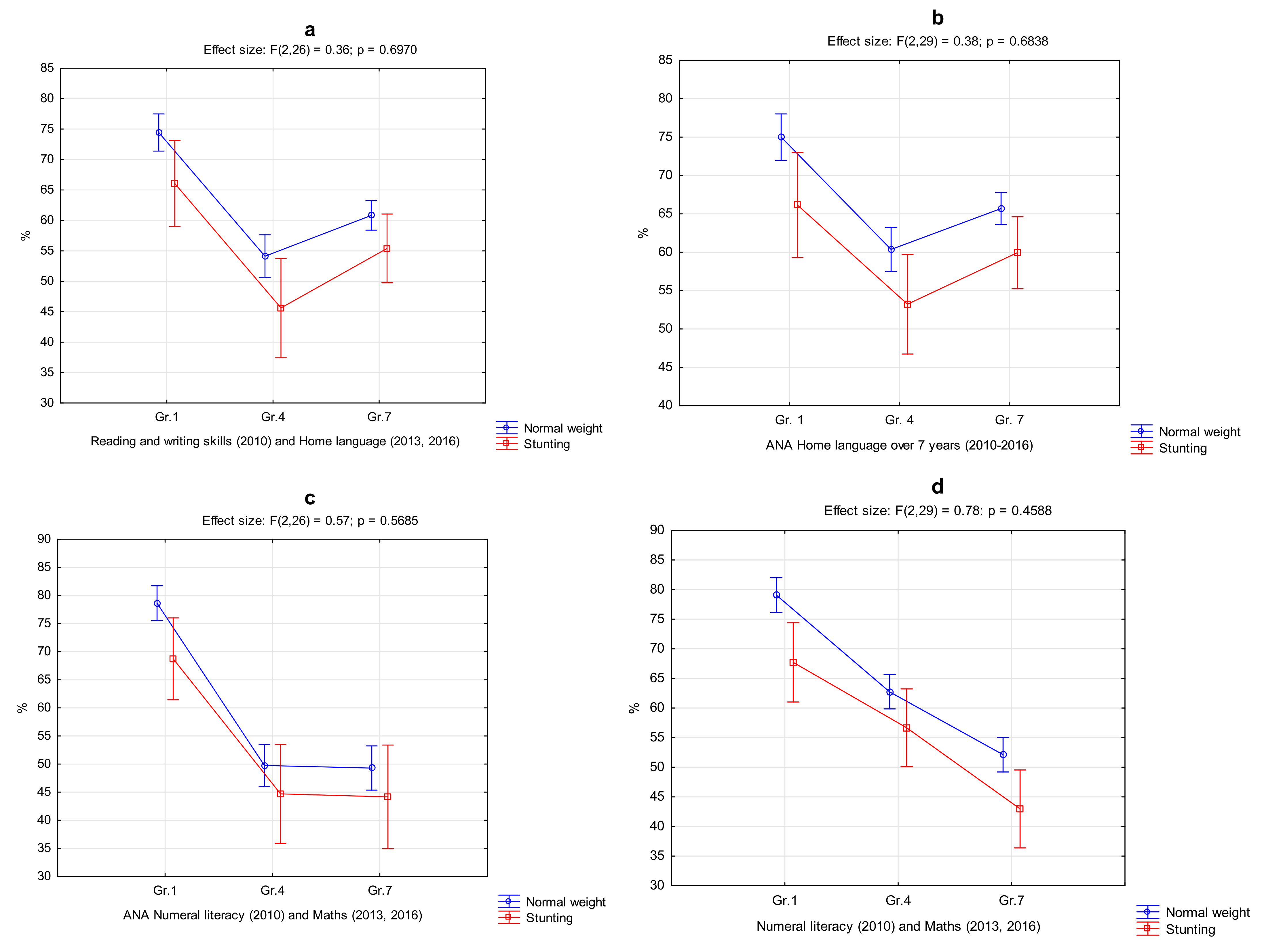
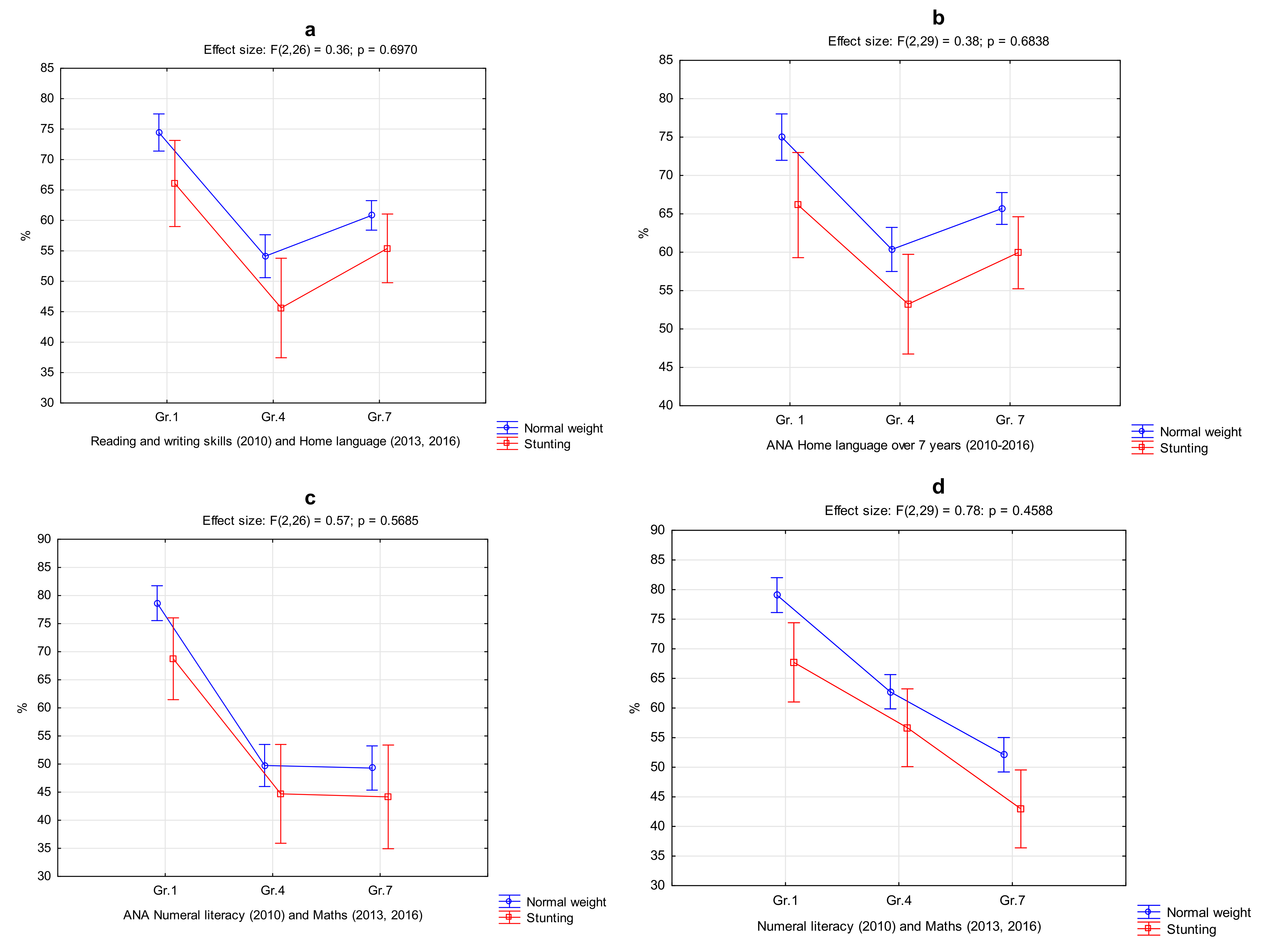
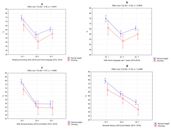
| Stunting S (n = 26); Nw (n = 123) | ||||||||||
| 2010 | 2013 | 2016 | 2010–2016 | |||||||
| S | Nw | S | Nw | S | Nw | |||||
| M ± | M ± | p | M ± | M ± | p | M ± | M ± | p | p | |
| SD | SD | SD | SD | SD | SD | |||||
| Language | 66.83 ± | 75.00 ± | 0.026 * | 53.30 ± | 60.50± | 0.043 * | 54.42 ± | 65.78 ± | 0.017 * | 0.007 * |
| 18.35 | 16.56 | 13.92 | 16.44 | 14.83 | 10.87 | |||||
| Maths | 68.27 ± | 79.07 ± | 0.003 * | 57.80 ± | 62.87 ± | 0.160 | 43.48 ± | 52.30 ± | 0.015 * | 0.001 * |
| 19.44 | 15.82 | 17.15 | 16.22 | 16.66 | 16.29 | |||||
| GPA | 67.31 ± | 76.36 ± | 0.009 * | 56.13 ± | 62.61 ± | 0.024 * | 60.72 ± | 65.59 ± | 0.004 * | 0.002 * |
| 17.78 | 15.26 | 11.01 | 13.32 | 12.37 | 11.00 | |||||
| Underweight UW (n = 21); Nw (n = 112) | ||||||||||
| 2010 | 2013 | 2016 | 2010–2016 | |||||||
| UW | Nw | UW | Nw | UW | Nw | |||||
| M ± | M ± | p | M ± | M ± | p | M ± | M ± | p | p | |
| SD | SD | SD | SD | SD | SD | |||||
| Language | 75.00 ± | 71.09 ± | 0.380 | 56.31 ± | 58.77 ± | 0.506 | 64.69 ± | 62.73 ± | 0.484 | >0.05 |
| 18.11 | 18.76 | 15.44 | 15.52 | 10.70 | 11.90 | |||||
| Maths | 78.57 ± | 75.67 ± | 0.521 | 60.86 ± | 60.98 ± | 0.973 | 49.48 ± | 48.53 ± | 0.797 | >0.05 |
| 18.18 | 19.12 | 17.16 | 15.45 | 14.47 | 15.59 | |||||
| GPA | 76.19 ± | 72.62 ± | 0.395 | 59.16 ± | 60.36 ± | 0.695 | 57.80 ± | 57.87 ± | 0.977 | >0.05 |
| 17.34 | 17.67 | 10.85 | 13.30 | 9.40 | 11.13 | |||||
| Thinness T (n = 7); Nw (n = 147) | ||||||||||
| 2010 | 2013 | 2016 | 2010–2016 | |||||||
| T | Nw | T | Nw | T | Nw | |||||
| M ± | M ± | p | M ± | M ± | p | M ± | M ± | p | p | |
| SD | SD | SD | SD | SD | SD | |||||
| Language | 58.93 ± | 72.60 ± | 0.052 | 49.12 ± | 59.48 ± | 0.221 | 60.07 ± | 63.77 ± | 0.421 | >0.05 |
| 17.25 | 18.06 | 21.77 | 16.40 | 10.18 | 11.89 | |||||
| Maths | 64.29 ± | 76.71 ± | 0.078 | 60.12 ± | 61.03 ± | 0.156 | 50.14 ± | 50.71 ± | 0.929 | >0.05 |
| 19.67 | 18.02 | 22.02 | 15.80 | 18.60 | 16.17 | |||||
| GPA | 60.71 ± | 73.97 ± | 0.045 * | 48.21± | 52.47 ± | 0.669 | 56.61 ± | 59.17 ± | 0.559 | >0.05 |
| 17.16 | 16.95 | 20.05 | 18.66 | 11.21 | 11.31 | |||||
Publisher’s Note: MDPI stays neutral with regard to jurisdictional claims in published maps and institutional affiliations. |
© 2021 by the authors. Licensee MDPI, Basel, Switzerland. This article is an open access article distributed under the terms and conditions of the Creative Commons Attribution (CC BY) license (https://creativecommons.org/licenses/by/4.0/).
Share and Cite
Haywood, X.; Pienaar, A.E. Long-Term Influences of Stunting, Being Underweight, and Thinness on the Academic Performance of Primary School Girls: The NW-CHILD Study. Int. J. Environ. Res. Public Health 2021, 18, 8973. https://doi.org/10.3390/ijerph18178973
Haywood X, Pienaar AE. Long-Term Influences of Stunting, Being Underweight, and Thinness on the Academic Performance of Primary School Girls: The NW-CHILD Study. International Journal of Environmental Research and Public Health. 2021; 18(17):8973. https://doi.org/10.3390/ijerph18178973
Chicago/Turabian StyleHaywood, Xonné, and Anita Elizabeth Pienaar. 2021. "Long-Term Influences of Stunting, Being Underweight, and Thinness on the Academic Performance of Primary School Girls: The NW-CHILD Study" International Journal of Environmental Research and Public Health 18, no. 17: 8973. https://doi.org/10.3390/ijerph18178973
APA StyleHaywood, X., & Pienaar, A. E. (2021). Long-Term Influences of Stunting, Being Underweight, and Thinness on the Academic Performance of Primary School Girls: The NW-CHILD Study. International Journal of Environmental Research and Public Health, 18(17), 8973. https://doi.org/10.3390/ijerph18178973

